High-Strength, Self-Healing Copolymers of Acrylamide and Acrylic Acid with Co(II), Ni(II), and Cu(II) Complexes of 4′-Phenyl-2,2′:6′,2″-terpyridine: Preparation, Structure, Properties, and Autonomous and pH-Triggered Healing
Abstract
1. Introduction
2. Materials and Methods
2.1. Starting Materials
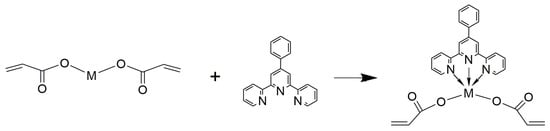
2.2. Synthesis of Cobalt Acrylate
2.3. Synthesis of Polymers and Film Formation
2.4. Analytical Methods
2.4.1. Analysis of Structure and Thermal Properties
2.4.2. Physical and Mechanical Tests and Assessment of Self-Healing Efficiency
3. Results and Discussion
3.1. Structure, Composition, and Thermal Properties of Copolymers
3.1.1. Elemental Analysis and Gel Permeation Chromatography
3.1.2. IR- and UV-Vis-Spectrometry
3.1.3. X-Ray Studies
3.1.4. Thermal Properties of Polymers
3.2. Self-Healing Properties of Metallopolymers
3.2.1. Autonomous Intrinsic Self-Healing
3.2.2. Mechanical Properties and pH-Triggered Healing Efficiency
4. Conclusions
Supplementary Materials
Author Contributions
Funding
Institutional Review Board Statement
Data Availability Statement
Acknowledgments
Conflicts of Interest
References
- Hager, M.D.; Greil, P.; Leyens, C.; Van Der Zwaag, S.; Schubert, U.S. Self-Healing Materials. Adv. Mater. 2010, 22, 5424–5430. [Google Scholar] [CrossRef] [PubMed]
- Greil, P. Self-Healing Engineering Ceramics with Oxidation-Induced Crack Repair. Adv. Eng. Mater. 2020, 22, 1901121. [Google Scholar] [CrossRef]
- Ferguson, J.B.; Schultz, B.F.; Rohatgi, P.K. Self-Healing Metals and Metal Matrix Composites. JOM 2014, 66, 866–871. [Google Scholar] [CrossRef]
- Vijay, K.; Murmu, M.; Deo, S.V. Bacteria Based Self Healing Concrete—A Review. Constr. Build. Mater. 2017, 152, 1008–1014. [Google Scholar] [CrossRef]
- Irzhak, V.I.; Uflyand, I.E.; Dzhardimalieva, G.I. Self-Healing of Polymers and Polymer Composites. Polymers 2022, 14, 5404. [Google Scholar] [CrossRef]
- Teepakakorn, A.; Ogawa, M. Self-Healing Polymer–Clay Hybrids by Facile Complexation of a Waterborne Polymer with a Clay. Mater. Adv. 2021, 2, 3770–3776. [Google Scholar] [CrossRef]
- Shinya, N.; Kyono, J.; Laha, K. Self-Healing Effect of Boron Nitride Precipitation on Creep Cavitation in Austenitic Stainless Steel. J. Intel. Mat. Syst. Str. 2006, 17, 1127–1133. [Google Scholar] [CrossRef]
- Tavangarian, F.; Li, G. Crack Healing and Strength Recovery in SiC/Spinel Nanocomposite. Ceram. Int. 2015, 41, 8702–8709. [Google Scholar] [CrossRef]
- Herbst, F.; Seiffert, S.; Binder, W.H. Dynamic Supramolecular Poly(Isobutylene)s for Self-Healing Materials. Polym. Chem. 2012, 3, 3084. [Google Scholar] [CrossRef]
- Burattini, S.; Greenland, B.W.; Merino, D.H.; Weng, W.; Seppala, J.; Colquhoun, H.M.; Hayes, W.; Mackay, M.E.; Hamley, I.W.; Rowan, S.J. A Healable Supramolecular Polymer Blend Based on Aromatic π−π Stacking and Hydrogen-Bonding Interactions. J. Am. Chem. Soc. 2010, 132, 12051–12058. [Google Scholar] [CrossRef]
- Lai, J.-C.; Jia, X.-Y.; Wang, D.-P.; Deng, Y.-B.; Zheng, P.; Li, C.-H.; Zuo, J.-L.; Bao, Z. Thermodynamically Stable Whilst Kinetically Labile Coordination Bonds Lead to Strong and Tough Self-Healing Polymers. Nat. Commun. 2019, 10, 1164. [Google Scholar] [CrossRef] [PubMed]
- Nik Md Noordin Kahar, N.N.F.; Osman, A.F.; Alosime, E.; Arsat, N.; Mohammad Azman, N.A.; Syamsir, A.; Itam, Z.; Abdul Hamid, Z.A. The Versatility of Polymeric Materials as Self-Healing Agents for Various Types of Applications: A Review. Polymers 2021, 13, 1194. [Google Scholar] [CrossRef] [PubMed]
- Urban, M.W.; Davydovich, D.; Yang, Y.; Demir, T.; Zhang, Y.; Casabianca, L. Key-and-Lock Commodity Self-Healing Copolymers. Science 2018, 362, 220–225. [Google Scholar] [CrossRef] [PubMed]
- Malinskii, Y.M.; Prokopenko, V.V.; Ivanova, N.A.; Kargin, V.A. Investigation of Self-Healing of Cracks in Polymers: I. Effect of Temperature and Crosslinks on Self-Healing of Cracks in Polyvinyl Acetate. Polym. Mech. 1973, 6, 240–244. [Google Scholar] [CrossRef]
- Lawrance, G.A. Introduction to Coordination Chemistry, 1st ed.; Wiley: Hoboken, NJ, USA, 2010; ISBN 978-0-470-51930-1. [Google Scholar]
- Zechel, S.; Hager, M.D.; Schubert, U.S. Self-Healing Polymers: From Biological Systems to Highly Functional Polymers. In Functional Polymers; Jafar Mazumder, M.A., Sheardown, H., Al-Ahmed, A., Eds.; Polymers and Polymeric Composites: A Reference Series; Springer International Publishing: Cham, Switzerland, 2019; pp. 665–717. ISBN 978-3-319-95986-3. [Google Scholar]
- Holten-Andersen, N.; Harrington, M.J.; Birkedal, H.; Lee, B.P.; Messersmith, P.B.; Lee, K.Y.C.; Waite, J.H. pH-Induced Metal-Ligand Cross-Links Inspired by Mussel Yield Self-Healing Polymer Networks with near-Covalent Elastic Moduli. Proc. Natl. Acad. Sci. USA 2011, 108, 2651–2655. [Google Scholar] [CrossRef]
- Li, C.; Zuo, J. Self-Healing Polymers Based on Coordination Bonds. Adv. Mater. 2020, 32, 1903762. [Google Scholar] [CrossRef]
- Lai, J.-C.; Li, L.; Wang, D.-P.; Zhang, M.-H.; Mo, S.-R.; Wang, X.; Zeng, K.-Y.; Li, C.-H.; Jiang, Q.; You, X.-Z.; et al. A Rigid and Healable Polymer Cross-Linked by Weak but Abundant Zn(II)-Carboxylate Interactions. Nat. Commun. 2018, 9, 2725. [Google Scholar] [CrossRef]
- Jeong, Y.K.; Choi, J.W. Mussel-Inspired Self-Healing Metallopolymers for Silicon Nanoparticle Anodes. ACS Nano 2019, 13, 8364–8373. [Google Scholar] [CrossRef]
- Liu, L.; Liang, S.; Huang, Y.; Hu, C.; Yang, J. A Stretchable Polysiloxane Elastomer with Self-Healing Capacity at Room Temperature and Solvatochromic Properties. Chem. Commun. 2017, 53, 12088–12091. [Google Scholar] [CrossRef]
- Xu, X.; Jerca, V.V.; Hoogenboom, R. Self-Healing Metallo-Supramolecular Hydrogel Based on Specific Ni2+ Coordination Interactions of Poly(Ethylene Glycol) with Bistriazole Pyridine Ligands in the Main Chain. Macromol. Rapid Commun. 2020, 41, 1900457. [Google Scholar] [CrossRef]
- Ma, Z.; Zhao, L.; Xie, C.; Wang, X.; He, Z.; Chen, X. Synthesis and Characterization of Multiple Stimuli-Responsive Fluorescent Polymer Hydrogels Based on Terpyridine and N-Isopropylacrylamide. Polymers 2024, 16, 1519. [Google Scholar] [CrossRef] [PubMed]
- Yue, C.; Zhao, D.; Yang, J.; Li, H. Self-Healing Luminescent Polyurethane with Ultrahigh Toughness Resulting from Lanthanide-Bipyridine Segment and Hydrogen Bonds. Prog. Org. Coat. 2024, 186, 107981. [Google Scholar] [CrossRef]
- Wang, H.; Chen, Y.; Huang, Y.; Tian, X.; Wang, J.; Li, C.; Zhong, K.; Jia, P. A Conductive and Self-Healing Polyurethane Based on Coordination Interactions with Wide-Adjustable Mechanical Properties for Flexible Sensors. Eur. Polym. J. 2024, 208, 112846. [Google Scholar] [CrossRef]
- Götz, S.; Abend, M.; Zechel, S.; Hager, M.D.; Schubert, U.S. Platinum-terpyridine Complexes in Polymers: A Novel Approach for the Synthesis of Self-healing Metallopolymers. J. Appl. Polym. Sci. 2019, 136, 47064. [Google Scholar] [CrossRef]
- Zhao, D.; Yue, C.; Li, Q.; Guo, L.; Yang, J.; Li, H. Self-Healing Luminescent Elastomers with Ultrahigh Mechanical Strength, Superior Toughness, and Stimuli-Responsive Luminescence. ACS Appl. Polym. Mater. 2023, 5, 9375–9384. [Google Scholar] [CrossRef]
- Peng, B.; Li, H.; Li, Y.; Lv, Z.; Wu, M.; Zhao, C. A Photoresponsive Azopyridine-Based Supramolecular Elastomer for Self-Healing Strain Sensors. Chem. Eng. J. 2020, 395, 125079. [Google Scholar] [CrossRef]
- An, S.; Zhang, X.; Si, M.; Shi, H.; Wei, P.; Shen, J.; Lu, W.; Chen, T. Self-Healing, Tough, Red-to-near-Infrared (NIR) Luminescent Organohydrogels Derived from Supramolecular Assemblies of Common Aggregation-Induced Emissive Luminogens. Chem. Eng. J. 2023, 463, 142307. [Google Scholar] [CrossRef]
- Handique, J.; Gogoi, J.; Dolui, S.K. Development of Self-healing Star Metallopolymers by Metal–Ligand Crosslinking. J. Appl. Polym. Sci. 2020, 137, 48527. [Google Scholar] [CrossRef]
- Baimuratova, R.K.; Dzhardimalieva, G.I.; Vaganov, E.V.; Lesnichaya, V.A.; Kugabaeva, G.D.; Kydralieva, K.A.; Zhinzhilo, V.A.; Uflyand, I.E. Novel Self-Healing Metallocopolymers with Pendent 4-Phenyl-2,2′:6′,2″-Terpyridine Ligand: Kinetic Studies and Mechanical Properties. Polymers 2021, 13, 1760. [Google Scholar] [CrossRef]
- Sorin, E.S.; Baimuratova, R.K.; Uflyand, I.E.; Perepelitsina, E.O.; Anokhin, D.V.; Ivanov, D.A.; Dzhardimalieva, G.I. New Self-Healing Metallosupramolecular Copolymers with a Complex of Cobalt Acrylate and 4′-Phenyl-2,2′:6′,2″-Terpyridine. Polymers 2023, 15, 1472. [Google Scholar] [CrossRef]
- Wu, J.; Cai, L.; Weitz, D.A. Self-Healing Materials: Tough Self-Healing Elastomers by Molecular Enforced Integration of Covalent and Reversible Networks. Adv. Mater. 2017, 29, 1702616. [Google Scholar] [CrossRef] [PubMed]
- Ding, H.; Liang, X.; Zhang, X.N.; Wu, Z.L.; Li, Z.; Sun, G. Tough Supramolecular Hydrogels with Excellent Self-Recovery Behavior Mediated by Metal-Coordination Interaction. Polymer 2019, 171, 201–210. [Google Scholar] [CrossRef]
- Sorin, E.S.; Baimuratova, R.K.; Chernyayev, D.A.; Korchagin, D.V.; Uflyand, I.E.; Dzhardimalieva, G.I. New Mixed-Ligand Metal-Containing Monomer Based on Cobalt Acrylate and 4-Phenyl-2,2′:6′,2″-Terpyridine Ligand: Synthesis, Characteristics and Thermal Properties. Key Eng. Mater. 2021, 899, 37–44. [Google Scholar] [CrossRef]
- Sorin, E.S.; Baimuratova, R.K.; Tkachev, V.V.; Utenyshev, A.N.; Kuzmin, A.V.; Dzhardimalieva, G.I. Structure and Properties of the Metal-Containing Monomer Based on Nickel Acrylate and 4′-Phenyl-2,2′:6′,2″-Terpyridine for Self-Healing Polymers. Mend. Commun. 2024, 34, 382–384. [Google Scholar] [CrossRef]
- Uflyand, I.E.; Tkachev, V.V.; Zhinzhilo, V.A.; Drogan, E.G.; Burlakova, V.E.; Sokolov, M.E.; Panyushkin, V.T.; Baimuratova, R.K.; Dzhardimalieva, G.I. Synthesis, Crystal Structure, Thermal Properties of Copper(II) Acrylate Complex with 4′-Phenyl-2,2′:6′,2′′-Terpyridine and Its Use in Nanomaterials Science. J. Mol. Struct. 2022, 1250, 131909. [Google Scholar] [CrossRef]
- Bayburdov, T.A.; Shipovskaya, A.; Sintez, B. Khimicheskie i Fiziko-Khimicheskie Svoistva Polimerov Akrilamida [Synthesis of Chemical and Physico-Chemical Properties of Acrylamide Polymers]; Saratov, Saratovskii istochnik Publ.: Saratov, Russia, 2019; 94p, ISBN 978-5-91879-921-5. (In Russian) [Google Scholar]
- Wool, R.P. Self-Healing Materials: A Review. Soft Matter 2008, 4, 400. [Google Scholar] [CrossRef]
- Juárez Data, R.M.; Mattea, F.; Strumia, M.C.; Milanesio, J.M. Effect of Including a Hydrophobic Comonomer on the Rheology of an Acrylamide-acrylic Acid Based Copolymer. J. Appl. Polym. Sci. 2020, 137, 49532. [Google Scholar] [CrossRef]
- Dzhardimalieva, G.I.; Tonoyan, A.O.; Pomogailo, A.D.; Davtyan, S.P. Preparation and Reactivity of Metal-Containing Monomers. Communication 6. Polymerization of Metal-Containing Monomers Based on Alkoxy Derivatives of Ti(IV) and Some Properties of the Products Obtained. Russ. Chem. Bull. 1987, 36, 1612–1616. [Google Scholar] [CrossRef]
- Dzhardimalieva, G.I.; Pomogailo, A.D. Macromolecular Metal Carboxylates. Russ. Chem. Rev. 2008, 77, 259–301. [Google Scholar] [CrossRef]
- Czerniawski, T.; Wojtczak, Z. Determination of the Initiation Rate in the Polymerization of Zinc, Cobalt and Nickel Acrylates. Eur. Polym. J. 1996, 32, 1035–1036. [Google Scholar] [CrossRef]
- Piette, Y.; Debuigne, A.; Jérôme, C.; Bodart, V.; Poli, R.; Detrembleur, C. Cobalt-Mediated Radical (Co)Polymerization of Vinyl Chloride and Vinyl Acetate. Polym. Chem. 2012, 3, 2880. [Google Scholar] [CrossRef]
- Chen, Y.; Chen, S.; Li, J.; Wu, Z.; Lee, G.; Liu, Y.; Cheng, W.; Yeh, C.; Peng, C. Cobalt(II) Phenoxy-imine Complexes in Radical Polymerization of Vinyl Acetate: The Interplay of Catalytic Chain Transfer and Controlled/Living Radical Polymerization. J. Polym. Sci. 2020, 58, 101–113. [Google Scholar] [CrossRef]
- Moharram, M.A.; Rabie, S.M.; El-Gendy, H.M. Infrared Spectra of Γ-irradiated Poly(Acrylic Acid)–Polyacrylamide Complex. J. Appl. Polym. Sci. 2002, 85, 1619–1623. [Google Scholar] [CrossRef]
- Sowwan, M.; Makharza, S.; Sultan, W.; Abu Teir, M.; Dweik, H. Analysis, Characterization and Some Properties of Polyacrylamide-Ni(II) Complexes. Afr. J. Bus. Manag. Int J Mol Sci. 2011, 6, 6280. [Google Scholar] [CrossRef]
- Kuptsov, A.H.; Zhizhin, G.N. Handbook of Fourier Transform Raman and Infrared Spectra of Polymers; Physical sciences data; Elsevier Science: New York, NY, USA, 1998; ISBN 978-0-444-82620-6. [Google Scholar]
- Hu, H.; Saniger, J.; Garcia-Alejandre, J.; Castaño, V.M. Fourier Transform Infrared Spectroscopy Studies of the Reaction between Polyacrylic Acid and Metal Oxides. Mater. Lett. 1991, 12, 281–285. [Google Scholar] [CrossRef]
- Liu, T.; Zhang, G.; Liang, G.; Chen, T.; Zhang, C. In Situ Cyclization Reactions during the Preparation of High-performance Methacrylic Acid/Acrylonitrile/Acrylamide Ternary Copolymer Foam. J. Appl. Polym. Sci. 2007, 106, 1462–1469. [Google Scholar] [CrossRef]
- Zhou, W.; DeLisio, J.B.; Li, X.; Liu, L.; Zachariah, M.R. Persulfate Salt as an Oxidizer for Biocidal Energetic Nano-Thermites. J. Mater. Chem. A 2015, 3, 11838–11846. [Google Scholar] [CrossRef]
- Moharram, M.A.; Allam, M.A. Study of the Interaction of Poly(Acrylic Acid) and Poly(Acrylic Acid-poly Acrylamide) Complex with Bone Powders and Hydroxyapatite by Using TGA and DSC. J. Appl. Polym. Sci 2007, 105, 3220–3227. [Google Scholar] [CrossRef]
- Nesrinne, S.; Djamel, A. Synthesis, Characterization and Rheological Behavior of pH Sensitive Poly(Acrylamide-Co-Acrylic Acid) Hydrogels. Arab. J. Chem. 2017, 10, 539–547. [Google Scholar] [CrossRef]
- Maurer, J.J.; Eustace, D.J.; Ratcliffe, C.T. Thermal Characterization of Poly(Acrylic Acid). Macromolecules 1987, 20, 196–202. [Google Scholar] [CrossRef]
- Huang, Y.; Yu, H.; Xiao, C. pH-Sensitive Cationic Guar Gum/Poly (Acrylic Acid) Polyelectrolyte Hydrogels: Swelling and in Vitro Drug Release. Carbohydr. Polym. 2007, 69, 774–783. [Google Scholar] [CrossRef]
- Guo, H.; Han, Y.; Zhao, W.; Yang, J.; Zhang, L. Universally Autonomous Self-Healing Elastomer with High Stretchability. Nat. Commun. 2020, 11, 2037. [Google Scholar] [CrossRef] [PubMed]
- Phadke, A.; Zhang, C.; Arman, B.; Hsu, C.-C.; Mashelkar, R.A.; Lele, A.K.; Tauber, M.J.; Arya, G.; Varghese, S. Rapid Self-Healing Hydrogels. Proc. Natl. Acad. Sci. USA 2012, 109, 4383–4388. [Google Scholar] [CrossRef] [PubMed]
- Yang, Y.; Urban, M.W. Self-Healing Polymeric Materials. Chem. Soc. Rev. 2013, 42, 7446–7467. [Google Scholar] [CrossRef]











| Sample | Initial Weight, g | Ratios (%/%/%) | ||||
|---|---|---|---|---|---|---|
| AAm | AAc | H2O | KPS | MAcr2PhTpy | AAm/AAc/MAcr2PhTpy | |
| Co-Copolymer 1 | 5.1 | 0.9 | 24 | 0.06 | 0.06 | 84.5/14.5/1 |
| Co-Copolymer 2 | 3 | 3 | 24 | 0.06 | 0.06 | 49.5/49.5/1 |
| Co-Copolymer 3 | 0.9 | 5.1 | 24 | 0.06 | 0.06 | 14.5/84.5/1 |
| Ni-Copolymer 1 | 5.1 | 0.9 | 24 | 0.06 | 0.06 | 84.5/14.5/1 |
| Ni-Copolymer 2 | 3 | 3 | 24 | 0.06 | 0.06 | 49.5/49.5/1 |
| Ni-Copolymer 3 | 0.9 | 5.1 | 24 | 0.06 | 0.06 | 14.5/84.5/1 |
| Cu-Copolymer 1 | 5.1 | 0.9 | 24 | 0.06 | 0.06 | 84.5/14.5/1 |
| Cu-Copolymer 2 | 3 | 3 | 24 | 0.06 | 0.06 | 49.5/49.5/1 |
| Cu-Copolymer 3 | 0.9 | 5.1 | 24 | 0.06 | 0.06 | 14.5/84.5/1 |
| Sample | Initial Weight, g | Ratios (%/%/%) | ||||
|---|---|---|---|---|---|---|
| AAm | AAc | H2O | KPS | CoAcr2 | AAm/AAc/CoAcr2 | |
| Copolymer 2 [32] | 10 | 10 | 20 | 0.2 | - | 50/50/0 |
| Copolymer 3 [32] | 3 | 17 | 20 | 0.2 | - | 14/85/0 |
| CoA-Copolymer 2 | 3 | 3 | 24 | 0.06 | 0.024г | 49.8/49.8/0.4 |
| CoA-Copolymer 3 | 0.9 | 5.1 | 24 | 0.06 | 0.024г | 14.9/84.7/0.4 |
| Sample | Content of Elements (%) | Ratios (%/%/%) AAm/AAc/MCM/Water | GPC Results | ||||||
|---|---|---|---|---|---|---|---|---|---|
| C | H | N | M | Copolymers | Copolymers ** | Mw | Mn | PDI | |
| CoA-Copolymer 2 | 42.9 | 6.9 | 8.2 | 0.024 | 41.0/43.3/0.1/15.5 | 48.6/51.3/0.1 | - | - | - |
| CoA-Copolymer 3 | 44.7 | 6.5 | 2.3 | 0.026 | 11.4/75.2/0.1/13.3 | 13.1/86.8/0.1 | - | - | - |
| Co-Copolymer 1 | 42.9 | 7.0 | 14.0 | 0.018 | 72.9/14.3/0.2/12.7 | 83.5/16.4/0.2 | - | - | - |
| Co-Copolymer 2 | 44.6 | 6.7 | 8.8 | 0.021 | 44.5/44.1/0.2/11.2 | 50.1/49.7/0.2 | 18,000 | 14,300 | 1.3 |
| Co-Copolymer 3 | 44.6 | 6.3 | 2.5 | 0.026 | 12.6/75.6/0.2/11.5 | 14.3/85.5/0.2 | - | - | - |
| Ni-Copolymer 1 | 43.0 | 7.2 | 13.5 | 0.024 | 68.3/16.4/0.2/15.0 | 80.4/19.4/0.2 | - | - | - |
| Ni-Copolymer 2 | 43.7 | 6.8 | 8.0 | 0.023 | 40.0/45.7/0.2/14.0 | 46.6/53.2/0.2 | 348,000 | 74,500 | 4.7 |
| Ni-Copolymer 3 | 44.4 | 6.4 | 2.9 | 0.027 | 14.6/73.3/0.1/12.0 | 16.6/83.3/0.1 | 1,043,000 | 139,000 | 7.5 |
| Cu-Copolymer 1 | 43.2 | 7.3 | 13.6 | 0.011 | 68.6/16.5/0.1/14.9 | 80.6/19.3/0.1 | - | - | - |
| Cu-Copolymer 2 | 43.6 | 6.7 | 7.0 | 0.092 | 34.8/50.3/0.8/14.1 | 40.5/58.6/0.9 | 542,000 | 123,000 | 4.4 |
| Cu-Copolymer 3 | 44.7 | 6.5 | 2.6 | 0.066 | 12.7/73.5/0.5/13.3 | 14.6/84.8/0.6 | 713,000 | 152,000 | 4.7 |
| Sample | Maximum Strength of the Original Sample, MPa | Maximum Strength of the Healed Sample, MPa | Zσ, % * | Modulus of Elasticity of the Original Sample, GPa | Modulus of Elasticity of the Healed Sample, GPa | ZE, % |
|---|---|---|---|---|---|---|
| CoA-Copolymer 2 | 82 | 8 | 10 | 5.3 | 3.1 | 58 |
| CoA-Copolymer 3 | 100 | 19 | 19 | 5.9 | 5.2 | 88 |
| Co-Copolymer 1 | 120 | 27 | 23 | 3.8 | 4.8 | - |
| Co-Copolymer 2 | 87 | 14 | 16 | 5.5 | 2.6 | 47 |
| Co-Copolymer 3 | 95 | 38 | 40 | 5.6 | 6.9 | - |
| Ni-Copolymer 1 | 47 | 30 | 64 | 3.2 | 6.5 | - |
| Ni-Copolymer 2 | 53 | 17 | 32 | 3.1 | 2.2 | 71 |
| Ni-Copolymer 3 | 47 | 39 | 83 | 2.3 | 6.2 | - |
| Cu-Copolymer 1 | 116 | 30 | 26 | 16.8 | 5.3 | 32 |
| Cu-Copolymer 2 | 123 | 30 | 24 | 14.1 | 4.5 | 32 |
| Cu-Copolymer 3 | 115 | 34 | 30 | 16.4 | 6.2 | 38 |
Disclaimer/Publisher’s Note: The statements, opinions and data contained in all publications are solely those of the individual author(s) and contributor(s) and not of MDPI and/or the editor(s). MDPI and/or the editor(s) disclaim responsibility for any injury to people or property resulting from any ideas, methods, instructions or products referred to in the content. |
© 2024 by the authors. Licensee MDPI, Basel, Switzerland. This article is an open access article distributed under the terms and conditions of the Creative Commons Attribution (CC BY) license (https://creativecommons.org/licenses/by/4.0/).
Share and Cite
Sorin, E.S.; Baimuratova, R.K.; Zhidkov, M.V.; Bubnova, M.L.; Perepelitsina, E.O.; Abukaev, A.F.; Anokhin, D.V.; Ivanov, D.A.; Dzhardimalieva, G.I. High-Strength, Self-Healing Copolymers of Acrylamide and Acrylic Acid with Co(II), Ni(II), and Cu(II) Complexes of 4′-Phenyl-2,2′:6′,2″-terpyridine: Preparation, Structure, Properties, and Autonomous and pH-Triggered Healing. Polymers 2024, 16, 3127. https://doi.org/10.3390/polym16223127
Sorin ES, Baimuratova RK, Zhidkov MV, Bubnova ML, Perepelitsina EO, Abukaev AF, Anokhin DV, Ivanov DA, Dzhardimalieva GI. High-Strength, Self-Healing Copolymers of Acrylamide and Acrylic Acid with Co(II), Ni(II), and Cu(II) Complexes of 4′-Phenyl-2,2′:6′,2″-terpyridine: Preparation, Structure, Properties, and Autonomous and pH-Triggered Healing. Polymers. 2024; 16(22):3127. https://doi.org/10.3390/polym16223127
Chicago/Turabian StyleSorin, Evgeny S., Rose K. Baimuratova, Mikhail V. Zhidkov, Maria L. Bubnova, Evgeniya O. Perepelitsina, Ainur F. Abukaev, Denis V. Anokhin, Dmitry A. Ivanov, and Gulzhian I. Dzhardimalieva. 2024. "High-Strength, Self-Healing Copolymers of Acrylamide and Acrylic Acid with Co(II), Ni(II), and Cu(II) Complexes of 4′-Phenyl-2,2′:6′,2″-terpyridine: Preparation, Structure, Properties, and Autonomous and pH-Triggered Healing" Polymers 16, no. 22: 3127. https://doi.org/10.3390/polym16223127
APA StyleSorin, E. S., Baimuratova, R. K., Zhidkov, M. V., Bubnova, M. L., Perepelitsina, E. O., Abukaev, A. F., Anokhin, D. V., Ivanov, D. A., & Dzhardimalieva, G. I. (2024). High-Strength, Self-Healing Copolymers of Acrylamide and Acrylic Acid with Co(II), Ni(II), and Cu(II) Complexes of 4′-Phenyl-2,2′:6′,2″-terpyridine: Preparation, Structure, Properties, and Autonomous and pH-Triggered Healing. Polymers, 16(22), 3127. https://doi.org/10.3390/polym16223127

