Development and Characterization of 3D-Printed PLA/Exfoliated Graphite Composites for Enhanced Electrochemical Performance in Energy Storage Applications
Abstract
1. Introduction
2. Materials and Methods
2.1. Graphite Exfoliation
2.2. Preparation and Production of PLA/EG Composite Filament via 3D Printing
2.3. Characterization Techniques
3. Results and Discussion
3.1. Structural Characterization
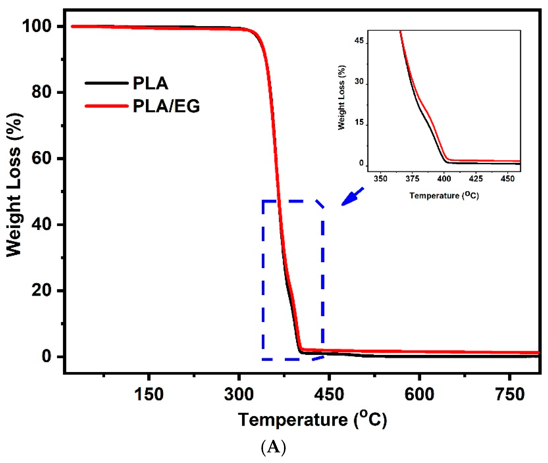
3.2. Thermal Analysis
3.3. Electrochemical Performance
4. Conclusions
Author Contributions
Funding
Institutional Review Board Statement
Informed Consent Statement
Data Availability Statement
Acknowledgments
Conflicts of Interest
References
- Jalila, A.; Zhang, R.; Rahamati, R.; Nofar, M.; Sain, M.; Park, C.B.B. Recent Progress and Perspective in Addition Manufacturing of EMI Shielding Functional Polymer Nanocomposites. Nano Res. 2023, 16, 1–17. [Google Scholar] [CrossRef]
- Moyseowicz, A.; Gryglewicz, G. High-Performance Hybrid Capacitor Based on a Porous Polypyrrole/Reduced Graphene Oxide Composite and a Redox-Active Electrolyte. Electrochim. Acta 2020, 354, 136661. [Google Scholar] [CrossRef]
- Nascimento, M.C.; Silva, E.C.; Costa, J.C.M.; Pereira, B.L.; Passos, R.R.; Pocrifka, L.A. Sodium Sulfate Influence on the Electrodeposition of MnO2 Films for Application in Supercapacitors. J. Solid State Electrochem. 2020, 24, 2543–2553. [Google Scholar] [CrossRef]
- Ligon, S.C.; Liska, R.; Stampfl, J.; Gurr, M.; Mülhaupt, R. Polymers for 3D Printing and Customized Additive Manufacturing. Chem. Rev. 2017, 117, 10212–10290. [Google Scholar] [CrossRef] [PubMed]
- Islam, M.A.; Mobarak, M.H.; Rimon, M.I.H.; Al Mahmud, M.Z.; Ghosh, J.; Ahmed, M.M.S.; Hossain, N. Additive Manufacturing in Polymer Research: Advances, Synthesis, and Applications. Polym. Test. 2024, 132, 108364. [Google Scholar] [CrossRef]
- Gonçalves, D.A.; Estadulho, G.L.D.; Guima, K.; Martins, A. Multi-Electrode Platform for Selective Electrochemical Sensing: 3D-Printed Insulating Plastic is Turned Into a Five-Electrodes Chip. Talanta 2022, 250, 123705. [Google Scholar] [CrossRef]
- Ilyas, R.A.; Sapuan, S.M.; Harussani, M.M.; Hakimi, M.Y.A.Y.; Haziq, M.Z.M.; Atikah, M.S.N.; Asyraf, M.R.M.; Ishak, M.R.; Razman, M.R.; Nurazzi, N.M.; et al. Polylactic Acid (Pla) Biocomposite: Processing, Additive Manufacturing and Advanced Applications. Polymers 2021, 13, 1326. [Google Scholar] [CrossRef]
- Cardoso, R.M.; Silva, P.R.L.; Lima, A.P.; Rocha, D.P.; Oliveira, T.C.; do Prado, T.M.; Fava, E.L.; Fatibello-Filho, O.; Richter, E.M.; Muñoz, R.A.A. 3D-Printed Graphene/Polylactic Acid Electrode for Bioanalysis: Biosensing of Glucose and Simultaneous Determination of Uric Acid and Nitrite in Biological Fluids. Sens. Actuators B Chem. 2020, 307, 127621. [Google Scholar] [CrossRef]
- Vaněčková, E.; Bouša, M.; Nováková Lachmanová, Š.; Rathouský, J.; Gál, M.; Sebechlebská, T.; Kolivoška, V. 3D Printed Polylactic Acid/Carbon Black Electrodes with Nearly Ideal Electrochemical Behaviour. J. Electroanal. Chem. 2020, 857, 113745. [Google Scholar] [CrossRef]
- Guo, R.; Ren, Z.; Jia, X.; Bi, H.; Yang, H.; Ji, T.; Xu, M.; Cai, L. Preparation and Characterization of 3D Printed PLA-Based Conductive Composites Using Carbonaceous Fillers by Masterbatch Melting Method. Polymers 2019, 11, 1589. [Google Scholar] [CrossRef]
- Gonçalves, C.; Gonçalves, I.C.; Magalhães, F.D.; Pinto, A.M. Poly(Lactic Acid) Composites Containing Carbon-Based Nanomaterials: A Review. Polymers 2017, 9, 269. [Google Scholar] [CrossRef] [PubMed]
- Zhang, G.; Liu, X.; Wang, L.; Fu, H. Recent Advances of Biomass Derived Carbon-Based Materials for Efficient Electrochemical Energy Devices. J. Mater. Chem. A 2022, 10, 9277–9307. [Google Scholar] [CrossRef]
- Jellett, C.; Ghosh, K.; Browne, M.P.; Urbanová, V.; Pumera, M. Flexible Graphite-Poly(Lactic Acid) Composite Films as Large-Area Conductive Electrodes for Energy Applications. ACS Appl. Energy Mater. 2021, 4, 6975–6981. [Google Scholar] [CrossRef]
- González-López, M.A.; González-López, J.A.; Reyes-Morales, Q.L.; Pereyra, I.; Mayen, J. Modifying the Manufacturing Process of High-Graphite Content Polylactic Acid Filament for Advanced Energy and Sensing Applications in 3D Printing. Polymer 2024, 292, 126661. [Google Scholar] [CrossRef]
- Norazlina, H.; Kamal, Y. Graphene Modifications in Polylactic Acid Nanocomposites: A Review. Polym. Bull. 2015, 72, 931–961. [Google Scholar] [CrossRef]
- Kim, I.H.; Jeong, Y.G. Polylactide/Exfoliated Graphite Nanocomposites with Enhanced Thermal Stability, Mechanical Modulus, and Electrical Conductivity. J. Polym. Sci. Part B Polym. Phys. 2010, 48, 850–858. [Google Scholar] [CrossRef]
- Lei, L.; Qiu, J.; Sakai, E. Preparing Conductive Poly(Lactic Acid) (PLA) with Poly(Methyl Methacrylate) (PMMA) Functionalized Graphene (PFG) by Admicellar Polymerization. Chem. Eng. J. 2012, 209, 20–27. [Google Scholar] [CrossRef]
- Piñón-Vázquez, A.K.; Magdalena Vega Díaz, S.; Meneses-Rodríguez, D.; Alcaraz-Caracheo, L.A.; Tristan, F. Self-Standing Tridimensional Structures from Crumpling Techniques Made with Composite Films of Polylactic Acid and Exfoliated Graphite. Mater. Des. 2023, 232, 112102. [Google Scholar] [CrossRef]
- Faria, L.V.; Nascimento, S.F.L.; Villafuerte, L.M.; Semaan, F.S.; Pacheco, W.F.; Dornellas, R.M. 3D Printed Graphite-based Electrode Coupled with Batch Injection Analysis: An Affordable High-throughput Strategy for Atorvastatin Determination. Talanta 2023, 265, 124873. [Google Scholar] [CrossRef]
- Cardoso, R.M.; Rocha, D.P.; Rocha, R.G.; Stefano, J.S.; Silva, R.A.B.; Richter, E.M.; Muñoz, R.A.A. 3D-printing pen versus 3d-printers: Fabrication of carbon black/polyactic acid electrodes for single-drop detection of 2,4,6-trinitrotolune. Anal. Chim. Acta 2020, 1132, 10–19. [Google Scholar] [CrossRef]
- Chakraborty, G.; Valapa, R.B.; Pugazhenthi, G.; Katiyar, V. Investigating the Properties of Poly (Lactic Acid)/Exfoliated Graphene Based Nanocomposites Fabricated by Versatile Coating Approach. Int. J. Biol. Macromol. 2018, 113, 1080–1091. [Google Scholar] [CrossRef] [PubMed]
- Mohammadi Zerankeshi, M.; Sayedain, S.S.; Tavangarifard, M.; Alizadeh, R. Developing a Novel Technique for the Fabrication of PLA-Graphite Composite Filaments Using FDM 3D Printing Process. Ceram. Int. 2022, 48, 31850–31858. [Google Scholar] [CrossRef]
- Jalali, A.; Kheradmandkeysomi, M.; Buahom, P.; Gupta, T.; Habibpour, S.; Yu, M.; Sain, M.; Park, C.B. Engineering lightweight Poly(lactic acid) graphene nanoribbon nanocomposites for sustainable and stretchable electronics: Achieving exceptional electrical conductivity and electromagnetic interference shielding with enhanced thermal conductivity. Carbon 2024, 226, 119196. [Google Scholar] [CrossRef]
- Qader, I.N.; Pekdemir, M.E.; Coşkun, M.; Kanca, M.S.; Kök, M.; Dağdelen, F. Biocompatible PLA/PCL Blends Nanocomposites Doped with Nanographite: Physico-Chemical, and Thermal Behaviour. J. Polym. Res. 2022, 29, 264. [Google Scholar] [CrossRef]
- Vazquez-Vazquez, F.C.; Chanes-Cuevas, O.A.; Masuoka, D.; Alatorre, J.A.; Chavarria-Bolaños, D.; Vega-Baudrit, J.R.; Serrano-Bello, J.; Alvarez-Perez, M.A. Biocompatibility of Developing 3D-Printed Tubular Scaffold Coated with Nanofibers for Bone Applications. J. Nanomater. 2019, 2019, 6105818. [Google Scholar] [CrossRef]
- Przekop, R.E.; Kujawa, M.; Pawlak, W.; Dobrosielska, M.; Sztorch, B.; Wieleba, W. Graphite Modified Polylactide (PLA) for 3D Printed (FDM/FFF) Sliding Elements. Polymers 2020, 12, 1250. [Google Scholar] [CrossRef]
- Abdullah, A.H.D.; Fikriyyah, A.K.; Putri, O.D.; Puspa Asri, P.P. Fabrication and Characterization of Poly Lactic Acid (PLA)-Starch Based Bioplastic Composites. In IOP Conference Series: Materials Science and Engineering; IOP Publishing: Bristol, UK, 2019; Volume 01252, p. 553. [Google Scholar]
- Guo, J.; Tsou, C.H.; Yu, Y.; Wu, C.S.; Zhang, X.; Chen, Z.; Yang, T.; Ge, F.; Liu, P.; Guzman, M.R. De Conductivity and Mechanical Properties of Carbon Black-Reinforced Poly(Lactic Acid) (PLA/CB) Composites. Iran. Polym. J. 2021, 30, 1251–1262. [Google Scholar] [CrossRef]
- Jalali, A.; Huneault, M.A.; Elkoun, S. Effect of Thermal History on Nucleation and Crystallization of Poly(lactic acid). J. Mater. Sci. 2016, 51, 7768–7779. [Google Scholar] [CrossRef]
- Da Silva, T.F.; Menezes, F.; Montagna, L.S.; Lemes, A.P.; Passador, F.R. Synergistic Effect of Adding Lignin and Carbon Black in Poly(Lactic Acid). Polimeros 2020, 30, e2020002. [Google Scholar] [CrossRef]
- Pei, L.; Zhang, X.; Zhang, L.; Zhang, Y.; Xu, Y. Solvent Influence on the Morphology and Supercapacitor Performance of the Nickel Oxide. Mater. Lett. 2016, 162, 238–241. [Google Scholar] [CrossRef]
- Mondal, M.; Das, B.; Howli, P.; Das, N.S.; Chattopadhyay, K.K. Porosity-Tuned NiO Nanoflakes: Effect of Calcination Temperature for High Performing Supercapacitor Application. J. Electroanal. Chem. 2018, 813, 116–126. [Google Scholar] [CrossRef]
- Silva, E.C.; Da Costa, J.C.M.; Nascimento, M.C.; Pereira, B.L.; Passos, R.R.; Pocrifka, L.A. Influence of Temperature on the Preparation of CoFe2O4 by the Sol-Gel Method and its Application in Electrochemical Energy Storage. J. Solid State Electrochem. 2020, 24, 1961–1968. [Google Scholar] [CrossRef]
- Araújo, A.J.M.; Silva, V.D.; Sousa, A.R.O.; Grilo, J.P.F.; Simões, T.A.; Macedo, D.A.; Nascimento, R.M.; Paskocimas, C.A. Battery-like Behavior of Ni-ceria based systems: Synthesis, Surface Defects and Electrochemical Assessment. Ceram. Int. 2019, 45, 6–7157. [Google Scholar] [CrossRef]
- Zhang, X.; Zeng, X.; Yang, M.; Qi, Y. Investigation of a Branchlike MoO3/Polypyrrole Hybrid with Enhanced Electrochemical Performance Used as an Electrode in Supercapacitors. ACS Appl. Mater. Interfaces 2014, 6, 1125–1130. [Google Scholar] [CrossRef] [PubMed]
- Yavarinasab, A.; Janfaza, S.; Tasnim, N.; Tahmooressi, H.; Dalili, A.; Hoorfar, M. Graphene/Poly (Methyl Methacrylate) Electrochemical Impedance-Transduced Chemiresistor for Detection of Volatile Organic Compounds in Aqueous Medium. Anal. Chim. Acta 2020, 1109, 27–36. [Google Scholar] [CrossRef]
- Pell, W.G.; Conway, B.E. Quantitative Modeling of Factors Determining Ragone Plots for Batteries and Electrochemical Capacitors. J. Power Sources 1996, 63, 255–266. [Google Scholar] [CrossRef]
- Pocrifka, L.A.; Ferreira, C.S.; Aguilera, L.; Pereira, E.C. Ion Transport and Capacitive Properties of RuO2-SnO2 Binary Films. J. Alloys Compd. 2018, 750, 537–542. [Google Scholar] [CrossRef]
- Taberna, P.L.; Simon, P.; Fauvarque, J.F. Electrochemical Characteristics and Impedance Spectroscopy Studies of Carbon-Carbon Supercapacitors. J. Electrochem. Soc. 2003, 150, A292. [Google Scholar] [CrossRef]
- Costa, J.C.M.; Nascimento, M.C.; Silva, E.C.; Pereira, B.L.; Passos, R.R.; Pocrifka, L.A. Galvanostatic synthesis of MnO2 in Carbon Cloth: An Electrochemical Impedance Spectroscopy Study. J. Solid State Electrochem. 2020, 24, 1727–1733. [Google Scholar] [CrossRef]
- Cavalieri, F.; Padella, F.; Bourbonneux, S. High-Energy Mechanical Alloying of Thermoplastic Polymers in Carbon Dioxide. Polymer 2002, 43, 1155–1161. [Google Scholar] [CrossRef]
- Verticcio, L.; Gorrasi, G.; Sorrentino, A.; Viitoria, V. Nano Clay Reinforced PLC/Starch Blends Obtained by Energy Ball Milling. Carbohydr. Polym. 2009, 75, 172–179. [Google Scholar] [CrossRef]
- Rocha, R.R.; Faria, L.V.; Silva, V.F.; Muñoz, R.R.A.A.; Richter, E.M. Carbon Black Integrated Polylactic Acid Electrodes Obtained by Fused Deposition Modeling: A Powerful Tool for Sensing of Sulfanilamide Residues in Honey Samples. J. Agric. Food Chem. 2023, 71, 3060–3067. [Google Scholar] [CrossRef] [PubMed]
- João, A.F.; Faria, L.V.; Ramos, D.L.O.; Rocha, R.R.; Richter, E.M.; Muñoz, R.R.A.A. 3D-Printed Carbon Black/Polylactic Acid Electrochemical Sensor Combined with Batch Injection Analysis: A Cost-Effective and Portable Tool for Naproxen Sensing. Microchem. J. 2022, 180, 107565. [Google Scholar] [CrossRef]









| Papers Using 3D Printing | Percentage of Filler in the Composite | Methods for Obtaining Material | Applications | Electrochemical Behavior | References |
|---|---|---|---|---|---|
| PLA/Carbon Black | 5% | Chemical homogenization | Electrochemical sensor | CV | Cardoso et al. [20] |
| PLA/Carbon Black | 5% | Chemical homogenization | Electrochemical sensor | CV | Rocha et al. [43] |
| PLA/Carbon Black | 5% | Chemical homogenization | Electrochemical sensor | CV | João et al. [44] |
| PLA/Graphite | 40% | Chemical homogenization | Electrochemical sensor | CV and EIS | Faria et al. [19] |
| PLA/Graphite | 30% | Chemical homogenization | Electrode and electrochemical sensor | CV | González-Lopez et al. [14] |
| PLA/Exfoliated Graphite | 5% | Physical mixture | Electrode for electrochemical devices | CV and EIS | This work |
Disclaimer/Publisher’s Note: The statements, opinions and data contained in all publications are solely those of the individual author(s) and contributor(s) and not of MDPI and/or the editor(s). MDPI and/or the editor(s) disclaim responsibility for any injury to people or property resulting from any ideas, methods, instructions or products referred to in the content. |
© 2024 by the authors. Licensee MDPI, Basel, Switzerland. This article is an open access article distributed under the terms and conditions of the Creative Commons Attribution (CC BY) license (https://creativecommons.org/licenses/by/4.0/).
Share and Cite
dos Santos, A.L.; de Souza, F.C.R.; Martins da Costa, J.C.; Gonçalves, D.A.; Passos, R.R.; Pocrifka, L.A. Development and Characterization of 3D-Printed PLA/Exfoliated Graphite Composites for Enhanced Electrochemical Performance in Energy Storage Applications. Polymers 2024, 16, 3131. https://doi.org/10.3390/polym16223131
dos Santos AL, de Souza FCR, Martins da Costa JC, Gonçalves DA, Passos RR, Pocrifka LA. Development and Characterization of 3D-Printed PLA/Exfoliated Graphite Composites for Enhanced Electrochemical Performance in Energy Storage Applications. Polymers. 2024; 16(22):3131. https://doi.org/10.3390/polym16223131
Chicago/Turabian Styledos Santos, Ananias Lima, Francisco Cezar Ramos de Souza, João Carlos Martins da Costa, Daniel Araújo Gonçalves, Raimundo Ribeiro Passos, and Leandro Aparecido Pocrifka. 2024. "Development and Characterization of 3D-Printed PLA/Exfoliated Graphite Composites for Enhanced Electrochemical Performance in Energy Storage Applications" Polymers 16, no. 22: 3131. https://doi.org/10.3390/polym16223131
APA Styledos Santos, A. L., de Souza, F. C. R., Martins da Costa, J. C., Gonçalves, D. A., Passos, R. R., & Pocrifka, L. A. (2024). Development and Characterization of 3D-Printed PLA/Exfoliated Graphite Composites for Enhanced Electrochemical Performance in Energy Storage Applications. Polymers, 16(22), 3131. https://doi.org/10.3390/polym16223131

