Encapsulation of Thymol in Ethyl Cellulose-Based Microspheres and Evaluation of Its Sustained Release for Food Applications
Abstract
1. Introduction
2. Materials and Methods
2.1. Materials
2.2. Methods
2.2.1. Microscopy
2.2.2. ATR-FT-IR
2.2.3. Simultaneous Thermal Analysis (STA)
2.2.4. Antimicrobial Activity
2.2.5. Release of Thymol
2.2.6. Tomato Storage (pH and Titratable Acidity)
2.2.7. Statistical Analysis
3. Results and Discussion
3.1. Physicochemical Characterisation
3.1.1. Recovery and Mean Particle Size
3.1.2. FTIR-ATR
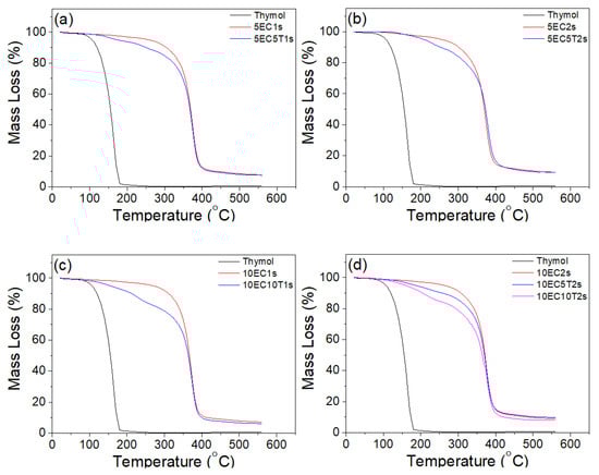
3.1.3. STA Analysis
3.1.4. Thymol Release
3.2. Bioactivity
3.2.1. Antimicrobial Activity
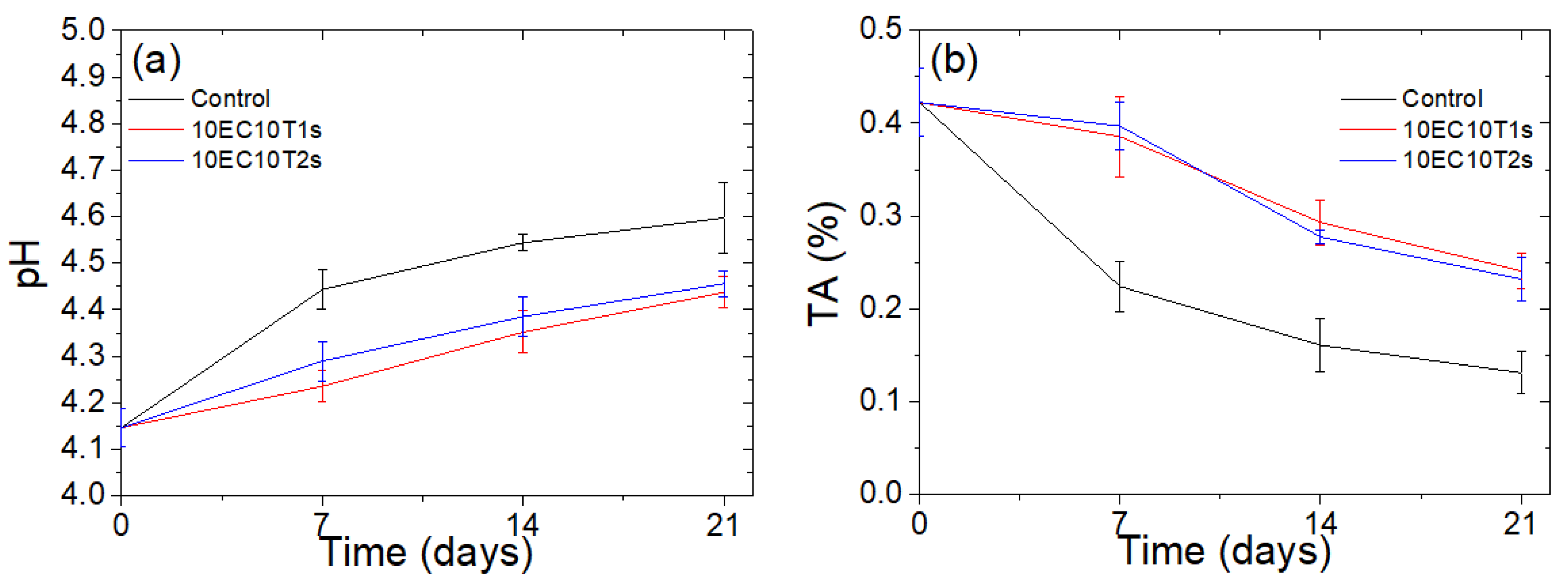
3.2.2. Efficacy in Maintaining Cherry Tomato Quality
4. Conclusions
Supplementary Materials
Author Contributions
Funding
Institutional Review Board Statement
Data Availability Statement
Acknowledgments
Conflicts of Interest
References
- Gage, E.; Wang, X.; Xu, B.; Foster, A.; Evans, J.; Terry, L.A.; Falagán, N. Reducing Food Loss and Waste Contributes to Energy, Economic and Environmental Sustainability. J. Clean. Prod. 2024, 451, 142068. [Google Scholar] [CrossRef]
- Bell, S. Reducing Food Loss & Waste: A Roadmap for Philanthropy. Available online: https://refed.org/uploads/reducing-food-loss-and-waste-a-roadmap-for-philanthropy.pdf (accessed on 24 October 2024).
- Parry, A.; James, K.; LeRoux, S. Strategies to Achieve Economic and Environmental Gains by Reducing Food Waste. Available online: https://www.wrap.ngo/resources/report/strategies-achieve-economic-and-environmental-gains-reducing-food-waste (accessed on 24 October 2024).
- Ammann, J.; Liechti, C.; Mack, G.; Saleh, R. A Food Waste Information-Framing Can Help Promote Purchase of Suboptimal Potatoes. Food Qual. Prefer. 2024, 123, 105338. [Google Scholar] [CrossRef]
- Cohen, S.M.; Eisenbrand, G.; Fukushima, S.; Gooderham, N.J.; Guengerich, F.P.; Hecht, S.S.; Rietjens, I.M.C.M.; Rosol, T.J.; Davidsen, J.M.; Harman, C.L.; et al. FEMA GRAS Assessment of Natural Flavor Complexes: Origanum Oil, Thyme Oil and Related Phenol Derivative-Containing Flavoring Ingredients. Food Chem. Toxicol. 2021, 155, 112378. [Google Scholar] [CrossRef] [PubMed]
- Escobar, A.; Pérez, M.; Romanelli, G.; Blustein, G. Thymol Bioactivity: A Review Focusing on Practical Applications. Arab. J. Chem. 2020, 13, 9243–9269. [Google Scholar] [CrossRef]
- Olmedo, G.M.; Zhang, J.; Zhao, W.; Mattia, M.; Rosskopf, E.N.; Ritenour, M.; Plotto, A.; Bai, J. Application of Thymol Vapors to Control Postharvest Decay Caused by Penicillium Digitatum and Lasiodiplodia Theobromae in Grapefruit. Foods 2023, 12, 3637. [Google Scholar] [CrossRef]
- Posgay, M.; Greff, B.; Kapcsándi, V.; Lakatos, E. Effect of Thymus vulgaris L. Essential Oil and Thymol on the Microbiological Properties of Meat and Meat Products: A Review. Heliyon 2022, 8, e10812. [Google Scholar] [CrossRef]
- Burt, S. Essential Oils: Their Antibacterial Properties and Potential Applications in Foods–A Review. Int. J. Food Microbiol. 2004, 94, 223–253. [Google Scholar] [CrossRef]
- Solano, A.C.V.; de Gante, C.R. Two Different Processes to Obtain Antimicrobial Packaging Containing Natural Oils. Food Bioproc. Technol. 2012, 5, 2522–2528. [Google Scholar] [CrossRef]
- Dias, M.V.; de Medeiros, H.S.; Soares, N.D.; de Melo, N.R.; Borges, S.V.; Carneiro, J.D.; de Assis Kluge, J.M. Development of Low-Density Polyethylene Films with Lemon Aroma. LWT 2013, 50, 167–171. [Google Scholar] [CrossRef]
- Ramos, M.; Jiménez, A.; Peltzer, M.; Garrigós, M.C. Characterization and Antimicrobial Activity Studies of Polypropylene Films with Carvacrol and Thymol for Active Packaging. J. Food Eng. 2012, 109, 513–519. [Google Scholar] [CrossRef]
- Rojas, A.; Torres, A.; Añazco, A.; Villegas, C.; Galotto, M.J.; Guarda, A.; Romero, J. Effect of Pressure and Time on ScCO2-Assisted Incorporation of Thymol into LDPE-Based Nanocomposites for Active Food Packaging. J. CO2 Util. 2018, 26, 434–444. [Google Scholar] [CrossRef]
- Mousavian, D.; Mohammadi Nafchi, A.; Nouri, L.; Abedinia, A. Physicomechanical Properties, Release Kinetics, and Antimicrobial Activity of Activated Low-Density Polyethylene and Orientated Polypropylene Films by Thyme Essential Oil Active Component. J. Food Meas. Charact. 2021, 15, 883–891. [Google Scholar] [CrossRef]
- Ju, J.; Xie, Y.; Guo, Y.; Cheng, Y.; Qian, H.; Yao, W. Application of Starch Microcapsules Containing Essential Oil in Food Preservation. Crit. Rev. Food Sci. Nutr. 2020, 60, 2825–2836. [Google Scholar] [CrossRef] [PubMed]
- Cichello, S.A. Oxygen Absorbers in Food Preservation: A Review. J. Food Sci. Technol. 2015, 52, 1889–1895. [Google Scholar] [CrossRef]
- Otoni, C.G.; Espitia, P.J.P.; Avena-Bustillos, R.J.; McHugh, T.H. Trends in Antimicrobial Food Packaging Systems: Emitting Sachets and Absorbent Pads. Food Res. Int. 2016, 83, 60–73. [Google Scholar] [CrossRef]
- Gaikwad, K.K.; Singh, S.; Lee, Y.S. Oxygen Scavenging Films in Food Packaging. Environ. Chem. Lett. 2018, 16, 523–538. [Google Scholar] [CrossRef]
- Ayala-Zavala, J.F.; González-Aguilar, G.A. Optimizing the Use of Garlic Oil as Antimicrobial Agent on Fresh-Cut Tomato through a Controlled Release System. J. Food Sci. 2010, 75, M398–M405. [Google Scholar] [CrossRef]
- Han, J.H.; Patel, D.; Kim, J.E.; Min, S.C. Retardation of Listeria Monocytogenes Growth in Mozzarella Cheese Using Antimicrobial Sachets Containing Rosemary Oil and Thyme Oil. J. Food Sci. 2014, 79, E2272–E2278. [Google Scholar] [CrossRef]
- Passarinho, A.T.P.; Dias, N.F.; Camilloto, G.P.; Cruz, R.S.; Otoni, C.G.; Moraes, A.R.F.; Soares, N.D.F.F. Sliced Bread Preservation through Oregano Essential Oil-Containing Sachet. J. Food Process Eng. 2014, 37, 53–62. [Google Scholar] [CrossRef]
- Espitia, P.J.; Soares, N.D.; Botti, L.C.; Melo, N.R.; Pereira, O.L.; Silva, W.A. Assessment of the Efficiency of Essential Oils in the Preservation of Postharvest Papaya in an Antimicrobial Packaging System. Braz. J. Food Technol. 2012, 15, 333–342. [Google Scholar] [CrossRef]
- Day, B.P.F.; Potter, L. 9 Active Packaging. In Food and Beverage Packaging Technology, 2nd ed.; John Wiley & Sons: Hoboken, NJ, USA, 2011. [Google Scholar]
- Singh, S.; Maji, P.K.; Lee, Y.S.; Gaikwad, K.K. Applications of Gaseous Chlorine Dioxide for Antimicrobial Food Packaging: A Review. Environ. Chem. Lett. 2021, 19, 253–270. [Google Scholar] [CrossRef]
- Brody, A.L.; Strupinsky, G.R.; Pruskin, L.R. The Use of Oxygen Scavengers and Active Packaging to Reduce Oxygen Within Internal Package Environments. Trends Food Sci. Technol. 1995, 6, 332–337. [Google Scholar]
- Corrêa-Filho, L.C.; Moldão-Martins, M.; Alves, V.D. Advances in the Application of Microcapsules as Carriers of Functional Compounds for Food Products. Appl. Sci. 2019, 9, 571. [Google Scholar] [CrossRef]
- Maes, C.; Bouquillon, S.; Fauconnier, M.L. Encapsulation of Essential Oils for the Development of Biosourced Pesticides with Controlled Release: A Review. Molecules 2019, 24, 2539. [Google Scholar] [CrossRef]
- Campelo, P.H.; Sanches, E.A.; de Barros Fernandes, R.V.; Botrel, D.A.; Borges, S.V. Stability of Lime Essential Oil Microparticles Produced with Protein-Carbohydrate Blends. Food Res. Int. 2018, 105, 936–944. [Google Scholar] [CrossRef]
- Dima, C.; Pətraşcu, L.; Cantaragiu, A.; Alexe, P.; Dima, Ş. The Kinetics of the Swelling Process and the Release Mechanisms of Coriandrum Sativum L. Essential Oil from Chitosan/Alginate/Inulin Microcapsules. Food Chem. 2016, 195, 39–48. [Google Scholar] [CrossRef]
- Beirão-da-Costa, S.; Duarte, C.; Bourbon, A.I.; Pinheiro, A.C.; Januário, M.I.N.; Vicente, A.A.; Beirão-da-Costa, M.L.; Delgadillo, I. Inulin Potential for Encapsulation and Controlled Delivery of Oregano Essential Oil. Food Hydrocoll. 2013, 33, 199–206. [Google Scholar] [CrossRef]
- Kaderides, K.; Goula, A.M.; Adamopoulos, K.G. A Process for Turning Pomegranate Peels into a Valuable Food Ingredient Using Ultrasound-Assisted Extraction and Encapsulation. Innov. Food Sci. Emerg. Technol. 2015, 31, 204–215. [Google Scholar] [CrossRef]
- Yinbin, L.; Wu, L.; Weng, M.; Tang, B.; Lai, P.; Chen, J. Effect of Different Encapsulating Agent Combinations on Physicochemical Properties and Stability of Microcapsules Loaded with Phenolics of Plum (Prunus salicina Lindl.). Powder Technol. 2018, 340, 459–464. [Google Scholar] [CrossRef]
- Santiago-Adame, R.; Medina-Torres, L.; Gallegos-Infante, J.A.; Calderas, F.; González-Laredo, R.F.; Rocha-Guzmán, N.E.; Ochoa-Martínez, L.A.; Bernad-Bernad, M.J. Spray Drying-Microencapsulation of Cinnamon Infusions (Cinnamomum zeylanicum) with Maltodextrin. LWT 2015, 64, 571–577. [Google Scholar] [CrossRef]
- Saikia, S.; Mahnot, N.K.; Mahanta, C.L. Optimisation of Phenolic Extraction from Averrhoa Carambola Pomace by Response Surface Methodology and Its Microencapsulation by Spray and Freeze Drying. Food Chem. 2015, 171, 144–152. [Google Scholar] [CrossRef] [PubMed]
- Moreno, T.; Cocero, M.J.; Rodríguez-Rojo, S. Storage Stability and Simulated Gastrointestinal Release of Spray Dried Grape Marc Phenolics. Food Bioprod. Process. 2018, 112, 96–107. [Google Scholar] [CrossRef]
- Calva-Estrada, S.J.; Mendoza, M.R.; García, O.; Jiménez-Fernández, V.M.; Jiménez, M. Microencapsulation of Vanilla (Vanilla Planifolia Andrews) and Powder Characterization. Powder Technol. 2018, 323, 416–423. [Google Scholar] [CrossRef]
- Pasrija, D.; Ezhilarasi, P.N.; Indrani, D.; Anandharamakrishnan, C. Microencapsulation of Green Tea Polyphenols and Its Effect on Incorporated Bread Quality. LWT 2015, 64, 289–296. [Google Scholar] [CrossRef]
- Sánchez, F.M.; García, F.; Calvo, P.; Bernalte, M.J.; González-Gómez, D. Optimization of Broccoli Microencapsulation Process by Complex Coacervation Using Response Surface Methodology. Innov. Food Sci. Emerg. Technol. 2016, 34, 243–249. [Google Scholar] [CrossRef]
- Hosseini, S.M.; Hosseini, H.; Mohammadifar, M.A.; Mortazavian, A.M.; Mohammadi, A.; Khosravi-Darani, K.; Shojaee-Aliabadi, S.; Dehghan, S.; Khaksar, R. Incorporation of Essential Oil in Alginate Microparticles by Multiple Emulsion/Ionic Gelation Process. Int. J. Biol. Macromol. 2013, 62, 582–588. [Google Scholar] [CrossRef]
- Benavides, S.; Cortés, P.; Parada, J.; Franco, W. Development of Alginate Microspheres Containing Thyme Essential Oil Using Ionic Gelation. Food Chem. 2016, 204, 77–83. [Google Scholar] [CrossRef]
- Hasheminejad, N.; Khodaiyan, F.; Safari, M. Improving the Antifungal Activity of Clove Essential Oil Encapsulated by Chitosan Nanoparticles. Food Chem. 2019, 275, 113–122. [Google Scholar] [CrossRef]
- Dong, Z.J.; Xia, S.Q.; Hua, S.; Hayat, K.; Zhang, X.M.; Xu, S.Y. Optimization of Cross-Linking Parameters during Production of Transglutaminase-Hardened Spherical Multinuclear Microcapsules by Complex Coacervation. Colloids Surf. B Biointerfaces 2008, 63, 41–47. [Google Scholar] [CrossRef]
- Shepherd, S.J.; Issadore, D.; Mitchell, M.J. Microfluidic Formulation of Nanoparticles for Biomedical Applications. Biomaterials 2021, 274, 120826. [Google Scholar] [CrossRef]
- Huang, Y.; Stonehouse, A.; Abeykoon, C. Encapsulation Methods for Phase Change Materials—A Critical Review. Int. J. Heat. Mass. Transf. 2023, 200, 123458. [Google Scholar] [CrossRef]
- Li, M.; Rouaud, O.; Poncelet, D. Microencapsulation by Solvent Evaporation: State of the Art for Process Engineering Approaches. Int. J. Pharm. 2008, 363, 26–39. [Google Scholar] [CrossRef] [PubMed]
- Wang, J.; Schwendeman, S.P. Mechanisms of Solvent Evaporation Encapsulation Processes: Prediction of Solvent Evaporation Rate. J. Pharm. Sci. 1999, 88, 1090–1099. [Google Scholar] [CrossRef]
- Adeleke, O.A. Premium Ethylcellulose Polymer Based Architectures at Work in Drug Delivery. Int. J. Pharm. X 2019, 1, 100023. [Google Scholar] [CrossRef]
- Ali, T.; Shoaib, M.H.; Yousuf, R.I.; Jabeen, S.; Muhammad, I.N.; Tariq, A. Use of Hydrophilic and Hydrophobic Polymers for the Development of Controlled Release Tizanidine Matrix Tablets. Braz. J. Pharm. Sci. 2014, 50, 799–818. [Google Scholar] [CrossRef]
- Rama Rao, K.; Senapati, P.; Das, M.K. Formulation and in Vitro Evaluation of Ethyl Cellulose Microspheres Containing Zidovudine. J. Microencapsul. 2005, 22, 863–876. [Google Scholar] [CrossRef]
- Thakare, M.; Israel, B.; Garner, S.T.; Ahmed, H.; Garner, P.; Elder, D.; Price, J.C.; Capomacchia, A.C. Formulation Parameters and Release Mechanism of Theophylline Loaded Ethyl Cellulose Microspheres: Effect of Different Dual Surfactant Ratios. Pharm. Dev. Technol. 2013, 18, 1213–1219. [Google Scholar] [CrossRef]
- Saez, V.; Freitas, J.M.; Hernández, J.R.; Regina Elias Mansur, C. Validation of UV Spectrophotometric Method for Quantifying Ketoconazole Encapsulated in Ethyl Cellulose Microspheres. Macromol. Symp. 2018, 380, 1800066. [Google Scholar] [CrossRef]
- Pérez-Martínez, J.I.; Morillo, E.; Maqueda, C.; Ginés, J.M. Ethyl Cellulose Polymer Microspheres for Controlled Release of Norfluazon. Pest. Manag. Sci. 2001, 57, 688–694. [Google Scholar] [CrossRef]
- Sahoo, S.K.; Mallick, A.A.; Barik, B.B.; Senapati, P.C. Preparation and in Vitro Evaluation of Ethyl Cellulose Microspheres Containing Stavudine by the Double Emulsion Method. Pharmazie 2007, 62, 117–121. [Google Scholar] [CrossRef]
- Prasertmanakit, S.; Praphairaksit, N.; Chiangthong, W.; Muangsin, N. Ethyl Cellulose Microcapsules for Protecting and Controlled Release of Folic Acid. AAPS PharmSciTech 2009, 10, 1104–1112. [Google Scholar] [CrossRef] [PubMed]
- Maji, R.; Ray, S.; Das, B.; Nayak, A.K. Ethyl Cellulose Microparticles Containing Metformin HCl by Emulsification-Solvent Evaporation Technique: Effect of Formulation Variables. Int. Sch. Res. Not. 2012, 2012, 801827. [Google Scholar] [CrossRef]
- Saravanan, M.; Anupama, B. Development and Evaluation of Ethylcellulose Floating Microspheres Loaded with Ranitidine Hydrochloride by Novel Solvent Evaporation-Matrix Erosion Method. Carbohydr. Polym. 2011, 85, 592–598. [Google Scholar] [CrossRef]
- Pokharel, M.; Jamil, M.F.; Wilson, J.P.; Ferreira, T.; Fan, Q.; Park, K. Sustained Release of Salicylic Acid from Ethyl Cellulose Microspheres Fabricated Using Quasi-Emulsion Solvent Diffusion Method. Biomed. Eng. Adv. 2023, 6, 100095. [Google Scholar] [CrossRef]
- Safakas, K.; Giotopoulou, I.; Giannakopoulou, A.; Katerinopoulou, K.; Lainioti, G.C.; Stamatis, H.; Barkoula, N.M.; Ladavos, A. Designing Antioxidant and Antimicrobial Polyethylene Films with Bioactive Compounds/Clay Nanohybrids for Potential Packaging Applications. Molecules 2023, 28, 2945. [Google Scholar] [CrossRef]
- Giotopoulou, I.; Fotiadou, R.; Stamatis, H.; Barkoula, N.M. Development of Low-Density Polyethylene Films Coated with Phenolic Substances for Prolonged Bioactivity. Polymers 2023, 15, 4580. [Google Scholar] [CrossRef]
- Muriel-Galet, V.; Cran, M.J.; Bigger, S.W.; Hernández-Muñoz, P.; Gavara, R. Antioxidant and Antimicrobial Properties of Ethylene Vinyl Alcohol Copolymer Films Based on the Release of Oregano Essential Oil and Green Tea Extract Components. J. Food Eng. 2015, 149, 9–16. [Google Scholar] [CrossRef]
- Venu Gopala Kumari, S.; Pakshirajan, K.; Pugazhenthi, G. Application of Active and Environment-Friendly Poly (3-Hydroxybutyrate)/Grapeseed Oil/MgO Nanocomposite Packaging for Prolonging the Shelf-Life of Cherry Tomatoes (Solanum lycopersicum L. var. cerasiforme). Sustain. Chem. Pharm. 2024, 41, 101681. [Google Scholar] [CrossRef]
- Locali-Pereira, A.R.; Guazi, J.S.; Conti-Silva, A.C.; Nicoletti, V.R. Active Packaging for Postharvest Storage of Cherry Tomatoes: Different Strategies for Application of Microencapsulated Essential Oil. Food Packag. Shelf Life 2021, 29, 100723. [Google Scholar] [CrossRef]
- Lian, H.; Wei, W.; Wang, D.; Jia, L.; Yang, X. Effect of Thymol on Physical Properties, Antimicrobial Properties and Fresh-Keeping Application of Cherry Tomato of Starch/PBAT Extrusion Blowing Films. Food Sci. Technol. 2022, 42, e43922. [Google Scholar] [CrossRef]
- Anthon, G.E.; Lestrange, M.; Barrett, D.M. Changes in PH, Acids, Sugars and Other Quality Parameters during Extended Vine Holding of Ripe Processing Tomatoes. J. Sci. Food Agric. 2011, 91, 1175–1181. [Google Scholar] [CrossRef] [PubMed]
- Loro, A.C.; Botteon, V.W.; Spoto, M.H.F. Quality Parameters of Tomatoes Submitted to Different Doses of Gamma Radiation. Braz. J. Food Technol. 2018, 21, e2017168. [Google Scholar] [CrossRef]
- Gawad Saad, A.; Jaiswal, P.; Narayan Jha, S.; Saad, A. Non-Destructive Quality Evaluation of Intact Tomato Using VIS-NIR Spectroscopy. Int. J. Adv. Res. 2014, 2, 632–639. [Google Scholar]
- İmamoğlu, S.; Devrim Gökberk, B.; Eryilmaz, M.; Bozkir, A. Effect of Surfactant Types and Concentrations on Levofloxacin-Loaded PLGA Microparticles for Pulmonary Delivery—An In Vitro Study. J. Res. Pharm. 2022, 26, 1156–1176. [Google Scholar] [CrossRef]
- Mohammed, H.A.; Al-Omar, M.S.; El-Readi, M.Z.; Alhowail, A.H.; Aldubayan, M.A.; Abdellatif, A.A.H. Formulation of Ethyl Cellulose Microparticles Incorporated Pheophytin a Isolated from Suaeda Vermiculata for Antioxidant and Cytotoxic Activities. Molecules 2019, 24, 1501. [Google Scholar] [CrossRef]
- Ursachi, C.Ș.; Perța-Crișan, S.; Tolan, I.; Chambre, D.R.; Chereji, B.D.; Condrat, D.; Munteanu, F.D. Development and Characterization of Ethylcellulose Oleogels Based on Pumpkin Seed Oil and Rapeseed Oil. Gels 2024, 10, 384. [Google Scholar] [CrossRef]
- Fu, X.; Kong, W.; Zhang, Y.; Jiang, L.; Wang, J.; Lei, J. Novel Solid-Solid Phase Change Materials with Biodegradable Trihydroxy Surfactants for Thermal Energy Storage. RSC Adv. 2015, 5, 68881–68889. [Google Scholar] [CrossRef]
- Valderrama, A.C.S.; Rojas De, G.C. Traceability of Active Compounds of Essential Oils in Antimicrobial Food Packaging Using a Chemometric Method by ATR-FTIR. Am. J. Anal. Chem. 2017, 8, 726–741. [Google Scholar] [CrossRef]
- Catauro, M.; Bollino, F.; Tranquillo, E.; Sapio, L.; Illiano, M.; Caiafa, I.; Naviglio, S. Chemical Analysis and Anti-Proliferative Activity of Campania Thymus Vulgaris Essential Oil. J. Essent. Oil Res. 2017, 29, 461–470. [Google Scholar] [CrossRef]
- Trivedi, M.K.; Patil, S.; Mishra, R.K.; Jana, S. Structural and Physical Properties of Biofield Treated Thymol and Menthol. J. Mol. Pharm. Org. Process Res. 2015, 3, 127. [Google Scholar] [CrossRef]
- Chandrasekaran, S.; Cruz-Izquierdo, A.; Castaing, R.; Kandola, B.; Scott, J.L. Facile Preparation of Flame-Retardant Cellulose Composite with Biodegradable and Water Resistant Properties for Electronic Device Applications. Sci. Rep. 2023, 13, 3168. [Google Scholar] [CrossRef] [PubMed]
- Ponce Cevallos, P.A.; Buera, M.P.; Elizalde, B.E. Encapsulation of Cinnamon and Thyme Essential Oils Components (Cinnamaldehyde and Thymol) in β-Cyclodextrin: Effect of Interactions with Water on Complex Stability. J. Food Eng. 2010, 99, 70–75. [Google Scholar] [CrossRef]
- Jianan, C.; Yifang, G.; Jinyue, A.N.; Shaoqiong, Y. Thermotropic Liquid Crystalline Behaviors of Ethylcellulose. J. Appl. Polym. Sci. 1992, 45, 2153–2158. [Google Scholar] [CrossRef]
- Chella, N.; Kumar Yada, K.; Vempati, R. Preparation and Evaluation of Ethyl Cellulose Microspheres Containing Diclofenac Sodium by Novel W/O/O Emulsion Method. J. Pharm. Sci. Res. 2010, 2, 884–888. [Google Scholar]
- Bruschi, M.L. Mathematical Models of Drug Release. In Strategies to Modify the Drug Release from Pharmaceutical Systems; Bruschi Luciano Marcos, Ed.; Elsevier: Amsterdam, The Netherlands, 2015; pp. 63–86. ISBN 9780081000922. [Google Scholar]
- Dash, S.; Murthy, P.N.; Nath, L.; Chowdhury, P. Kinetic Modeling on Drug Release from Controlled Delivery Systems. Acta Pol. Pharm. 2010, 67, 217–223. [Google Scholar]
- Gonçalves, A.; Rocha, F.; Estevinho, B.N. Application of Ethyl Cellulose and Ethyl Cellulose + Polyethylene Glycol for the Development of Polymer-Based Formulations Using Spray-Drying Technology for Retinoic Acid Encapsulation. Foods 2022, 11, 2533. [Google Scholar] [CrossRef]
- Zamani, Z.; Alipour, D.; Moghimi, H.R.; Ali, S.; Mortazavi, R.; Saffary, M. Development and Evaluation of Thymol Microparticles Using Cellulose Derivatives as Controlled Release Dosage Form. Iran. J. Pharm. Res. 2015, 14, 1031–1040. [Google Scholar]
- Biswal, A.K.; Vashisht, I.; Khan, A.; Sharma, S.; Saha, S. Synthesis, Characterization and Antibacterial Activity of Thymol-Loaded Polylactic Acid Microparticles Entrapped with Essential Oils of Varying Viscosity. J. Mater. Sci. 2019, 54, 9745–9758. [Google Scholar] [CrossRef]
- Cui, Y.; Wang, X.; Cheng, M.; Guo, Y.; Zhang, R. Controlled Release Mechanism of Thymol Loaded into Mesoporous Silica Nanoparticles for Active Packaging Films. Food Biosci. 2023, 56, 103229. [Google Scholar] [CrossRef]
- Maciel, M.V.; da Rosa, C.G.; da Rosa Almeida, A.; Nunes, M.R.; Noronha, C.M.; Jummes, B.; Martelli, S.M.; Bertoldi, F.C.; Barreto, P.L. Thymol Loaded Zein Microparticles Obtained by Spray-Drying: Physical-Chemical Characterization. Biocatal. Agric. Biotechnol. 2021, 37, 102177. [Google Scholar] [CrossRef]
- Ahmady, A.R.; Razmjooee, K.; Nazar, V.; Saber-Samandari, S. Alginate Carrier as a Controlled Thymol Delivery System: Effect of Particle Size. Mater. Chem. Phys. 2023, 294, 126982. [Google Scholar] [CrossRef]
- Laracuente, M.L.; Yu, M.H.; McHugh, K.J. Zero-Order Drug Delivery: State of the Art and Future Prospects. J. Control. Release 2020, 327, 834–856. [Google Scholar] [CrossRef] [PubMed]
- Li, X.; Li, Q.; Zhao, C. Zero-Order Controlled Release of Water-Soluble Drugs Using a Marker Pen Platform. ACS Omega 2021, 6, 13774–13778. [Google Scholar] [CrossRef] [PubMed]
- Cheu, S.J.; Chen, R.R.L.; Chen, P.F.; Lin, W.J. In Vitro Modified Release of Acyclovir from Ethyl Cellulose Microspheres. J. Microencapsul. 2001, 18, 559–565. [Google Scholar] [CrossRef]
- Perdones, A.; Sánchez-González, L.; Chiralt, A.; Vargas, M. Effect of Chitosan-Lemon Essential Oil Coatings on Storage-Keeping Quality of Strawberry. Postharvest Biol. Technol. 2012, 70, 32–41. [Google Scholar] [CrossRef]
- Ansarifar, E.; Moradinezhad, F. Preservation of Strawberry Fruit Quality via the Use of Active Packaging with Encapsulated Thyme Essential Oil in Zein Nanofiber Film. Int. J. Food Sci. Technol. 2021, 56, 4239–4247. [Google Scholar] [CrossRef]
- Yang, W.; Wang, L.; Ban, Z.; Yan, J.; Lu, H.; Zhang, X.; Wu, Q.; Aghdam, M.S.; Luo, Z.; Li, L. Efficient Microencapsulation of Syringa Essential Oil; the Valuable Potential on Quality Maintenance and Storage Behavior of Peach. Food Hydrocoll. 2019, 95, 177–185. [Google Scholar] [CrossRef]
- Gulin-Sarfraz, T.; Kalantzopoulos, G.N.; Pettersen, M.K.; Åsli, A.W.; Tho, I.; Axelsson, L.; Sarfraz, J. Inorganic Nanocarriers for Encapsulation of Natural Antimicrobial Compounds for Potential Food Packaging Application: A Comparative Study. Nanomaterials 2021, 11, 379. [Google Scholar] [CrossRef]
- Salehi, A.; Rezaei, A.; Damavandi, M.S.; Kharazmi, M.S.; Jafari, S.M. Almond Gum-Sodium Caseinate Complexes for Loading Propolis Extract: Characterization, Antibacterial Activity, Release, and in-Vitro Cytotoxicity. Food Chem. 2023, 405, 134801. [Google Scholar] [CrossRef]






| Thymol (% w/v) | Ethyl Cellulose (% w/v) | Span (% v/v) | Sample Name |
|---|---|---|---|
| 5 | 5 | 1 | 5EC5T1s |
| 5 | 5 | 2 | 5EC5T2s |
| 10 | 5 | 2 | 10EC5T2s |
| 10 | 10 | 1 | 10EC10T1s |
| 10 | 10 | 2 | 10EC10T2s |
| Sample | Span/Thymol 1 | SD |
|---|---|---|
| 5EC5T1s (a) | 0.44 a–c | ±0.02 |
| 5EC5T2s (b) | 0.62 b | ±0.08 |
| 10EC5T2s (c) | 0.60 c–d | ±0.01 |
| 10EC10T1s (d) | 0.37 d–c | ±0.02 |
| 10EC10T2s (e) | 0.53 e | ±0.06 |
| Sample | LC% | EE% | T20 (°C) |
|---|---|---|---|
| Thymol | - | - | 130 |
| 5EC5T1S | 6.15 | 12.30 | 141 |
| 5EC5T2S | 5.90 | 11.80 | 141 |
| 10EC5T2S | 5.62 | 11.24 | 150 |
| 10EC10T1S | 13.25 | 26.50 | 140 |
| 10EC10T2S | 12.42 | 24.84 | 143 |
| Sample | Zero-Order | First-Order | Hixson– Crowell | Higuchi | Korsmeyer–Peppas | |||||
|---|---|---|---|---|---|---|---|---|---|---|
| R2 | K0 | R2 | K1 | R2 | KHC | R2 | KH | R2 | n | |
| 5EC5T1s | 0.741 | 0.139 | 0.422 | 0.002 | 0.544 | 0.004 | 0.929 | 3.738 | 0.902 | 0.388 |
| 5EC5T2s | 0.763 | 0.143 | 0.474 | 0.004 | 0.584 | 0.004 | 0.947 | 3.844 | 0.947 | 0.390 |
| 10EC5T2s | 0.802 | 0.149 | 0.484 | 0.002 | 0.614 | 0.004 | 0.968 | 3.951 | 0.950 | 0.452 |
| 10EC10T1s | 0.736 | 0.140 | 0.473 | 0.003 | 0.572 | 0.004 | 0.934 | 3.788 | 0.950 | 0.360 |
| 10EC10T2s | 0.788 | 0.142 | 0.477 | 0.002 | 0.600 | 0.004 | 0.959 | 3.767 | 0.935 | 0.382 |
Disclaimer/Publisher’s Note: The statements, opinions and data contained in all publications are solely those of the individual author(s) and contributor(s) and not of MDPI and/or the editor(s). MDPI and/or the editor(s) disclaim responsibility for any injury to people or property resulting from any ideas, methods, instructions or products referred to in the content. |
© 2024 by the authors. Licensee MDPI, Basel, Switzerland. This article is an open access article distributed under the terms and conditions of the Creative Commons Attribution (CC BY) license (https://creativecommons.org/licenses/by/4.0/).
Share and Cite
Giotopoulou, I.; Stamatis, H.; Barkoula, N.-M. Encapsulation of Thymol in Ethyl Cellulose-Based Microspheres and Evaluation of Its Sustained Release for Food Applications. Polymers 2024, 16, 3396. https://doi.org/10.3390/polym16233396
Giotopoulou I, Stamatis H, Barkoula N-M. Encapsulation of Thymol in Ethyl Cellulose-Based Microspheres and Evaluation of Its Sustained Release for Food Applications. Polymers. 2024; 16(23):3396. https://doi.org/10.3390/polym16233396
Chicago/Turabian StyleGiotopoulou, Iro, Haralambos Stamatis, and Nektaria-Marianthi Barkoula. 2024. "Encapsulation of Thymol in Ethyl Cellulose-Based Microspheres and Evaluation of Its Sustained Release for Food Applications" Polymers 16, no. 23: 3396. https://doi.org/10.3390/polym16233396
APA StyleGiotopoulou, I., Stamatis, H., & Barkoula, N.-M. (2024). Encapsulation of Thymol in Ethyl Cellulose-Based Microspheres and Evaluation of Its Sustained Release for Food Applications. Polymers, 16(23), 3396. https://doi.org/10.3390/polym16233396

