Preparation and Characterisation of High-Density Polyethylene/Tannic Acid Composites
Abstract
1. Introduction
2. Materials and Methods
3. Results and Discussion
3.1. Preparation and Structural Characteristics
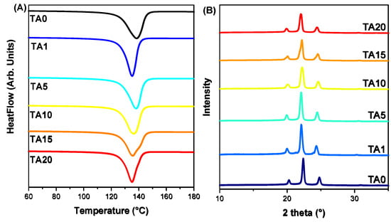
3.2. Thermal Behaviour and Crystallinity
3.2.1. Non-Isothermal Crystallisation Study of HDPE/TA Composites
3.2.2. Non-Isothermal Crystallisation Kinetics of HDPE/TA Composites
3.2.3. Isoconversional Methods
3.2.4. Model Fitting Methods
3.2.5. Thermal Stability
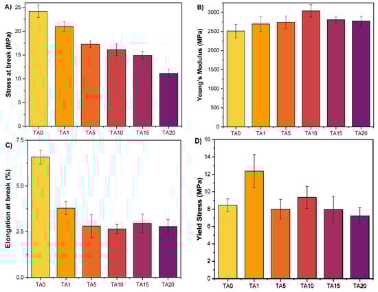
3.3. Mechanical Behaviour
3.4. Hydrophilicity and Antioxidant Properties
4. Conclusions
Author Contributions
Funding
Institutional Review Board Statement
Data Availability Statement
Acknowledgments
Conflicts of Interest
References
- Abeysinghe, S.; Gunasekara, C.; Bandara, C.; Nguyen, K.; Dissanayake, R.; Mendis, P. Engineering Performance of Concrete Incorporated with Recycled High-Density Polyethylene (HDPE)—A Systematic Review. Polymers 2021, 13, 1885. [Google Scholar] [CrossRef] [PubMed]
- Wani, T.; Pasha, S.A.Q.; Poddar, S.; Balaji, H.V. A Review on the Use of High Density Polyethylene (HDPE) in Concrete Mixture. Int. J. Eng. Res. Technol. 2020, 9, 861–864. [Google Scholar]
- Grigoriadou, I.; Pavlidou, E.; Paraskevopoulos, K.M.; Terzopoulou, Z.; Bikiaris, D.N. Comparative Study of the Photochemical Stability of HDPE/Ag Composites. Polym. Degrad. Stab. 2018, 153, 23–36. [Google Scholar] [CrossRef]
- Papageorgiou, G.Z.; Palani, A.; Gilliopoulos, D.; Triantafyllidis, K.S.; Bikiaris, D.N. Mechanical Properties and Crystallization of High-Density Polyethylene Composites with Mesostructured Cellular Silica Foam. J. Therm. Anal. Calorim. 2013, 113, 1651–1665. [Google Scholar] [CrossRef]
- Nguyen, K.Q.; Mwiseneza, C.; Mohamed, K.; Cousin, P.; Robert, M.; Benmokrane, B. Long-Term Testing Methods for HDPE Pipe—Advantages and Disadvantages: A Review. Eng. Fract. Mech. 2021, 246, 107629. [Google Scholar] [CrossRef]
- Dabees, S.; Tirth, V.; Mohamed, A.; Kamel, B.M. Wear Performance and Mechanical Properties of MWCNT/HDPE Nanocomposites for Gearing Applications. J. Mater. Res. Technol. 2021, 12, 2476–2488. [Google Scholar] [CrossRef]
- Chen, C.; Yang, H.; Yang, X.; Ma, Q. Tannic Acid: A Crosslinker Leading to Versatile Functional Polymeric Networks: A Review. RSC Adv. 2022, 12, 7689–7711. [Google Scholar] [CrossRef]
- Kaczmarek, B. Tannic Acid with Antiviral and Antibacterial Activity as A Promising Component of Biomaterials—A Minireview. Materials 2020, 13, 3224. [Google Scholar] [CrossRef]
- Dong, G.; Liu, H.; Yu, X.; Zhang, X.; Lu, H.; Zhou, T.; Cao, J. Antimicrobial and Anti-Biofilm Activity of Tannic Acid against Staphylococcus Aureus. Nat. Prod. Res. 2018, 32, 2225–2228. [Google Scholar] [CrossRef]
- Baldwin, A.; Booth, B.W. Biomedical Applications of Tannic Acid. J. Biomater. Appl. 2022, 36, 1503–1523. [Google Scholar] [CrossRef]
- Lou, W.; Chen, Y.; Ma, H.; Liang, G.; Liu, B. Antioxidant and α-Amylase Inhibitory Activities of Tannic Acid. J. Food Sci. Technol. 2018, 55, 3640–3646. [Google Scholar] [CrossRef] [PubMed]
- Zhang, W.; Roy, S.; Ezati, P.; Yang, D.-P.; Rhim, J.-W. Tannic Acid: A Green Crosslinker for Biopolymer-Based Food Packaging Films. Trends Food Sci. Technol. 2023, 136, 11–23. [Google Scholar] [CrossRef]
- Lee, S.J.; Gwak, M.A.; Chathuranga, K.; Lee, J.S.; Koo, J.; Park, W.H. Multifunctional Chitosan/Tannic Acid Composite Films with Improved Anti-UV, Antioxidant, and Antimicrobial Properties for Active Food Packaging. Food Hydrocoll. 2023, 136, 108249. [Google Scholar] [CrossRef]
- Schmidt, G.; Woods, J.T.; Fung, L.X.-B.; Gilpin, C.J.; Hamaker, B.R.; Wilker, J.J. Strong Adhesives from Corn Protein and Tannic Acid. Adv. Sustain. Syst. 2019, 3, 1900077. [Google Scholar] [CrossRef]
- Venkatesan, R.; Sivaprakash, P.; Kim, I.; Eldesoky, G.E.; Kim, S.-C. Tannic Acid as a Crosslinking Agent in Poly(Butylene Adipate-Co-Terephthalate) Composite Films Enhanced with Carbon Nanoparticles: Processing, Characterization, and Antimicrobial Activities for Food Packaging. J. Environ. Chem. Eng. 2023, 11, 110194. [Google Scholar] [CrossRef]
- Yan, W.; Shi, M.; Dong, C.; Liu, L.; Gao, C. Applications of Tannic Acid in Membrane Technologies: A Review. Adv. Colloid Interface Sci. 2020, 284, 102267. [Google Scholar] [CrossRef]
- Črešnar, K.P.; Klonos, P.A.; Zamboulis, A.; Terzopoulou, Z.; Xanthopoulou, E.; Papadopoulos, L.; Kyritsis, A.; Kuzmič, K.; Zemljič, L.F.; Bikiaris, D.N. Structure-Properties Relationships in Renewable Composites Based on Polylactide Filled with Tannin and Kraft Lignin—Crystallization and Molecular Mobility. Thermochim. Acta 2021, 703, 178998. [Google Scholar] [CrossRef]
- Črešnar, K.P.; Zamboulis, A.; Bikiaris, D.N.; Aulova, A.; Zemljič, L.F. Kraft Lignin/Tannin as a Potential Accelerator of Antioxidant and Antibacterial Properties in an Active Thermoplastic Polyester-Based Multifunctional Material. Polymers 2022, 14, 1532. [Google Scholar] [CrossRef]
- Ma, M.; Jiang, Z.; Liu, Z.; Huang, B.; Sun, N.; Chen, S.; Shi, Y.; He, H.; Zhu, Y.; Wang, X. Toward Flame Retardancy, Antimelt Dripping, and UV Resistance Properties of Polylactic Acid Based on Eco-Friendly Core–Shell Flame Retardant. ACS Appl. Polym. Mater. J. 2024, 6, 3814–3825. [Google Scholar] [CrossRef]
- Liu, Y.; Xia, B.; Zhao, R.; Qin, M.; Weng, X.; Zeng, Z.; Deng, K.; Jiang, H. Automatic in Situ Short-Distance Deposition of PLGA/PLLA Composite Nanofibrous Membranes for Personalized Wound Dressings. Nanoscale 2024, 16, 8546–8562. [Google Scholar] [CrossRef]
- Cerruti, P.; Malinconico, M.; Rychly, J.; Matisova-Rychla, L.; Carfagna, C. Effect of Natural Antioxidants on the Stability of Polypropylene Films. Polym. Degrad. Stab. 2009, 94, 2095–2100. [Google Scholar] [CrossRef]
- Liang, Y.; Yang, F.; Qiu, Z. Miscibility and Crystallization Behavior of Biodegradable Poly(ε-Caprolactone)/Tannic Acid Blends. J. Appl. Polym. Sci. 2012, 124, 4409–4415. [Google Scholar] [CrossRef]
- Kirschweng, B.; Tátraaljai, D.; Földes, E.; Pukánszky, B. Natural Antioxidants as Stabilizers for Polymers. Polym. Degrad. Stab. 2017, 145, 25–40. [Google Scholar] [CrossRef]
- Doudin, K.; Al-Malaika, S.; Sheena, H.H.; Tverezovskiy, V.; Fowler, P. New Genre of Antioxidants from Renewable Natural Resources: Synthesis and Characterisation of Rosemary Plant-Derived Antioxidants and Their Performance in Polyolefins. Polym. Degrad. Stab. 2016, 130, 126–134. [Google Scholar] [CrossRef]
- Pucciariello, R.; Villani, V.; Bonini, C.; D’Auria, M.; Vetere, T. Physical Properties of Straw Lignin-Based Polymer Blends. Polymer 2004, 45, 4159–4169. [Google Scholar] [CrossRef]
- Duval, A.; Lawoko, M. A Review on Lignin-Based Polymeric, Micro- and Nano-Structured Materials. React. Funct. Polym. 2014, 85, 78–96. [Google Scholar] [CrossRef]
- Pouteau, C.; Baumberger, S.; Cathala, B.; Dole, P. Lignin–Polymer Blends: Evaluation of Compatibility by Image Analysis. Comptes Rendus Biol. 2004, 327, 935–943. [Google Scholar] [CrossRef]
- Grigsby, W.J.; Bridson, J.H.; Lomas, C.; Elliot, J.-A. Esterification of Condensed Tannins and Their Impact on the Properties of Poly(Lactic Acid). Polymers 2013, 5, 344–360. [Google Scholar] [CrossRef]
- Grigsby, W.J.; Bridson, J.H.; Lomas, C.; Frey, H. Evaluating Modified Tannin Esters as Functional Additives in Polypropylene and Biodegradable Aliphatic Polyester. Macromol. Mater. Eng. 2014, 299, 1251–1258. [Google Scholar] [CrossRef]
- Bridson, J.H.; Kaur, J.; Zhang, Z.; Donaldson, L.; Fernyhough, A. Polymeric Flavonoids Processed with Co-Polymers as UV and Thermal Stabilisers for Polyethylene Films. Polym. Degrad. Stab. 2015, 122, 18–24. [Google Scholar] [CrossRef]
- Bridson, J.H.; Grigsby, W.J.; Main, L. Synthesis and Characterization of Flavonoid Laurate Esters by Transesterification. J. Appl. Polym. Sci. 2013, 129, 181–186. [Google Scholar] [CrossRef]
- Vyazovkin, S.; Burnham, A.K.; Criado, J.M.; Pérez-Maqueda, L.A.; Popescu, C.; Sbirrazzuoli, N. ICTAC Kinetics Committee Recommendations for Performing Kinetic Computations on Thermal Analysis Data. Thermochim. Acta 2011, 520, 1–19. [Google Scholar] [CrossRef]
- Awad, A.H.; Aly Abd El-Wahab, A.; El-Gamsy, R.; Abdel-latif, M.H. A Study of Some Thermal and Mechanical Properties of HDPE Blend with Marble and Granite Dust. Ain Shams Eng. J. 2019, 10, 353–358. [Google Scholar] [CrossRef]
- Lu, X.F.; Hay, J.N. Isothermal Crystallization Kinetics and Melting Behaviour of Poly(Ethylene Terephthalate). Polymer 2001, 42, 9423–9431. [Google Scholar] [CrossRef]
- ASTM D882-18; Standard Test Method for Tensile Properties of Thin Plastic Sheeting. ASTM: West Conshohocken, PA, USA, 2018.
- Blois, M.S. Antioxidant Determinations by the Use of a Stable Free Radical. Nature 1958, 181, 1199–1200. [Google Scholar] [CrossRef]
- Gulmine, J.V.; Janissek, P.R.; Heise, H.M.; Akcelrud, L. Polyethylene Characterization by FTIR. Polym. Test. 2002, 21, 557–563. [Google Scholar] [CrossRef]
- Pantoja, M.; González-Rodríguez, H. Study by Infrared Spectroscopy and Thermogravimetric Analysis of Tannins and Tannic Acid. Rev. Latinoam. Quim. 2010, 39, 107–112. [Google Scholar]
- Wahyono, T.; Astuti, D.A.; Gede Wiryawan, I.K.; Sugoro, I.; Jayanegara, A. Fourier Transform Mid-Infrared (FTIR) Spectroscopy to Identify Tannin Compounds in The Panicle of Sorghum Mutant Lines. IOP Conf. Ser. Mater. Sci. Eng. 2019, 546, 42045. [Google Scholar] [CrossRef]
- Ranoszek-Soliwoda, K.; Tomaszewska, E.; Socha, E.; Krzyczmonik, P.; Ignaczak, A.; Orlowski, P.; Krzyzowska, M.; Celichowski, G.; Grobelny, J. The Role of Tannic Acid and Sodium Citrate in the Synthesis of Silver Nanoparticles. J. Nanoparticle Res. 2017, 19, 273. [Google Scholar] [CrossRef]
- Espina, A.; Cañamares, M.V.; Jurašeková, Z.; Sanchez-Cortes, S. Analysis of Iron Complexes of Tannic Acid and Other Related Polyphenols as Revealed by Spectroscopic Techniques: Implications in the Identification and Characterization of Iron Gall Inks in Historical Manuscripts. ACS Omega 2022, 7, 27937–27949. [Google Scholar] [CrossRef]
- Zhao, X.; Gnanaseelan, M.; Jehnichen, D.; Simon, F.; Pionteck, J. Green and Facile Synthesis of Polyaniline/Tannic Acid/RGO Composites for Supercapacitor Purpose. J. Mater. Sci. 2019, 54, 10809–10824. [Google Scholar] [CrossRef]
- Li, Y.M.; Miao, X.; Wei, Z.G.; Cui, J.; Li, S.Y.; Han, R.; Zhang, Y.; Wei, W. Iron-Tannic Acid Nanocomplexes: Facile Synthesis and Application for Removal of Methylene Blue from Aqueous Solution. Dig. J. Nanomater. Biostructures 2016, 11, 1045–1061. [Google Scholar]
- Rosli, N.A.; Wan Ishak, W.H.; Ahmad, I. Eco-Friendly High-Density Polyethylene/Amorphous Cellulose Composites: Environmental and Functional Value. J. Clean. Prod. 2021, 290, 125886. [Google Scholar] [CrossRef]
- Fei, P.; Fei, B.; Yu, Y.; Xiong, H.; Tan, J. Thermal Properties and Crystallization Behavior of Bamboo Fiber/High-Density Polyethylene Composites: Nano-TiO2 Effects. J. Appl. Polym. Sci. 2014, 131, 39846. [Google Scholar] [CrossRef]
- Vyazovkin, S.; Burnham, A.K.; Favergeon, L.; Koga, N.; Moukhina, E.; Pérez-Maqueda, L.A.; Sbirrazzuoli, N. ICTAC Kinetics Committee Recommendations for Analysis of Multi-Step Kinetics. Thermochim. Acta 2020, 689, 178597. [Google Scholar] [CrossRef]
- Sbirrazzuoli, N. Model-Free Isothermal and Nonisothermal Predictions Using Advanced Isoconversional Methods. Thermochim. Acta 2021, 697, 178855. [Google Scholar] [CrossRef]
- Vyazovkin, S. Isoconversional Kinetics of Thermally Stimulated Processes; Springer International Publishing: New York, NY, USA, 2015; ISBN 9783319141756. [Google Scholar]
- Budrugeac, P.; Segal, E.; Pérez-Maqueda, L.A.; Criado, J.M. The Use of the IKP Method for Evaluating the Kinetic Parameters and the Conversion Function of the Thermal Dehydrochlorination of PVC from Non-Isothermal Data. Polym. Degrad. Stab. 2004, 84, 311–320. [Google Scholar] [CrossRef]
- Friedman, H.L. Kinetics of Thermal Degradation of Char-Forming Plastics From Thermogravimetry. Application to Phenolic Plastic. J. Polym. Sci. Part C Polym. Symp. 2007, 6, 183–195. [Google Scholar] [CrossRef]
- Tarani, E.; Terzopoulou, Z.; Bikiaris, D.N.; Kyratsi, T.h.; Chrissafis, K.; Vourlias, G. Thermal Conductivity and Degradation Behavior of HDPE/Graphene Nanocomposites. J. Therm. Anal. Calorim. 2017, 129, 1715–1726. [Google Scholar] [CrossRef]
- Vyazovkin, S. Evaluation of Activation Energy of Thermally Stimulated Solid-State Reactions under Arbitrary Variation of Temperature. J. Comput. Chem. 1997, 18, 393–402. [Google Scholar] [CrossRef]
- Guigo, N.; van Berkel, J.; de Jong, E.; Sbirrazzuoli, N. Modelling the Non-Isothermal Crystallization of Polymers: Application to Poly(Ethylene 2,5-Furandicarboxylate). Thermochim. Acta 2017, 650, 66–75. [Google Scholar] [CrossRef]
- Šesták, J.; Berggren, G. Study of the Kinetics of the Mechanism of Solid-State Reactions at Increasing Temperatures. Thermochim Acta 1971, 3, 1–12. [Google Scholar] [CrossRef]
- Málek, J. The Kinetic Analysis of Non-Isothermal Data. Thermochim Acta 1992, 200, 257–269. [Google Scholar] [CrossRef]
- Shahcheraghi, S.H.; Khayati, G.R.; Ranjbar, M. An Advanced Reaction Model Determination Methodology in Solid-State Kinetics Based on Arrhenius Parameters Variation. J. Therm. Anal. Calorim. 2016, 126, 981–993. [Google Scholar] [CrossRef]
- Chen, X.; Shi, J.; Wang, L.; Shi, H.; Liu, Y.; Wang, L. Isothermal Crystallization Kinetics and Melting Behavior of Modified High-Density Polyethylene/Barium Sulfate Nanocomposites. Polym. Compos. 2011, 32, 177–184. [Google Scholar] [CrossRef]
- Papadopoulou, K.; Tarani, E.; Chrissafis, K.; Mašek, O.; Bikiaris, D.N. Non-Isothermal Crystallization Kinetics of PBSu/Biochar Composites Studied by Isoconversional and Model Fitting Methods. Polymers 2023, 15, 1603. [Google Scholar] [CrossRef]
- Xia, Z.; Singh, A.; Kiratitanavit, W.; Mosurkal, R.; Kumar, J.; Nagarajan, R. Unraveling the Mechanism of Thermal and Thermo-Oxidative Degradation of Tannic Acid. Thermochim. Acta 2015, 605, 77–85. [Google Scholar] [CrossRef]
- Korey, M.; Mendis, G.P.; Youngblood, J.P.; Howarter, J.A. Tannic Acid: A Sustainable Crosslinking Agent for High Glass Transition Epoxy Materials. J. Polym. Sci. A Polym. Chem. 2018, 56, 1468–1480. [Google Scholar] [CrossRef]
- Dhar Badgayan, N.; Kumar Sahu, S.; PS, R.S. Investigation of Wetting Behavior of HDPE Reinforced with Nanoscopic 1D/2D Filler System Using Contact Angle Goniometry. Mater. Today Proc. 2020, 26, 331–334. [Google Scholar] [CrossRef]
- Gülçin, İ.; Huyut, Z.; Elmastaş, M.; Aboul-Enein, H.Y. Radical Scavenging and Antioxidant Activity of Tannic Acid. Arab. J. Chem. 2010, 3, 43–53. [Google Scholar] [CrossRef]











| Sample | Tm (°C) | ΔHm (J/g) | Xc (%) |
|---|---|---|---|
| TA0 (Neat HDPE) | 138.6 | 208.2 | 71.8 |
| TA1 | 135.2 | 227.3 | 79.2 |
| TA5 | 138.0 | 224.9 | 81.6 |
| TA10 | 136.4 | 215.7 | 82.6 |
| TA15 | 135.6 | 196.1 | 75.1 |
| TA20 | 135.0 | 182.0 | 78.4 |
| CR | TA0 | TA1 | TA5 | TA10 | TA20 | |||||
|---|---|---|---|---|---|---|---|---|---|---|
| Tc (°C) | ΔHc (J/g) | Tc (°C) | ΔHc (J/g) | Tc (°C) | ΔHc (J/g) | Tc (°C) | ΔHc (J/g) | Tc (°C) | ΔHc (J/g) | |
| 10 | 116.9 | 182.7 | 117.1 | 229.1 | 115.5 | 226.7 | 116.9 | 217.0 | 116.9 | 185.3 |
| 5 | 119.2 | 183.4 | 119.4 | 230.0 | 118.4 | 226.0 | 119.2 | 216.8 | 119.2 | 185.1 |
| 2.5 | 120.9 | 183.4 | 121.1 | 228.3 | 120.4 | 225.8 | 120.9 | 215.6 | 120.9 | 184.7 |
| 1 | 122.8 | 181.3 | 122.5 | 227.6 | 122.1 | 225.1 | 122.4 | 215.6 | 122.4 | 185.0 |
| Cooling Rate (°C/min) | Half Time of Crystallisation, t1/2 (min) | ||||
|---|---|---|---|---|---|
| TA0 | TA1 | TA5 | TA10 | TA20 | |
| 10 | 107.4 | 107.3 | 107.5 | 107.4 | 107.4 |
| 5 | 175.3 | 175.2 | 175.4 | 175.2 | 175.2 |
| 2.5 | 304.8 | 304.6 | 304.9 | 304.7 | 304.7 |
| 1 | 608.6 | 608.3 | 608.7 | 608.3 | 608.4 |
| Sample | TA0 | TA1 | TA5 | TA10 | TA20 |
|---|---|---|---|---|---|
| Kg (105 Κ2) | 0.91 | 0.86 | 0.90 | 1.44 | 1.44 |
| log(A) s−1 | 1.93 | 2.14 | 2.17 | 2.69 | 2.54 |
| n | 1.59 | 1.31 | 1.32 | 1.56 | 1.69 |
| m | 0.38 | 0.43 | 0.43 | 0.51 | 0.46 |
| p | 0.28 | 0.24 | 0.24 | 0.26 | 0.29 |
| Tm | 138.3 | 134.3 | 138.3 | 135.8 | 135.7 |
| Tg | −122.4 | −122.2 | −122.2 | −122.1 | −122.0 |
| R2 | 0.99603 | 0.99848 | 0.99736 | 0.99676 | 0.99829 |
| Sample | T2.5 (°C) | T5 (°C) | Td,max (°C) |
|---|---|---|---|
| TA0 | 438.5 | 456.2 | 499.4 |
| TA1 | 431.3 | 448.7 | 503.3 |
| TA5 | 356.4 | 429.3 | 501.9 |
| TA10 | 309.2 | 366.4 | 501.5 |
| TA15 | 282.8 | 319.7 | 497.7 |
| TA20 | 273.9 | 307.5 | 495.4 |
| Sample | Stress at Break (MPa) | Young’s Modulus (MPa) | Elongation at Break (%) | Yield Stress (MPa) |
|---|---|---|---|---|
| TA0 | 24.2 ± 1.3 | 2512 ± 147 | 6.6 ± 0.4 | 8.4 ± 0.7 |
| TA1 | 21.0 ± 1.0 | 2696 ± 201 | 3.8 ± 0.3 | 12.4 ± 1.9 |
| TA5 | 17.3 ± 0.7 | 2741 ± 165 | 2.8 ± 0.6 | 8.0 ± 1.1 |
| TA10 | 16.1 ± 1.3 | 3040 ± 166 | 2.6 ± 0.3 | 9.3 ± 1.3 |
| TA15 | 14.9 ± 0.8 | 2809 ± 77 | 2.9 ± 0.5 | 7.9 ± 1.5 |
| TA20 | 11.1 ± 0.9 | 2774 ± 128 | 2.8 ± 0.4 | 7.2 ± 0.9 |
Disclaimer/Publisher’s Note: The statements, opinions and data contained in all publications are solely those of the individual author(s) and contributor(s) and not of MDPI and/or the editor(s). MDPI and/or the editor(s) disclaim responsibility for any injury to people or property resulting from any ideas, methods, instructions or products referred to in the content. |
© 2024 by the authors. Licensee MDPI, Basel, Switzerland. This article is an open access article distributed under the terms and conditions of the Creative Commons Attribution (CC BY) license (https://creativecommons.org/licenses/by/4.0/).
Share and Cite
Tarani, E.; Tara, M.; Samiotaki, C.; Zamboulis, A.; Chrissafis, K.; Bikiaris, D.N. Preparation and Characterisation of High-Density Polyethylene/Tannic Acid Composites. Polymers 2024, 16, 3398. https://doi.org/10.3390/polym16233398
Tarani E, Tara M, Samiotaki C, Zamboulis A, Chrissafis K, Bikiaris DN. Preparation and Characterisation of High-Density Polyethylene/Tannic Acid Composites. Polymers. 2024; 16(23):3398. https://doi.org/10.3390/polym16233398
Chicago/Turabian StyleTarani, Evangelia, Myrto Tara, Christina Samiotaki, Alexandra Zamboulis, Konstantinos Chrissafis, and Dimitrios N. Bikiaris. 2024. "Preparation and Characterisation of High-Density Polyethylene/Tannic Acid Composites" Polymers 16, no. 23: 3398. https://doi.org/10.3390/polym16233398
APA StyleTarani, E., Tara, M., Samiotaki, C., Zamboulis, A., Chrissafis, K., & Bikiaris, D. N. (2024). Preparation and Characterisation of High-Density Polyethylene/Tannic Acid Composites. Polymers, 16(23), 3398. https://doi.org/10.3390/polym16233398

