Exploring Crystal Structure Features in Proton Exchange Membranes and Their Correlation with Proton and Heat Transport
Abstract
1. Introduction
2. Research Methods
2.1. Microstructure Characterization
2.2. Modeling and Validation of Crystal Structure
2.3. Semicrystalline and Amorphous Structures
2.4. Simulation Details
2.5. Thermal Performance Testing
3. Results and Discussion
3.1. Water Distribution
3.2. Proton-Conducting Properties
3.2.1. Influence Factors
3.2.2. Relationship Between Microstructure and Macroscopic Properties
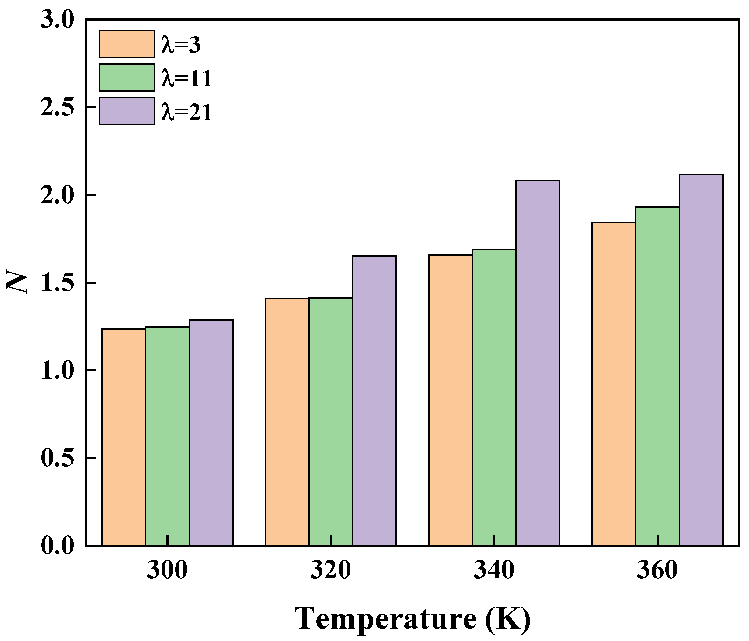
3.2.3. Proportionality Coefficient
3.3. Thermal Properties
3.3.1. Thermal Diffusion Coefficients
3.3.2. Specific Heat Capacity
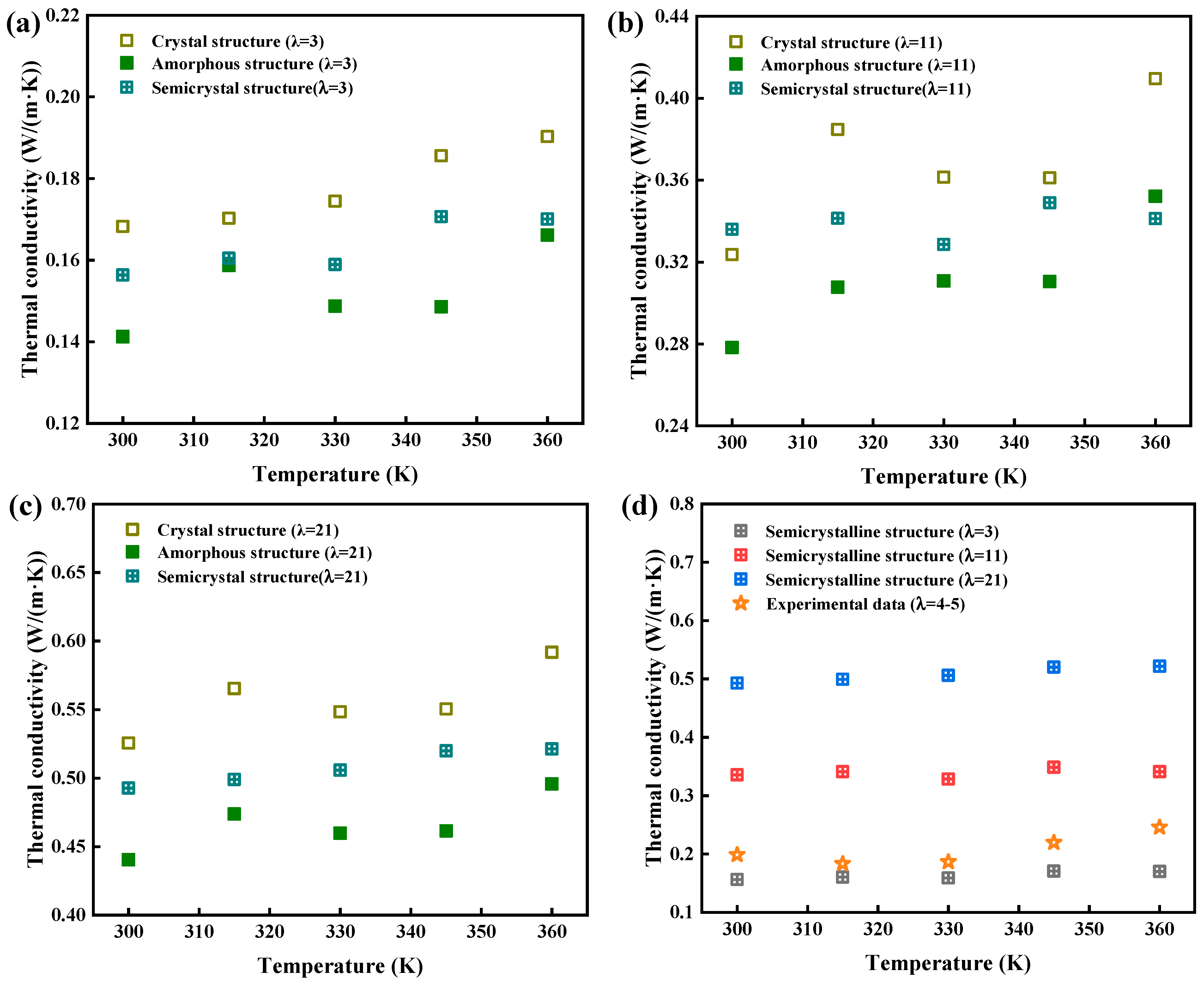
3.3.3. Thermal Conductivity
4. Conclusions
Supplementary Materials
Author Contributions
Funding
Institutional Review Board Statement
Data Availability Statement
Acknowledgments
Conflicts of Interest
References
- Haider, R.; Wen, Y.; Ma, Z.F.; Wilkinson, D.P.; Zhang, L.; Yuan, X.; Song, S.; Zhang, J. High temperature proton exchange membrane fuel cells: Progress in advanced materials and key technologies. Chem. Soc. Rev. 2021, 50, 1138–1187. [Google Scholar] [CrossRef] [PubMed]
- Fang, W.; Guo, W.; Lu, R.; Yan, Y.; Liu, X.; Wu, D.; Li, F.M.; Zhou, Y.; He, C.; Xia, C.; et al. Durable CO2 conversion in the proton-exchange membrane system. Nature 2024, 626, 86–91. [Google Scholar] [CrossRef] [PubMed]
- Jiao, K.; Xuan, J.; Du, Q.; Bao, Z.; Xie, B.; Wang, B.; Zhao, Y.; Fan, L.; Wang, H.; Hou, Z.; et al. Designing the next generation of proton-exchange membrane fuel cells. Nature 2021, 595, 361–369. [Google Scholar] [CrossRef] [PubMed]
- Suter, T.A.M.; Smith, K.; Hack, J.; Rasha, L.; Rana, Z.; Angel, G.M.A.; Shearing, P.R.; Miller, T.S.; Brett, D.J.L. Engineering catalyst layers for next-generation polymer electrolyte fuel cells: A review of design, materials, and methods. Adv. Energy Mater. 2021, 11, 2101025. [Google Scholar] [CrossRef]
- Liu, R.T.; Xu, Z.L.; Li, F.M.; Chen, F.Y.; Yu, J.Y.; Yan, Y.; Chen, Y.; Xia, B.Y. Recent advances in proton exchange membrane water electrolysis. Chem. Soc. Rev. 2023, 52, 5652–5683. [Google Scholar] [CrossRef]
- Zhang, G.; Qu, Z.; Tao, W.Q.; Mu, Y.; Jiao, K.; Xu, H.; Wang, Y. Advancing next-generation proton-exchange membrane fuel cell development in multi-physics transfer. Joule 2024, 8, 45–63. [Google Scholar] [CrossRef]
- Tan, H.; Zhao, S.; Ali, S.E.; Zheng, S.; Alanazi, A.K.; Wang, R.; Zhang, H.; Abo-Dief, H.M.; Xu, B.B.; Algadi, H.; et al. Perfluorosulfonic acid proton exchange membrane with double proton site side chain for high-performance fuel cells at low humidity. J. Mater. Sci. Technol. 2023, 166, 155–163. [Google Scholar] [CrossRef]
- Lim, D.W.; Kitagawa, H. Rational strategies for proton-conductive metal–organic frameworks. Chem. Soc. Rev. 2021, 50, 6349–6368. [Google Scholar] [CrossRef]
- Wei, Y.S.; Hu, X.P.; Han, Z.; Dong, X.Y.; Zang, S.Q.; Mak, T.C.W. Unique proton dynamics in an efficient MOF-based proton conductor. J. Am. Chem. Soc. 2017, 139, 3505–3512. [Google Scholar] [CrossRef]
- Mahalingam, A.; Pushparaj, H. Synthesis, characterization, and fabrication of nickel metal–organic framework-incorporated polymer electrolyte membranes for fuel-cell applications. ACS Appl. Mater. Interfaces 2024, 16, 31145–31157. [Google Scholar] [CrossRef]
- Sun, Y.; Wei, J.; Fu, Z.; Zhang, M.; Zhao, S.; Xu, G.; Li, C.; Zhang, J.; Zhou, T. Bio-inspired synthetic hydrogen-bonded organic frameworks for efficient proton conduction. Adv. Mater. 2023, 35, 2208625. [Google Scholar] [CrossRef] [PubMed]
- Zhao, F.; Cao, L.H.; Bai, X.T.; Chen, X.Y.; Yin, Z. Application of ionic hydrogen-bonded organic framework materials in hybrid proton exchange membranes. Cryst. Growth Des. 2023, 23, 1798–1804. [Google Scholar] [CrossRef]
- Wang, M.; Cai, J.; Lun, H.; Lv, M.; Zhang, J.; Andra, S.; Li, B.; Dang, D.; Bai, Y.; Li, Y. Design and analysis of POM-guanidine compounds: Achieving ultra-high single-crystal proton conduction. Adv. Funct. Mater. 2024, 34, 2311912. [Google Scholar] [CrossRef]
- Mensharapov, R.M.; Ivanova, N.A.; Spasov, D.D.; Grigoriev, S.A.; Fateev, V.N. SAXS investigation of the effect of freeze/thaw cycles on the nanostructure of Nafion® membranes. Polymers 2022, 14, 4395. [Google Scholar] [CrossRef]
- Ren, X.; Gobrogge, E.; Beyer, F.L. States of water in recast Nafion® films. J. Membr. Sci. 2021, 637, 119645. [Google Scholar] [CrossRef]
- da Silva, J.S.; Carvalho, S.G.; da Silva, R.P.; Tavares, A.C.; Schade, U.; Puskar, L.; Matos, B.R. SAXS signature of the lamellar ordering of ionic domains of perfluorinated sulfonic-acid ionomers by electric and magnetic field-assisted casting. Phys. Chem. Chem. Phys. 2020, 22, 13764–13779. [Google Scholar] [CrossRef]
- Mauritz, K.A.; Moore, R.B. State of understanding of Nafion. Chem. Rev. 2004, 104, 4535–4586. [Google Scholar] [CrossRef]
- Kim, H.; Lee, S.; Kim, S.; Oh, C.; Ryu, J.; Kim, J.; Park, E.; Hong, S.; No, K. Membrane crystallinity and fuel crossover in direct ethanol fuel cells with Nafion composite membranes containing phosphotungstic acid. J. Mater. Sci. 2017, 52, 2400–2412. [Google Scholar] [CrossRef]
- Park, Y.S.; Yamazaki, Y. Novel Nafion/Hydroxyapatite composite membrane with high crystallinity and low methanol crossover for DMFCs. Polym. Bull. 2005, 53, 181–192. [Google Scholar] [CrossRef]
- Tajima, N.; Nara, J.; Ozawa, T.; Nitta, H.; Ohata, K.; Ohno, T. Interface of hydrated perfluorosulfonic acid electrolyte with a platinum catalyst: Structural analyses with dissipative particle dynamics simulations. J. Electrochem. Soc. 2020, 167, 064513. [Google Scholar] [CrossRef]
- Malek, A.; Sadeghi, E.; Jankovic, J.; Eikerling, M.; Malek, K. Aquivion ionomer in mixed alcohol–water solution: Insights from multiscale molecular modeling. J. Phys. Chem. C 2020, 124, 3429–3438. [Google Scholar] [CrossRef]
- Cha, J. Morphological effect of side chain on H3O+ transfer inside polymer electrolyte membranes across polymeric chain via molecular dynamics simulation. Sci. Rep. 2020, 10, 22014. [Google Scholar] [CrossRef] [PubMed]
- Sengupta, S.; Lyulin, A. Dissipative particle dynamics modeling of polyelectrolyte membrane–water interfaces. Polymers 2020, 12, 907. [Google Scholar] [CrossRef]
- Johansson, E.O.; Yamada, T.; Sundén, B.; Yuan, J. Dissipative particle dynamics approach for nano-scale membrane structure reconstruction and water diffusion coefficient estimation. Int. J. Hydrogen Energy 2015, 40, 1800–1808. [Google Scholar] [CrossRef]
- Sen, U.; Ozdemir, M.; Erkartal, M.; Kaya, A.M.; Manda, A.A.; Oveisi, A.R.; Aboudzadeh, M.A.; Tokumasu, T. Mesoscale morphologies of Nafion-based blend membranes by dissipative particle dynamics. Processes 2021, 9, 984. [Google Scholar] [CrossRef]
- Bordín, S.P.F.; Andrada, H.E.; Carreras, A.C.; Castellano, G.E.; Oliveira, R.G.; Josa, V.M.G. Nafion membrane channel structure studied by small-angle X-ray scattering and Monte Carlo simulations. Polymer 2020, 155, 58–63. [Google Scholar] [CrossRef]
- Wang, Y.; Diaz, D.F.R.; Chen, K.S.; Wang, Z.; Adroher, X.C. Materials, technological status, and fundamentals of PEM fuel cells—A review. Mater. Today 2020, 32, 178–203. [Google Scholar] [CrossRef]
- Xu, J.; Zhang, C.; Wan, Z.; Chen, X.; Chan, S.H.; Tu, Z. Progress and perspectives of integrated thermal management systems in PEM fuel cell vehicles: A review. Renew. Sust. Energ. Rev. 2022, 155, 111908. [Google Scholar] [CrossRef]
- Wang, Q.; Tang, F.; Li, B.; Dai, H.; Zheng, J.P.; Zhang, C.; Ming, P. Study on the thermal transient of cathode catalyst layer in proton exchange membrane fuel cell under dynamic loading with a two-dimensional model. Chem. Eng. J. 2022, 433, 133667. [Google Scholar] [CrossRef]
- Zhang, G.; Qu, Z.; Wang, Y. Full-scale three-dimensional simulation of air-cooled proton exchange membrane fuel cell stack: Temperature spatial variation and comprehensive validation. Energy Convers. Manag. 2022, 270, 116211. [Google Scholar] [CrossRef]
- Chen, Q.; Zhang, G.; Zhang, X.; Sun, C.; Jiao, K.; Wang, Y. Thermal management of polymer electrolyte membrane fuel cells: A review of cooling methods, material properties, and durability. Appl. Energy 2021, 286, 116496. [Google Scholar] [CrossRef]
- Wang, W.; Qu, Z. Molecular dynamics simulation of the mechanical properties and thermal conductivity of aromatic electrolytes in proton exchange membrane fuel cells. J. Power Sources 2023, 585, 233622. [Google Scholar] [CrossRef]
- Zheng, J.; Feng, C.; Ming, P.; Zhang, C. Effect of microstructural damage on the thermomechanical properties of electrodes in proton exchange membrane fuel cells. ACS Appl. Mater. Interfaces 2022, 14, 2918–2929. [Google Scholar] [CrossRef]
- Khandelwal, M.; Mench, M.M. Direct measurement of through-plane thermal conductivity and contact resistance in fuel cell materials. J. Power Sources 2006, 161, 1106–1115. [Google Scholar] [CrossRef]
- Zheng, C. Proton mobility and thermal conductivities of fuel cell polymer membranes: Molecular dynamics simulation. Comp. Mater. Sci. 2017, 132, 55–61. [Google Scholar] [CrossRef]
- Burheim, O.; Vie, P.J.S.; Pharoah, J.G.; Kjelstrup, S. Ex situ measurements of through-plane thermal conductivities in a polymer electrolyte fuel cell. J. Power Sources 2010, 195, 249–256. [Google Scholar] [CrossRef]
- Germann, L.S.; Carlino, E.; Taurino, A.; Magdysyuk, O.V.; Voinovich, D.; Dinnebier, R.E.; Bučar, D.; Hasa, D. Modulating thermal properties of polymers through crystal engineering. Angew. Chem. Int. Edit. 2023, 62, e202212688. [Google Scholar] [CrossRef] [PubMed]
- Meirzadeh, E.; Evans, A.M.; Rezaee, M.; Milich, M.; Dionne, C.J.; Darlington, T.P.; Bao, S.T.; Bartholomew, A.K.; Handa, T.; Rizzo, D.J.; et al. A few-layer covalent network of fullerenes. Nature 2023, 613, 71–76. [Google Scholar] [CrossRef]
- Zhu, L.; Zhang, M.; Zhou, G.; Hao, T.; Xu, J.; Wang, J.; Qiu, C.; Prine, N.; Ali, J.; Feng, W.; et al. Efficient organic solar cell with 16.88% efficiency enabled by refined acceptor crystallization and morphology with improved charge transfer and transport properties. Adv. Energy Mater. 2020, 10, 1904234. [Google Scholar] [CrossRef]
- Park, Y.S.; Yamazaki, Y. Low water/methanol permeable Nafion/CHP organic–inorganic composite membrane with high crystallinity. Eur. Polym. J. 2006, 42, 375–387. [Google Scholar] [CrossRef]
- Mendil-Jakani, H.; Pouget, S.; Gebel, G.; Pintauro, P.N. Insight into the multiscale structure of pre-stretched recast Nafion® membranes: Focus on the crystallinity features. Polymer 2015, 63, 99–107. [Google Scholar] [CrossRef]
- Van Der Heijden, P.C.; Rubatat, L.; Diat, O. Orientation of drawn Nafion at molecular and mesoscopic scales. Macromolecules 2004, 37, 5327–5336. [Google Scholar] [CrossRef]
- Thompson, A.P.; Aktulga, H.M.; Berger, R.; Bolintineanu, D.S.; Brown, W.M.; Crozier, P.S.; Veld, P.J.I.; Kohlmeyer, A.; Moore, S.G.; Nguyen, T.D.; et al. LAMMPS-a flexible simulation tool for particle-based materials modeling at the atomic, meso, and continuum scales. Comput. Phys. Commun. 2022, 271, 108171. [Google Scholar] [CrossRef]
- Luo, C.; Guo, Q.; Feng, C.; Wang, Y.; Ming, P.; Zhang, C. Proton transport, electroosmotic drag and oxygen permeation in polytetrafluoroethylene reinforced ionomer membranes and their effects on fuel cell performance. J. Electrochem. Soc. 2024, 171, 034513. [Google Scholar] [CrossRef]
- Linke, M.; Köfinger, J.; Hummer, G. Rotational diffusion depends on box size in molecular dynamics simulations. J. Phys. Chem. Lett. 2018, 9, 2874–2878. [Google Scholar] [CrossRef]
- Yeh, I.-C.; Hummer, G. System-size dependence of diffusion coefficients and viscosities from molecular dynamics simulations with periodic boundary conditions. J. Phys. Chem. B 2004, 108, 15873–15879. [Google Scholar] [CrossRef]
- Dünweg, B.; Kremer, K. Molecular dynamics simulation of a polymer chain in solution. J. Chem. Phys. 1993, 99, 6983–6997. [Google Scholar] [CrossRef]
- Vögele, M.; Köfinger, J.; Hummer, G. Hydrodynamics of diffusion in lipid membrane simulations. Phys. Rev. Lett. 2018, 120, 268104. [Google Scholar] [CrossRef]
- Springer, T.E.; Zawodzinski, T.A.; Gottesfeld, S. Polymer electrolyte fuel cell model. J. Electrochem. Soc. 1991, 138, 2334–2342. [Google Scholar] [CrossRef]
- Li, Z.; Tang, Y.H.; Lei, H.; Caswell, B.; Karniadakis, G.E. Energy-conserving dissipative particle dynamics with temperature-dependent properties. J. Comput. Phys. 2014, 265, 113–127. [Google Scholar] [CrossRef]








Disclaimer/Publisher’s Note: The statements, opinions and data contained in all publications are solely those of the individual author(s) and contributor(s) and not of MDPI and/or the editor(s). MDPI and/or the editor(s) disclaim responsibility for any injury to people or property resulting from any ideas, methods, instructions or products referred to in the content. |
© 2024 by the authors. Licensee MDPI, Basel, Switzerland. This article is an open access article distributed under the terms and conditions of the Creative Commons Attribution (CC BY) license (https://creativecommons.org/licenses/by/4.0/).
Share and Cite
Feng, C.; Luo, C.; Ming, P.; Zhang, C. Exploring Crystal Structure Features in Proton Exchange Membranes and Their Correlation with Proton and Heat Transport. Polymers 2024, 16, 3250. https://doi.org/10.3390/polym16233250
Feng C, Luo C, Ming P, Zhang C. Exploring Crystal Structure Features in Proton Exchange Membranes and Their Correlation with Proton and Heat Transport. Polymers. 2024; 16(23):3250. https://doi.org/10.3390/polym16233250
Chicago/Turabian StyleFeng, Cong, Cong Luo, Pingwen Ming, and Cunman Zhang. 2024. "Exploring Crystal Structure Features in Proton Exchange Membranes and Their Correlation with Proton and Heat Transport" Polymers 16, no. 23: 3250. https://doi.org/10.3390/polym16233250
APA StyleFeng, C., Luo, C., Ming, P., & Zhang, C. (2024). Exploring Crystal Structure Features in Proton Exchange Membranes and Their Correlation with Proton and Heat Transport. Polymers, 16(23), 3250. https://doi.org/10.3390/polym16233250

