Double Hydrophilic Hyperbranched Copolymer-Based Lipomer Nanoparticles: Copolymer Synthesis and Co-Assembly Studies
Abstract
1. Introduction
2. Materials and Methods
2.1. Materials
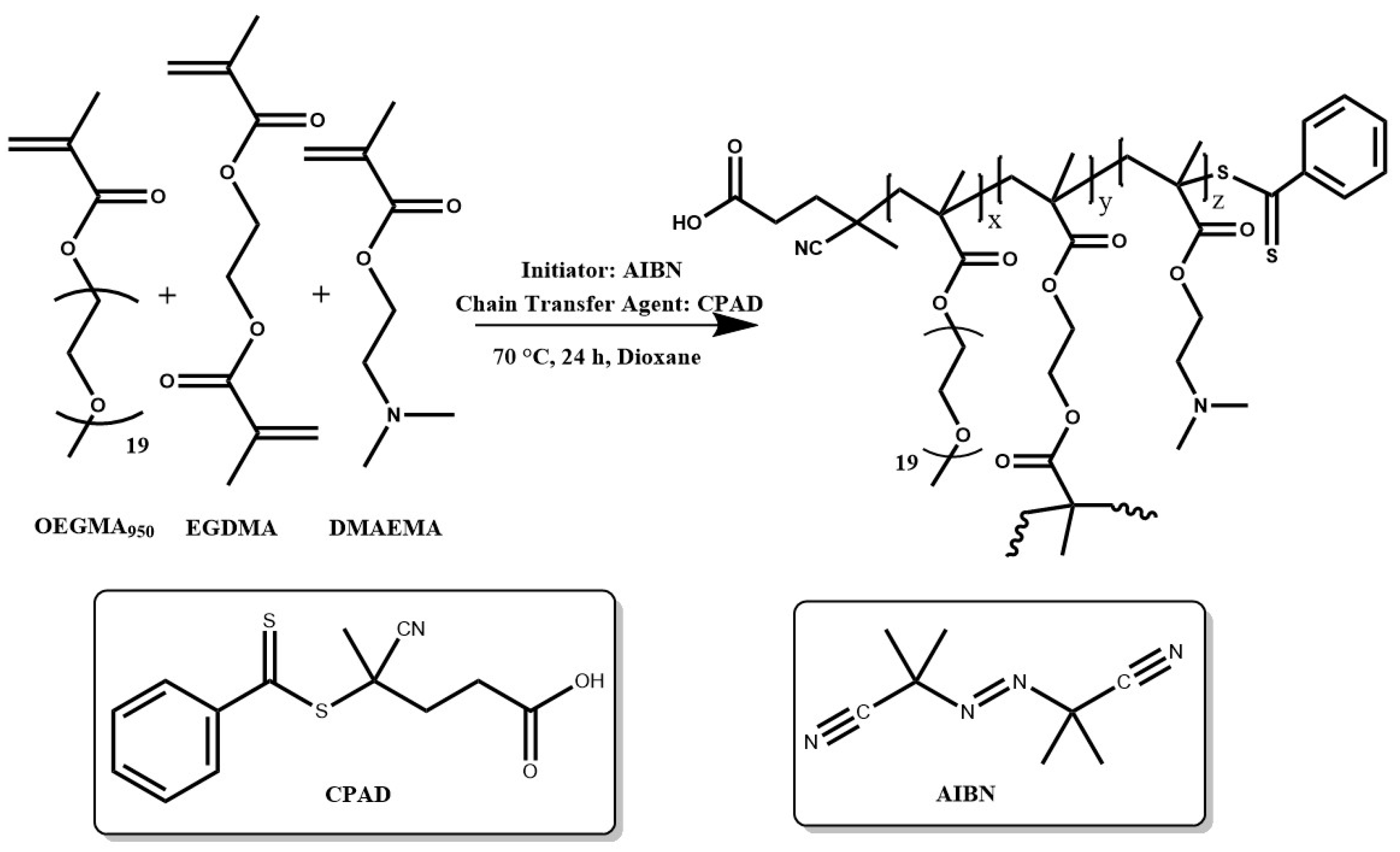
2.1.1. Synthesis of Double Hydrophilic Copolymers
2.1.2. Preparation of Polymer Aqueous Solutions
2.1.3. Preparation of Lipomers
2.2. Methods
2.2.1. Size Exclusion Chromatography
2.2.2. Proton Nuclear Magnetic Resonance Spectroscopy
2.2.3. Fourier Transform Infrared Spectroscopy
2.2.4. Dynamic Light Scattering
2.2.5. Electrophoretic Light Scattering
2.2.6. UV-Vis Spectroscopy
2.2.7. Fluorescence Spectroscopy
2.2.8. Thermogravimetric Analysis
3. Results
3.1. Copolymer Characterization
3.1.1. SEC
3.1.2. 1H-NMR
3.1.3. FTIR
3.1.4. TGA
3.2. Lipomer Characterization
3.2.1. Light Scattering Results
3.2.2. Zeta Potential
3.2.3. Pyrene Encapsulation
3.2.4. pH-Responsiveness
3.2.5. Behavior in Salt Solutions
3.2.6. Stability
3.2.7. Crocus Extract Encapsulation
4. Conclusions
Supplementary Materials
Author Contributions
Funding
Institutional Review Board Statement
Data Availability Statement
Acknowledgments
Conflicts of Interest
References
- Khan, I.; Saeed, K.; Khan, I. Nanoparticles: Properties, Applications and Toxicities. Arab. J. Chem. 2019, 12, 908–931. [Google Scholar] [CrossRef]
- Altammar, K.A. A Review on Nanoparticles: Characteristics, Synthesis, Applications, and Challenges. Front. Microbiol. 2023, 14, 1155622. [Google Scholar] [CrossRef] [PubMed]
- Khan, Y.; Sadia, H.; Ali Shah, S.Z.; Khan, M.N.; Shah, A.A.; Ullah, N.; Ullah, M.F.; Bibi, H.; Bafakeeh, O.T.; Khedher, N.B.; et al. Classification, Synthetic, and Characterization Approaches to Nanoparticles, and Their Applications in Various Fields of Nanotechnology: A Review. Catalysts 2022, 12, 1386. [Google Scholar] [CrossRef]
- Harish, V.; Ansari, M.M.; Tewari, D.; Gaur, M.; Yadav, A.B.; García-Betancourt, M.L.; Abdel-Haleem, F.M.; Bechelany, M.; Barhoum, A. Nanoparticle and Nanostructure Synthesis and Controlled Growth Methods. Nanomaterials 2022, 12, 3226. [Google Scholar] [CrossRef] [PubMed]
- Sur, S.; Rathore, A.; Dave, V.; Reddy, K.R.; Chouhan, R.S.; Sadhu, V. Recent Developments in Functionalized Polymer Nanoparticles for Efficient Drug Delivery System. Nano-Struct. Nano-Objects 2019, 20, 100397. [Google Scholar] [CrossRef]
- Zhang, G.; Niu, A.; Peng, S.; Jiang, M.; Tu, Y.; Li, M.; Wu, C. Formation of Novel Polymeric Nanoparticles. Acc. Chem. Res. 2001, 34, 249–256. [Google Scholar] [CrossRef]
- Jikei, M.; Kakimoto, M.A. Hyperbranched Polymers: A Promising New Class of Materials. Prog. Polym. Sci. 2001, 26, 1233–1285. [Google Scholar] [CrossRef]
- Voit, B. New Developments in Hyperbranched Polymers. J. Polym. Sci. A Polym. Chem. 2000, 38, 2505–2525. [Google Scholar] [CrossRef]
- Caminade, A.M.; Majoral, J.P. Phosphorus-Containing Dendritic Architectures. Polym. Sci. 2012, 1–10, 689–722. [Google Scholar] [CrossRef]
- Morikawa, A. Comparison of Properties among Dendritic and Hyperbranched Poly(Ether Ether Ketone)s and Linear Poly(Ether Ketone)s. Molecules 2016, 21, 219. [Google Scholar] [CrossRef]
- Desidery, L.; Lanotte, M. Polymers and Plastics: Types, Properties, and Manufacturing. In Plastic Waste for Sustainable Asphalt Roads; Woodhead Publishing: Cambridge, UK, 2022; pp. 3–28. [Google Scholar] [CrossRef]
- Homyak, C.; Anson, F.; Thayumanavan, S. Supramolecular Polymers in Nanomedicine. Compr. Supramol. Chem. II 2017, 5, 227–254. [Google Scholar] [CrossRef]
- Perrier, S. 50th Anniversary Perspective: RAFT Polymerization—A User Guide. Macromolecules 2017, 50, 7433–7447. [Google Scholar] [CrossRef]
- Tian, X.; Ding, J.; Zhang, B.; Qiu, F.; Zhuang, X.; Chen, Y. Recent Advances in RAFT Polymerization: Novel Initiation Mechanisms and Optoelectronic Applications. Polymers 2018, 10, 318. [Google Scholar] [CrossRef] [PubMed]
- El Jundi, A.; Buwalda, S.J.; Bakkour, Y.; Garric, X.; Nottelet, B. Double Hydrophilic Block Copolymers Self-Assemblies in Biomedical Applications. Adv. Colloid Interface Sci. 2020, 283, 102213. [Google Scholar] [CrossRef]
- Schmidt, B.V.K.J. Double Hydrophilic Block Copolymer Self-Assembly in Aqueous Solution. Macromol. Chem. Phys. 2018, 219, 1700494. [Google Scholar] [CrossRef]
- Balafouti, A.; Pispas, S. P(OEGMA-Co-LMA) Hyperbranched Amphiphilic Copolymers as Self-Assembled Nanocarriers. J. Polym. Sci. 2022, 60, 1931–1943. [Google Scholar] [CrossRef]
- Topuzogullari, M.; Bulmus, V.; Dalgakiran, E.; Dincer, S. PH- and Temperature-Responsive Amphiphilic Diblock Copolymers of 4-Vinylpyridine and Oligoethyleneglycol Methacrylate Synthesized by RAFT Polymerization. Polymer 2014, 55, 525–534. [Google Scholar] [CrossRef]
- Cotanda, P.; Wright, D.B.; Tyler, M.; O’Reilly, R.K. A Comparative Study of the Stimuli-Responsive Properties of DMAEA and DMAEMA Containing Polymers. J. Polym. Sci. A Polym. Chem. 2013, 51, 3333–3338. [Google Scholar] [CrossRef]
- Tomara, M.; Selianitis, D.; Pispas, S. Dual-Responsive Amphiphilic P(DMAEMA-Co-LMA-Co-OEGMA) Terpolymer Nano-Assemblies in Aqueous Media. Nanomaterials 2022, 12, 3791. [Google Scholar] [CrossRef]
- Saigal, T.; Xu, J.; Matyjaszewski, K.; Tilton, R.D. Emulsification Synergism in Mixtures of Polyelectrolyte Brush-Grafted Nanoparticles and Surfactants. J. Colloid Interface Sci. 2015, 449, 152–159. [Google Scholar] [CrossRef]
- Wesley, R.D.; Cosgrove, T.; Thompson, L.; Armes, S.P.; Baines, F.L. Structure of Polymer/Surfactant Complexes Formed by Poly(2-(Dimethylamino)Ethyl Methacrylate) and Sodium Dodecyl Sulfate. Langmuir 2002, 18, 5704–5707. [Google Scholar] [CrossRef]
- Lalani, J.; Misra, A. Gene Delivery Using Chemical Methods. In Challenges in Delivery of Therapeutic Genomics and Proteomics; Elsevier: Amsterdam, The Netherlands, 2011; pp. 127–206. [Google Scholar] [CrossRef]
- Tamura, A.; Ikeda, G.; Nishida, K.; Yui, N. Cationic Polyrotaxanes as a Feasible Framework for the Intracellular Delivery and Sustainable Activity of Anionic Enzymes: A Comparison Study with Methacrylate-Based Polycations. Macromol. Biosci. 2015, 15, 1134–1145. [Google Scholar] [CrossRef] [PubMed]
- Bonkovoski, L.C.; Martins, A.F.; Bellettini, I.C.; Garcia, F.P.; Nakamura, C.V.; Rubira, A.F.; Muniz, E.C. Polyelectrolyte Complexes of Poly[(2-Dimethylamino) Ethyl Methacrylate]/Chondroitin Sulfate Obtained at Different PHs: I. Preparation, Characterization, Cytotoxicity and Controlled Release of Chondroitin Sulfate. Int. J. Pharm. 2014, 477, 197–207. [Google Scholar] [CrossRef] [PubMed]
- Gregoriadis, G. Liposomes and MRNA: Two Technologies Together Create a COVID-19 Vaccine. Med. Drug Discov. 2021, 12, 100104. [Google Scholar] [CrossRef]
- Pardeike, J.; Hommoss, A.; Müller, R.H. Lipid Nanoparticles (SLN, NLC) in Cosmetic and Pharmaceutical Dermal Products. Int. J. Pharm. 2009, 366, 170–184. [Google Scholar] [CrossRef]
- Sengel-Turk, C.T.; Paksoy, A.O.; Alpturk, O. The State of the Art in Core–Shell-Type Lipid–Polymer Hybrid Nanocarriers and Beyond. Polym. Bull. 2024, 81, 4771–4800. [Google Scholar] [CrossRef]
- Tawfik, M.A.; Tadros, M.I.; Mohamed, M.I. Lipomers (Lipid-Polymer Hybrid Particles) of Vardenafil Hydrochloride: A Promising Dual Platform for Modifying the Drug Release Rate and Enhancing Its Oral Bioavailability. AAPS PharmSciTech 2018, 19, 3650–3660. [Google Scholar] [CrossRef]
- Zahir-Jouzdani, F.; Lupo, N.; Hermann, M.; Prüfert, F.; Atyabi, F.; Bernkop Schnürch, A. Glyceryl Ester Surfactants: Promising Excipients to Enhance the Cell Permeating Properties of SEDDS. Eur. J. Pharm. Biopharm. 2018, 129, 154–161. [Google Scholar] [CrossRef]
- Das, S.; Devarajan, P.V. Enhancing Safety and Efficacy by Altering the Toxic Aggregated State of Amphotericin B in Lipidic Nanoformulations. Mol. Pharm. 2020, 17, 2186–2195. [Google Scholar] [CrossRef]
- Yousaf, R.; Khan, M.I.; Akhtar, M.F.; Madni, A.; Sohail, M.F.; Saleem, A.; Irshad, K.; Sharif, A.; Rana, M. Development and In-Vitro Evaluation of Chitosan and Glyceryl Monostearate Based Matrix Lipid Polymer Hybrid Nanoparticles (LPHNPs) for Oral Delivery of Itraconazole. Heliyon 2023, 9, e14281. [Google Scholar] [CrossRef]
- Marwah, M.; Magarkar, A.; Ray, D.; Aswal, V.; Bunker, A.; Nagarsenker, M. Glyceryl Monostearate: Probing the Self Assembly of a Lipid Amenable to Surface Modification for Hepatic Targeting. J. Phys. Chem. C 2018, 122, 22160–22169. [Google Scholar] [CrossRef]
- Rahemipoor, S.; Kohestanian, M.; Pourjavadi, A.; Vazifehkhorani, H.H.; Mehrali, M. Synthesis and Properties of Multi-Stimuli-Responsive Water-Soluble Hyperbranched Polymers Prepared Via Reversible Addition-Fragmentation Chain Transfer Self-Condensing Vinyl Polymerization. ACS Appl. Polym. Mater. 2022, 4, 692–702. [Google Scholar] [CrossRef]
- Albanese, A.; Tang, P.S.; Chan, W.C.W. The Effect of Nanoparticle Size, Shape, and Surface Chemistry on Biological Systems. Annu. Rev. Biomed. Eng. 2012, 14, 1–16. [Google Scholar] [CrossRef] [PubMed]
- Beck-Broichsitter, M. Solvent Impact on Polymer Nanoparticles Prepared Nanoprecipitation. Colloids Surf. A Physicochem. Eng. Asp. 2021, 625, 126928. [Google Scholar] [CrossRef]
- Martínez Rivas, C.J.; Tarhini, M.; Badri, W.; Miladi, K.; Greige-Gerges, H.; Nazari, Q.A.; Galindo Rodríguez, S.A.; Román, R.Á.; Fessi, H.; Elaissari, A. Nanoprecipitation Process: From Encapsulation to Drug Delivery. Int. J. Pharm. 2017, 532, 66–81. [Google Scholar] [CrossRef]
- Qi, M.; Zhou, Y. Multimicelle Aggregate Mechanism for Spherical Multimolecular Micelles: From Theories, Characteristics and Properties to Applications. Mater. Chem. Front. 2019, 3, 1994–2009. [Google Scholar] [CrossRef]
- Jiang, Z.; Liu, H.; He, H.; Ribbe, A.E.; Thayumanavan, S. Blended Assemblies of Amphiphilic Random and Block Copolymers for Tunable Encapsulation and Release of Hydrophobic Guest Molecules. Macromolecules 2020, 53, 2713–2723. [Google Scholar] [CrossRef]
- Helal, H.M.; Mortada, S.M.; Sallam, M.A. Paliperidone-Loaded Nanolipomer System for Sustained Delivery and Enhanced Intestinal Permeation: Superiority to Polymeric and Solid Lipid Nanoparticles. AAPS PharmSciTech 2017, 18, 1946–1959. [Google Scholar] [CrossRef]
- Souza, I.D.L.; Saez, V.; Mansur, C.R.E. Lipid Nanoparticles Containing Coenzyme Q10 for Topical Applications: An Overview of Their Characterization. Colloids Surf. B Biointerfaces 2023, 230, 113491. [Google Scholar] [CrossRef]
- Verhoef, J.J.F.; Anchordoquy, T.J. Questioning the Use of PEGylation for Drug Delivery. Drug Deliv. Transl. Res. 2013, 3, 499. [Google Scholar] [CrossRef]
- Xu, H.; Tian, H.; Deng, J.; Zhuo, Q.; Cui, J.; Wang, J.; Yin, Y.; Yu, P. Review of Influence of Steric Effect on Aggregation Behavior of Fine Particles. Miner. Eng. 2023, 203, 108304. [Google Scholar] [CrossRef]
- Honda, C.; Katsumata, Y.; Yasutome, R.; Yamazaki, S.; Ishii, S.; Matsuoka, K.; Endo, K. Temperature Dependence of Pyrene Fluorescence Spectra in Aqueous Solutions of CnEm (C14E7, C16E7, and C16E6) Nonionic Surfactant Micelles. J. Photochem. Photobiol. A Chem. 2006, 182, 151–157. [Google Scholar] [CrossRef]
- Ergio Seixas De Melo, J.S.; Costa, T.; Emia Oliveira, N.; Schilí En, K. Fluorescence Studies on the Interaction between Pyrene-Labelled Poly(Acrylic Acid) and Cyclodextrins. Polym. Int. Polym. Int. 2007, 56, 882–899. [Google Scholar] [CrossRef]
- Wilhelm, M.; Zhao, C.L.; Wang, Y.; Xu, R.; Winnik, M.A.; Mura, J.L.; Riess, G.; Croucher, M.D. Poly(Styrene-Ethylene Oxide) Block Copolymer Micelle Formation in Water: A Fluorescence Probe Study. Macromolecules 1991, 24, 1033–1040. [Google Scholar] [CrossRef]
- Han, X.; Zhang, X.; Zhu, H.; Yin, Q.; Liu, H.; Hu, Y. Effect of Composition of PDMAEMA-b-PAA Block Copolymers on Their PH- and Temperature-Responsive Behaviors. Langmuir 2013, 29, 1024–1034. [Google Scholar] [CrossRef]
- Car, A.; Baumann, P.; Duskey, J.T.; Chami, M.; Bruns, N.; Meier, W. PH-Responsive PDMS-b-PDMAEMA Micelles for Intracellular Anticancer Drug Delivery. Biomacromolecules 2014, 15, 3235–3245. [Google Scholar] [CrossRef]
- Lukić, M.; Pantelić, I.; Savić, S.D. Towards Optimal PH of the Skin and Topical Formulations: From the Current State of the Art to Tailored Products. Cosmetics 2021, 8, 69. [Google Scholar] [CrossRef]
- Yamazaki, N.; Sugimoto, T.; Fukushima, M.; Teranishi, R.; Kotaka, A.; Shinde, C.; Kumei, T.; Sumida, Y.; Munekata, Y.; Maruyama, K.I.; et al. Dual-Stimuli Responsive Liposomes Using PH- and Temperature-Sensitive Polymers for Controlled Transdermal Delivery. Polym. Chem. 2017, 8, 1507–1518. [Google Scholar] [CrossRef]
- Xiong, Z.; Peng, B.; Han, X.; Peng, C.; Liu, H.; Hu, Y. Dual-Stimuli Responsive Behaviors of Diblock Polyampholyte PDMAEMA-b-PAA in Aqueous Solution. J. Colloid. Interface Sci. 2011, 356, 557–565. [Google Scholar] [CrossRef]
- Zanata, D.d.M.; Felisberti, M.I. Thermo- and PH-Responsive POEGMA-b-PDMAEMA-b-POEGMA Triblock Copolymers. Eur. Polym. J. 2022, 167, 111069. [Google Scholar] [CrossRef]
- Li, Q.; Wang, L.; Chen, F.; Constantinou, A.P.; Georgiou, T.K. Thermoresponsive Oligo(Ethylene Glycol) Methyl Ether Methacrylate Based Copolymers: Composition and Comonomer Effect. Polym. Chem. 2022, 13, 2506–2518. [Google Scholar] [CrossRef]
- Chen, Y.; Wang, L.; Yu, H.; Zain-Ul-Abdin; Sun, R.; Jing, G.; Tong, R.; Deng, Z. Stimuli-Responsive HBPS-g-PDMAEMA and Its Application as Nanocarrier in Loading Hydrophobic Molecules. Beilstein J. Org. Chem. 2016, 12, 939. [Google Scholar] [CrossRef] [PubMed]
- Lxxii, V.; Matusiak, J.; Grządka, E. Stability of Colloidal Systems—A Review of the Stability Measurements Methods. Ann. Univ. Mariae Curie-Sklodowska Sect. AA Chem. 2017, 72, 33. [Google Scholar] [CrossRef]
- Raj, S.; Jose, S.; Sumod, U.S.; Sabitha, M. Nanotechnology in Cosmetics: Opportunities and Challenges. J. Pharm. Bioallied Sci. 2012, 4, 186–193. [Google Scholar] [CrossRef] [PubMed]
- Loizzo, M.R.; Malfa, G.A.; Acquaviva, R.; Tundis, R.; Bonesi, M. Carotenoids as Tools in Breast Cancer Therapy. In Discovery and Development of Anti-Breast Cancer Agents from Natural Products; Elsevier: Amsterdam, The Netherlands, 2021; pp. 123–146. [Google Scholar] [CrossRef]
- Gutheil, W.G.; Reed, G.; Ray, A.; Anant, S.; Dhar, A. Crocetin: An Agent Derived from Saffron for Prevention and Therapy for Cancer. Curr. Pharm. Biotechnol. 2012, 13, 173. [Google Scholar] [CrossRef]
- Gómez-Gómez, L.; Morote, L.; Fajardo, C.M.; Rubio-Moraga, Á.; Frusciante, S.; Diretto, G.; Ahrazem, O. Engineering the Production of Crocins and Picrocrocin in Heterologous Plant Systems. Ind. Crops Prod. 2023, 194, 116283. [Google Scholar] [CrossRef]
- Tarantilis, P.A.; Tsoupras, G.; Polissiou, M. Determination of Saffron (Crocus Sativus L.) Components in Crude Plant Extract Using High-Performance Liquid Chromatography-UV-Visible Photodiode-Array Detection-Mass Spectrometry. J. Chromatogr. A 1995, 699, 107–118. [Google Scholar] [CrossRef]

















| Polymer | Code | Initial Feed Ratio a | Mw (g/mol) (×104) b | Mw/Mn b | %wt DMAEMA c |
| H-P(OEGMA950-co-DMAEMA) | R3 | 1.5:4:0.2:0.24:0.1 | 2.5 | 1.23 | 41 |
| H-P(OEGMA950-co-DMAEMA) | R4 | 1:6:0.2:0.24:0.1 | 1.9 | 1.20 | 60 |
| P-(OEGMA950-co-DMAEMA) | R9 | 1:6:0.2:0.1 | 0.9 | 1.19 | 57 |
| P-(OEGMA950-co-DMAEMA) | R10 | 1.5:4:0.2:0.1 | 1.3 | 1.17 | 32 |
Disclaimer/Publisher’s Note: The statements, opinions and data contained in all publications are solely those of the individual author(s) and contributor(s) and not of MDPI and/or the editor(s). MDPI and/or the editor(s) disclaim responsibility for any injury to people or property resulting from any ideas, methods, instructions or products referred to in the content. |
© 2024 by the authors. Licensee MDPI, Basel, Switzerland. This article is an open access article distributed under the terms and conditions of the Creative Commons Attribution (CC BY) license (https://creativecommons.org/licenses/by/4.0/).
Share and Cite
Gerardos, A.M.; Pispas, S. Double Hydrophilic Hyperbranched Copolymer-Based Lipomer Nanoparticles: Copolymer Synthesis and Co-Assembly Studies. Polymers 2024, 16, 3129. https://doi.org/10.3390/polym16223129
Gerardos AM, Pispas S. Double Hydrophilic Hyperbranched Copolymer-Based Lipomer Nanoparticles: Copolymer Synthesis and Co-Assembly Studies. Polymers. 2024; 16(22):3129. https://doi.org/10.3390/polym16223129
Chicago/Turabian StyleGerardos, Angelica Maria, and Stergios Pispas. 2024. "Double Hydrophilic Hyperbranched Copolymer-Based Lipomer Nanoparticles: Copolymer Synthesis and Co-Assembly Studies" Polymers 16, no. 22: 3129. https://doi.org/10.3390/polym16223129
APA StyleGerardos, A. M., & Pispas, S. (2024). Double Hydrophilic Hyperbranched Copolymer-Based Lipomer Nanoparticles: Copolymer Synthesis and Co-Assembly Studies. Polymers, 16(22), 3129. https://doi.org/10.3390/polym16223129

