Development of a Modular Sandwich Panel with a Composite Core of Recycled Material for Application in Sustainable Building
Abstract
1. Introduction
2. Materials and Methods
2.1. Raw Materials and Properties
2.2. Conformation and Characterization of Panels
3. Results
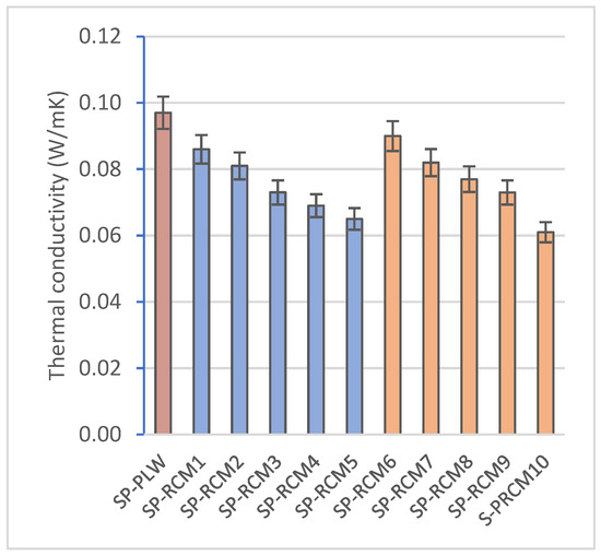
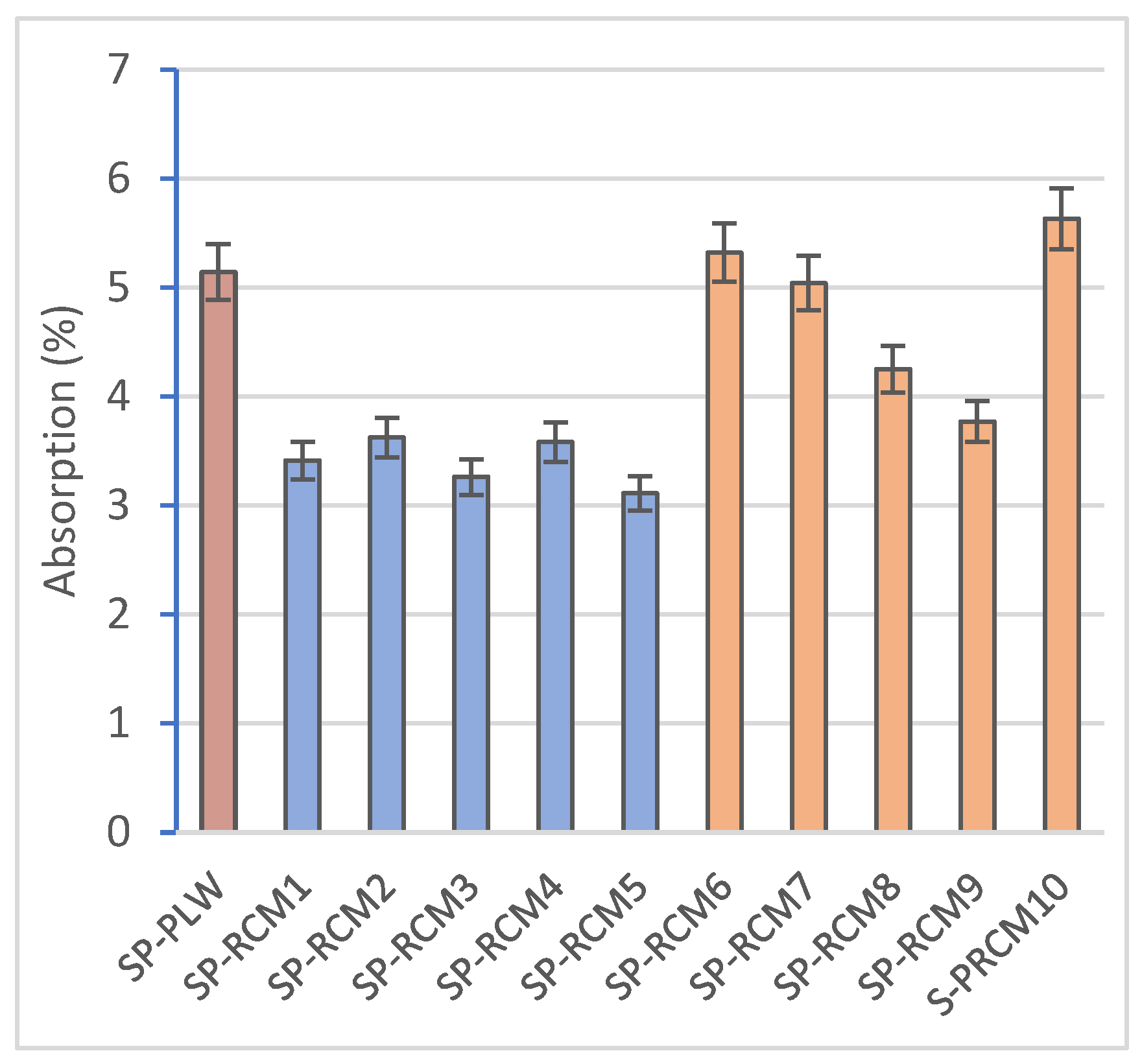
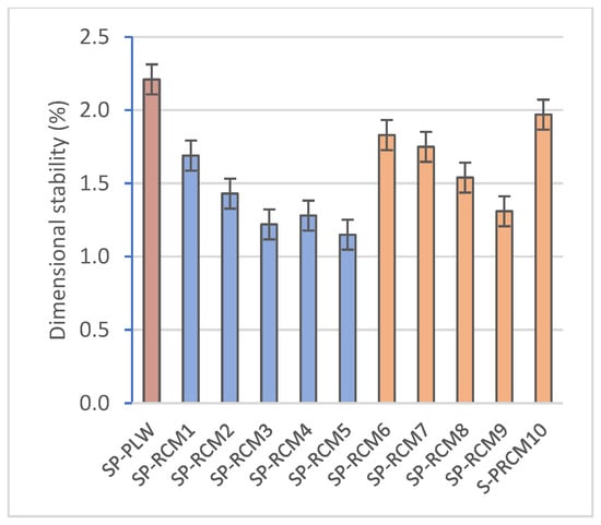
3.1. Physical Characterization of Panels
3.2. Chemical Characterization of Panels
3.3. Mechanical Characterization of Panels
3.4. Thermal Characterization of Panels
3.5. Microscopic Characterization of Panels
4. Conclusions
- The study confirms the feasibility of using recycled materials (PLW, GFRP, PUR and XPS) in varying proportions for forming sandwich panel cores, with PUR and polyester resins showing promising results for mechanical and thermal stability.
- The thermal conductivity of SP-RCM panels remains within building material standards (0.065–0.090 W/mK) and correlates with porosity. Panels with PUR resin (SP-RCM1–SP-RCM5) showed consistent porosity (~5%), while those with polyester resin (SP-RCM6–SP-RCM10) had increased porosity, peaking at 8.32% in SP-RCM10, due to adhesion issues. SP-RCM panels showed 7–37% improvements in conductivity over SP-PLW.
- All panels showed water absorption ratios between 3 and 5%, but SP-RCM10 (5.63%) and SP-PLW (5.14%) had higher absorption due to lower material adhesion caused by thermodynamic affinity problems of the polyester resin and PUR. SP-RCM1 showed 33.7% lower absorption compared to SP-PLW.
- The increase in PLW and GFRP content in the core (SP-RCM1 and SP-RCM6) shows a significant increase in the mechanical properties of the sandwich panels, obtaining compressive strength values of 1.42 and 1.19 MPa, respectively, and flexural strength values of 0.159 and 0.145 MPa, respectively, while SP-PLW presented intermediate values (1.30 and 0.150 MPa, respectively). Improvements of 4% were obtained in SP-RCM1 compared to SP-PLW. This increase is associated with the increase in the core density of SP-RCM1 (1078.78 kg/m3) and SP-RCM6 (934.58 kg/m3) due to the structural reinforcement provided by PLW, related to the lignocellulosic structure and the laminated structure of the material, and by GFRP related to the glass fibers and the polymeric matrix.
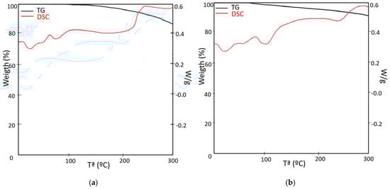
- TG-DSC analysis showed superior thermal stability in SP-RCM1, with slower degradation and gradual mass loss compared to SP-RCM6.
- SEM images revealed good resin adhesion and low porosity in most panels, but SP-RCM10 exhibited adhesion failures and higher porosity due to material workability issues with polyester resin.
- The development of the sandwich panel with a composite core of recycled material is feasible for industrial scale-up by mechanically recycling the waste and using specialized machinery to form the panels.
- These panels align with the circular economy model, offering a sustainable solution for modular construction. Panels with higher PUR and GFRP content exhibit reduced thermal conductivity and mechanical strength suitable for lightweight structural applications, ensuring compliance with technical and environmental standards.
Author Contributions
Funding
Institutional Review Board Statement
Data Availability Statement
Acknowledgments
Conflicts of Interest
References
- Zhang, Y.; Pan, M.; Pan, W.; Yang, Y.; Wu, J. Enhancing modular construction supply chain: Drivers, opportunities, con-straints, concerns, strategies, and measures. Dev. Built Environ. 2024, 18, 100408. [Google Scholar] [CrossRef]
- Illankoon, C.; Vithanage, C. Closing the loop in the construction industry: A systematic literature review on the devel-opment of circular economy. J. Build. Eng. 2023, 76, 107362. [Google Scholar] [CrossRef]
- Du, W.; Yuan, Y.H. Investigation of the relationship between economic growth and mismanaged construction waste: Evidence from 268 cities in China. J. Clean. Prod. 2024, 482, 144205. [Google Scholar] [CrossRef]
- Jayawardana, J.; Sandanayake, M.; Jayasinghe, J.A.S.C.; Kulatunga, A.K.; Zhang, G. A comparative life cycle assessment of prefabricated and traditional construction—A case of a developing country. J. Build. Eng. 2023, 72, 106550. [Google Scholar] [CrossRef]
- Yuan, L.; Yang, B.; Lu, W.; Peng, Z. Carbon footprint accounting across the construction waste lifecycle: A critical review of research. Environ. Impact Assess. Rev. 2024, 107, 107551. [Google Scholar] [CrossRef]
- Hao, H.; Bi, K.; Chen, W.; Pham, T.M.; Li, J. Towards next generation design of sustainable, durable, multi-hazard resistant, resilient, and smart civil engineering structures. Eng. Struct. 2023, 277, 115477. [Google Scholar] [CrossRef]
- Chen, L.; Huang, Z.; Pan, W.; Su, R.K.L.; Zhong, Y.; Zhang, Y. Low carbon concrete for prefabricated modular construction in circular economy: An integrated approach towards sustainability, durability, cost, and mechanical performances. J. Build. Eng. 2024, 90, 109368. [Google Scholar] [CrossRef]
- Bhandari, S.; Riggio, M.; Jahedi, S.; Fischer, E.C.; Muszynski, L.; Luo, Z. A review of modular cross laminated timber con-struction: Implications for temporary housing in seismic areas. J. Build. Eng. 2023, 63, 105485. [Google Scholar] [CrossRef]
- Baradaran-Noveiri, P.; Liu, H.; Han, S.; Zaheeruddin, M. Parametric-based design optimization of air distribution system in panelized construction. J. Build. Eng. 2022, 51, 104254. [Google Scholar] [CrossRef]
- Sharafi, P.; Mortazavi, M.; Samali, B.; Ronagh, H. Interlocking system for enhancing the integrity of multi-storey modular buildings. Autom. Constr. 2018, 85, 263–272. [Google Scholar] [CrossRef]
- Tahmoorian, F.; Nemati, S.; Sharafi, P.; Samali, B.; Khakpour, S. Punching behaviour of foam filled modular sandwich panels with high-density polyethylene skins. J. Build. Eng. 2021, 33, 101634. [Google Scholar] [CrossRef]
- Sah, T.P.; Lacey, A.W.; Hao, H.; Chen, W. Prefabricated concrete sandwich and other lightweight wall panels for sustainable building construction: State-of-the-art review. J. Build. Eng. 2024, 89, 109391. [Google Scholar] [CrossRef]
- Navaratnam, S.; Ngo, T.; Gunawardena, T.; Henderson, D. Performance Review of Prefabricated Building Systems and Future Research in Australia. Buildings 2019, 9, 38. [Google Scholar] [CrossRef]
- Li, C.Z.; Tam, V.W.; Hu, M.; Zhou, Y. Lean construction management: A catalyst for evaluating and enhancing prefabricated building project performance in China. J. Build. Eng. 2024, 94, 109930. [Google Scholar] [CrossRef]
- Yuan, Z.; Man, Q.; Guan, Z.; Yi, C.; Zheng, M.; Chang, Y.; Li, H.X. Simulation and optimization of prefabricated building construction considering multiple objectives and uncertain factors. J. Build. Eng. 2024, 86, 108830. [Google Scholar] [CrossRef]
- Shahpari, M.; Saradj, F.M.; Pishvaee, M.S.; Piri, S. Assessing the productivity of prefabricated and in-situ construction systems using hybrid multi-criteria decision-making method. J. Build. Eng. 2020, 27, 100979. [Google Scholar] [CrossRef]
- Pan, W.; Wang, Z.; Zhang, Y. Novel discrete diaphragm system of concrete high-rise modular buildings. J. Build. Eng. 2022, 51, 104342. [Google Scholar] [CrossRef]
- Rajanayagam, H.; Beatini, V.; Poologanathan, K.; Nagaratnam, B. Comprehensive evaluation of flat pack modular building systems: Design, structural performance, and operational efficiency. J. Build. Eng. 2024, 95, 110099. [Google Scholar] [CrossRef]
- Zhang, J.-Z.; Yam, M.C.H.; Li, G.-Q.; Wang, Y.-Z. Anti-collapse behavior of modular steel buildings with corrugated panels. J. Constr. Steel Res. 2022, 193, 107279. [Google Scholar] [CrossRef]
- Lacey, A.W.; Chen, W.; Hao, H.; Bi, K. Structural response of modular buildings—An overview. J. Build. Eng. 2018, 16, 45–56. [Google Scholar] [CrossRef]
- Kamali, M.; Hewage, K.; Milani, A.S. Life cycle sustainability performance assessment framework for residential modular buildings: Aggregated sustainability indices. Build. Environ. 2018, 138, 21–41. [Google Scholar] [CrossRef]
- Proença, M.; Santos, P.; Godinho, L.; e Sousa, A.N.; Correia, J.R.; Garrido, M.; Sena-Cruz, J. Acoustic behaviour of GFRP-PUR web-core composite sandwich panels. Constr. Build. Mater. 2024, 438, 137195. [Google Scholar] [CrossRef]
- Elettore, E.; Latour, M.; D’Aniello, M.; Landolfo, R.; Rizzano, G. Prototype Tests on Screwed Steel–Aluminium Foam–Steel Sandwich Panels. Buildings 2023, 13, 2836. [Google Scholar] [CrossRef]
- Kim, Y.U.; Yang, S.; Wi, S.; Kim, S. Evaluation of heterogeneous core sandwich panels for energy efficiency and fire safety in warehouse buildings. Appl. Therm. Eng. 2024, 249, 123455. [Google Scholar] [CrossRef]
- Hung Anh, L.D.; Pásztory, Z. An overview of factors influencing thermal conductivity of building insulation materials. J. Build. Eng. 2021, 44, 102604. [Google Scholar] [CrossRef]
- Abu-Jdayil, B.; Mourad, A.-H.; Hittini, W.; Hassan, M.; Hameedi, S. Traditional, state-of-the-art and renewable thermal building insulation materials: An overview. Constr. Build. Mater. 2019, 214, 709–735. [Google Scholar] [CrossRef]
- Proença, M.; Sousa, A.N.E.; Garrido, M.; Correia, J.R. Acoustic performance of composite sandwich panels for building floors: Experimental tests and numerical-analytical simulation. J. Build. Eng. 2020, 32, 101751. [Google Scholar] [CrossRef]
- Garrido, M.; Madeira, J.F.A.; Proença, M.; Correia, J.R. Multi-objective optimization of pultruded composite sandwich panels for building floor rehabilitation. Constr. Build. Mater. 2019, 198, 465–478. [Google Scholar] [CrossRef]
- Proença, M.; Garrido, M.; Correia, J.R.; Sena-Cruz, J. Experimental study on the fire resistance of all-composite and hybrid web-core sandwich panels for building floors. Compos. Struct. 2024, 337, 118071. [Google Scholar] [CrossRef]
- Gomez, A.; Sanchez-Saez, S.; Barbero, E. Experimental analysis of the impact behaviour of sandwich panels with sustainable cores. Compos. Part A Appl. Sci. Manuf. 2023, 166, 107383. [Google Scholar] [CrossRef]
- Yan, Z.; Shen, C.; Fang, H.; Xie, L.; Bao, X.; Wang, H. Compressive performance of full-scale GFRP composite sandwich wall panels with wood core. J. Build. Eng. 2024, 86, 108979. [Google Scholar] [CrossRef]
- Yu, S.; Liu, Y.; Wang, D.; Bahaj, A.S.; Wu, Y.; Liu, J. Review of thermal and environmental performance of prefabricated buildings: Implications to emission reductions in China. Renew. Sustain. Energy Rev. 2021, 137, 110472. [Google Scholar] [CrossRef]
- Amran, Y.H.M.; El-Zeadani, M.; Lee, Y.H.; Lee, Y.Y.; Murali, G.; Feduik, R. Design innovation, efficiency and applications of structural insulated panels: A review. Structures 2020, 27, 1358–1379. [Google Scholar] [CrossRef]
- Ferreira, S.; Morais, M.; Costa, V.; Velosa, A.; Vela, G.; Teles, J.; Pereira, T. Modular sandwich panel system for non-loadbearing walls—Experimental mechanical, fire and acoustic testing. J. Build. Eng. 2023, 78, 107642. [Google Scholar] [CrossRef]
- Meddour, M.; Salem, A.S.; Taleb, S.A. Bending behavior of new composited sandwich panels with GFRP waste based-core and PVC facesheets: Experimental design, modeling and optimization. Constr. Build. Mater. 2024, 426, 136117. [Google Scholar] [CrossRef]
- Segura, J.; Montava, I.; Juliá, E.; Gadea, J.M. Acoustic and thermal properties of panels made of fruit stones waste with coconut fibre. Constr. Build. Mater. 2024, 426, 136054. [Google Scholar] [CrossRef]
- Silva, V.U.; Nascimento, M.F.; Oliveira, P.R.; Panzera, T.H.; Rezende, M.O.; Silva, D.A.L.; Aquino, V.B.d.M.; Lahr, F.A.R.; Christoforo, A.L. Circular vs. linear economy of building materials: A case study for particleboards made of recycled wood and biopolymer vs. conventional particleboards. Constr. Build. Mater. 2021, 285, 122906. [Google Scholar] [CrossRef]
- Mazaherifar, M.H.; Coşereanu, C.; Timar, C.M.; Georgescu, S.-V. Physical and mechanical properties of foam-type panels manufactured from recycled cardboard. Constr. Build. Mater. 2024, 411, 134685. [Google Scholar] [CrossRef]
- Lakreb, N.; Şen, U.; Toussaint, E.; Amziane, S.; Djakab, E.; Pereira, H. Physical properties and thermal conductivity of cork-based sandwich panels for building insulation. Constr. Build. Mater. 2023, 368, 130420. [Google Scholar] [CrossRef]
- Sala, B.; Watjanatepin, P.; Zarafshani, H.; Guicheret-Retel, V.; Trivaudey, F.; Scarpa, F.; Van Acker, K.; Placet, V. Creep behaviour of eco-friendly sandwich composite materials under hygrothermal conditions. Compos. Part B Eng. 2022, 247, 110291. [Google Scholar] [CrossRef]
- Ajayi, A.A.; Pandurangan, M.T.; Krishnan, K. Development of epoxy-based sandwich composite panel with hollow glass microspheres/clay hybrid core and banana fiber facesheet for structural applications. Heliyon 2024, 10, e30428. [Google Scholar] [CrossRef] [PubMed]
- Ertan, R.; Kuş, A.; Durgun, İ. The flexural behavior of the epoxy and polyester based composite sandwich structures at subzero temperatures. Mater. Lett. 2020, 272, 127841. [Google Scholar] [CrossRef]
- Wang, C.; Abidin, S.Z.; Toyong, N.M.P.; Zhu, W.; Zhang, Y. Mildew resistance and antibacterial activity of plywood decorated with ZnO/TiO2 nanoparticle. J. Saudi Chem. Soc. 2024, 28, 101877. [Google Scholar] [CrossRef]
- Cao, Y.; Teng, Y.; Zhang, P.; Bao, J.; Feng, P.; Li, R.; Wang, W. UV ageing of epoxy resin-based glass fiber-reinforced polymer composites incorporating with various curing agents. Mater. Today Commun. 2024, 40, 110061. [Google Scholar] [CrossRef]
- Ou, Y.; Sun, Y.; Guo, X.; Jiao, Q. Investigation on the thermal decomposition of hydroxyl terminated polyether based pol-yurethanes with inert and energetic plasticizers by DSC-TG-MS-FTIR. J. Anal. Appl. Pyrolysis 2018, 132, 94–101. [Google Scholar] [CrossRef]
- Zhao, X.; Liu, Y.; Lv, Y.; Liu, M. Research on lignin-modified flexible polyurethane foam and its application in sound ab-sorption. J. Ind. Eng. Chem. 2024, 137, 327–337. [Google Scholar] [CrossRef]
- Jofrishal, J.; Adlim, M.; Yusibani, E.; Akhyar, A.; Rahmayani, R.F.I.; Fajri, R. Preparation and characterization of indoor heat blockage panel composites made of polyurethane-hybrid-foam-concrete and rice-husk-ash. Heliyon 2023, 9, e18925. [Google Scholar] [CrossRef] [PubMed]
- Lu, J.; Sun, X.; Chen, Z.; Jiang, P.; Li, L.; Wang, M. Sandwich-structure inspired super-tough and fire-resistant plywood con-taining vinyl acetate-ethylene based adhesive reinforced by melamine amino trimethyl phosphate and sodium lignosul-fonate. Polym. Degrad. Stab. 2024, 221, 110669. [Google Scholar] [CrossRef]
- Wang, W.; Sun, S.; Shi, Y.; Tang, W.; Cui, S.; Sun, D.; Liu, H.; Wang, H.; Jin, X. The chemical bonding of extruded polystyrene foam with mortar through UV curable organic-inorganic hybrid coatings. Constr. Build. Mater. 2024, 411, 134572. [Google Scholar] [CrossRef]
- Bekhta, P.; Sedliačik, J.; Kusniak, I.; Gryc, V.; Pipíška, T.; Ráheľ, J.; Lepcio, P.; Pavliňák, D.; Tymyk, D.; Chernetskyi, O. Enhancing the properties of thermoplastic-bonded plywood by treating the birch veneers with citric acid. Int. J. Adhes. Adhes. 2024, 134, 103781. [Google Scholar] [CrossRef]
- Herzele, S.; Van Herwijnen, H.W.; Griesser, T.; Gindl-Altmutter, W.; Rößler, C.; Konnerth, J. Differences in adhesion between 1C-PUR and MUF wood adhesives to (ligno)cellulosic surfaces revealed by nanoindentation. Int. J. Ad-Hesion Adhes. 2020, 98, 102507. [Google Scholar] [CrossRef]
- Salemane, M.G.; Baruwa, A.D.; Makhatha, M.E. Investigating the chemical stability and thermal functionality of DMPT promoted TiO2 nanoparticles on unsaturated polyester resin. Results Eng. 2024, 22, 102116. [Google Scholar] [CrossRef]
- Winkler-Skalna, A.; Łoboda, B. Determination of the thermal insulation properties of cylindrical PUR foam products throughout the entire life cycle using accelerated aging procedures. J. Build. Eng. 2020, 31, 101348. [Google Scholar] [CrossRef]
- Jiao, L.; Xiao, H.; Wang, Q.; Sun, J. Thermal degradation characteristics of rigid polyurethane foam and the volatile products analysis with TG-FTIR-MS. Polym. Degrad. Stab. 2013, 98, 2687–2696. [Google Scholar] [CrossRef]
- Rico, J.J.; Pérez-Orozco, R.; Vilas, D.P.; Porteiro, J. TG/DSC and kinetic parametrization of the combustion of agricultural and forestry residues. Biomass Bioenergy 2022, 162, 106485. [Google Scholar] [CrossRef]
- UNE-EN 60068-2-67:1997/A1:2019; Environmental Testing—Part 2: Testing Part 2: Tests. Test Cy: Continuous Damp Heat Test, Accelerated Test Mainly Applicable to Components. Spanish Association for Standardisation (UNE): Madrid, Spain, 2019. Available online: https://www.une.org/encuentra-tu-norma/busca-tu-norma/norma?c=N0062494 (accessed on 17 September 2024).
- UNE-EN 1604:2013; Thermal Insulating Products for Building Applications. Determination of Dimensional Stability Under Specified Temperature and Humidity Conditions. Spanish Association for Standardisation (UNE): Madrid, Spain, 2013. Available online: https://www.une.org/encuentra-tu-norma/busca-tu-norma/norma?c=N0052034#:~:text=Productos%20aislantes%20t%C3%A9rmicos%20para%20aplicaciones,espec%C3%ADficas%20de%20temperatura%20y%20humedad (accessed on 17 September 2024).
- UNE-EN 12667:2002; Thermal Performance of Building Materials and Products. Determination of Thermal Resistance by Means of Guarded Hot Plate and Heat Flow Meter Methods. Products of High and Medium Thermal Resistance. Spanish Association for Standardisation (UNE): Madrid, Spain, 2002. Available online: https://www.une.org/encuentra-tu-norma/busca-tu-norma/norma?c=N0027459 (accessed on 17 September 2024).
- UNE-EN ISO 29470:2021; Thermal Insulating Products for Building Applications. Determination of the Apparent Density. Spanish Association for Standardisation (UNE): Madrid, Spain, 2021. Available online: https://www.une.org/encuentra-tu-norma/busca-tu-norma/norma?c=N0065397 (accessed on 17 September 2024).
- UNE-EN 826:2013; Thermal Insulating Products for Building Applications. Determination of Compression Behaviour. Spanish Association for Standardisation (UNE): Madrid, Spain, 2013. Available online: https://www.une.org/encuentra-tu-norma/busca-tu-norma/norma?c=N0052037 (accessed on 17 September 2024).
- UNE-EN ISO 14125:1999/A1:2011; Fibre-Reinforced Plastic Composites. Determination of Flexural Properties. Amendment. Spanish Association for Standardisation (UNE): Madrid, Spain, 2011. Available online: https://tienda.aenor.com/norma-une-en-iso-14125-1999-a1-2011-n0047459 (accessed on 17 September 2024).
- UNE-EN ISO 11357-1:2023; Plastics. Differential Scanning Calorimetry (DSC)—Part 1: General Principles (ISO 11357-1:2023). Medical Devices—Part 1: General Principles (ISO 11357-1:2023). Amendment. Spanish Association for Standardisation (UNE): Madrid, Spain, 2023. Available online: https://www.une.org/encuentra-tu-norma/busca-tu-norma/norma?c=N0072328 (accessed on 17 September 2024).
- Jin, Q.; Zhang, Z.; Chen, J. A study on the thermal performance of Pleurotus Ostreatus/Straw mycelium composites and its application in building envelopes. J. Build. Eng. 2024, 92, 109646. [Google Scholar] [CrossRef]
- Saito, S.; Sato, S.; Arao, Y. The effect of processing/curing temperature and viscosity of epoxy resins on the flexural/tensile properties of GNP-epoxy resin nanocomposites. Compos. Part A Appl. Sci. Manuf. 2024, 183, 108222. [Google Scholar] [CrossRef]
- Imjai, T.; Kefyalew, F.; García, R.; Kim, B.; Bras, A.; Sukontasukkul, P. Performance of a novel structural insulated panel in tropical climates: Experimental and numerical studies. Constr. Build. Mater. 2024, 421, 135568. [Google Scholar] [CrossRef]
- Srimuang, K.; Imjai, T.; Kefyalew, F.; Raman, S.N.; Garcia, R.; Chaudhary, S. Thermal and acoustic performance of masonry walls with phase change materials: A comparison of scaled-down houses in tropical climates. J. Build. Eng. 2024, 82, 108315. [Google Scholar] [CrossRef]
- Imjai, T.; Kefyalew, F.; Sharma, A.; García, R. Thermo-Mechanical Behaviour of a New SIP Wall Under Axially Compressive Load. Int. J. Civ. Eng. 2024. [Google Scholar] [CrossRef]
- Zanjani, J.S.M.; Baran, I.; Akkerman, R. Characterization of interdiffusion mechanisms during co-bonding of un-saturated polyester resin to thermoplastics with different thermodynamic affinities. Polymer 2020, 209, 122991. [Google Scholar] [CrossRef]
- Das, S.; Gašparík, M.; Sethy, A.K.; Kytka, T.; Kamboj, G.; Rezaei, F. Bonding performance of mixed species cross laminated timber from poplar (Populus nigra L.) and maple (Acer platanoides L.) glued with melamine and PUR adhesive. J. Build. Eng. 2023, 68, 106159. [Google Scholar] [CrossRef]
- Huang, S.; Yan, L.; Bachtiar, E.V.; Kasal, B. Durability of epoxy and polyurethane bonded timber-hybrid FRP joints under hygrothermal and weathering conditions. J. Build. Eng. 2022, 58, 104989. [Google Scholar] [CrossRef]
- Huang, S.; Bachtiar, E.; Yan, L.; Kasal, B. Bond behaviour and thermal stability of flax/glass hybrid fibre reinforced polymer–timber structures connected by polyurethane. Constr. Build. Mater. 2022, 322, 126456. [Google Scholar] [CrossRef]
- Jin, X.; Cui, S.; Zhang, Y.; Zhao, X.; Lv, F.; Sun, S.; Tian, Y.; Zhao, Z.; Liu, D. Covalent bonding of the extruded polystyrene foams to mortar through ultraviolet-ozone irradiation. Constr. Build. Mater. 2022, 325, 126801. [Google Scholar] [CrossRef]
- Nemati, A.; Fu, Q.; Yan, L.; Kasal, B. Interfacial bond strength of epoxy and PUR adhesively bonded timber-concrete composite joints manufactured in dry and wet processes. Constr. Build. Mater. 2021, 311, 125356. [Google Scholar] [CrossRef]




















| Resin Type | Curing Temperature (°C) | Time Types | Waiting Times (min) | Viscosity (cps) | Density (kg/m3) |
|---|---|---|---|---|---|
| Polyester resin 5-1026 | 25 | Open time | 16–20 | ||
| Hardening time | 32–37 | 4000 (20 °C) | 1109 | ||
| Curing time | 1440 | ||||
| Neopur 1791 | 20–22 °C | Open time | 40–45 | ||
| Hardening time | 300–480 | 200–250 (25 °C) | 1620 | ||
| Curing time | 1440 |
| Functional Group | Wavenumber Range (cm−1) | FTIR Peaks (cm−1) | References | |||
|---|---|---|---|---|---|---|
| Raw Materials | PUR | XPS | PLW | GFRP | ||
| Stretching vibration O-H | 3335, 3334 | 3334 | - | 3335 | - | [43,44] |
| Stretching vibration N-H | 3078–2951 | 2951 | 3078–3024 | - | 3025 | [44,45,46] |
| Stretching vibration C-H | 2915–2848 | 2869 | 2918–2848 | 2915 | - | [44,45] |
| Asymmetric stretching vibration C=O | 1731–1701 | 1701 | - | 1731 | 1718 | [46,47] |
| Stretching vibration C=C | 1645–1218 | 1595–1274 | 1600–1349 | 1645–1236 | 1599–1277 | [48,49] |
| Asymmetric stretching vibration C-O | 1158–662 | 1116–640 | 1181–695 | 1158–662 | 1066–697 | [43,44,50] |
| Raw Materials | Density (kg/m3) |
|---|---|
| XPS | 40.82 |
| PUR | 40.03 |
| PLW | 505.74 |
| GFRP | 1201.67 |
| Atmosphere | Raw Material | Temperature Range (°C) | Weight Loss (%) |
|---|---|---|---|
| Air | XPS | 0–365 | 7 |
| 365–400 | 84 | ||
| 400–500 | 92 | ||
| PUR | 0–220 | 8 | |
| 220–440 | 51 | ||
| 440–500 | 60 | ||
| PLW | 0–337 | 3 | |
| 337–398 | 88 | ||
| 398–500 | 94 | ||
| GFRP | 0–302 | 11 | |
| 302–420 | 28 | ||
| 420–500 | 37 |
| Specimen | PUR (%) | XPS (%) | PLW (%) | GFRP (%) | PUR Resin (%) | Polyester Resin (%) | Hardening Agent (%) | RCM/Resin |
|---|---|---|---|---|---|---|---|---|
| SP-PLW | - | - | 100 | - | - | - | - | - |
| SP-RCM1 | 0.50 | 0.50 | 32.00 | 32.00 | 26.25 | - | 8.75 | 1.9 |
| SP-RCM2 | 2.25 | 2.25 | 30.00 | 30.50 | 26.25 | - | 8.75 | 1.9 |
| SP-RCM3 | 3.75 | 3.75 | 29.00 | 28.50 | 26.25 | - | 8.75 | 1.9 |
| SP-RCM4 | 5.00 | 5.00 | 28.00 | 27.00 | 26.25 | - | 8.75 | 1.9 |
| SP-RCM5 | 6.25 | 6.25 | 27.00 | 25.50 | 26.25 | - | 8.75 | 1.9 |
| SP-RCM6 | 0.50 | 0.50 | 32.00 | 32.00 | - | 34.30 | 0.70 | 1.9 |
| SP-RCM7 | 2.25 | 2.25 | 30.00 | 30.50 | - | 34.30 | 0.70 | 1.9 |
| SP-RCM8 | 3.75 | 3.75 | 29.00 | 28.50 | - | 34.30 | 0.70 | 1.9 |
| SP-RCM9 | 5.00 | 5.00 | 28.00 | 27.00 | - | 34.30 | 0.70 | 1.9 |
| SP-RCM10 | 6.25 | 6.25 | 27.00 | 25.50 | - | 34.30 | 0.70 | 1.9 |
| Parameter | Standard | Equipment |
|---|---|---|
| Moisture absorption | UNE-EN 60068-2-67-1997/A1:2019 [56] | Moisture chamber Dycometal SSC 140 |
| Dimensional stability | UNE-EN 1604:2013 [57] | Moisture chamber Dycometal SSC 140 |
| Thermal conductivity | UNE-EN 12667:2002 [58] | HFM 446 Lambda Eco-Line Netzsch |
| Density | UNE-EN ISO 29470:2021 [59] | Balance RB-30KG Cobos |
| Porosity | - | SkyScan 2214 Bruker |
| Compressive strength | UNE-EN 826:2013 [60] | Shimadzu AG-300 KNX |
| Flexural strength | UNE-EN ISO 141251999-A1:2011 [61] | Shimadzu AG-300 KNX |
| TG-DTG-DSC | UNE-EN ISO 11357-1:2023 [62] | Metler Toledo |
| FTIR | - | FT-IR Vertex 70 Bruker |
| SEM-EDX | - | Microscope Carl Zeiss Merlin |
| Specimen | Dimensional Stability (%) | Absorption (%) | Density (kg/m3) | Porosity (%) | Thermal Conductivity (W/mK) |
|---|---|---|---|---|---|
| SP-PLW | 2.21 ± 0.12 | 5.14 ± 0.38 | 830.65 ± 21.42 | 4.40 ± 0.11 | 0.097 ± 0.004 |
| SP-RCM1 | 1.69 ± 0.31 | 3.41 ± 0.54 | 1078.78 ± 25.46 | 4.84 ± 0.13 | 0.086 ± 0.005 |
| SP-RCM2 | 1.43 ± 0.22 | 3.62 ± 0.39 | 1052.05 ± 38.94 | 5.03 ± 0.24 | 0.081 ± 0.005 |
| SP-RCM3 | 1.22 ± 0.24 | 3.26 ± 0.18 | 1024.17 ± 32.11 | 4.77 ± 0.15 | 0.073 ± 0.002 |
| SP-RCM4 | 1.28 ± 0.13 | 3.58 ± 0.38 | 1002.10 ± 30.70 | 4.83 ± 0.24 | 0.069 ± 0.004 |
| SP-RCM5 | 1.15 ± 0.15 | 3.11 ± 0.45 | 980.03 ± 32.19 | 4.78 ± 0.19 | 0.065 ± 0.008 |
| SP-RCM6 | 1.83 ± 0.18 | 5.32 ± 0.30 | 934.58 ± 27.69 | 7.18 ± 0.14 | 0.090 ± 0.004 |
| SP-RCM7 | 1.75 ± 0.25 | 5.04 ± 0.19 | 907.86 ± 19.81 | 7.04 ± 0.20 | 0.082 ± 0.003 |
| SP-RCM8 | 1.54 ± 0.11 | 4.25 ± 0.22 | 879.98 ± 13.78 | 7.12 ± 0.17 | 0.077 ± 0.004 |
| SP-RCM9 | 1.31 ± 0.09 | 3.77 ± 0.43 | 857.91 ± 21.13 | 6.98 ± 0.09 | 0.073 ± 0.007 |
| SP-RCM10 | 1.97 ± 0.15 | 5.63 ± 0.37 | 835.84 ± 25.58 | 8.32 ± 0.22 | 0.061 ± 0.006 |
| Functional Group | Wavenumber Range (cm−1) | References |
|---|---|---|
| Stretching vibration O-H | 3334–3011 | [43,70] |
| Stretching vibration C-H | 2936–2808 | [70,71] |
| Asymmetric stretching vibration C=O | 1798–1635 | [71] |
| Stretching vibration C=C | 1597–1221 | [72] |
| Asymmetric stretching vibration C-O | 1180–1043 | [50,72] |
| Stretching vibration C-H | 972–711 | [72] |
| Specimen | Compressive Strength (MPa) | Flexural Strength (MPa) |
|---|---|---|
| SP-PLW | 1.30 ± 0.15 | 0.150 ± 0.015 |
| SP-RCM1 | 1.42 ± 0.12 | 0.159 ± 0.009 |
| SP-RCM2 | 1.36 ± 0.09 | 0.156 ± 0.005 |
| SP-RCM3 | 1.28 ± 0.15 | 0.149 ± 0.006 |
| SP-RCM4 | 1.13 ± 0.06 | 0.142 ± 0.003 |
| SP-RCM5 | 1.02 ± 0.07 | 0.129 ± 0.011 |
| SP-RCM6 | 1.19 ± 0.08 | 0.145 ± 0.004 |
| SP-RCM7 | 1.07 ± 0.12 | 0.121 ± 0.002 |
| SP-RCM8 | 0.94 ± 0.08 | 0.115 ± 0.004 |
| SP-RCM9 | 0.89 ± 0.09 | 0.103 ± 0.008 |
| SP-RCM10 | 0.63 ± 0.08 | 0.081 ± 0.006 |
| Atmosphere | Sample | Temperature Range (°C) | Weight Loss (%) | Heat (J/g) |
|---|---|---|---|---|
| Air | SP-RCM1 | 0–122 | 1.33 | −25.56 |
| 123–297 | 8.65 | 39.06 | ||
| SP-RCM6 | 0–116 | 1.48 | −23.09 | |
| 117–293 | 9.50 | 36.31 |
Disclaimer/Publisher’s Note: The statements, opinions and data contained in all publications are solely those of the individual author(s) and contributor(s) and not of MDPI and/or the editor(s). MDPI and/or the editor(s) disclaim responsibility for any injury to people or property resulting from any ideas, methods, instructions or products referred to in the content. |
© 2024 by the authors. Licensee MDPI, Basel, Switzerland. This article is an open access article distributed under the terms and conditions of the Creative Commons Attribution (CC BY) license (https://creativecommons.org/licenses/by/4.0/).
Share and Cite
Valenzuela Expósito, J.J.; Picazo Camilo, E.; Corpas Iglesias, F.A. Development of a Modular Sandwich Panel with a Composite Core of Recycled Material for Application in Sustainable Building. Polymers 2024, 16, 3604. https://doi.org/10.3390/polym16243604
Valenzuela Expósito JJ, Picazo Camilo E, Corpas Iglesias FA. Development of a Modular Sandwich Panel with a Composite Core of Recycled Material for Application in Sustainable Building. Polymers. 2024; 16(24):3604. https://doi.org/10.3390/polym16243604
Chicago/Turabian StyleValenzuela Expósito, Juan José, Elena Picazo Camilo, and Francisco Antonio Corpas Iglesias. 2024. "Development of a Modular Sandwich Panel with a Composite Core of Recycled Material for Application in Sustainable Building" Polymers 16, no. 24: 3604. https://doi.org/10.3390/polym16243604
APA StyleValenzuela Expósito, J. J., Picazo Camilo, E., & Corpas Iglesias, F. A. (2024). Development of a Modular Sandwich Panel with a Composite Core of Recycled Material for Application in Sustainable Building. Polymers, 16(24), 3604. https://doi.org/10.3390/polym16243604

