Hydrogen Bond Donors in the Catalytic Pocket: The Case of the Ring-Opening Polymerization of Cyclic Esters Catalyzed by an Amino-Propoxide Aluminum Complex
Abstract
1. Introduction
2. Experimental Section
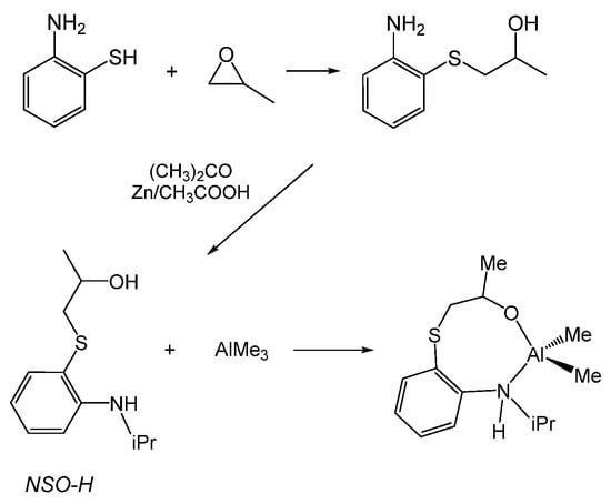
2.1. Synthesis of 1-((2-(Isopropylamino)phenyl)thio)propan-2-ol (NSO-H)
- Step 1. Synthesis of 1-(2-amino-phenyl)thio)propan-2-ol
- Step 2. Synthesis of 1-((2-(isopropylamino)phenyl)thio)propan-2-ol
2.2. Synthesis of (NSO)AlMe2 Complex
2.3. Typical Procedure for Cyclic Esters’ Polymerization
2.4. Computational Details
3. Results and Discussion
3.1. Synthesis and Characterization of (NSO)AlMe2 Complex
3.2. Polymerization Results
3.3. Theoretical Investigation
4. Conclusions
Supplementary Materials
Author Contributions
Funding
Institutional Review Board Statement
Data Availability Statement
Conflicts of Interest
References
- Statista Research Department. Global Plastic Production 1950–2022. 2024. Available online: https://www.statista.com/statistics/282732/global-production-of-plastics-since (accessed on 20 September 2024).
- Zhu, Y.; Romain, C.; Williams, C. Sustainable polymers from renewable resources. Nature 2016, 540, 354–536. [Google Scholar] [CrossRef]
- Lasprilla, A.J.R.; Martinez, G.A.R.; Lunelli, B.H.; Jardini, A.L.; Maciel Filho, R. Poly-lactic acid synthesis for application in biomedical devices—A review. Biotechnol. Adv. 2012, 30, 321–328. [Google Scholar] [CrossRef]
- Vert, M. Aliphatic Polyesters: Great Degradable Polymers That Cannot Do Everything. Biomacromolecules 2005, 6, 538–546. [Google Scholar] [CrossRef]
- Oh, J.K. Polylactide (PLA)-based amphiphilic block copolymers: Synthesis, self-assembly, and biomedical applications. Soft Matter 2011, 7, 50965108. [Google Scholar] [CrossRef]
- Li, Y.; Thouas, G.A.; Chen, Q.-Z. Biodegradable soft elastomers: Synthesis/properties of materials and fabrication of scaffolds. RSC Adv. 2012, 8, 8229–8242. [Google Scholar] [CrossRef]
- Stanford, J.; Dove, P.A. Stereocontrolled ring-opening polymerisation of lactide. Chem. Soc. Rev. 2010, 39, 486–494. [Google Scholar] [CrossRef]
- Thomas, C.M. Stereocontrolled ring-opening polymerization of cyclic esters: Synthesis of new polyester microstructures. Chem. Soc. Rev. 2010, 39, 165–173. [Google Scholar] [CrossRef]
- Dijkstra, P.J.; Du, H.; Feijen, J. Single site catalysts for stereoselective ring-opening polymerization of lactides. Polym. Chem. 2011, 2, 520–527. [Google Scholar] [CrossRef]
- Impemba, S.; Della Monica, F.; Grassi, A.; Capacchione, C.; Milione, S. Cyclic Polyester Formation with an [OSSO]-Type Iron(III) Catalyst. ChemSusChem 2020, 13, 141–145. [Google Scholar] [CrossRef]
- Wang, Y.; Wang, X.; Zhang, W.; Sun, W.-H. Progress of Ring-Opening Polymerization of Cyclic Esters Catalyzed by Iron Compounds. Organometallics 2023, 42, 1680–1692. [Google Scholar] [CrossRef]
- Duan, R.; Hu, C.; Li, X.; Pang, X.; Sun, Z.; Chen, X.; Wang, X. Air-Stable Salen-Iron Complexes: Stereoselective Catalysts for Lactide and ε-Caprolactone Polymerization through in Situ Initiation. Macromolecules 2017, 50, 9188–9195. [Google Scholar] [CrossRef]
- Impemba, S.; Manca, G.; Tozio, I.; Milione, S. Ring-Opening Polymerization of rac-β-Butyrolactone Promoted by New Tetradentate Thioether-Amide Ligand-Type Zinc Complexes. Polymers 2023, 15, 4366. [Google Scholar] [CrossRef] [PubMed]
- Gruszka, W.; Walker, L.C.; Shaver, M.P.; Garden, J.A. In Situ Versus Isolated Zinc Catalysts in the Selective Synthesis of Homo and Multi-block Polyesters. Macromolecules 2020, 53, 4294–4302. [Google Scholar] [CrossRef]
- Impemba, S.; Milione, S. Group IV complexes with nitrogen based ligands in the ring opening polymerization of cyclic esters. Inorg. Chim. Acta 2024, 568, 122067. [Google Scholar] [CrossRef]
- Impemba, S.; Roviello, G.; Milione, S.; Capacchione, C. NSSN-Type Group 4 Metal Complexes in the Ring-Opening Polymerization of l-Lactide. Inorg. Chem. 2021, 60, 7561–7572. [Google Scholar] [CrossRef]
- Ritacco, I.; Voccia, M.; Impemba, S.; Camellone, M.F.; Milione, S.; Caporaso, L.; Ritacco, I.; Voccia, M.; Impemba, S.; Camellone, M.F.; et al. Electronic and Steric Effects on L-Lactide Ring-Opening Polymerization with NSSN-type Zr(IV) Complexes. Eur. J. Inorg. Chem. 2023, 26, e202200588. [Google Scholar] [CrossRef]
- Sauer, A.; Kapelski, A.; Fliedel, C.; Dagorne, S.; Kol, M.; Okuda, J. Structurally well-defined group 4 metal complexes as initiators for the ring-opening polymerization of lactide monomers. Dalton Trans. 2013, 42, 9007–9023. [Google Scholar] [CrossRef]
- Petrus, R.; Lis, T.; Kowaliński, A. Use of heterometallic alkali metal-magnesium aryloxides in ring-opening polymerization of cyclic esters. Dalton Trans. 2022, 51, 9144–9158. [Google Scholar] [CrossRef]
- Devaine-Pressing, K.; Oldenburg, F.J.; Menzel, J.P.; Springer, M.; Dawe, L.N.; Kozak, C.M. Lithium, sodium, potassium and calcium amine-bis(phenolate)complexes in the ring-opening polymerization of rac-lactide. Dalton Trans. 2020, 49, 1531–1544. [Google Scholar] [CrossRef]
- García-Valle, F.M.; Tabernero, V.; Cuenca, T.; Mosquera, M.E.G.; Cano, J.; Milione, S. Biodegradable PHB from rac-β-Butyrolactone: Highly Controlled ROP Mediated by a Penta-Coordinated Aluminum Complex. Organometallics 2018, 37, 837–840. [Google Scholar] [CrossRef]
- Impemba, S.; Tozio, I.; Roviello, G.; Mameri, S.; Dagorne, S.; Milione, S. Mono- and Bimetallic Aluminum Complexes Supported by Thioether-Amide Ligands: Synthesis, Characterization, and Application in the Ring Opening Polymerization of L-Lactide. Organometallics 2023, 42, 921–932. [Google Scholar] [CrossRef]
- Fedulin, A.I.; Oprunenko, Y.F.; Egorov, A.R.; Churakov, A.V.; Zaitsev, K. Aluminum complexes with sulphur containing pyridine based ligands: Synthesis, structure and catalysis. J. Organomet. Chem. 2024, 1017, 123278. [Google Scholar] [CrossRef]
- Le Borgne, A.; Vincens, V.; Jouglard, M.; Spassky, N. Ring-opening oligomerization reactions using aluminium complexes of schiff’s bases as initiators. Macromol. Chem. Macromol. Symp. 1993, 73, 37–46. [Google Scholar] [CrossRef]
- Spassky, N.; Wisniewski, M.; Pluta, C.; Le Borgne, A. Highly stereoelective polymerization of rac-(D,L)-lactide with a chiral schiff’s base/aluminium alkoxide initiator. Macromol. Chem. Phys. 1996, 197, 2627–2637. [Google Scholar] [CrossRef]
- Nomura, N.; Ishii, R.; Yamamoto, Y.; Kondo, T. Stereoselective Ring-Opening Polymerization of a Racemic Lactide by Using Achiral Salen–and Homosalen–Aluminum Complexes. Chem. Eur. J. 2007, 13, 4433–4451. [Google Scholar] [CrossRef]
- Nomura, N.; Ishii, R.; Akakura, M.; Aoi, K. Stereoselective Ring-Opening Polymerization of Racemic Lactide Using Aluminum-Achiral Ligand Complexes: Exploration of a Chain-End Control Mechanism. J. Am. Chem. Soc. 2002, 124, 5938–5939. [Google Scholar] [CrossRef]
- Pilone, A.; Press, K.; Goldberg, I.; Kol, M.; Mazzeo, M.; Lamberti, M. Gradient isotactic multiblock polylactides from aluminum complexes of chiral salalen ligands. J. Am. Chem. Soc. 2014, 136, 2940–2943. [Google Scholar] [CrossRef]
- Gesslbauer, S.; Cheek, H.; White, A.J.P.; Romain, C. Highly active aluminium catalysts for room temperature ring-opening polymerisation of rac-lactide. Dalton Trans. 2018, 47, 10410–10414. [Google Scholar] [CrossRef]
- Gesslbauer, S.; Savela, R.; Chen, Y.; White, A.J.P.; Romain, C. Exploiting Noncovalent Interactions for Room-Temperature Heteroselective rac-Lactide Polymerization Using Aluminum Catalysts. ACS Catal. 2019, 9, 7912–7920. [Google Scholar] [CrossRef]
- Payne, J.; McKeown, P.; Kociok-Kohn, G.; Jones, M.D. Novel hybrid aluminium(III)–catalen complexes as highly active catalysts for lactide polymerisation: Towards industrial relevance. Chem. Commun. 2020, 56, 7163–7166. [Google Scholar] [CrossRef]
- Frisch, M.J.; Trucks, G.W.; Schlegel, H.B.; Scuseria, G.E.; Robb, M.A.; Cheeseman, J.R.; Scalmani, G.; Barone, V.; Petersson, G.A.; Nakatsuji, H.; et al. Gaussian 09, Revision A.02; Gaussian, Inc.: Wallingford, CT, USA, 2016. [Google Scholar]
- Becke, A. Density-functional exchange-energy approximation with correct asymptotic behavior. Phys. Rev. A 1988, 38, 3098–3100. [Google Scholar] [CrossRef] [PubMed]
- Perdew, J.P. Density-functional approximation for the correlation energy of the inhomogeneous electron gas. Phys. Rev. B 1986, 33, 8822–8824. [Google Scholar] [CrossRef] [PubMed]
- Cossi, M.; Rega, N.; Scalmani, G.; Barone, V. Energies, structures, and electronic properties of molecules in solution with the C-PCM solvation model. J. Comput. Chem. 2003, 24, 669–681. [Google Scholar] [CrossRef] [PubMed]
- Cioslowski, J. A New Population Analysis Based on Atomic Polar Tensors. J. Am. Chem. Soc. 1989, 111, 8333–8336. [Google Scholar] [CrossRef]
- Falivene, L.; Cao, Z.; Petta, A.; Serra, L.; Poater, A.; Oliva, R.; Scarano, V.; Cavallo, L. Towards the online computer-aided design of catalytic pockets. Nat. Chem. 2019, 11, 872–879. [Google Scholar] [CrossRef]
- Armstrong, A.; Boto, R.A.; Dingwall, P.; Contreras-Garcia, J.; Harvey, M.J.; Mason, N.J.; Rzepa, H.S. The Houk-List transition states for organocatalytic mechanisms revisited. Chem. Sci. 2014, 5, 2057–2071. [Google Scholar] [CrossRef]
- Contreras-García, J.; Johnson, E.R.; Keinan, S.; Chaudret, R.; Piquemal, J.-P.; Beratan, D.N.; Yang, W. NCIPLOT: A Program for Plotting Noncovalent Interaction Regions. J. Chem. Theory Comput. 2011, 7, 625–632. [Google Scholar] [CrossRef]
- Johnson, E.R.; Keinan, S.; Mori-Sánchez, P.; Contreras-García, J.; Cohen, A.J.; Yang, W. Revealing Noncovalent Interactions. J. Am. Chem. Soc. 2010, 132, 6498–6506. [Google Scholar] [CrossRef]
- Meppelder, G.-P.; Beckerle, K.; Manivannan, R.; Lian, B.; Raabe, G.; Spaniol, T.P.; Okuda, J. Enantiomerically pure titanium complexes containing an [OSSO]-type bis(phenolate) ligand: Synthesis, structure, and formation of optically active oligostyrenes. Chem. Asian J. 2008, 3, 1312–1323. [Google Scholar] [CrossRef]
- Micovic, V.; Ivanovic, M.D.; Piatak, D.; Bojic, V.D. A Simple Method for Preparation of Secondary Aromatic Amines. Synthesis 1991, 11, 1043–1045. [Google Scholar] [CrossRef]
- Pappalardo, D.; Annunziata, L.; Pellecchia, C. Living Ring-Opening Homo- and Copolymerization of ε-Caprolactone and D- and D,L-Lactides by Dimethyl(salicylaldiminato)aluminum Compounds. Macromolecules 2009, 42, 6056–6062. [Google Scholar] [CrossRef]
- Witzke, D.R.; Narayan, R.; Kolstad, J.J. Reversible Kinetics and Thermodynamics of the Homopolymerization of l-Lactide with 2-Ethylhexanoic Acid Tin(II) Salt. Macromolecules 1997, 30, 7075–7085. [Google Scholar] [CrossRef]
- Macaranas, J.A.; Luke, A.M.; Mandal, M.; Neisen, B.D.; Marell, D.J.; Cramer, C.J.; Tolman, W.B. Sterically Induced Ligand Framework Distortion Effects on Catalytic Cyclic Ester Polymerizations. Inorg. Chem. 2018, 57, 3451–3457. [Google Scholar] [CrossRef] [PubMed]












| Run (a) | Mon. | [Mon]/[Al] | T [°C] | t [h] | Conver. [%] (b) | TOF [h−1] (c) | Mn(th) [kg/mol] (e) | Mn(exp) [kg/mol] (f) | PDI (f) |
|---|---|---|---|---|---|---|---|---|---|
| 1 | L-LA | 100 | 80 | 7 | 81 | 12 | 5.8 | 5.6 | 1.08 |
| 2 | rac-LA | 100 | 80 | 3 | 81 | 27 | 5.8 | 5.8 | 1.22 |
| 3 | rac-LA | 100 | 90 | 1.5 | 80 | 53 | 5.8 | 4.3 | 1.46 |
| 4 | rac-LA | 100 | 100 | 1.5 | 94 | 63 | 6.8 | 4.3 | 1.53 |
| 5 | rac-LA | 500 | 80 | 4 | 86 | 107 | 30.9 | 28.7 | 1.36 |
| 6 | rac-LA | 1000 | 80 | 16 | 78 | 49 | 56.7 | 52.4 | 1.41 |
| 7 (d) | rac-LA | 1000 | 190 | 0.08 | 56 | 563 | 40.3 | 38.9 | 1.07 |
| 8 (d) | L-LA | 1000 | 190 | 0.08 | 52 | 522 | 37.5 | 16.2 | 1.30 |
| Run (a) | Mon. | [Mon]/[Al] | t [min] | Conv. [%] (b) | TOF [h−1] (c) | Mn(th) [kg/mol] (e) | Mn(expt) [kg/mol−1] | PDI (f) |
|---|---|---|---|---|---|---|---|---|
| 1 | ε-CL | 1000 | 5 | 77 | 9254 | 43.9 | 42.6 | 1.10 |
| 2 | ε-CL | 2000 | 10 | 78 | 9389 | 89.0 | 66.3 | 1.13 |
| 3 | ε-CL | 4000 | 10 | 53 | 12766 | 121.0 | 27.6 | 1.72 |
| 4 | ε-CL | 4000 | 40 | 81 | 4878 | 184.9 | 33.4 | 2.02 |
| 5 | β-BL | 100 | 240 | 24 | 6 | 1.0 | n.d. | n.d. |
| 6 (d) | β-BL | 100 | 240 | 61 | 15 | 2.6 | 3.0 | 1.21 |
Disclaimer/Publisher’s Note: The statements, opinions and data contained in all publications are solely those of the individual author(s) and contributor(s) and not of MDPI and/or the editor(s). MDPI and/or the editor(s) disclaim responsibility for any injury to people or property resulting from any ideas, methods, instructions or products referred to in the content. |
© 2024 by the authors. Licensee MDPI, Basel, Switzerland. This article is an open access article distributed under the terms and conditions of the Creative Commons Attribution (CC BY) license (https://creativecommons.org/licenses/by/4.0/).
Share and Cite
Impemba, S.; Viceconte, A.; Tozio, I.; Anwar, S.; Manca, G.; Milione, S. Hydrogen Bond Donors in the Catalytic Pocket: The Case of the Ring-Opening Polymerization of Cyclic Esters Catalyzed by an Amino-Propoxide Aluminum Complex. Polymers 2024, 16, 3047. https://doi.org/10.3390/polym16213047
Impemba S, Viceconte A, Tozio I, Anwar S, Manca G, Milione S. Hydrogen Bond Donors in the Catalytic Pocket: The Case of the Ring-Opening Polymerization of Cyclic Esters Catalyzed by an Amino-Propoxide Aluminum Complex. Polymers. 2024; 16(21):3047. https://doi.org/10.3390/polym16213047
Chicago/Turabian StyleImpemba, Salvatore, Antonella Viceconte, Irene Tozio, Shoaib Anwar, Gabriele Manca, and Stefano Milione. 2024. "Hydrogen Bond Donors in the Catalytic Pocket: The Case of the Ring-Opening Polymerization of Cyclic Esters Catalyzed by an Amino-Propoxide Aluminum Complex" Polymers 16, no. 21: 3047. https://doi.org/10.3390/polym16213047
APA StyleImpemba, S., Viceconte, A., Tozio, I., Anwar, S., Manca, G., & Milione, S. (2024). Hydrogen Bond Donors in the Catalytic Pocket: The Case of the Ring-Opening Polymerization of Cyclic Esters Catalyzed by an Amino-Propoxide Aluminum Complex. Polymers, 16(21), 3047. https://doi.org/10.3390/polym16213047

