Assessment of the Mechanical Properties and Fragment Characteristics of a 3D-Printed Forearm Orthosis
Abstract
1. Introduction
2. Materials and Methods
2.1. 3D Scanning of a Forearm
- Octree depth—influences the level of detail the final model will have,
- Solver divide—influences the level a programmed conjugate gradient solver will take to solve Poisson equation,
- Samples per node—influences the minimal number of points assigned to each Octree and thus influences the level of detail,
- Surface offsetting—influences threshold correction of the surface.
- The model processing took 40 s. Aforementioned values are shown in Table 2.
2.2. Orthosis Modelling
- 3D model segmentation,
- Surface modelling,
- Layout modelling,
- Final model creation.
2.3. Fabrication of Test Samples
2.4. Loading Capacity Test
- Pretension—300 N;
- Speed—25 cm/min.
2.5. Statistical Data Treatment
2.6. Microscopic Characterization of Test Sample Fragments
- Occurrence of the fragments during the break;
- Occurrence of jagged pieces along the break lines of the fragments;
- Characteristics of jagged pieces found on the fragments.
2.7. Processing of the Finished Model for 3D Printing
3. Results
3.1. Results of Orthosis Modelling
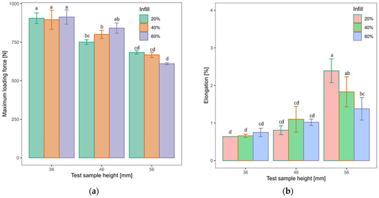
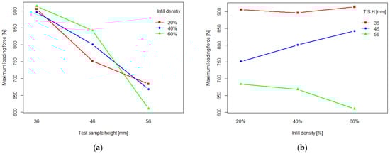
3.2. Results of Loading Capacity Testing
3.3. Results of Microscopic Characterization of Test Sample Fragments
- Of the 27 test samples, four of them did not break, rather they were permanently deformed.
- Of the 23 test samples that did break into fragments, three of them broke off into more than two fragments—three, to be more precise.
- Of the 23 test samples that were fragmented, 17 test samples had jagged pieces along the break lines.
- Of the 17 fragments, five of them that came from the same test sample, did not have jagged pieces on all fragments.
3.4. Results of Finsihed Model 3D Printing
4. Discussion
5. Conclusions
- PLA 3D-printed orthosis can withstand forces that would compromise conventional Paris of Plaster casts.
- Developed workflow for 3D scanning, modelling, and printing took less than 24 h to complete.
- Due to excessive forces during the break, resulting fragments and jagged pieces could potentially damage human skin.
Author Contributions
Funding
Institutional Review Board Statement
Data Availability Statement
Conflicts of Interest
References
- Patel, D.S.; Statuta, S.M.; Ahmed, N. Common Fractures of the Radius and Ulna. Am. Fam. Physician 2021, 103, 345–354. [Google Scholar] [PubMed]
- Caruso, G.; Caldari, E.; Sturla, F.D.; Caldaria, A.; Re, D.L.; Pagetti, P.; Palummieri, F.; Massari, L. Management of Pediatric Forearm Fractures: What Is the Best Therapeutic Choice? A Narrative Review of the Literature. Musculoskelet. Surg. 2021, 105, 225–234. [Google Scholar] [CrossRef]
- Candela, V.; Di Lucia, P.; Carnevali, C.; Milanese, A.; Spagnoli, A.; Villani, C.; Gumina, S. Epidemiology of Distal Radius Fractures: A Detailed Survey on a Large Sample of Patients in a Suburban Area. J. Orthop. Traumatol. 2022, 23, 43–51. [Google Scholar] [CrossRef]
- Shah, A.S.; Guzek, R.H.; Miller, M.L.; Willey, M.C.; Mahan, S.T.; Bae, D.S. Descriptive Epidemiology of Isolated Distal Radius Fractures in Children: Results From a Prospective Multicenter Registry. J. Pediatr. Orthop. 2023, 43, e1–e8. [Google Scholar] [CrossRef]
- Stattin, K.; Höijer, J.; Hållmarker, U.; Baron, J.A.; Larsson, S.C.; Wolk, A.; Michaëlsson, K.; Byberg, L. Fracture Risk across a Wide Range of Physical Activity Levels, from Sedentary Individuals to Elite Athletes. Bone 2021, 153, 116128. [Google Scholar] [CrossRef]
- Vescio, A.; Testa, G.; Sapienza, M.; Caldaci, A.; Montemagno, M.; Andreacchio, A.; Canavese, F.; Pavone, V. Is Obesity a Risk Factor for Loss of Reduction in Children with Distal Radius Fractures Treated Conservatively? Children 2022, 9, 425. [Google Scholar] [CrossRef]
- Dimitri, P. The Impact of Childhood Obesity on Skeletal Health and Development. J. Obes. Metab. Syndr. 2019, 28, 4–17. [Google Scholar] [CrossRef]
- Mauck, B.M.; Swigler, C.W. Evidence-Based Review of Distal Radius Fractures. Orthop. Clin. N. Am. 2018, 49, 211–222. [Google Scholar] [CrossRef] [PubMed]
- Abdel-Wahed, M.; Khater, A.A.-Z.; El-Desouky, M.A. Volar Locking Plate Fixation for Distal Radius Fractures: Did Variable-Angle Plates Make Difference? Int. Orthop. 2022, 46, 2165–2176. [Google Scholar] [CrossRef]
- Ali Fazal, M.; Denis Mitchell, C.; Ashwood, N. Volar Locking Plate: Age Related Outcomes and Complications. J. Clin. Orthop. Trauma 2020, 11, 642–645. [Google Scholar] [CrossRef]
- Testa, G.; Vescio, A.; Di Masi, P.; Bruno, G.; Sessa, G.; Pavone, V. Comparison between Surgical and Conservative Treatment for Distal Radius Fractures in Patients over 65 Years. J. Funct. Morphol. Kinesiol. 2019, 4, 26. [Google Scholar] [CrossRef] [PubMed]
- Gutiérrez-Espinoza, H.; Araya-Quintanilla, F.; Olguín-Huerta, C.; Gutiérrez-Monclus, R.; Valenzuela-Fuenzalida, J.; Román-Veas, J.; Campos-Jara, C. Effectiveness of Surgical versus Conservative Treatment of Distal Radius Fractures in Elderly Patients: A Systematic Review and Meta-Analysis. Orthop. Traumatol. Surg. Res. 2022, 108, 103323. [Google Scholar] [CrossRef] [PubMed]
- Ekanayake, C.; Gamage, J.C.P.H.; Mendis, P.; Weerasinghe, P. Revolution in Orthopedic Immobilization Materials: A Comprehensive Review. Heliyon 2023, 9, e13640. [Google Scholar] [CrossRef] [PubMed]
- Szostakowski, B.; Smitham, P.; Khan, W.S. Plaster of Paris–Short History of Casting and Injured Limb Immobilzation. Open Orthop. J. 2017, 11, 291–296. [Google Scholar] [CrossRef] [PubMed]
- Agisparayan, C.K.; Low, K.O.; Lim, S.T.; Wong, K.J. Impact Behaviour Of Hybrid Bandage Casts. Innov. Corros. Mater. Sci. 2019, 9, 66–73. [Google Scholar] [CrossRef]
- Espejo-Reina, A.; Carrascal-Morillo, M.T.; Delgado-Martínez, A.D. Comparison of Two Different Ways to Apply a Circular Plaster Cast for Distal Radius Fractures: Biomechanical Study. J. Orthop. Surg. Res. 2021, 16, 4–9. [Google Scholar] [CrossRef]
- Parmar, A.J.; Tyagi, S.K.; Dabas, V.S.; Mistry, J.N.; Jhala, S.K.; Suthar, D.N.; Bhatt, R.H.; Pansuria, D.V.; Bhatti, I.M. Assesment of the physical and mechanical properties of plaster of Paris bandage cast used as splinting and casting materials. Vet. World 2014, 7, 1123–1126. [Google Scholar] [CrossRef]
- Iyer, K.M. Plaster of Paris. In General Principles of Orthopedics and Trauma; Iyer, K.M., Khan, S.W., Eds.; Springer International Publishing: Cham, Germany, 2019; pp. 527–533. [Google Scholar]
- Singh Chauhan, V.; Mir, A. Plaster Burn: Challenge to Plastic Surgeon. World J. Plast. Surg. 2018, 7, 226–230. [Google Scholar]
- Massaglia, J.E.; Lebowitz, C.; Fitzgerald, K.; Hickok, N.J.; Beredjiklian, P.; Rivlin, M. An Evaluation of the Bacterial Adherence to Casting Materials. Cureus 2021, 13, e16724. [Google Scholar] [CrossRef] [PubMed]
- Schlégl, Á.; Told, R.; Kardos, K.; Szőke, A.; Ujfalusi, Z.; Maróti, P. Evaluation and Comparison of Traditional Plaster and Fiberglass Casts with 3D-Printed PLA and PLA–CaCO3 Composite Splints for Bone-Fracture Management. Polymers 2022, 14, 3571. [Google Scholar] [CrossRef] [PubMed]
- Łukaszewski, K.; Wichniarek, R.; Górski, F. Determination of the Elasticity Modulus of Additively Manufactured Wrist Hand Orthoses. Materials 2020, 13, 4379. [Google Scholar] [CrossRef] [PubMed]
- Popescu, D.; Stochioiu, C.; Baciu, F.; Iacob, M.C. 3D-Printed Polycaprolactone Mechanical Characterization and Suitability Assessment for Producing Wrist–Hand Orthoses. Polymers 2023, 15, 576. [Google Scholar] [CrossRef] [PubMed]
- ISO 22523:2006; External Limb Prostheses and External Orthoses-Requirements and Test Methods. International Organization for Standardization: Geneva, Switzerland, 2006. Available online: https://www.iso.org/standard/37546.html (accessed on 3 September 2024).
- Haleem, A.; Javaid, M. 3D Scanning Applications in Medical Field: A Literature-Based Review. Clin. Epidemiol. Glob. Health 2019, 7, 199–210. [Google Scholar] [CrossRef]
- Calignano, F.; Mercurio, V. An Overview of the Impact of Additive Manufacturing on Supply Chain, Reshoring, and Sustainability. Clean. Logist. Supply Chain 2023, 7, 100103. [Google Scholar] [CrossRef]
- Faludi, J.; Bayley, C.; Bhogal, S.; Iribarne, M. Comparing Environmental Impacts of Additive Manufacturing vs Traditional Machining via Life-Cycle Assessment. Rapid Prototyp. J. 2015, 21, 14–33. [Google Scholar] [CrossRef]
- Kluska, E.; Gruda, P.; Majca-Nowak, N. The Accuracy and the Printing Resolution Comparison of Different 3D Printing Technologies. Trans. Aerosp. Res. 2018, 2018, 69–86. [Google Scholar] [CrossRef]
- Aydin, L.; Kucuk, S. A Method for More Accurate FEA Results on a Medical Device Developed by 3D Technologies. Polym. Adv. Technol. 2018, 29, 2281–2286. [Google Scholar] [CrossRef]
- Zuniga, J.M. 3D Printed Antibacterial Prostheses. Appl. Sci. 2018, 8, 1651. [Google Scholar] [CrossRef]
- Wickramasinghe, S.; Do, T.; Tran, P. FDM-Based 3D Printing of Polymer and Associated Composite: A Review on Mechanical Properties, Defects and Treatments. Polymers 2020, 12, 1529. [Google Scholar] [CrossRef] [PubMed]
- Tümer, E.H.; Erbil, H.Y. Extrusion-Based 3D Printing Applications of PLA Composites: A Review. Coatings 2021, 11, 390. [Google Scholar] [CrossRef]
- Singhvi, M.S.; Zinjarde, S.S.; Gokhale, D.V. Polylactic acid: Synthesis and biomedical applications. J. Appl. Microbiol. 2019, 127, 1612–1626. [Google Scholar] [CrossRef] [PubMed]
- Capuana, E.; Lopresti, F.; Ceraulo, M.; La Carrubba, V. Poly-l-Lactic Acid (PLLA)-Based Biomaterials for Regenerative Medicine: A Review on Processing and Applications. Polymers 2022, 14, 1153. [Google Scholar] [CrossRef] [PubMed]
- Yang, Y.; Zhang, L.; Xiong, Z.; Tang, Z.; Zhang, R.; Zhu, J. Research progress in the heat resistance, toughening and filling modification of PLA. Sci. China Chem. 2016, 59, 1355–1368. [Google Scholar] [CrossRef]
- Grasso, M.; Azzouz, L.; Ruiz-Hincapie, P.; Zarrelli, M.; Ren, G. Effect of temperature on the mechanical properties of 3D-printed PLA tensile specimens. Rapid Prototyp. J. 2018, 24, 1337–1346. [Google Scholar] [CrossRef]
- Manoj, A.; Bhuyan, M.; Banik, S.R.; Ravi Sankar, M. Review on Particle Emissions during Fused Deposition Modeling of Acrylonitrile Butadiene Styrene and Polylactic Acid Polymers. Mater. Today Proc. 2021, 44, 1375–1383. [Google Scholar] [CrossRef]
- Górski, F.; Wichniarek, R.; Kuczko, W.; Żukowska, M.; Lulkiewicz, M.; Zawadzki, P. Experimental Studies on 3D Printing of Automatically Designed Customized Wrist-Hand Orthoses. Materials 2020, 13, 4091. [Google Scholar] [CrossRef]
- Mian, S.H.; Abouel Nasr, E.; Moiduddin, K.; Saleh, M.; Alkhalefah, H. An Insight into the Characteristics of 3D Printed Polymer Materials for Orthoses Applications: Experimental Study. Polymers 2024, 16, 403. [Google Scholar] [CrossRef]
- Ronca, A.; Abbate, V.; Redaelli, D.F.; Storm, F.A.; Cesaro, G.; De Capitani, C.; Sorrentino, A.; Colombo, G.; Fraschini, P.; Ambrosio, L. A Comparative Study for Material Selection in 3D Printing of Scoliosis Back Brace. Materials 2022, 15, 5724. [Google Scholar] [CrossRef]
- McNiffe, E.; Ritter, T.; Higgins, T.; Sam-Daliri, O.; Flanagan, T.; Walls, M.; Ghabezi, P.; Finnegan, W.; Mitchell, S.; Harrison, N.M. Advancements in Functionally Graded Polyether Ether Ketone Components: Design, Manufacturing, and Characterisation Using a Modified 3D Printer. Polymers 2023, 15, 2992. [Google Scholar] [CrossRef]
- Ritter, T.; McNiffe, E.; Higgins, T.; Sam-Daliri, O.; Flanagan, T.; Walls, M.; Ghabezi, P.; Finnegan, W.; Mitchell, S.; Harrison, N.M. Design and Modification of a Material Extrusion 3D Printer to Manufacture Functional Gradient PEEK Components. Polymers 2023, 15, 3825. [Google Scholar] [CrossRef]
- Benal, M.G.M.; GS, P.K.; Tambrallimath, V.; H.R., G.; Khan, T.Y.; Rajhi, A.A.; Baig, M.A.A. Influence of Short Glass Fibre Reinforcement on Mechanical Properties of 3D Printed ABS-Based Polymer Composites. Polymers 2022, 14, 1182. [Google Scholar] [CrossRef] [PubMed]
- Blaya, F.; Pedro, P.S.; Silva, J.L.; D’Amato, R.; Heras, E.S.; Juanes, J.A. Design of an Orthopedic Product by Using Additive Manufacturing Technology: The Arm Splint. J. Med. Syst. 2018, 42, 54. [Google Scholar] [CrossRef] [PubMed]
- Popescu, D.; Zapciu, A.; Tarba, C.; Laptiou, D. Fast production of customized three-dimensional-printed hand splints. Rapid Prototyp. J. 2020, 26, 134–144. [Google Scholar] [CrossRef]
- Górski, F.; Zawadzki, P.; Wichniarek, R.; Kuczko, W.; Zukowska, M.; Wesołowska, I.; Wierzbicka, N. Automated Design of Customized 3D-Printed Wrist Orthoses on the Basis of 3D Scanning. In Computational and Experimental Simulations in Engineering, ICCES 2019; Mechanisms and Machine Science; Springer: Cham, Switzerland, 2016; pp. 1133–1143. [Google Scholar]
- Li, J.; Tanaka, H. Feasibility study applying a parametric model as the design generator for 3D printed orthosis for fracture immobilization. 3D Print. Med. 2018, 4, 1. [Google Scholar] [CrossRef] [PubMed]
- Bogović, S.; Čorak, A. A New Method for Testing the Breaking Force of a Polylactic Acid-Fabric Joint for the Purpose of Making a Protective Garment. Materials 2022, 15, 3549. [Google Scholar] [CrossRef]
- Gao, G.; Xu, F.; Xu, J.; Liu, Z. Study of Material Color Influences on Mechanical Characteristics of Fused Deposition Modeling Parts. Materials 2022, 15, 7039. [Google Scholar] [CrossRef]
- Lintzeri, D.A.; Karimian, N.; Blume-Peytavi, U.; Kottner, J. Epidermal thickness in healthy humans: A systematic review and meta-analysis. J. Eur. Acad. Dermatol. Venereol. 2022, 36, 1191–1200. [Google Scholar] [CrossRef]
- Shergold, O.; Fleck, N.A. Experimental Investigation into the Deep Penetration of Soft Solids by Sharp and Blunt Punches, With Application to the Piercing of Skin. J. Biomech. Eng. 2005, 127, 838–848. [Google Scholar] [CrossRef] [PubMed]









| Material Researched | Advantages | Disadvantages |
|---|---|---|
| PCL | Great dimensional accuracy and stability of the finished orthosis [23]. | Long calibration needed to achieve the optimal production [23]. |
| ABS | High impact resistance [38]; ideal material for supportive structural parts [38]. | Not suitable for direct contact with skin; Negative impact on the environment [38]. |
| Polyethylene terephthalate glycol | Ideal material for supportive structural parts [39]; great elasticity and impact behaviour [40]. | High cost of filament. Almost the double than that of PLA [40] |
| Nylon | Great bending strength and impact scratch resistance [38]. | High cost of filament and problems with printing [38]. |
| Thermoplastic Polyurethane | Desirable elasticity for padding and strapping [39]. | High cost and difficulty of the printing process [39]. |
| Polypropylene | Desirable elasticity for padding and strapping [39]. | Polypropylene is expensive and difficult to print with [39]. |
| Polyether ether ketone | High crystallinity over a large temperature range—great mechanical properties and biocompatibility [41]. | High melting temperature during printing can induce deformations [41]; problematic for use with conventional material extrusion 3D printers [42]. |
| ABS/ short glass fibre composite | Increased mechanical properties in comparison to pure ABS [43]. | Not suitable for direct contact with skin. Negative impact on the environment [36]. |
| Octree Depth | Solver Divide | Samples Per Node | Surface Offsetting |
|---|---|---|---|
| 6 | 6 | 1 | 1 |
| Inner Diameter [mm] | Outer Diameter [mm] | Width [mm] | Depth [mm] |
|---|---|---|---|
| 86 | 92 | 3 | 20 |
| Layer Height [mm] | Fill Angle [°] | Print Speed [mm/s] | Extrusion Temperature [°C] | Bed Temperature [°C] | Inner Infill Pattern | Outer Infill Pattern |
|---|---|---|---|---|---|---|
| 0.3 | 45 | 60 | 215 | 60 | Stars | Rectilinear |
| Step | 1st Step | 2nd Step | 3rd Step | 4th Step |
|---|---|---|---|---|
| Time [s] | 169 | 45 | 131 | 36 |
| Infill Density [%] | Test Sample Height [mm] | F [N] | [N] | σ [N] | ɛ [%] | σ [%] | |
|---|---|---|---|---|---|---|---|
| 20 | 36 | 886 | 906 | 34.064 | 0.64 | 0.64 | 0 |
| 886 | 0.64 | ||||||
| 945 | 0.64 | ||||||
| 40 | 36 | 857 | 896 | 62.426 | 0.63 | 0.66 | 0.044 |
| 968 | 0.71 | ||||||
| 863 | 0.64 | ||||||
| 60 | 36 | 967 | 914 | 46.576 | 0.78 | 0.75 | 0.112 |
| 881 | 0.63 | ||||||
| 893 | 0.85 | ||||||
| 20 | 46 | 768 | 751 | 14.933 | 0.94 | 0.81 | 0.118 |
| 745 | 0.78 | ||||||
| 740 | 0.71 | ||||||
| 40 | 46 | 804 | 801 | 26.160 | 0.94 | 1.10 | 0.343 |
| 773 | 0.86 | ||||||
| 825 | 1.49 | ||||||
| 60 | 46 | 877 | 842 | 33.247 | 1.11 | 1.02 | 0.085 |
| 811 | 1.02 | ||||||
| 837 | 0.94 | ||||||
| 20 | 56 | 695 | 684 | 14.933 | 2.43 | 2.39 | 0.317 |
| 682 | 2.05 | ||||||
| 674 | 2.68 | ||||||
| 40 | 56 | 662 | 668 | 26.160 | 1.60 | 1.83 | 0.398 |
| 687 | 2.29 | ||||||
| 655 | 1.60 | ||||||
| 60 | 56 | 617 | 610 | 33.247 | 1.30 | 1.38 | 0.302 |
| 604 | 1.71 | ||||||
| 610 | 1.12 |
| Factor | Df | Sum Sq | Mean Sq | F-Value | p-Value |
|---|---|---|---|---|---|
| Infill dens. | 2 | 412 | 206 | 0.191 | 0.82745 |
| T.S. height | 2 | 28,574 | 142,874 | 132.879 | 1.66 × 10−11 *** |
| Inf. dens. and T.S. height | 4 | 2137 | 5344 | 4.970 | 0.00707 ** |
| Residuals | 18 | 193,554 | 1075 |
| Compared Heights | Mean Value Diff. | Conf. Int. Lower Bound | Conf. Int. Upper Bound | p-Value |
|---|---|---|---|---|
| 46–36 | −107.3333 | −146.7837 | −67.88294 | 5 × 10−6 |
| 56–36 | −251.1111 | −290.5615 | −211.66072 | 0 |
| 56–46 | −143.7778 | −183.2282 | −104.32739 | 1 × 10−7 |
| Test Sample | Length of the Jagged Piece [mm] |
|---|---|
| 1 | 0.631 |
| 2 | 1.225 |
| 0.503 | |
| 3 | 0.513 |
| 4 | 0.800 |
| 0.700 | |
| 5 | 0.808 |
| 6 | 1.478 |
| 1.590 | |
| 7 | 0.825 |
| 0.908 | |
| 8 | 0.830 |
| 1.013 | |
| 9 | 1.713 |
| 1.954 | |
| 10 | 1.579 |
| 1.282 | |
| 11 | 1.456 |
| 2.689 | |
| 12 | 0.905 |
| 13 | 0.705 |
| 0.796 | |
| 14 | 0.369 |
| 0.415 | |
| 15 | 0.837 |
| 1.095 | |
| 0.988 | |
| 16 | 0.727 |
| 17 | 0.281 |
| 0.270 | |
| Average length [mm] | 0.996 |
| Median length [mm] | 0.834 |
| Maximum length [mm] | 2.689 |
| Minimum length [mm] | 0.270 |
Disclaimer/Publisher’s Note: The statements, opinions and data contained in all publications are solely those of the individual author(s) and contributor(s) and not of MDPI and/or the editor(s). MDPI and/or the editor(s) disclaim responsibility for any injury to people or property resulting from any ideas, methods, instructions or products referred to in the content. |
© 2024 by the authors. Licensee MDPI, Basel, Switzerland. This article is an open access article distributed under the terms and conditions of the Creative Commons Attribution (CC BY) license (https://creativecommons.org/licenses/by/4.0/).
Share and Cite
Majdak, M.; Bogović, S.; Somogyi Škoc, M.; Rezić Meštrović, I. Assessment of the Mechanical Properties and Fragment Characteristics of a 3D-Printed Forearm Orthosis. Polymers 2024, 16, 3349. https://doi.org/10.3390/polym16233349
Majdak M, Bogović S, Somogyi Škoc M, Rezić Meštrović I. Assessment of the Mechanical Properties and Fragment Characteristics of a 3D-Printed Forearm Orthosis. Polymers. 2024; 16(23):3349. https://doi.org/10.3390/polym16233349
Chicago/Turabian StyleMajdak, Mislav, Slavica Bogović, Maja Somogyi Škoc, and Iva Rezić Meštrović. 2024. "Assessment of the Mechanical Properties and Fragment Characteristics of a 3D-Printed Forearm Orthosis" Polymers 16, no. 23: 3349. https://doi.org/10.3390/polym16233349
APA StyleMajdak, M., Bogović, S., Somogyi Škoc, M., & Rezić Meštrović, I. (2024). Assessment of the Mechanical Properties and Fragment Characteristics of a 3D-Printed Forearm Orthosis. Polymers, 16(23), 3349. https://doi.org/10.3390/polym16233349

