Effects of Thermal Damage on Impact Response Characteristics of High-Energy Propellants
Abstract
1. Introduction
2. Quantitative Characterization of Thermal Damage in Propellants
2.1. Composition of the Propellant
2.2. Propellant Heating Test
2.2.1. Test Setup
2.2.2. Propellant Heating Test Results
2.3. Thermal Decomposition Characteristics of N15
2.4. Gaseous Products Analysis
2.5. Micro-CT Characterization of N15
2.5.1. Porosity
2.5.2. Pore Size Distribution
2.5.3. Specific Surface Area
2.5.4. Sphericity
2.5.5. Mechanism of Damage
3. Reaction Model of N15 at Different Temperatures
3.1. Equation of State of Reactants and Detonation Products
3.1.1. Cylinder Test
3.1.2. Test Results
3.1.3. Method of Parameter Calibration
3.1.4. Results of Parameter Calibration
3.1.5. Equation of State of Unreacted Propellant
3.2. Reaction Rate Equation of N15
3.2.1. Heating Lagrange Test Device
3.2.2. Heating Lagrange Test Results
3.2.3. Calibration of Reaction Rate Equation Parameters
Calibration Method
Parameter Calibration
4. Impact Response of Propellant at Different Temperatures
4.1. The EFP Impact Test at Different Temperatures
4.1.1. Experimental Setup
4.1.2. Experimental Results
4.2. EFP Impact Simulation of Propellant
4.2.1. Computation Model
4.2.2. Model Parameters
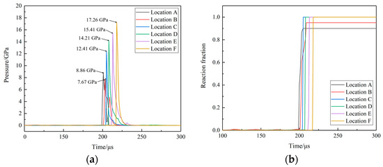
4.2.3. Analysis of Simulation Results
5. Conclusions
- The quantitative analysis of the thermal decomposition characteristics and damage features of N15 before and after the heating was conducted using TG-FTIR-MS, Micro-CT, and SEM. The heating process increased the porosity of the sample by 0.89%, mainly owing to the presence of discrete small pores in the binder matrix, rather than the formation of interconnected pores. The primary manifestation was interfacial de-bonding between the AP and the binder.
- The cylinder test and heating Lagrange test under two typical temperatures were conducted, the detonation growth distance of N15 ranged from 6.52 to 9.84 mm, while at 70 °C, it ranged from 2.8 to 5.53 mm. The temperature elevation resulted in a shorter detonation growth distance and increased the detonation growth velocity. Genetic algorithms were used to calibrate the theoretical model parameters of N15 at 20 and 70 °C.
- Numerical simulations and impact tests were conducted for EFP impact at different temperatures. The model parameters were validated and the critical shell thickness was determined, whose values for the EFP impact initiation were found to be 15 and 20 mm at 20 and 70 °C, respectively. The thermal damage significantly affected the impact initiation safety of N15.
Author Contributions
Funding
Institutional Review Board Statement
Data Availability Statement
Conflicts of Interest
References
- Asay, B.W. Non-shock initiation of explosives. In Shock Wave Science and Technology Reference Library; Springer: Berlin, Germany, 2010; Volume 5, pp. 245–401. [Google Scholar]
- Yang, K.; Wu, Y.; Huang, F. Numerical simulations of microcrack-related damage and ignition behavior of mild-impacted polymer bonded explosives. J. Hazard. Mater. 2018, 337, 148–162. [Google Scholar] [CrossRef]
- Parker, G.R.; Dickson, P.M.; Asay, B.W.; Smilowitz, L.B.; Henson, B.F.; Perry, W.L. Understanding the mechanisms leading to gas permeation in thermally damaged PBX9501. AIP Conf. Proc. 2006, 845, 1101–1104. [Google Scholar] [CrossRef]
- Willey, T.M.; Lauderbach, L.; Gagliardi, F.; Buuren, T.; Glascoe, E.A.; Tringe, J.W.; Lee, J.; Springer, H.K.; IIavsky, J. Mesoscale evolution of voids and microstructural changes in HMX-based explosives during heating through the β-δ phase transition. J. Appl. Phys. 2015, 118, 1053–1056. [Google Scholar] [CrossRef]
- Glascoe, E.A.; Hsu, H.; Springer, P.C.; Dehaven, M.R.; Tan, N.; Turner, H.C. The response of the HMX-based material PBXN-9 to thermal insults: Thermal decomposition kinetics and morphological changes. Thermochim. Acta 2010, 515, 58–66. [Google Scholar] [CrossRef][Green Version]
- Parker, G.R.; Heatwolea, E.M.; Holmes, M.D.; Asay, B.W.; Dickson, P.M.; McAfee, J.M. Deflagration-to-detonation transition in hot HMX and HMX-based polymer-bonded explosives. Combust. Flame 2020, 215, 95–308. [Google Scholar] [CrossRef]
- Xu, F.; Aravas, N.; Sofronis, P. Constitutive modeling of solid propellant materials with evolving microstructural damage. J. Mech. Phys. Solids 2008, 56, 2050–2073. [Google Scholar] [CrossRef]
- Wu, Y.Q.; Huang, F.L. A micromechanical model for predicting combined damage of particles and interface debonding in PBX explosives. Mech. Mater. 2009, 41, 27–47. [Google Scholar] [CrossRef]
- Zhong, K.; Bu, R.P.; Jiao, F.B.; Liu, G.; Zhang, C. Toward the defect engineering of energetic materials: A review of the effect of crystal defects on the sensitivity. Chem. Eng. J. 2021, 10, 132310. [Google Scholar] [CrossRef]
- Zuo, Q.H.; Addessio, F.L.; Dienes, J.K.; Lewis, M.W. A rate-dependent damage model for brittle materials based on the dominant crack. Int. J. Solids Struct. 2006, 43, 3350–3380. [Google Scholar] [CrossRef][Green Version]
- Berghout, H.L.; Son, S.F.; Skidmore, C.B.; Idar, D.J.; Asay, B.W. Combustion of damaged PBX 9501 explosive. Thermochim. Acta 2002, 384, 261–277. [Google Scholar] [CrossRef]
- Zhang, H.J.; Nie, J.X.; Jiao, G.L.; Xu, X.; Guo, X.Y.; Yan, S.; Jiao, Q.J. Effect of the microporous structure of ammonium perchlorate on thermal behaviour and combustion characteristics. Def. Technol. 2022, 18, 1156–1166. [Google Scholar] [CrossRef]
- Nie, J.X.; Liang, J.H.; Zhang, H.J.; Zou, Y.; Jiao, Q.J.; Li, Y.J.; Guo, X.Y.; Yan, S.; Zhu, Y.L. Evolution of structural damage of solid composite propellants under slow heating and effect on combustion characteristics. J. Mater. Res. Technol. 2023, 25, 5021–5037. [Google Scholar] [CrossRef]
- Zhang, T.; Bai, Y.; Wang, S.; Liu, P. Damage of a highenergy solid propellant and its effects on combustion. Acta Mech. Sin. 2001, 17, 348–353. [Google Scholar] [CrossRef]
- Tolmachoff, E.D.; Essel, J.T. Evidence and modeling of heterogeneous reactions of low temperature ammonium perchlorate decomposition. Combust. Flame 2019, 200, 316–324. [Google Scholar] [CrossRef]
- Tussiwand, G.S.; Saouma, V.; Terzenbach, R.; Luca, L.T.D. Fracture Mechanics of Composite Solid Rocket Propellant Grains: Material Testing. J. Propul. Power 2009, 25, 60–73. [Google Scholar] [CrossRef]
- Partom, Y.A. A threshold criterion for impact ignition. In Proceedings of the 12th International Detonation Symposium, San Diego, CA, USA, 11–16 August 2002; pp. 842–846. [Google Scholar]
- Sandusky, H.W.; Andrews, S.A.; Alexander, K.E. Hazard tests on a heated TATB-based high explosive. In Proceedings of the 11th International Detonation Symposium Snowmass, Snowmass Village, CO, USA, 31 August–4 September 1998; p. 428. [Google Scholar]
- Switzer, L.L.; Vandersall, K.S.; Chidester, S.K.; Greenwood, D.W.; Traver, C.M. Threshold Studies of Heated HMX-Based Energetic Material Targets Using the Steven Impact Test. AIP Conf. Proc. 2004, 706, 1045–1048. [Google Scholar] [CrossRef]
- Nair, S.; Mathew, S.; Nair, C. High energy materials as thermal decomposition modifiers of ammonium perchlorate. Mater. Today Proc. 2020, 25, 144–147. [Google Scholar] [CrossRef]
- Ishitha, K.; Periyapatna, R. Burning rate studies: Potassium-doped ammonium perchlorate with other burn-rate modifiers. J. Propul. Power 2016, 32, 1104–1109. [Google Scholar] [CrossRef]
- Liu, L.; Ao, W.; Wen, Z.; Zhang, Y.; Lv, X.; Qin, Z. Combustion promotion and agglomeration reduction of the composite propellant using graphene. Aero. Sci. Technol. 2021, 118, 106988. [Google Scholar] [CrossRef]
- Tarver, C.M.; Urtiew, P.A.; Tao, W.C. Shock Initiation of a Heated Ammonium Perchlorate-Based Propellant. Combust. Flame 1996, 105, 123–131. [Google Scholar] [CrossRef]
- Hollowell, B.C.; Gustavsen, R.L.; Dattelbaum, D.M.; Bartram, B.D. Shock Initiation of the TATB-Based Explosive PBX 9502 Cooled to 77 Kelvin. J. Phys. Conf. Ser. 2014, 500, 82014. [Google Scholar] [CrossRef]
- Dallman, J.C.; Wackerle, J. Temperature-dependent shock initiation of TATB-based high explosives. In Proceedings of the 10th International Detonation Symposium, Boston, MA, USA, 12–16 July 1993; pp. 130–138. [Google Scholar]
- Setchell, R.E. Ramp-Wave Initiation of Granular Explosives. Combust. Flame 1981, 43, 255–264. [Google Scholar] [CrossRef]
- Root, S.; Tuttle, L.W. Analysis of the Equation of State and Initiation Model for TATB-Based LX-17. In Proceedings of the 15th International Detonation Symposium, San Francisco, CA, USA, 14–18 July 2014. [Google Scholar]
- Vandersall, K.S.; Garcia, F.; Fried, L.E.; Tarver, C.M. Double Shock Experiments and Reactive Flow Modeling on LX-17 to Understand the Reacted Equation of State. J. Phys. Conf. Ser. 2014, 500, 52047. [Google Scholar] [CrossRef]
- Urtiew, P.A.; Vandersall, K.S.; Tarver, C.M.; Garcia, F. Initiation of Heated PBX-9501 Explosive When Exposed to Dynamic Loading; LLNL: Livermore, CA, USA, 2005.
- Urtiew, P.A.; Tarver, C.M. Shock Initiation of Energetic Materials at Different Initial Temperatures. Combust. Explos. Shock Waves 2005, 41, 766–776. [Google Scholar] [CrossRef]
- Wang, Y.; Wen, J.; Yang, J.; Zhang, G.; Wang, N.; Wu, Y. Investigations on the Thermal Response of a Solid Rocket Motor with Complex Charge Structure Using Cl-20/Glycidyl Azide Polymer (Gap) Propellant. Case Stud. Therm. Eng. 2022, 37, 102257. [Google Scholar] [CrossRef]
- Nicholson, D.W. On the detachment of a rigid inclusion from an elastic matrix. J. Adhes. 1979, 10, 255–260. [Google Scholar] [CrossRef]
- Lee, E.L.; Hornig, H.C.; Kury, J.W. Adiabatic Expansion of High Explosive Detonation Products; No. UCRL-50422; Universicty of California Radiation Laboratory at Livermore: Livermore, CA, USA, 1968. [Google Scholar] [CrossRef]
- Su, F.H.; Cheng, S.S. Theoretical Estimation for Unreacted and Reacted States of Composite Propellant. Propellants Explos. Pyrotech. 1998, 23, 193–199. [Google Scholar] [CrossRef]
- Lee, E.L.; Tarver, C.M. Phenomenological model of shock initiation in heterogeneous explosives. Phys. Fluids 1980, 23, 2362–2372. [Google Scholar] [CrossRef]
- Tarver, C.M.; Forbes, J.W.; Urtiew, P.A.; Garcia, F. Shock Sensitivity of LX-04 at 150 °C. AIP Conf. Proc. 2000, 505, 891–894. [Google Scholar] [CrossRef]


































| Temperature/°C | 0–1 /μm3 | 1–10 /μm3 | 10–102 /μm3 | 102–103 /μm3 | 103–104 /μm3/ | 104–105 /μm3 | 105–106 /μm3 | 106–107 /μm3 | 
|---|---|---|---|---|---|---|---|---|
| 20 | 14,250 | 11,687 | 1478 | 137 | 16 | 5 | 2 | 0 | 
| 70 | 5231 | 16,834 | 8934 | 643 | 43 | 4 | 4 | 2 | 
| Temperature/°C | Superficial Area of Pores/μm2 | Sample Volume/μm3 | Specific Surface Area of Pores/μm−1 | 
|---|---|---|---|
| 20 | 4.88 × 105 | 2.63 × 108 | 1.86 × 10−3 | 
| 70 | 1.78 × 106 | 5.40 × 108 | 3.29 × 10−3 | 
| /(g·cm−3) | A/GPa | B/GPa | R1 | R2 | ω | E0/(kJ·cm−3) | 
|---|---|---|---|---|---|---|
| 1.829 | 2341.71 | 36.747 | 7.7769 | 1.7802 | 0.3205 | 8.67 | 
| /GPa | /GPa | /(GPa·K−1) | |||
|---|---|---|---|---|---|
| 36,943 | −2.55 | 10.46 | 0.4 | 0.8867 | 2.78 × 10−3 | 
| Distance/mm | Experiment/GPa | Simulation/GPa | Error | 
|---|---|---|---|
| 3.25 | 15.18 | 16.13 | 6.25% | 
| 6.52 | 18.17 | 18.21 | 0.22% | 
| 9.84 | 22.3 | 22.5 | 0.90% | 
| 13.34 | 22.6 | 22.3 | 1.33% | 
| Parameter | Parameter Value | Parameter | Parameter Value | Parameter | Parameter Value | 
|---|---|---|---|---|---|
| I/μs−1 | 4.18 × 1010 | G1/(Mbar−2·μs−1) | 346.55 | G2/(Mbar−2·μs−1) | 569.05 | 
| a | 0.059 | c | 0.277 | e | 0.333 | 
| b | 0.667 | d | 0.667 | g | 1.0 | 
| x | 11.11 | y | 2.0 | z | 2.0 | 
| Distance/mm | Experiment/GPa | Simulation/GPa | Error | 
|---|---|---|---|
| 2.80 | 18.3 | 17.8 | 2.73% | 
| 5.53 | 22.9 | 22.1 | 3.49% | 
| 8.90 | 22.4 | 23.0 | 2.68% | 
| (g·cm−3) | /GPa | /(m·s−1) | A/GPa | B/GPa | R1 | R2 | ω | E0/(kJ·cm−3) | 
|---|---|---|---|---|---|---|---|---|
| 1.70 | 34.0 | 8390 | 581.4 | 6.801 | 4.1 | 1.0 | 0.35 | 9.0 | 
| (g·cm−3) | /GPa | /GPa | /GPa | |||
|---|---|---|---|---|---|---|
| 7.8 | 200 | 0.507 | 0.320 | 0.064 | 0.28 | 1.06 | 
| Thickness/mm | Temperature/°C | |
|---|---|---|
| 20 | 70 | |
| 5 | detonation | detonation | 
| 10 | detonation | detonation | 
| 15 | no initiation | detonation | 
| 20 | no initiation | no initiation | 
| Disclaimer/Publisher’s Note: The statements, opinions and data contained in all publications are solely those of the individual author(s) and contributor(s) and not of MDPI and/or the editor(s). MDPI and/or the editor(s) disclaim responsibility for any injury to people or property resulting from any ideas, methods, instructions or products referred to in the content. | 
© 2024 by the authors. Licensee MDPI, Basel, Switzerland. This article is an open access article distributed under the terms and conditions of the Creative Commons Attribution (CC BY) license (https://creativecommons.org/licenses/by/4.0/).
Share and Cite
Guo, F.; Nie, J.; Zhang, S.; Liang, J.; Liu, R.; Zou, Y.; Han, Y. Effects of Thermal Damage on Impact Response Characteristics of High-Energy Propellants. Polymers 2024, 16, 748. https://doi.org/10.3390/polym16060748
Guo F, Nie J, Zhang S, Liang J, Liu R, Zou Y, Han Y. Effects of Thermal Damage on Impact Response Characteristics of High-Energy Propellants. Polymers. 2024; 16(6):748. https://doi.org/10.3390/polym16060748
Chicago/Turabian StyleGuo, Fengwei, Jianxin Nie, Suoshuo Zhang, Jiahao Liang, Rui Liu, Yu Zou, and Yong Han. 2024. "Effects of Thermal Damage on Impact Response Characteristics of High-Energy Propellants" Polymers 16, no. 6: 748. https://doi.org/10.3390/polym16060748
APA StyleGuo, F., Nie, J., Zhang, S., Liang, J., Liu, R., Zou, Y., & Han, Y. (2024). Effects of Thermal Damage on Impact Response Characteristics of High-Energy Propellants. Polymers, 16(6), 748. https://doi.org/10.3390/polym16060748
 
        



 
       