Mucoadhesive Polymeric Polyologels Designed for the Treatment of Periodontal and Related Diseases of the Oral Cavity
Abstract
1. Introduction
2. Materials and Methods
2.1. Materials
2.2. Manufacture of PVM/MA Polyologels
2.3. Continuous Shear Analysis of Polyologels
2.4. Oscillatory Analysis of Polyologels
2.5. Mucoadhesion Testing
2.6. In Vitro Drug Release
2.7. Raman Spectroscopy
2.8. Statistical Analysis
2.8.1. Drug-Free Polyologels
2.8.2. Tetracycline-Containing Polyologels
3. Results and Discussion
3.1. Raman Spectroscopy of Drug-Free Polyologels
3.2. Flow Rheometry of Drug-Free and Tetracycline-Containing Polyologels
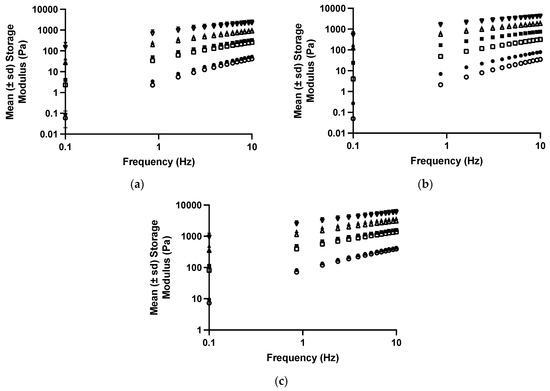
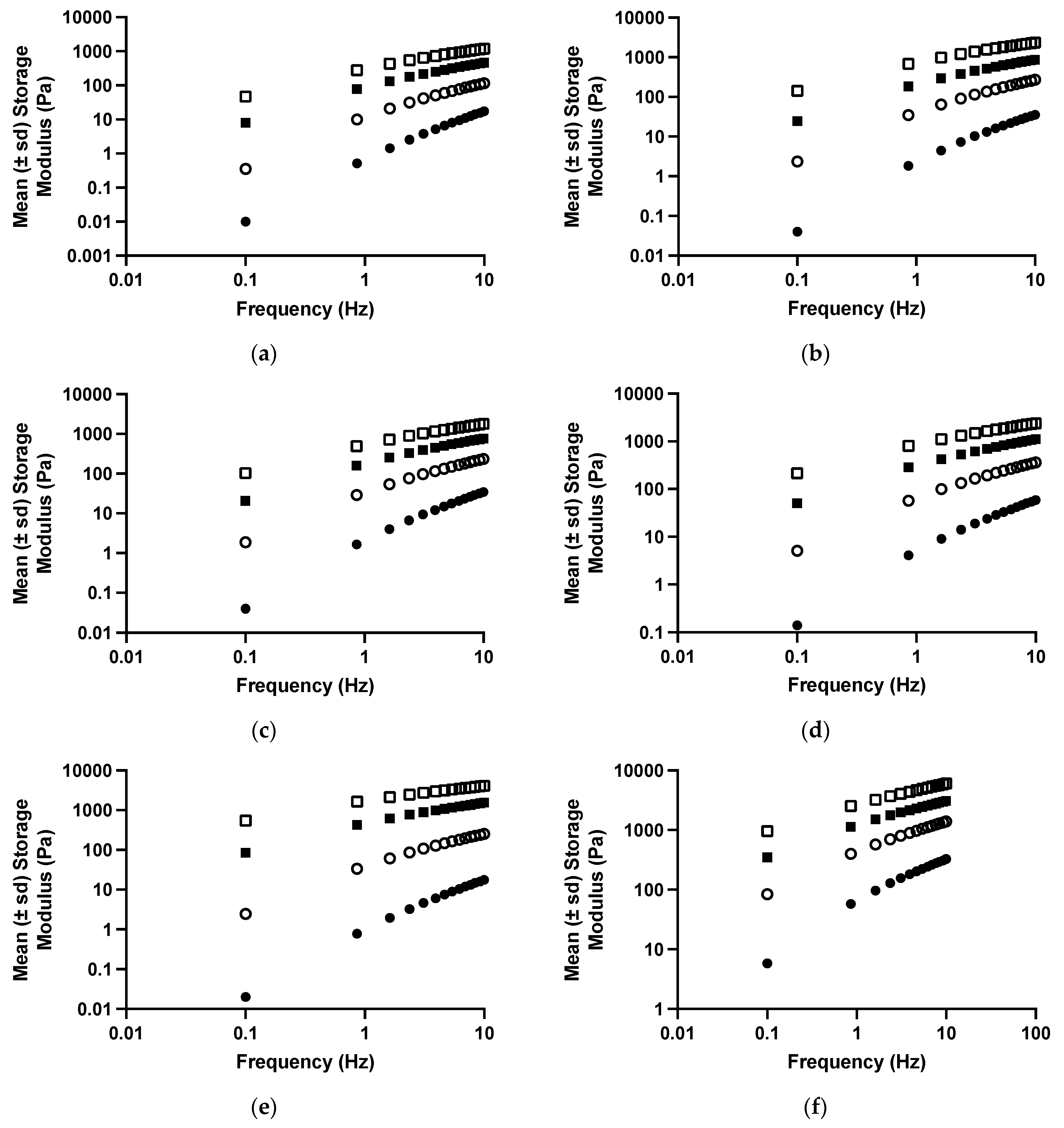
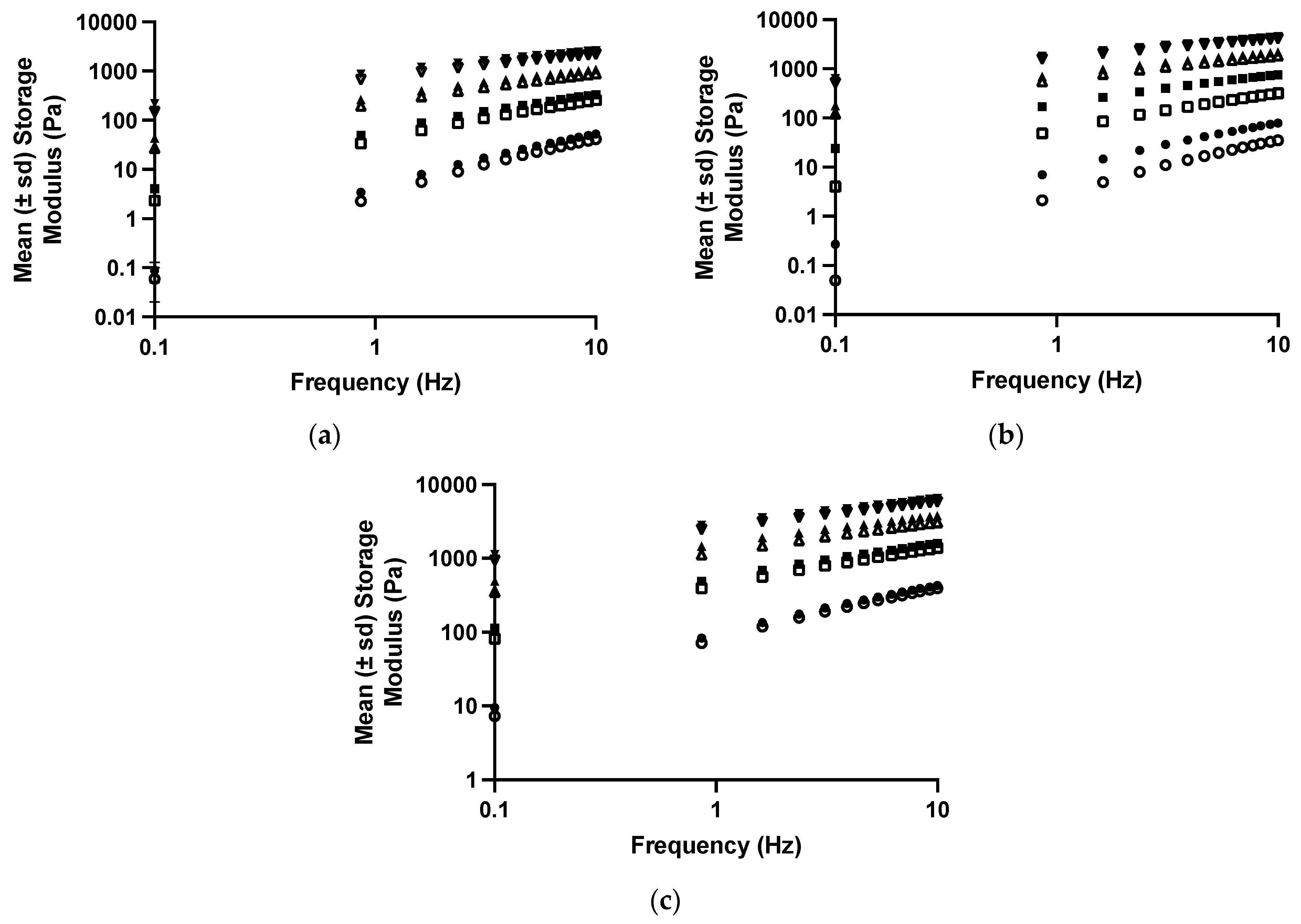
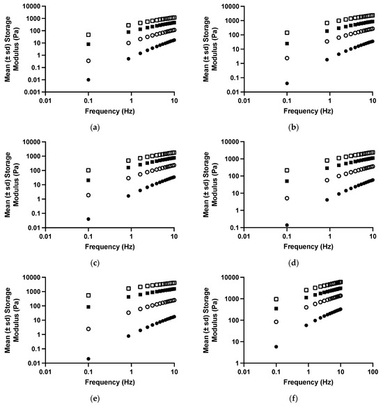
3.3. Oscillatory Analysis of Drug-Free and Tetracycline-Containing Polyologels
3.4. Mucoadhesion of Drug-Free and Tetracycline-Containing Polyologels
3.5. Release of Tetracycline from Polyologels
4. Conclusions
Author Contributions
Funding
Institutional Review Board Statement
Data Availability Statement
Conflicts of Interest
References
- Sahoo, S.; Kumar, N.; Bhattacharya, C.; Sagiri, S.S.; Jain, K.; Pal, K.; Ray, S.S.; Nayak, B. Organogels: Properties and applications in drug delivery. Des. Monomers Polym. 2011, 14, 95–108. [Google Scholar] [CrossRef]
- Iwanaga, K.; Sumizawa, T.; Miyazaki, M.; Kakemi, M. Characterization of organogel as a novel oral controlled release formulation for lipophilic compounds. Int. J. Pharm. 2010, 388, 123–128. [Google Scholar] [CrossRef]
- Vintiloiu, A.; Leroux, J.C. Organogels and their use in drug delivery—A review. J. Control. Release 2008, 125, 179–192. [Google Scholar] [CrossRef]
- Esposito, C.L.; Kirilov, P.; Roullin, V.G. Organogels, promising drug delivery systems: An update of state-of-the-art and recent applications. J. Control. Release 2018, 271, 1–20. [Google Scholar] [CrossRef]
- Rocha, J.C.B.; Lopes, J.D.; Mascarenhas, M.C.N.; Arellano, D.B.; Guerreiro, L.M.R.; da Cunha, R.L. Thermal and rheological properties of organogels formed by sugarcane or candelilla wax in soybean oil. Food Res. Int. 2013, 50, 318–323. [Google Scholar] [CrossRef]
- Sagiri, S.S.; Behera, B.; Rafanan, R.R.; Bhattacharya, C.; Pal, K.; Banerjee, I.; Rousseau, D. Organogels as Matrices for Controlled Drug Delivery: A Review on the Current State. Soft Mater. 2014, 12, 47–72. [Google Scholar] [CrossRef]
- Kumar, R.; Katare, O.P. Lecitiin organogels as a potential phospholipid-structured system for topical drug delivery: A review. Aaps Pharmscitech 2005, 6, E298–E310. [Google Scholar] [CrossRef] [PubMed]
- Ögütcü, M.; Yilmaz, E.J. Comparison of the pomegranate seed oil organogels of carnauba wax and monoglyceride. Appl. Polym. Sci. 2015, 132, 41343. [Google Scholar] [CrossRef]
- Singh, V.K.; Pramanik, K.; Ray, S.S.; Pal, K. Development and characterization of sorbitan monostearate and sesame oil-based organogels for topical delivery of antimicrobials. Aaps Pharmscitech 2015, 16, 293–305. [Google Scholar] [CrossRef]
- Kamada, M.; Pierlot, C.; Molinier, V.; Aubry, J.M.; Aramaki, K. Rheological properties of wormlike micellar gels formed by novel bio-based isosorbide surfactants. Colloids Surf. A-Physicochem. Eng. Asp. 2018, 536, 82–87. [Google Scholar] [CrossRef]
- Hashizaki, K.; Chiba, T.; Taguchi, H.; Saito, Y. Highly viscoelastic reverse worm-like micelles formed in a lecithin/urea/oil system. Colloid Polym. Sci. 2009, 287, 927–932. [Google Scholar] [CrossRef]
- Hashizaki, K.; Taguchi, H.; Saito, Y. A novel reverse worm-like micelle from a lecithin/sucrose fatty acid ester/oil system. Colloid Polym. Sci. 2009, 287, 1099–1105. [Google Scholar] [CrossRef]
- Zinic, M.; Vögtle, F.; Fages, F. Cholesterol-based gelators. In Low Molecular Mass Gelators: Design, Self-Assembly, Function; Fages, F., Ed.; Springer: Berlin/Heidelberg, Germany, 2005; pp. 39–76. [Google Scholar]
- Tokuyama, H.; Kato, Y. Preparation of thermosensitive polymeric organogels and their drug release behaviors. Eur. Polym. J. 2010, 46, 277–282. [Google Scholar] [CrossRef]
- Alsaab, H.; Bonam, S.P.; Bahl, D.; Chowdhury, P.; Alexander, K.; Boddu, S.H.S. Organolgels in drug delivery: A special emphasis on pluronic lecithin organogels. J. Pharm. Pharm. Sci. 2016, 19, 252–273. [Google Scholar] [CrossRef] [PubMed]
- Osmalek, T.; Milanowski, B.; Froelich, A.; Górska, S.; Bialas, W.; Szybowicz, M.; Kapela, M. Novel organogels for topical delivery of naproxen: Design physicochemical characteristics and in vitro drug permeation. Pharm. Dev. Technol. 2017, 22, 521–536. [Google Scholar] [CrossRef] [PubMed]
- Sallam, M.A.; Motawaa, A.M.; Mortada, S.M. An insight on human skin penetration of diflunisal: Lipogel versus hydrogel microemulsion. Drug Dev. Ind. Pharm. 2015, 41, 141–147. [Google Scholar] [CrossRef] [PubMed]
- Upadhyay, K.K.; Tiwari, C.; Khopade, A.J.; Bohidar, H.B.; Jain, S.K. Sorbitan ester organogels for transdermal delivery of sumatriptan. Drug Dev. Ind. Pharm. 2007, 33, 617–625. [Google Scholar] [CrossRef] [PubMed]
- Martin, B.; Brouillet, F.; Franceschi, S.; Perez, E. Evaluation of organogel nanoparticles as drug delivery system for lipophilic compounds. Aaps Pharmscitech 2017, 18, 1261–1269. [Google Scholar] [CrossRef] [PubMed]
- Pisal, S.; Shelke, V.; Mahadik, K.; Kadam, S. Effect of organogel components on in vitro nasal delivery of propranolol hydrochloride. Aaps Pharmscitech 2004, 5, 63. [Google Scholar] [CrossRef] [PubMed]
- Dai, M.; Bai, L.; Zhang, H.; Ma, Q.; Luo, R.; Lei, F.; Fei, Q.S.; He, N. A novel flunarizine hydrochloride-loaded organogel for intraocular drug delivery <i>in</i> <i>situ</i>: Design, physicochemical characteristics and inspection. Int. J. Pharm. 2020, 576, 119027. [Google Scholar]
- Wambura, P.N. Vaccination of chickens using raw rice coated with novel trehalose nano-organogels containing Newcastle disease (strain I-2) vaccine. Trop. Anim. Health Prod. 2009, 41, 797–802. [Google Scholar] [CrossRef] [PubMed]
- Murdan, S. Organogels in drug delivery. Expert Opin. Drug Deliv. 2005, 2, 489–505. [Google Scholar] [CrossRef]
- Martin, B.; Garrait, G.; Beyssac, E.; Goudouneche, D.; Perez, E.; Franceschi, S. Organogel Nanoparticles as a New Way to Improve Oral Bioavailability of Poorly Soluble Compounds. Pharm. Res. 2020, 37, 92. [Google Scholar] [CrossRef] [PubMed]
- Martinez, R.M.; Rosado, C.; Velasco, M.V.R.; Lannes, S.C.S.; Baby, A.R. Main features and applications of organogels in cosmetics. Int. J. Cosmet. Sci. 2019, 41, 109–117. [Google Scholar] [CrossRef]
- Gopalan, K.; Jose, J. Development of amphotericin B based organogels against mucocutaneous fungal infections. Braz. J. Pharm. Sci. 2020, 56, e17509. [Google Scholar] [CrossRef]
- Ahmed, M.M.; Fatima, F.; Mohammed, A.B. Olive oil based organogels for effective topical delivery of fluconazole: An in vitro antifungal study . J. Pharm. Res. Int. 2020, 32, 29–36. [Google Scholar] [CrossRef]
- Rehman, K.; Zulfakar, M.H. Recent advances in gel technologies for topical and transdermal drug delivery. Drug Dev. Ind. Pharm. 2014, 40, 433–440. [Google Scholar] [CrossRef]
- Mady, F.M.; Essa, A.; El-Ammawi, T.; Abdelkader, H.; Hussein, A.K. Formulation and clinical evaluation of silymarin pluronic-lecithin organogels for treatment of atopic dermatitis. Drug Des. Dev. Ther. 2016, 10, 1101–1110. [Google Scholar]
- Talaat, M.; Elnaggar, Y.S.R.; Abdalla, O.Y. Lecithin microemulsion lipogels versus conventional gels for skin targeting of terconazole: In vitro, ex vivo, and in vivo investigation. Aaps Pharmscitech 2019, 20, 161. [Google Scholar] [CrossRef]
- Murdan, S. Enhancing the nail permeability of topically applied drugs. Expert Opin. Drug Deliv. 2008, 5, 1267–1282. [Google Scholar] [CrossRef]
- Cui, H.; You, Y.; Cheng, G.-W.; Lan, Z.; Zou, K.-L.; Mai, Q.-Y.; Han, Y.-H.; Chen, H.; Zhao, Y.-Y.; Yu, G.-T. Advanced materials and technologies for oral diseases. Sci. Technol. Adv. Mater. 2023, 24, 2156257. [Google Scholar] [CrossRef]
- Chen, X.; Wu, G.; Feng, Z.; Dong, Y.; Zhou, W.; Li, B.; Bai, S.; Zhao, Y. Advanced biomaterials and their potential applications in the treatment of periodontal disease. Crit. Rev. Biotechnol. 2016, 36, 760–775. [Google Scholar] [CrossRef]
- Nguyen, S.; Hiorth, M. Advanced drug delivery systems for local treatment of the oral cavity. Ther. Deliv. 2015, 6, 595–608. [Google Scholar] [CrossRef]
- Remiro, P.D.R.; Nagahara, M.H.T.; Azoubel, R.A.; Franz-Montan, M.; d’Avila, M.A.; Moraes, A.M. Polymeric Biomaterials for Topical Drug Delivery in the Oral Cavity: Advances on Devices and Manufacturing Technologies. Pharmaceutics 2023, 15, 12. [Google Scholar] [CrossRef]
- Jones, D.S.; Laverty, T.P.; Morris, C.; Andrews, G.P. Statistical Modelling of the Rheological and Mucoadhesive Properties of Aqueous Poly(methylvinylether-co-maleic acid) Networks: Redefining biomedical applications and the relationship between viscoelasticity and mucoadhesion. Colloids Surf. B Biointerfaces 2016, 144, 125–134. [Google Scholar] [CrossRef]
- Medlicott, N.J.; Tucker, I.G.; Rathbone, M.J.; Holborow, D.W.; Jones, D.S. Chlorhexidine release from poly (ε-caprolactone) films prepared by solvent evaporation. Int. J. Pharm. 1996, 143, 25–35. [Google Scholar] [CrossRef]
- Jones, D.S.; Medlicott, N.J. Casting solvent controlled-release of chlorhexidine from ethylcellulose films prepared by solvent evaporation. Int. J. Pharm. 1995, 114, 257–261. [Google Scholar] [CrossRef]
- Andrews, G.P.; Laverty, T.P.; Jones, D.S. Mucoadhesive polymeric platforms for controlled drug delivery. Eur. J. Pharm. Biopharm. 2009, 71, 505–518. [Google Scholar] [CrossRef] [PubMed]
- Jones, D.S.; Woolfson, A.D.; Brown, A.F.; Coulter, W.A.; McClelland, C.; Irwin, C.R. Design, characterisation and preliminary clinical evaluation of a novel mucoadhesive topical formulation containing tetracycline for the treatment of periodontal disease. J. Control. Release 2000, 67, 357–368. [Google Scholar] [CrossRef] [PubMed]
- Bachhav, S.S.; Dighe, V.D.; Devarajan, P.V. Exploring peyer’s patch uptake as a strategy for targeted lung delivery of polymeric rifampicin nanoparticles. Mol. Pharm. 2018, 15, 4434–4445. [Google Scholar] [CrossRef] [PubMed]
- Demir, Y.K.; Metin, A.U.; Satiroglu, B.; Solmaz, M.E.; Kayser, V.; Mäder, K. Poly (methyl vinyl ether-co-maleic acid)—pectin based hydrogel-forming systems: Gel, film, and microneedles. Eur. J. Pharm. Biopharm. 2017, 117, 182–194. [Google Scholar] [CrossRef]
- Hao, J.S.; Chan, L.W.; Shen, Z.X.; Heng, P.W.S. Complexation between pvp and gantrez polymer and its effect on release and bioadhesive properties of the composite pvp/gantrez films. Pharm. Dev. Technol. 2004, 9, 379–386. [Google Scholar] [CrossRef]
- Andrews, G.P.; Jones, D.S. Rheological characterization of bioadhesive binary polymeric systems designed as platforms for drug delivery implants. Biomacromolecules 2006, 7, 899–906. [Google Scholar] [CrossRef]
- Jones, D.S.; Lawlor, M.S.; Woolfson, A.D. Rheological and mucoadhesive characterization of polymeric systems composed of poly(methylvinylether-co-maleic anhydride) and poly(vinylpyrrolidone), designed as platforms for topical drug delivery. J. Pharm. Sci. 2003, 92, 995–1007. [Google Scholar] [CrossRef]
- García-Ochoa, F.; Santos, V.E.; Casas, J.A.; Gómez, E. Xanthan gum: Production, recovery, and properties. Biotechnol. Adv. 2000, 18, 549–579. [Google Scholar] [CrossRef]
- Gadziński, P.; Osmałek, T.Z.; Froelich, A.; Wilmańska, O.; Nowak, A.; Tatarek, A.J. Rheological and textural analysis as tools for investigation of drug-polymer and polymer–polymer interactions on the example of low-acyl gellan gum and mesalazine. Biomater. Appl. 2022, 36, 1400–1416. [Google Scholar] [CrossRef] [PubMed]
- Jones, D.S.; Brown, A.F.; Woolfson, A.D.; Dennis, A.C.; Matchett, L.J.; Bell, S.E.J. Examination of the physical state of chlorhexidine within viscoelastic, bioadhesive semisolids using Raman spectroscopy. J. Pharm. Sci. 2000, 89, 563–571. [Google Scholar] [CrossRef]
- Carvalho, E.M.; Kumar, S. Lose the stress: Viscoelastic materials for cell engineering. Acta Biomater. 2023, 163, 146–157. [Google Scholar] [CrossRef]
- Pasquino, R.; Di Domenico, M.; Izzo, F.; Gaudino, D.; Vanzanella, V.; Grizzuti, N.; de Gennaro, B. Rheology-sensitive response of zeolite-supported anti-inflammatory drug systems. Colloid Surf. B-Biointerfaces 2016, 146, 938–944. [Google Scholar] [CrossRef] [PubMed]
- Stojkov, G.; Niyazov, Z.; Picchioni, F.; Bose, R.K. Relationship between structure and rheology of hydrogels for various applications. Gels 2021, 7, 255. [Google Scholar] [CrossRef] [PubMed]
- Accardo, J.V.; Kalow, J.A. Reversibly tuning hydrogel stiffness through photocontrolled dynamic covalent crosslinks. Chem. Sci. 2018, 9, 5987–5993. [Google Scholar] [CrossRef]
- Terech, P.; Weiss, R.G. Low molecular mass gelators of organic liquids and the properties of their gels. Chem. Rev. 1997, 97, 3133–3159. [Google Scholar] [CrossRef] [PubMed]
- Winter, H.H.; Chambon, F.J. Analysis of linear viscoelasticity of a cross-linking polymer at the gel point. J. Rheol. 1986, 30, 367–382. [Google Scholar] [CrossRef]
- Dickinson, E.J. Structure and rheology of simulated gels formed from aggregated colloidal particles. Colloid Interface Sci. 2000, 225, 2–15. [Google Scholar] [CrossRef] [PubMed]
- Hsu, S.; Lu, S.; Huang, C. Viscoelastic changes of rice starch suspensions during gelatinization. J.Food Sci. 2000, 65, 215–220. [Google Scholar] [CrossRef]
- Jones, D.S.; Woolfson, D.; Brown, A.F. Viscoelastic properties of bioadhesive, chlorhexidine- containing semi-solids for topical application to the oropharynx. Pharm. Res. 1998, 15, 1131–1136. [Google Scholar] [CrossRef]
- Mansuri, S.; Kesharwani, P.; Jain, K.; Tekade, R.K.; Jain, N.K. Mucoadhesion: A promising approach in drug delivery system. React. Funct. Polym. 2016, 100, 151–172. [Google Scholar] [CrossRef]
- Rossi, S.; Bonferoni, M.C.; Ferrari, F.; Caramella, C. Drug release and washability of mucoadhesive gels based on sodium carboxymethylcellulose and polyacrylic acid. Pharm. Dev. Technol. 1999, 4, 55–63. [Google Scholar] [CrossRef]
- Koffi, A.A.; Agnely, F.; Besnard, M.; Brou, J.K.; Grossiord, J.L.; Ponchel, G. In vitro and in vivo characteristics of a thermogelling and bioadhesive delivery system intended for rectal administration of quinine in children. Eur. J. Pharm. Biopharm. 2008, 69, 167–175. [Google Scholar] [CrossRef]
- Rinaki, E.; Valsami, G.; Macheras, P. The power law can describe the ‘entire’ drug release curve from HPMC-based matrix tablets: A hypothesis. Int. J. Pharm. 2003, 255, 199–207. [Google Scholar] [CrossRef]
- Iorgulescu, G.J. Saliva between normal and pathological. Important factors in determining systemic and oral health. Med. Life 2009, 2, 303–307. [Google Scholar]
- Subbarao, K.C.; Nattuthurai, G.S.; Sundararajan, S.K.; Sujith, I.; Joseph, J.; Syedshah, Y.P. Gingival grevicular fluid: An overview. J. Pharm. Bioallied Sci. 2019, 11, S135–S139. [Google Scholar] [CrossRef] [PubMed]





| PVM/MA Concentration (% w/w) | Solvent | Ostwald-de Waele Model | Cross Model | |
|---|---|---|---|---|
| Consistency (Pa.sn) | Rate Index | Zero Rate Viscosity (Pa.s) | ||
| 5 | Ethylene Glycol | 1.6 ± 0.0 | 0.8 ± 0.0 | 1.0 ± 0.0 |
| 10 | 11.3 ± 0.5 | 0.8 ± 0.0 | 9.17 ± 0.4 | |
| 15 | 84.5 ± 4.6 | 0.6 ± 0.0 | 63.5 ± 4.0 | |
| 20 | 334.7 ± 15.1 | 0.4 ± 0.0 | 204.2 ± 9.5 | |
| 5 | Polyethylene Glycol 400 | 1.8 ± 0.1 | 0.84 ± 0.0 | 1.3 ± 0.1 |
| 10 | 26.8 ± 0.6 | 0.8 ± 0.0 | 26.0 ± 0.2 | |
| 15 | 335.6 ± 10.6 | 0.7 ± 0.0 | 630.0 ± 25.4 | |
| 20 | 1310.0 ± 57.4 | 0.4 ± 0.0 | 7805.0 ± 159.0 | |
| 5 | Propane 1,2-diol | 3.3 ± 0.1 | 0.8 ± 0.0 | 2.4 ± 0. |
| 10 | 27.0 ± 0.6 | 0.8 ± 0.0 | 26.6 ± 1.4 | |
| 15 | 143.3 ± 6.3 | 0.7 ± 0.0 | 202.8 ± 10.9 | |
| 20 | 625.2 ± 8.1 | 0.4 ± 0.0 | 1077.1 ± 65.2 | |
| 5 | Propane 1,3-diol | 2.8 ± 0.1 | 0.9 ± 0.0 | 2.0 ± 0.1 |
| 10 | 23.1 ± 1.0 | 0.8 ± 0.0 | 21.9 ± 0.36 | |
| 15 | 116.9 ± 2.5 | 0.6 ± 0.0 | 149.9 ± 8.8 | |
| 20 | 481.2 ± 22.1 | 0.4 ± 0.0 | 571.1 ± 8.3 | |
| 5 | Pentane 1,5-diol | 4.8 ± 0.2 | 0.8 ± 0.0 | 3.8 ± 0.2 |
| 10 | 40.4 ± 0.3 | 0.8 ± 0.0 | 44.5 ± 0.6 | |
| 15 | 188.8 ± 7.8 | 0.7 ± 0.0 | 353.6 ± 3.3 | |
| 20 | 656.8 ± 7.4 | 0.4 ± 0.0 | 2086.0 ± 94.7 | |
| 5 | Glycerol | 41.7 ± 0.5 | 0.82 ± 0.00 | 49.1 ± 2.8 |
| 10 | 306.4 ± 4.63 | 0.74 ± 0.00 | 513.2 ± 6.2 | |
| 15 | 903.6 ± 16.3 | 0.57 ± 0.01 | 2691.0 ± 76.7 | |
| 20 | 2091.33 ± 24.1 | 0.37 ± 0.00 | 11,220.0 ± 570.7 | |
| Solvent | Conc. (% w/w) Tetracycline | 5% w/w PVM/MA | 10% w/w PVM/MA | 15% w/w PVM/MA | 20% w/w PVM/MA | ||||||||
|---|---|---|---|---|---|---|---|---|---|---|---|---|---|
| Consistency (Pa.sn) | Rate Index | ZRV * (Pa.s) | Consistency (Pa.sn) | Rate Index | ZRV * (Pa.s) | Consistency (Pa.sn) | Rate Index | ZRV * (Pa.s) | Consistency (Pa.sn) | Rate Index | ZRV * (Pa.s) | ||
| Propane 1,2-diol | 0 | 3.3 ± 0.1 | 0.8 ± 0.0 | 2.4 ± 0.1 | 27.0 ± 0.3 | 0.8 ± 0.0 | 26.6 ± 1.1 | 143.3 ± 6.3 | 0.7 ± 0.0 | 202.8 ± 10.9 | 625.2 ± 8.1 | 0.4 ± 0.0 | 1078.0 ± 65.2 |
| 1 | 3.3 ± 0.1 | 0.8 ± 0.0 | 2.3 ± 0.2 | 27.4 ± 0.3 | 0.8 ± 0.0 | 25.3 ± 1.3 | 144.3 ± 2.4 | 0.6 ± 0.0 | 203.4 ± 7.5 | 592.9 ± 38.7 | 0.4 ± 0.0 | 1065.9 ± 15.8 | |
| 5 | 4.6 ± 0.2 | 0.8 ± 0.0 | 3.7 ± 0.0 | 36.5 ± 0.6 | 0.8 ± 0.0 | 37.6 ± 0.6 | 189.5 ± 2.5 | 0.6 ± 0.0 | 322.5 ± 24.3 | 695.2 ± 14.2 | 0.4 ± 0.0 | 1463.8 ± 76.0 | |
| PEG 400 | 0 | 1.8 ± 0.1 | 0.8 ± 0.0 | 1.3 ± 0.0 | 26.8 ± 0.6 | 0.8 ± 0.0 | 25.9 ± 0.2 | 335.6 ± 10.6 | 0.7 ± 0.0 | 630.0 ± 25.4 | 1310.0 ± 57.4 | 0.4 ± 0.0 | 7805.0 ± 158.8 |
| 1 | 3.4 ± 0.2 | 0.8 ± 0.0 | 2.7 ± 0.2 | 36.6 ± 0.7 | 0.8 ± 0.0 | 39.3 ± 1.2 | 366.5 ± 9.8 | 0.6 ± 0.0 | 714.8 ± 36.5 | 1386.0 ± 28.6 | 0.4 ± 0.0 | 7767.8 ± 332.5 | |
| 5 | 7.4 ± 0.3 | 0.8 ± 0.0 | 6.9 ± 0.2 | 116.2 ± 3.3 | 0.8 ± 0.0 | 156.0 ± 2.1 | 507.4 ± 16.3 | 0.7 ± 0.0 | 1098.0 ± 57.7 | 1428.3 ± 67.1 | 0.4 ± 0.0 | 7474.8 ± 331.4 | |
| Glycerol | 0 | 41.8 ± 0.5 | 0.8 ± 0.0 | 49.1 ± 2.8 | 306.4 ± 4.6 | 0.7 ± 0.0 | 513.2 ± 6.2 | 903.6 ± 16.3 | 0.6 ± 0.0 | 2691.0 ± 76.7 | 2091.3 ± 24.1 | 0.4 ± 0.0 | 11,220.0 ± 570.7 |
| 1 | 42.9 ± 1.3 | 0.8 ± 0.0 | 50.5 ± 1.2 | 295.8 ± 8.2 | 0.8 ± 0.0 | 505.4 ± 11.1 | 904.0 ± 25.2 | 0.6 ± 0.0 | 2609.8 ± 22.3 | 2050.3 ± 41.4 | 0.4 ± 0.0 | 11,703.3± 1021.7 | |
| 5 | 59.0 ± 0.2 | 0.8 ± 0.0 | 70.3 ± 1.6 | 396.6 ± 14.2 | 0.8 ± 0.0 | 661.2 ± 14.7 | 1203.7 ± 42.7 | 0.6 ± 0.0 | 4347.0 ± 125.9 | 2075.3 ± 59.6 | 0.4 ± 0.0 | 12,330.0 ± 997.0 | |
| PVM/MA% w/w | Osc.Freq (Hz) | Mean (±s.d.) Loss Tangent | Mean (±s.d.) Dynamic Viscosity (Pa.s) | ||||||||||
|---|---|---|---|---|---|---|---|---|---|---|---|---|---|
| Ethylene Glycol | PEG 400 | Propane 1,2 Diol | Propane 1,3 Diol | Pentane 1,5 Diol | Glycerol | Ethylene Glycol | PEG 400 | Propane 1,2 Diol | Propane 1,3 Diol | Pentane 1,5 Diol | Glycerol | ||
| 5 | 2.37 | 5.0 ± 0.2 | 4.3 ± 0.2 | 3.5 ± 0.0 | 3.6 ± 0.0 | 2.7 ± 0.0 | 1.5 ± 0.0 | 0.8 ± 0.0 | 0.9 ± 0.0 | 1.8 ± 0.1 | 1.6 ± 0.1 | 2.6 ± 0.1 | 12.6 ± 0.7 |
| 5.39 | 3.2 ± 0.0 | 3.1 ± 0.0 | 2.5 ± 0.0 | 2.6 ± 0.0 | 2.1 ± 0.1 | 1.3 ± 0.0 | 0.7 ± 0.0 | 0.8 ± 0.0 | 1.5 ± 0.0 | 1.3 ± 0.1 | 2.0 ± 0.1 | 8.5 ± 0.5 | |
| 9.99 | 2.5 ± 0.0 | 2.4 ± 0.0 | 2.0 ± 0.0 | 2.1 ± 0.0 | 1.8 ± 0.1 | 1.2 ± 0.1 | 0.6 ± 0.0 | 0.7 ± 0.0 | 1.2 ± 0.0 | 1.1 ± 0.1 | 1.6 ± 0.1 | 6.3 ± 0.2 | |
| 10 | 2.37 | 2.3 ± 0.1 | 1.7 ± 0.0 | 1.7 ± 0.0 | 1.8 ± 0.0 | 1.5 ± 0.0 | 1.0 ± 0.0 | 4.8 ± 0.3 | 9.9 ± 0.4 | 10.4 ± 0.3 | 8.7 ± 0.2 | 13.4 ± 0.4 | 45.2 ± 0.7 |
| 5.39 | 1.8 ± 0.0 | 1.4 ± 0.0 | 1.4 ± 0.1 | 1.5 ± 0.0 | 1.3 ± 0.0 | 0.9 ± 0.0 | 3.6 ± 0.2 | 7.0 ± 0.3 | 7.2 ± 0.2 | 6.1 ± 0.1 | 9.1 ± 0.2 | 28.2 ± 0.5 | |
| 9.99 | 1.5 ± 0.2 | 1.2 ± 0.1 | 1.2 ± 0.1 | 1.3 ± 0.0 | 1.2 ± 0.0 | 0.9 ± 0.0 | 2.8 ± 0.1 | 5.2 ± 0.4 | 5.3 ± 0.2 | 4.3 ± 0.1 | 6.61 ± 0.10 | 20.2 ± 0.3 | |
| 15 | 2.37 | 1.4 ± 0.0 | 1.0 ± 0.0 | 1.2 ± 0.0 | 1.2 ± 0.0 | 1.0 ± 0.0 | 0.8 ± 0.0 | 16.2 ± 0.6 | 48.5 ± 1.8 | 29.2 ± 1.2 | 25.8 ± 0.2 | 35.7 ± 0.7 | 88.6 ± 3.0 |
| 5.39 | 1.2 ± 0.2 | 0.9 ± 0.0 | 1.0 ± 0.0 | 1.0 ± 0.0 | 0.9 ± 0.0 | 0.7 ± 0.0 | 10.58 ± 0.43 | 29.2± 1.1 | 18.2 ± 0.8 | 16.1 ± 0.2 | 21.9 ± 0.5 | 52.8 ± 2.0 | |
| 9.99 | 1.0 ± 0.0 | 0.8 ± 0.0 | 0.9 ± 0.0 | 0.9 ± 0.0 | 0.9 ± 0.0 | 0.7 ± 0.0 | 7.5 ± 0.4 | 20.1 ± 0.7 | 12.6 ± 0.6 | 11.2 ± 0.1 | 15.1 ± 0.2 | 36.9 ± 1.4 | |
| 20 | 2.37 | 1.0 ± 0.0 | 0.7 ± 0.0 | 0.9 ± 0.0 | 0.9 ± 0.0 | 0.8 ± 0.0 | 0.6 ± 0.0 | 38.0 ± 1.4 | 110.1 ± 5.1 | 69.8 ± 1.5 | 54.0 ± 1.5 | 78.5 ± 0.8 | 157.8 ± 3.1 |
| 5.39 | 0.9 ± 0.0 | 0.7 ± 0.0 | 0.8 ± 0.0 | 0.8 ± 0.0 | 0.7 ± 0.0 | 0.6 ± 0.0 | 22.9 ± 0.8 | 62.9 ± 2.0 | 40.5 ± 0.7 | 31.7 ± 1.0 | 49.6 ± 0.5 | 93.2 ± 1.6 | |
| 9.99 | 0.8 ± 0.0 | 0.4 ± 0.0 | 0.7 ± 0.0 | 0.7 ± 0.0 | 0.7 ± 0.0 | 0.6 ± 0.0 | 15.3 ± 0.5 | 42.7 ± 1.1 | 26.5 ± 0.5 | 21.1 ± 0.8 | 36.6 ± 0.4 | 64.9 ± 1.0 | |
| Solvent | PVM/MA 10% w/w | PVM/MA 15% w/w | PVM/MA 20% w/w | |||||||||
|---|---|---|---|---|---|---|---|---|---|---|---|---|
| Gel St (Pa) | Power Law Index | Crossover Freq (Hz) | Mucoadhesion (N) | Gel St (Pa) | Rheol Index | Crossover Freq (Hz) | Mucoadhesion (N) | Gel St (Pa) | Rheol Index | Crossover Freq (Hz) | Mucoadhesion (N) | |
| Ethylene Glycol | 8.7 ± 0.8 | 1.2 ± 0.0 | Not Observed | Not Observed | 73.0 ± 0.5 | 0.86 ± 0.02 | Not Observed | 0.2 ± 0.0 | 270.2 ± 9.0 | 0.7 ± 0.0 | 3.0 ± 0.0 | 0.5 ± 0.0 |
| Propane 1,2-diol | 32.1 ± 1.1 | 1.0 ± 0.0 | Not Observed | Not Observed | 173.5 ± 7.5 | 0.8 ± 0.0 | 5.2 ± 0.0 | 0.3 ± 0.0 | 658.1 ± 17.3 | 0.6 ± 0.0 | 1.4 ± 0.0 | 0.7 ± 0.0 |
| Propane 1,3-diol | 26.5 ± 1.3 | 1.0 ± 0.0 | Not Observed | Not Observed | 148.9 ± 2.8 | 0.8 ± 0.0 | 5.8 ± 0.1 | 0.3 ± 0.0 | 481.8 ± 14.3 | 0.6 ± 0.0 | 1.4 ± 0.0 | 0.7 ± 0.1 |
| Pentane 1,5-diol | 52.9 ± 1.8 | 0.9 ± 0.0 | Not Observed | 0.1 ±0.0 | 271.5 ± 6.4 | 0.7 ± 0.0 | 2.6 ± 0.1 | 0.7 ± 0.0 | 789.4 ± 7.1 | 0.5 ± 0.0 | 0.4 ± 0.0 | 1.0 ± 0.0 |
| PEG 400 | 31.3 ± 2.6 | 1.0 ± 0.0 | Not Observed | 0.2 ± 0.0 | 410.8 ± 25.2 | 0.6 ± 0.1 | 1.6 ± 0.2 | 0.8 ± 0.0 | 1614.4 ± 79.6 | 0.4 ± 0.0 | 0.1 ± 0.0 | 1.2 ± 0.0 |
| Glycerol | 384.8 ± 6.7 | 0.6 ± 0.0 | 1.7 ± 0.1 | 0.7 ± 0.0 | 1117.5 ± 45.4 | 0.5 ± 0.0 | 0.2 ± 0.0 | 1.10 ± 0.0 | 2539.8 ± 41.4 | 0.4 ± 0.0 | <0.1 | 1.8 ± 0.1 |
| Solvent | Conc. (%w/w) Tetracycline | 5% w/w PVM/MA | 10% w/w PVM/MA | 15% w/w PVM/MA | 20% w/w PVM/MA | ||||
|---|---|---|---|---|---|---|---|---|---|
| Gel Strength (Pa) | Power Law Index | Gel Strength (Pa) | Power Law Index | Gel Strength (Pa) | Power Law Index | Gel Strength (Pa) | Power Law Index | ||
| Ethylene Glycol | 0 | 0.5 ± 0.0 | 1.7 ± 0.0 | 8.7 ± 0.8 | 1.2 ± 0.0 | 73.0 ± 0.5 | 0.9 ± 0.0 | 270.2 ± 9.0 | 0.7 ± 0.0 |
| Propane 1,2-diol | 0 | 1.7 ± 0.0 | 1.4 ± 0.0 | 32.1 ± 1.1 | 1.0 ± 0.0 | 173.50 ± 7.5 | 0.8 ± 0.0 | 658.1 ± 17.3 | 0.6 ± 0.0 |
| 1 | 1.7 ± 0.1 | 1.4 ± 0.1 | 31.1 ± 1.3 | 1.0 ± 0.0 | 184.3 ± 4.8 | 0.7 ± 0.0 | 650.5 ± 7.5 | 0.6 ± 0.0 | |
| 5 | 2.4 ± 0.1 | 1.3 ± 0.0 | 46.0 ± 0.9 | 0.9 ± 0.0 | 251.4 ± 6.6 | 0.7 ± 0.0 | 848.9 ± 20.7 | 0.5 ± 0.0 | |
| Propane 1,3-diol | 0 | 1.5 ± 0.0 | 1.4 ± 0.0 | 26.5 ± 1.3 | 1.0 ± 0.0 | 148.9 ± 2.8 | 0.7 ± 0.0 | 481.8 ± 14.3 | 0.6 ± 0.0 |
| Pentane 1,5-diol | 0 | 3.8 ± 0.2 | 1.3 ± 0.0 | 52.9 ± 1.8 | 0.9 ± 0.0 | 271.5 ± 6.4 | 0.7 ± 0.0 | 789.4 ± 7.1 | 0.5 ± 0.0 |
| PEG 400 | 0 | 0.7 ± 0.1 | 1.5 ± 0.0 | 31.3 ± 2.6 | 1.0 ± 0.0 | 410.8 ± 25.2 | 0.6 ± 0.0 | 1614.3 ± 79.6 | 0.4 ± 0.0 |
| 1 | 1.7 ± 0.0 | 1.4 ± 0.0 | 44.89 ± 0.7 | 0.9 ± 0.0 | 536.5 ± 3.8 | 0.6 ± 0.0 | 1575.3 ± 25.9 | 0.4 ± 0.0 | |
| 5 | 6.43 ± 0.3 | 1.2 ± 0.0 | 160.8 ± 3.8 | 0.7 ± 0.0 | 691.9 ± 8.5 | 0.5 ± 0.0 | 1715.0 ± 138.1 | 0.4 ± 0.0 | |
| Glycerol | 0 | 53.3 ± 3.7 | 0.8 ± 0.0 | 384.8 ± 6.7 | 0.6 ± 0.0 | 1117.3 ± 45.4 | 0.5 ± 0.0 | 2539.3 ± 41.4 | 0.34 ± 0.0 |
| 1 | 55.5 ± 2.4 | 0.8 ± 0.0 | 378.2 ± 3.9 | 0.6 ± 0.0 | 1119.0 ± 18.8 | 0.5 ± 0.0 | 2458.1 ± 94.4 | 0.4 ± 0.0 | |
| 5 | 76.8 ± 2.4 | 0.8 ± 0.0 | 472.1 ± 8. | 0.6 ± 0.0 | 1455.4 ± 20.8 | 0.4 ± 0.0 | 2608.5 ± 60.9 | 0.4 ± 0.0 | |
| Solvent | Conc. (%w/w) Tetracycline | 5% w/w PVM/MA | 10% w/w PVM/MA | 15% w/w PVM/MA | 20% w/w PVM/MA | ||||
|---|---|---|---|---|---|---|---|---|---|
| Loss Tangent | Mucoadhesion (N) | Loss Tangent | Mucoadhesion (N) | Loss Tangent | Mucoadhesion (N) | Loss Tangent | Mucoadhesion (N) | ||
| Propane 1,2-diol | 0 | 1.9 ± 0.1 | Not Observed | 1.2 ± 0.1 | Not Observed | 0.9 ± 0.0 | 0.3 ± 0.0 | 0.7 ± 0.01 | 0.7 ± 0.0 |
| 1 | 2.0 ± 0.1 | Not Observed | 1.2 ± 0.0 | Not Observed | 0.9 ± 0.0 | 0.4 ± 0.0 | 0.7 ± 0.0 | 0.8 ± 0.1 | |
| 5 | 1.8 ± 0.0 | Not Observed | 1.2 ± 0.0 | Not Observed | 0.8 ± 0.0 | 0.3 ± 0.0 | 0.7 ± 0.0 | 0.9 ± 0.0 | |
| PEG 400 | 0 | 2.4 ± 0.0 | Not Observed | 1.2 ± 0.0 | Not Observed | 0.8 ± 0.0 | 0.8 ± 0.0 | 0.6 ± 0.0 | 1.2 ± 0.0 |
| 1 | 2.1 ± 0.0 | Not Observed | 1.2 ± 0.0 | Not Observed | 0.8 ± 0.0 | 0.8 ± 0.0 | 0.7 ± 0.2 | 1.2 ± 0.1 | |
| 5 | 1.6 ± 0.0 | Not Observed | 1.0 ± 0.0 | Not Observed | 0.8 ± 0.0 | 0.8 ± 0.0 | 0.6 ± 0.0 | 1.2 ± 0.1 | |
| Glycerol | 0 | 1.2 ± 0.0 | 1.3 ± 0.0 | 0.9 ± 0.0 | 1.7 ± 0.1 | 0.7 ± 0.0 | 1.1 ± 0.0 | 0.6 ± 0.0 | 1.8 ± 0.1 |
| 1 | 1.2 ± 0.0 | 1.3 ± 0.1 | 0.9 ± 0.0 | 1.7 ± 0.1 | 0.7 ± 0.0 | 1.1 ± 0.1 | 0.6 ± 0.0 | 1.7 ± 0.1 | |
| 5 | 1.1 ± 0.0 | 1.2 ± 0.1 | 0.9 ± 0.0 | 1.8 ± 0.1 | 0.7 ± 0.0 | 1.1 ± 0.1 | 0.6 ± 0.0 | 1.7 ± 0.1 | |
| Solvent | Conc. PVM/MA (% w/w) | Tetracycline 1% w/w Loading (as the Hydrochloride) | Tetracycline 5% w/w Loading (as the Hydrochloride) | ||||
|---|---|---|---|---|---|---|---|
| Time for 10% Release, t10 (h) | Time for 50% Release, t50 (h) | Release Exponent (n) | Time for 10% Release, t10 (h) | Time for 50% Release, t50 (h) | Release Exponent (n) | ||
| Propane 1,2-diol | 10 | 23.2 ± 1.9 | 142.1 ± 7.3 | 0.89 ± 0.04 | 22.9 ± 0.6 | 154.2 ± 7.4 | 0.68 ± 0.04 |
| 15 | 28.7 ± 2.0 | 197.0 ± 13.1 | 0.84 ± 0.05 | 25.2 ± 1.2 | 214.0 ± 6.8 | 0.72 ± 0.04 | |
| 20 | 42.8 ± 2.9 | 363.2 ± 14.6 | 0.76 ± 0.05 | 34.2 ± 2.0 | 281.9 ± 6.5 | 0.80 ± 0.03 | |
| PEG 400 | 10 | 50.8 ± 1.6 | 314.7 ± 9.6 | 0.89 ± 0.05 | 20.8 ± 1.5 | 224.2 ± 5.67 | 0.68 ± 0.04 |
| 15 | 53.6 ± 1.0 | 362.4 ± 10.1 | 0.88 ± 0.04 | 33.8 ± 2.2 | 317.4 ± 12.2 | 0.79 ± 0.04 | |
| 20 | 57.5 ± 1.5 | 404.9 ± 18.8 | 0.92 ± 0.02 | 64.2 ± 3.5 | 380.5 ± 12.5 | 0.89 ± 0.05 | |
| Glycerol | 10 | 38.4 ± 1.9 | 252.0 ± 2.6 | 0.80 ± 0.04 | 32.7 ± 2.1 | 269.7 ± 5.0 | 0.75 ± 0.05 |
| 15 | 44.0 ± 1.2 | 339.0 ± 8.9 | 0.78 ± 0.04 | 40.2 ± 2.4 | 309.5 ± 9.7 | 0.77 ± 0.04 | |
| 20 | 50.9 ±0.7 | 437.9 ± 16.2 | 0.76 ± 0.03 | 52.2 ± 3.7 | 389.0 ± 9.1 | 0.80 ± 0.04 | |
Disclaimer/Publisher’s Note: The statements, opinions and data contained in all publications are solely those of the individual author(s) and contributor(s) and not of MDPI and/or the editor(s). MDPI and/or the editor(s) disclaim responsibility for any injury to people or property resulting from any ideas, methods, instructions or products referred to in the content. |
© 2024 by the authors. Licensee MDPI, Basel, Switzerland. This article is an open access article distributed under the terms and conditions of the Creative Commons Attribution (CC BY) license (https://creativecommons.org/licenses/by/4.0/).
Share and Cite
Andrews, G.P.; Laverty, T.; Jones, D.S. Mucoadhesive Polymeric Polyologels Designed for the Treatment of Periodontal and Related Diseases of the Oral Cavity. Polymers 2024, 16, 589. https://doi.org/10.3390/polym16050589
Andrews GP, Laverty T, Jones DS. Mucoadhesive Polymeric Polyologels Designed for the Treatment of Periodontal and Related Diseases of the Oral Cavity. Polymers. 2024; 16(5):589. https://doi.org/10.3390/polym16050589
Chicago/Turabian StyleAndrews, Gavin P., Thomas Laverty, and David S. Jones. 2024. "Mucoadhesive Polymeric Polyologels Designed for the Treatment of Periodontal and Related Diseases of the Oral Cavity" Polymers 16, no. 5: 589. https://doi.org/10.3390/polym16050589
APA StyleAndrews, G. P., Laverty, T., & Jones, D. S. (2024). Mucoadhesive Polymeric Polyologels Designed for the Treatment of Periodontal and Related Diseases of the Oral Cavity. Polymers, 16(5), 589. https://doi.org/10.3390/polym16050589

