Application of Fuzzy Adaptive Impedance Control Based on Backstepping Method for PAM Elbow Exoskeleton in Rehabilitation
Abstract
1. Introduction
- I.
- Following the principles of fuzzy adaptive control, a two-tier architecture control method was developed for the PAM elbow exoskeleton, designed to adjust impedance parameters for physical interaction during rehabilitation tasks.
- II.
- To enhance position-tracking performance under uncertain time-varying disturbances and modeling errors, a P-type repetitive learning control strategy was integrated with the backstepping control method and an adaptive law.
2. Materials and Methods
2.1. The Design of the PAM Elbow Exoskeleton
2.2. Higher-Layer Control Method: Variable Impedance Control Method Based on Fuzzy Rules
2.3. The Lower-Layer Control Method: Backstepping Repetitive Learning Control
- (1)
- In the 1-DOF rigid linkage model, several parameters (e.g., , , and ) could not be determined because of the nonlinear disturbance introduced by the human in the loop.
- (2)
- The uncertain time-varying term (i.e., ) could not be estimated or identified directly.
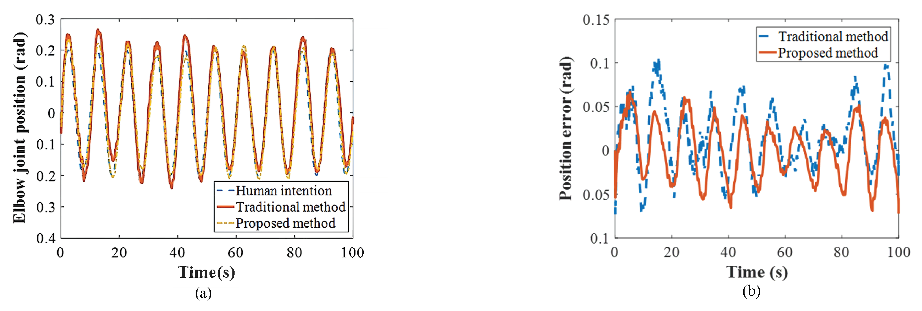
3. Results and Discussion
3.1. Simulation
3.2. Experiment
4. Conclusions
Author Contributions
Funding
Institutional Review Board Statement
Informed Consent Statement
Data Availability Statement
Acknowledgments
Conflicts of Interest
Abbreviations
| PAM | Pneumatic artificial muscle |
| FVSC | Fuzzy virtual stiffness controller |
| FVDC | Fuzzy virtual damping controller |
| RMS | Root mean square |
References
- Joudzadeh, P.; Hadi, A.; Tarvirdizadeh, B.; Borooghani, D.; Alipour, K. Design and fabrication of a lower limb exoskeleton to assist in stair ascending. Ind. Robot 2019, 46, 209–299. [Google Scholar] [CrossRef]
- Gull, M.A.; Bai, S.; Bak, T. A Review on Design of Upper Limb Exoskeletons. Robotics 2020, 9, 16. [Google Scholar] [CrossRef]
- Aftabi, H.; Nasiri, R.; Ahmadabadi, M.N. Simulation-based biomechanical assessment of unpowered exoskeletons for running. Sci. Rep. 2021, 11, 11846. [Google Scholar] [CrossRef] [PubMed]
- Tijjani, I.; Kumar, S.; Boukheddimi, M. A Survey on Design and Control of Lower Extremity Exoskeletons for Bipedal Walking. Appl. Sci. 2022, 12, 2395. [Google Scholar] [CrossRef]
- Yang, C.J.; Zhang, J.F.; Chen, Y.; Dong, Y.M.; Zhang, Y. A review of exoskeleton-type systems and their key technologies. Proc. Inst. Mech. Eng. Part C J. Mech. Eng. Sci. 2017, 222, 1599–1612. [Google Scholar] [CrossRef]
- Bogue, R. Exoskeletons—A review of industrial applications. Appl. Ind. Robot. Int. J. 2018, 45, 585–590. [Google Scholar] [CrossRef]
- Lo, H.S.; Xie, S.Q. Exoskeleton robots for upper-limb rehabilitation: State of the art and future prospects. Appl. Med. Eng. Phys. 2012, 34, 261–268. [Google Scholar] [CrossRef]
- Arturo, G.M.; Ivett, Q.U.; Sergio, S.C.; AlbertoIsaac, P.S.; Ricardo, L.G.; Rogelio, L. Design and Implementation of a Rehabilitation Upper-limb Exoskeleton Robot Controlled by Cognitive and Physical Interfaces. Appl. J. Bionic Eng. 2022, 19, 1374–1391. [Google Scholar]
- Zimmermann, Y.; Sommerhalder, M.; Wolf, P.; Riener, R.; Hutter, M. ANYexo 2.0: A fully actuated upper-limb exoskeleton for manipulation and joint-oriented training in all stages of rehabilitation. Appl. IEEE Trans. Robot. 2023, 39, 2131–2150. [Google Scholar] [CrossRef]
- Pan, J.; Astarita, D.; Baldoni, A.; Dell’Agnello, F.; Crea, S.; Vitiello, N.; Trigili, E. NESM-γ: An upper-limb exoskeleton with compliant actuators for clinical deployment. Appl. IEEE Robot. Autom. Lett. 2022, 7, 7708–7715. [Google Scholar] [CrossRef]
- Gopura, R.A.R.C.; Bandara, D.S.V.; Kiguchi, K.; Mann, G.K. Developments in hardware systems of active upper-limb exoskeleton robots: A review. Appl. Robot. Auton. Syst. 2016, 75, 203–220. [Google Scholar] [CrossRef]
- Chen, T.; Casas, R.; Lum, P.S. An Elbow Exoskeleton for Upper Limb Rehabilitation With Series Elastic Actuator and Cable-Driven Differential. Appl. IEEE Trans. Robot. 2019, 35, 1464–1474. [Google Scholar] [CrossRef]
- Huamanchahua, D.; Castañeda-Vásquez, C.; Vásquez-Espinoza, A.; Muñoz-Zevallos, A. Robotic Devices Types Exoskeletons for Elbow Rehabilitation: A Technological Review. In Proceedings of the 2021 IEEE 12th Annual Ubiquitous Computing, Electronics and Mobile Communication Conference (UEMCON), New York, NY, USA, 1–4 December 2021; pp. 0791–0796. [Google Scholar]
- Yin, S.; Yao, D.R.; Song, Y.; Heng, W.; Ma, X.; Han, H.; Gao, W. Wearable and Implantable Soft Robots. Appl. Chem. Rev. 2024, 124, 11585–11636. [Google Scholar] [CrossRef] [PubMed]
- Zhang, Y.; Cheng, Q.; Chen, W.; Xiao, J.; Hao, L.; Li, Z. Dynamic modelling and inverse compensation for coupled hysteresis in pneumatic artificial muscle-actuated soft manipulator with variable stiffness. Appl. ISA Trans. 2024, 145, 468–478. [Google Scholar] [CrossRef]
- Gao, X.; Sun, Y.; Hao, L.; Yang, H.; Chen, Y.; Xiang, C. A new soft pneumatic elbow pad for joint assistance with application to smart campus. Appl. IEEE Access 2018, 6, 38967–38976. [Google Scholar] [CrossRef]
- Ding, B.; Li, X.; Li, C.; Li, Y.M.; Chen, S.C. A survey on the mechanical design for piezo-actuated compliant micro-positioning stages. Rev. Sci. Instrum. 2023, 94, 101502. [Google Scholar] [CrossRef] [PubMed]
- Yasa, O.; Toshimitsu, Y.; Michelis, M.Y.; Jones, L.S.; Filippi, M.; Buchner, T.; Katzschmann, R.K. An Overview of Soft Robotics. Appl. Annu. Rev. Control Robot. Auton. Syst. 2023, 6, 1–29. [Google Scholar] [CrossRef]
- Gao, X.; Li, X.; Sun, Y.; Hao, L.; Yang, H.; Zhang, C. Model-free tracking control of continuum manipulators with global stability and assigned accuracy. Appl. IEEE Trans. Syst. Man Cybern. Syst. 2020, 52, 1345–1355. [Google Scholar] [CrossRef]
- Hamaya, M.; Matsubara, T.; Noda, T.; Teramae, T.; Morimoto, J. User-robot collaborative excitation for PAM model identification in exoskeleton robots. In Proceedings of the 2017 IEEE/RSJ International Conference on Intelligent Robots and Systems (IROS), Vancouver, BC, Canada, 24–28 September 2017. [Google Scholar]
- Punjabi, A.; Bisen, G.; Kumari, P.; Jain, R.; Meel, U.; Kumar, D. Upper-Limb Exoskeleton Robot Design Driven by a Pneumatic Artificial Muscle Actuator. In Proceedings of the International and National Conference on Machines and Mechanism (Springer), Singapore, 1–3 March 2024. [Google Scholar]
- Zhao, Z.; Hao, L.; Tao, G.; Liu, H.; Shen, L. Prescribed performance sliding mode control for the PAMs elbow exoskeleton in the tracking trajectory task. Appl. Ind. Robot. Int. J. Robot. Res. Appl. 2024, 51, 167–176. [Google Scholar] [CrossRef]
- Tu, X.; Zhou, X.; Li, J.; Su, C.; Sun, X.; Han, H.; He, J. Iterative learning control applied to a hybrid rehabilitation exoskeleton system powered by PAM and FES. Appl. Clust. Comput. 2017, 20, 2855–2868. [Google Scholar] [CrossRef]
- Sun, N.; Liang, D.; Wu, Y.; Chen, Y.; Qin, Y.; Fang, Y. Adaptive control for pneumatic artificial muscle systems with parametric uncertainties and unidirectional input constraints. Appl. IEEE Trans. Ind. Inform. 2019, 16, 969–979. [Google Scholar] [CrossRef]
- Wang, X.; Li, X.; Wang, J.; Fang, X.; Zhu, X. Data-driven model-free adaptive sliding mode control for the multi degree-of-freedom robotic exoskeleton. Appl. Inf. Sci. Int. J. 2016, 327, 246–257. [Google Scholar] [CrossRef]
- Gao, X.F.; Li, X.C.; Xiao, J.C.; Hao, L.N. Robust PI-Type Output Feedback Control of Unknown Nonlinear Systems. Appl. IEEE Trans. Ind. Electron. 2022, 69, 9396–9405. [Google Scholar] [CrossRef]
- Anh, H.P.H. Online tuning gain scheduling MIMO neural PID control of the 2-axes pneumatic artificial muscle (PAM) robot arm. Appl. Expert Syst. Appl. 2010, 37, 6547–6560. [Google Scholar] [CrossRef]
- Wang, D.; Wang, Y.; Tong, H.; Han, P. Smith prediction control for the pam manipulator using a recurrent neural network. Appl. Control. Eng. China 2012, 19, 254–257. [Google Scholar]
- Ai, Q.; Ke, D.; Zuo, J.; Meng, W.; Liu, Q.; Zhang, Z. High-order model-free adaptive iterative learning control of pneumatic artificial muscle with enhanced convergence. Appl. IEEE Trans. Ind. Electron. 2020, 67, 9548–9559. [Google Scholar] [CrossRef]
- Li, Z.; Huang, Z.; He, W.; Su, C.Y. Adaptive Impedance Control for an Upper Limb Robotic Exoskeleton Using Biological Signals. Appl. IEEE Trans. Ind. Electron. 2016, 64, 1664–1674. [Google Scholar] [CrossRef]
- Wu, X.; Li, Z.; Kan, Z.; Gao, H. Reference trajectory reshaping optimization and control of robotic exoskeletons for human–robot co-manipulation. Appl. IEEE Trans. Cybern. 2020, 50, 3740–3751. [Google Scholar] [CrossRef]
- Sun, Q.; Guo, S.; Fei, S. Collision avoidance analysis of human–robot physical interaction based on null-space impedance control of a dynamic reference arm plane. Appl. Med. Biol. Eng. Comput. J. Int. Fed. Med. Biol. Eng. 2023, 61, 2077–2090. [Google Scholar] [CrossRef] [PubMed]
- Yang, H.; Gao, X.; Chen, Y. Hammerstein Adaptive Impedance Controller for Bionic Wrist Joint Actuated by Pneumatic Muscles. Appl. IEEE Access 2019, 7, 47–56. [Google Scholar] [CrossRef]
- Lu, C.; Yi, D.; Wang, Y.; Wang, J.; Li, W. Fuzzy-Based Variable Impedance Control for Human-Robot Compliant Interaction. In Proceedings of the 43rd Chinese Control Conference (CCC), Kunming, China, 28–31 July 2024. [Google Scholar]
- Kahraman, C.; Deveci, M.; Boltürk, E.; Türk, S. Fuzzy controlled humanoid robots: A literature review. Appl. Robot. Auton. Syst. 2020, 134, 103643. [Google Scholar] [CrossRef]
- Xu, G.; Song, A.; Li, H. Experimental study on fuzzy-logic-based impedance control for upper-limb rehabilitation robot. Appl. Robot. 2010, 32, 792–798. [Google Scholar]
- Li, Z.; Zhao, Z.; Gao, X.; Sun, H. Event-triggered fault-tolerant tracking control for uncertain nonlinear time-delay systems with abrupt non-affine faults. In Proceedings of the 2024 10th International Conference on Control, Decision and Information Technologies (CoDIT), Valletta, Malta, 1–4 July 2024. [Google Scholar]
- He, L.; Guo, C.; Xu, Z.; Huang, C.; Wei, Y.; Shi, Q. Particle-swarm backstepping control for angle tracking of electric motor steer-by-wire system. Appl. IEEE Trans. Transp. Electrif. 2024, 9, 2038–2047. [Google Scholar] [CrossRef]
- He, W.; Yuan, L. Global finite-time control for image-based visual servoing of quadrotor using backstepping method. Appl. J. Vib. Control. 2023, 29, 4015–4035. [Google Scholar] [CrossRef]
- Wu, Z.; Wang, Y.; Chen, M.; Ding, B. Design, analysis, and experimental investigations of an asymmetrical under-actuated micro-gripper. J. Intell. Mater. Syst. Struct. 2024, 35, 960–970. [Google Scholar] [CrossRef]
- Huang, R.; Cheng, H.; Guo, H. Learning virtual impedance for control of a human-coupled lower exoskeleton. J. Univ. Electron. Sci. Technol. China 2018, 47, 321–329. [Google Scholar]
- Hao, L.; Zhao, Z.; Li, X.; Liu, M.; Sun, Y.A. safe human–robot interactive control structure with human arm movement detection for an upper-limb wearable robot used during lifting tasks. Appl. Int. J. Adv. Robot. Syst. 2020, 17, 172988142093757. [Google Scholar] [CrossRef]
- Chen, J.; Li, Y.; Wang, Q.; Mu, X. Research on Impedance Self-adjusting Control of Lower Extremity Exoskeleton during Support Phase Based on Human Motion Ability. Appl. Acta Armamentarii 2020, 41, 1201. [Google Scholar]












| NB | NS | ZE | PS | PB | ||
|---|---|---|---|---|---|---|
| NB | NB | NS | NS | PS | PS | |
| NS | NS | NS | ZE | ZE | PS | |
| ZE | NS | ZE | ZE | ZE | PS | |
| PS | NS | ZE | ZE | PS | PS | |
| PB | NS | NS | PS | PS | PB | |
| T | |||||||
|---|---|---|---|---|---|---|---|
| 0.12 | 0.02 | 1.41sin(q) | 11 | 2 | 0.1 | 1 | 1 |
Disclaimer/Publisher’s Note: The statements, opinions and data contained in all publications are solely those of the individual author(s) and contributor(s) and not of MDPI and/or the editor(s). MDPI and/or the editor(s) disclaim responsibility for any injury to people or property resulting from any ideas, methods, instructions or products referred to in the content. |
© 2024 by the authors. Licensee MDPI, Basel, Switzerland. This article is an open access article distributed under the terms and conditions of the Creative Commons Attribution (CC BY) license (https://creativecommons.org/licenses/by/4.0/).
Share and Cite
Zhao, Z.; Hou, X.; Shan, D.; Liu, H.; Liu, H.; Hao, L. Application of Fuzzy Adaptive Impedance Control Based on Backstepping Method for PAM Elbow Exoskeleton in Rehabilitation. Polymers 2024, 16, 3533. https://doi.org/10.3390/polym16243533
Zhao Z, Hou X, Shan D, Liu H, Liu H, Hao L. Application of Fuzzy Adaptive Impedance Control Based on Backstepping Method for PAM Elbow Exoskeleton in Rehabilitation. Polymers. 2024; 16(24):3533. https://doi.org/10.3390/polym16243533
Chicago/Turabian StyleZhao, Zhirui, Xinyu Hou, Dexing Shan, Hongjun Liu, Hongshuai Liu, and Lina Hao. 2024. "Application of Fuzzy Adaptive Impedance Control Based on Backstepping Method for PAM Elbow Exoskeleton in Rehabilitation" Polymers 16, no. 24: 3533. https://doi.org/10.3390/polym16243533
APA StyleZhao, Z., Hou, X., Shan, D., Liu, H., Liu, H., & Hao, L. (2024). Application of Fuzzy Adaptive Impedance Control Based on Backstepping Method for PAM Elbow Exoskeleton in Rehabilitation. Polymers, 16(24), 3533. https://doi.org/10.3390/polym16243533

