Study of Water Resistance of Polyurethane Coatings Based on Microanalytical Methods
Abstract
1. Introduction
2. Test Materials and Methods
2.1. Test Raw Materials
2.2. Preparation of Test Samples
2.3. Test Design and Test Methods
3. Results and Discussion
3.1. Water Resistance of the Coating
3.1.1. Water Penetration Resistance of the Coating
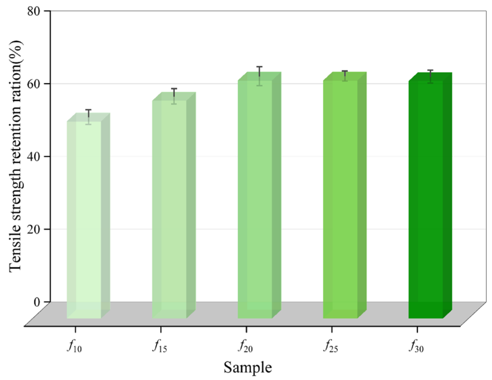
3.1.2. Mechanical Properties of the Coating After Immersion
3.1.3. Time-Varying State of Moisture in the Coating
3.2. Analysis of the Microscopic Properties of the Coating
3.2.1. Microstructure
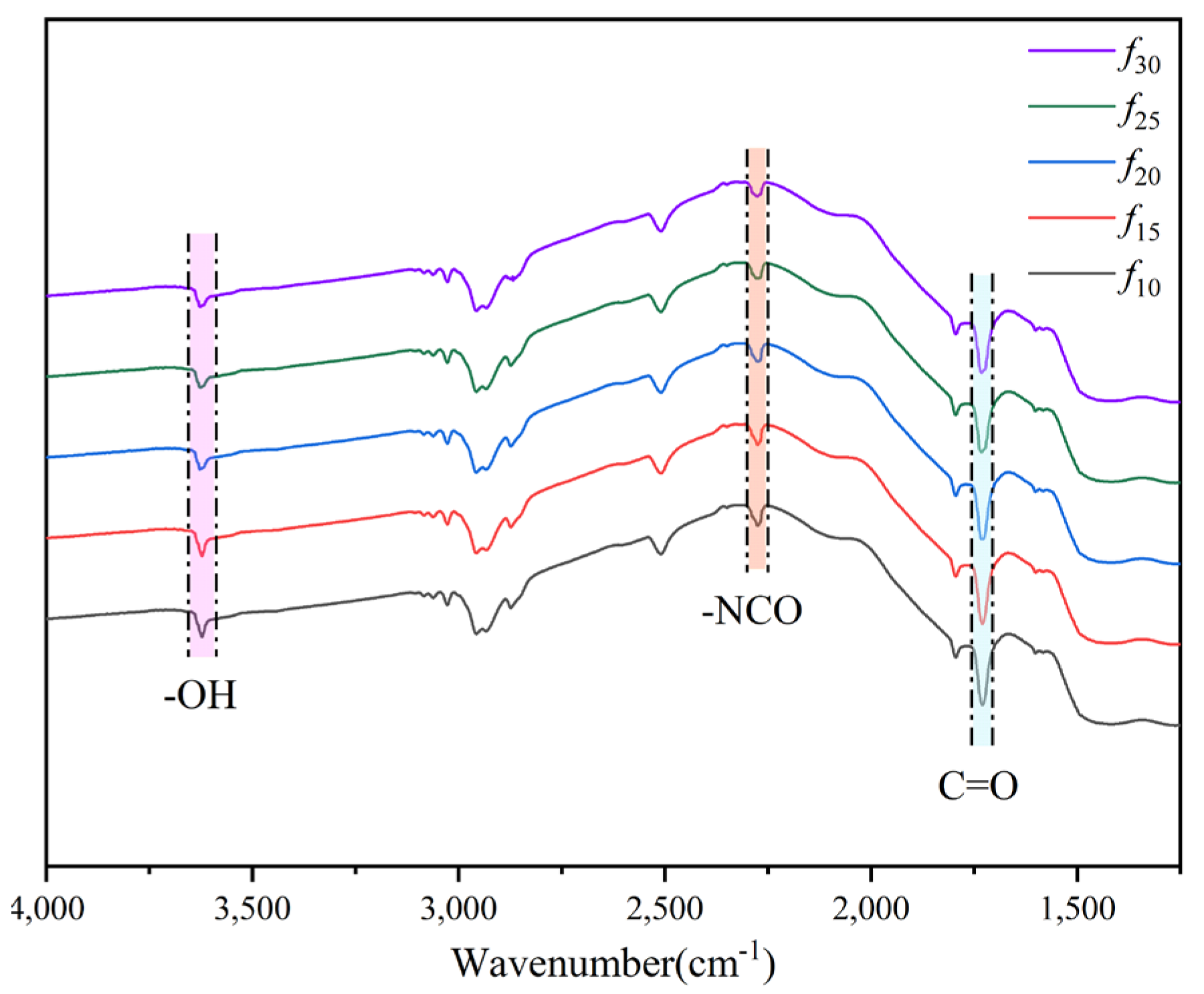
3.2.2. Characteristic Molecular Groups
3.2.3. Microanalysis of Water Resistance of Coatings
4. Preferential Analysis of Water Resistance of Coatings
5. Conclusions
- (1)
- From the perspective of water penetration resistance, mechanical property retention after water immersion, and time-dependent water distribution, it is observed that, among the five coatings studied, f10 exhibits the poorest water resistance, while f20 and f25 demonstrate a superior resistance to water. The order is as follows: f20 > f25 > f30 > f15 > f10.
- (2)
- With increasing water immersion time, the content of bound and free water shows distinct variations among the coatings. These variations are primarily attributed to changes in the mesostructure and microstructure of the coatings, as well as the content of characteristic molecular groups, including hydrophilic groups. Notably, the increase in free water content is more pronounced, primarily resulting from crack formation due to coating deterioration.
- (3)
- With an increase in diluent content, the average free volume pore volume and free volume fraction of polyurethane coatings initially decrease and then increase. Simultaneously, the content of characteristic molecular groups, such as hydrophilic groups, gradually decreases. Under the combined influence of these two factors, the water resistance of the coatings initially improves and then deteriorates as diluent content increases.
- (4)
- Using the entropy weight method and equal weight method, combined with macro water resistance test indices and micro performance indices, the comprehensive scores for each sample were calculated as follows (in descending order): f20 > f25 > f30 > f15 > f10. The water resistance of the coatings exhibited a trend of first increasing and then decreasing as diluent content increased. Specifically, f20 and f25 demonstrated the best water resistance performance.
Author Contributions
Funding
Data Availability Statement
Conflicts of Interest
References
- Gagg, C.R. Cement and concrete as an engineering material: An historic appraisal and case study analysis. Eng. Fail. Anal. 2014, 40, 114–140. [Google Scholar] [CrossRef]
- Tang, S.W.; Yao, Y.; Andrade, C.; Li, Z.J. Recent durability studies on concrete structure. Cem. Concr. Res. 2015, 78, 143–154. [Google Scholar] [CrossRef]
- Sun, W.; Mu, R.; Luo, X.; Miao, C. Effect of chloride salt, freeze–thaw cycling and externally applied load on the performance of the concrete. Cem. Concr. Res. 2002, 32, 1859–1864. [Google Scholar] [CrossRef]
- Thissen, P.; Bogner, A.; Dehn, F. Surface treatments on concrete: An overview on organic, inorganic and nano-based coatings and an outlook about surface modification by rare-earth oxides. RSC Sustain. 2024, 2, 2092–2124. [Google Scholar] [CrossRef]
- Waqar, A.; Shafiq, N.; Bheel, N.; Benjeddou, O.; Sor, N.H.; Hu, J.W.; Najm, H.M.; Almujibah, H.R. Modeling of success factors of using PU coats in concrete construction projects. Heliyon 2024, 10, e28908. [Google Scholar] [CrossRef]
- Shuang, G.; Juan, W.; Yu, H. Experimental study on the influence of temperature and humidity on the fracture properties of polyurethane grouting materials. J. Mater. Res. Technol. 2024, 32, 1299–1309. [Google Scholar] [CrossRef]
- Li, S.; Liu, Z.; Hou, L.; Chen, Y.; Xu, T. Effect of polyether/polyester polyol ratio on properties of waterborne two-component polyurethane coatings. Prog. Org. Coat. 2020, 141, 105545. [Google Scholar] [CrossRef]
- Pavlova, M.; Draganova, M.; Novakov, P. Hydrolytic stability and protective properties of polyurethane oligomers based on polyester/ether/polyols. Polymer 1985, 26, 1901–1905. [Google Scholar] [CrossRef]
- Jia, Q.; Xia, Y.R.; Yin, S.N.; Hou, Z.S.; Wu, R.X. Influence of well-defined hard segment length on the properties of medical segmented polyesterurethanes based on poly (ε-caprolactone-co-L-lactide) and aliphatic urethane diisocyanates. Int. J. Polym. Mater. Polym. Biomater. 2017, 66, 388–397. [Google Scholar] [CrossRef]
- Wei, J.; Ma, Y.; Hu, Y.; Zhu, J.; Gou, H.; Qian, D.; Fan, H. Enhanced mechanical strength and water resistance in waterborne polyurethanes through hydroxyl-functionalized MQ silicone resin modification. Prog. Org. Coat. 2024, 194, 108555. [Google Scholar] [CrossRef]
- Zuo, Y.; Zhang, L.; Zhao, X.; Tang, Y.; Zhang, X. Failure process of acrylic polyurethane coating under alternate wetting and drying condition. J. Appl. Polym. Sci. 2015, 132, 41989. [Google Scholar] [CrossRef]
- Bao, L.R.; Yee, A.F.; Lee CY, C. Moisture absorption and hygrothermal aging in a bismaleimide resin. Polymer 2001, 42, 7327–7333. [Google Scholar] [CrossRef]
- Mubashar, A.; Ashcroft, I.A.; Critchlow, G.W.; Crocombe, A.D. Moisture absorption–desorption effects in adhesive joints. Int. J. Adhes. Adhes. 2009, 29, 751–760. [Google Scholar] [CrossRef]
- Phoungtawee, P.; Crespy, D. Shining a new light on the structure of polyurea/polyurethane materials. Polym. Chem. 2021, 12, 3893–3899. [Google Scholar] [CrossRef]
- Núñez-Regueira, L.; Villanueva, M.; Fraga-Rivas, I. Effect of a reactive diluent on the curing and dynamomechanical properties of an epoxy-diamine system. J. Therm. Anal. Calorim. 2006, 86, 463–468. [Google Scholar] [CrossRef]
- Lapique, F.; Redford, K. Curing effects on viscosity and mechanical properties of a commercial epoxy resin adhesive. Int. J. Adhes. Adhes. 2002, 22, 337–346. [Google Scholar] [CrossRef]
- GB/T 50082-2009; Standard for Test Methods of Long-term Performance and Durability of Ordinary Concrete. China Architecture & Building Press: Beijing, China, 2009. (In Chinese)
- Zhang, R.; Phalen, R.N.; Cataquis, A.; Desta, M.; Kloesel, M. Study of highly porous polymers for H2 fuel storage using positron annihilation lifetime spectroscopy. Int. J. Hydrogen Energy 2015, 40, 8732–8741. [Google Scholar] [CrossRef]
- Soulier, J.P.; Berruet, R.; Chateauminois, A.; Chabert, B.; Gauthier, R. Interactions of fibre-reinforced epoxy composites with different salt water solutions. Polym. Commun. 1988, 29, 243–246. [Google Scholar]
- Kahraman, R.; Al-Harthi, M. Moisture diffusion into aluminum powder-filled epoxy adhesive in sodium chloride solutions. Int. J. Adhes. Adhes. 2005, 25, 337–341. [Google Scholar] [CrossRef]
- GB/T 16777-2008; Test Methods for Building Waterproofing Coatings. China Standard Press: Beijing, China, 2009. (In Chinese)
- Chang, Y.S.; Kumari, P.; Munro, C.J.; Szekely, G.; Vega, F.V.; Nunes, S.; Dumée, L.F. Plasticization mitigation strategies for gas and liquid filtration membranes—A review. J. Membr. Sci. 2023, 666, 121125. [Google Scholar] [CrossRef]
- Liu, Y.; Ma, G.; Ma, X.; Li, H.; Guo, P.; Wang, A.; Ke, P. Corrosion and tribocorrosion performance degradation mechanism of multilayered graphite-like carbon (GLC) coatings under deep-sea immersion in the western Pacific. Corros. Sci. 2024, 239, 112418. [Google Scholar] [CrossRef]
- Wende, F.J.; Xue, Y.; Nestor, G.; Öhrlund, Å.; Sandström, C. Relaxation and diffusion of water protons in BDDE cross-linked hyaluronic acid hydrogels investigated by NMR spectroscopy—Comparison with physicochemical properties. Carbohydr. Polym. 2020, 248, 116768. [Google Scholar] [CrossRef] [PubMed]
- Yamada, S.; Tsuboi, Y.; Yokoyama, D.; Kikuchi, J. Polymer composition optimization approach based on feature extraction of bound and free water using time-domain nuclear magnetic resonance. J. Magn. Reson. 2023, 351, 107438. [Google Scholar] [CrossRef] [PubMed]
- Wu, Z.; Wang, C.; Zhang, Z.; Fan, J.; Wang, S.; Gao, C.; Wang, G.; Zhang, Q. Efficient volumetric hydrolytic degradation of epoxy resin driven by Permeability-Enhanced surfactants. Chem. Eng. J. 2024, 498, 155528. [Google Scholar] [CrossRef]
- Mehranpour, M.S.; Shahmir, H.; Nili-ahmadabadi, M. Microstructure and excess free volume of severely cold shape rolled CoCrFeNiMn high entropy alloy. J. Alloys Compd. 2020, 840, 155672. [Google Scholar] [CrossRef]
- Kavetskyy, T.; Borc, J.; Petkov, P.; Kolev, K.; Petkova, T. Free-volume defects and microstructure in ion-conducting Ag/AgI-As2S3 glasses as revealed from positron annihilation and microhardness measurements. Solid State Ion. 2011, 183, 16–19. [Google Scholar] [CrossRef]
- Yang, L.; Qian, L.; Cao, D.; Li, X.; Guo, J.; Zhang, H.; Zhang, D.; He, C. Surface collapse of fine powders ground from HKUST-1 big crystals investigated by positron annihilation lifetime spectroscopy. Appl. Surf. Sci. 2024, 646, 158937. [Google Scholar] [CrossRef]
- Duan, H.; Liu, F.; Zhang, H.; Kuang, P.; Zhang, R.; Zhang, P.; Yu, R.; Cao, X.; Wang, B.; Zhang, Y. Investigating the properties of ortho-positronium in liquid scintillators under oxygen quenching. Appl. Radiat. Isot. 2024, 212, 111459. [Google Scholar] [CrossRef]
- Yılmazoğlu, M.; Abaci, U.; Okkay, H.; Yahsi, A.Y.; Tav, C.; Yahsi, U. Proton pathways via free volumes: A positron annihilation lifetime spectroscopy (PALS) investigation of proton conductivity in SPEEK-PEG-TMOS composites. Colloids Surf. A Physicochem. Eng. Asp. 2024, 687, 133558. [Google Scholar] [CrossRef]
- Matsuoka, A.; Miyake, T.; Nakagawa, K.; Yoshioka, T.; Kamio, E.; Matsuyama, H. Effect of surface hydroxyl group density of support membrane on water permeance of polyamide thin-film composite membrane. J. Membr. Sci. 2024, 710, 123161. [Google Scholar] [CrossRef]
- Gorbounov, M.; Halloran, P.; Soltani, S.M. Hydrophobic and hydrophilic functional groups and their impact on physical adsorption of CO2 in presence of H2O: A critical review. J. CO2 Util. 2024, 86, 102908. [Google Scholar] [CrossRef]
- Lin, Y.; Song, X.; Zhu, C.; Huang, J.; Bai, X.; Zhang, H.; Wang, K.; Hu, H.; Li, G. Moisture-triggered self-healing of a polyurethane coating based on isocyanate–oxazolidine-loaded microcapsules synthesized via thiol-ene photopolymerization without CO2 release. Prog. Org. Coat. 2022, 163, 106687. [Google Scholar] [CrossRef]
- Xia, Y.; Zou, S.; Xie, P.; Feng, X. A kind of multi-dot ensemble regression AI detector for lubricating oil additive content based on lambert-beer law. Spectrochim. Acta Part A Mol. Biomol. Spectrosc. 2024, 318, 124436. [Google Scholar] [CrossRef] [PubMed]
- Zheng, H.; Pang, B.; Jin, Z.; Liu, S.; Zhang, Y.; Bi, J.; Chang, H.; Liu, Y.; Wang, F. Mechanical properties and microstructure of waterborne polyurethane-modified cement composites as concrete repair mortar. J. Build. Eng. 2024, 84, 108394. [Google Scholar] [CrossRef]
- Xie, J.; Chen, K.; Xiao, C.; Xie, Q.; Lü, F. Deterioration of FRP/RPUF interfacial bond strength under moisture intrusion: An analysis from the perspective of adsorption. J. Mol. Liq. 2022, 366, 120032. [Google Scholar] [CrossRef]
- Zhang, C.; Wang, H.; Shen, J.; Wang, X. Dominant factors for moisture resistance of sol–gel silica coatings: Surface chemical composition or inner microstructure? Appl. Surf. Sci. 2024, 642, 158616. [Google Scholar] [CrossRef]
- Chattopadhyay, D.K.; Prasad, P.S.R.; Sreedhar, B.; Raju, K.V.S.N. The phase mixing of moisture cured polyurethane-urea during cure. Prog. Org. Coat. 2005, 54, 296–304. [Google Scholar] [CrossRef]
- An, W.; Liu, X.; Li, J.; Zhao, X.; Long, Y.; Xu, S.; Wang, Y. Water-solvent regulation on complete hydrolysis of thermosetting polyester and complete separation of degradation products. J. Hazard. Mater. 2023, 453, 131423. [Google Scholar] [CrossRef]
- Hegde, M.; Warraich MQ, M.; Bashir, W.; Bashir, W.; Kavanagh, Y.; Duffy, B.; Tobin, E. The effect of curing on the properties of 3-methacryloxypropyltrimethoxysilane based sol-gel coatings developed for protective applications in water-based environments. Surf. Coat. Technol. 2024, 479, 130442. [Google Scholar] [CrossRef]
- Dai, Y.; Wen, R.; Zhao, C.; Al-Mansour, A.; Xu, C.; Li, L.; Zeng, Q.; Li, K.; Li, Q.; Xu, S. Distinct photooxidation and interface degradation of waterborne epoxy resin coatings on mortar substrate affected by bulk water. Polym. Degrad. Stab. 2024, 230, 111079. [Google Scholar] [CrossRef]
- Jangra, K.; Grover, S.; Aggarwal, A. Optimization of multi machining characteristics in WEDM of WC-5.3% Co composite using integrated approach of Taguchi, GRA and entropy method. Front. Mech. Eng. 2012, 7, 288–299. [Google Scholar] [CrossRef]
- Jangra, K.K.; Sharma, N.; Khanna, R.; Matta, D. An experimental investigation and optimization of friction stir welding process for AA6082 T6 (cryogenic treated and untreated) using an integrated approach of Taguchi, grey relational analysis and entropy method. Proc. Inst. Mech. Eng. Part L J. Mater. Des. Appl. 2016, 230, 454–469. [Google Scholar] [CrossRef]













| Water | Cement | Sand | Crushed Stone | Water-Reducing Admixture |
|---|---|---|---|---|
| /(kg/m3) | /(kg/m3) | /(kg/m3) | /(kg/m3) | /% |
| 150 | 395 | 766 | 1149 | 1.3 |
| Sample Number | f10 | f15 | f20 | f25 | f30 |
|---|---|---|---|---|---|
| R/Å | 3.24 | 3.21 | 3.04 | 3.16 | 3.18 |
| Sample Number | Electric Flux | Saturated Water Absorption | Tensile Strength Retention Ration | Tensile Retention Ration | Free Volume Mean Pore Volume | Free Volume Fraction | Characteristic Molecular Group Content |
|---|---|---|---|---|---|---|---|
| f10 | 0 | 0 | 0 | 0 | 0 | 0 | 0 |
| f15 | 0.248 | 0.216 | 0.504 | 0.517 | 0.158 | 0.211 | 0.152 |
| f20 | 1.000 | 1.000 | 0.991 | 1.000 | 1.000 | 1.000 | 0.535 |
| f25 | 0.984 | 0.983 | 1.000 | 0.828 | 0.415 | 0.592 | 0.941 |
| f30 | 0.682 | 0.948 | 0.982 | 0.793 | 0.313 | 0.408 | 1.000 |
| Sample Number | Electric Flux | Saturated Water Absorption | Tensile Strength Retention Ration | Tensile Retention Ration | Free Volume Mean Pore Volume | Free Volume Fraction | Characteristic Molecular Group Content |
|---|---|---|---|---|---|---|---|
| f10 | 0 | 0 | 0 | 0 | 0 | 0 | 0 |
| f15 | 0.085 | 0.068 | 0.145 | 0.165 | 0.084 | 0.095 | 0.058 |
| f20 | 0.343 | 0.318 | 0.285 | 0.319 | 0.530 | 0.452 | 0.203 |
| f25 | 0.338 | 0.312 | 0.288 | 0.264 | 0.220 | 0.268 | 0.358 |
| f30 | 0.234 | 0.301 | 0.282 | 0.253 | 0.166 | 0.185 | 0.381 |
| Sample Number | Electric Flux | Saturated Water Absorption | Tensile Strength Retention Ration | Tensile Retention Ration | Free Volume Mean Pore Volume | Free Volume Fraction | Characteristic Molecular Group Content |
|---|---|---|---|---|---|---|---|
| Entropy value | 0.797 | 0.791 | 0.841 | 0.845 | 0.730 | 0.775 | 0.760 |
| Redundancy | 0.203 | 0.209 | 0.159 | 0.155 | 0.270 | 0.225 | 0.240 |
| Weight | 0.139 | 0.143 | 0.109 | 0.106 | 0.185 | 0.154 | 0.164 |
| Sample Number | Electric Flux | Saturated Water Absorption | Tensile Strength Retention Ration | Tensile Retention Ration | Free Volume Mean Pore Volume | Free Volume Fraction | Characteristic Molecular Group Content |
|---|---|---|---|---|---|---|---|
| Weight | 0.143 | 0.143 | 0.143 | 0.143 | 0.143 | 0.143 | 0.143 |
Disclaimer/Publisher’s Note: The statements, opinions and data contained in all publications are solely those of the individual author(s) and contributor(s) and not of MDPI and/or the editor(s). MDPI and/or the editor(s) disclaim responsibility for any injury to people or property resulting from any ideas, methods, instructions or products referred to in the content. |
© 2024 by the authors. Licensee MDPI, Basel, Switzerland. This article is an open access article distributed under the terms and conditions of the Creative Commons Attribution (CC BY) license (https://creativecommons.org/licenses/by/4.0/).
Share and Cite
Xie, C.; Shi, Y.; Si, Z.; Wu, P.; Sun, B.; Ma, W. Study of Water Resistance of Polyurethane Coatings Based on Microanalytical Methods. Polymers 2024, 16, 3529. https://doi.org/10.3390/polym16243529
Xie C, Shi Y, Si Z, Wu P, Sun B, Ma W. Study of Water Resistance of Polyurethane Coatings Based on Microanalytical Methods. Polymers. 2024; 16(24):3529. https://doi.org/10.3390/polym16243529
Chicago/Turabian StyleXie, Chao, Yufeng Shi, Zhuozhuo Si, Ping Wu, Binqiang Sun, and Wenzhe Ma. 2024. "Study of Water Resistance of Polyurethane Coatings Based on Microanalytical Methods" Polymers 16, no. 24: 3529. https://doi.org/10.3390/polym16243529
APA StyleXie, C., Shi, Y., Si, Z., Wu, P., Sun, B., & Ma, W. (2024). Study of Water Resistance of Polyurethane Coatings Based on Microanalytical Methods. Polymers, 16(24), 3529. https://doi.org/10.3390/polym16243529
