New Antimicrobial Materials Based on Plasticized Polyvinyl Chloride for Urinary Catheters: Preparation and Testing
Abstract
1. Introduction
- i.
- Inhibition of plasticizer migration using modern, high performance, biocompatible plasticizers, as an alternative to less safe DEHT, namely:
- -
- Proviplast 2646 citrate-based, a high performing plasticizer for medical applications according to its technical datasheet, listed in the European Pharmacopoeia [47]. It is a high-purity, safe alternative for DOP/DEHP in specialized medical applications, such as blood bags or tubes. Highly compatible with PVC, Proviplast® 2646 has low heavy metal content and is recommended for applications in the healthcare area/medical/blood bags.
- -
- Proviplast 2755, considered a safe, bio-based, phthalate-free plasticizer by Proviron, exhibits high efficiency, thermal stability, and reduced carbon footprint. Proviplast® 2755 meets the requirements for sensitive applications for PVC end-products [48].
- ii.
- Development of a material with enhanced functionality, reduced plasticizer migration (close to zero), reduced encrustations formation ability within the lumen of tubes, biocompatible, to be used in the fabrication of the UCs, and containing antimicrobial additives based on silver nanoparticles (AgNPs) to provide antibacterial activity.
2. Materials and Methods
2.1. Materials
2.2. Methods
2.2.1. Sample Preparation
2.2.2. Physical and Mechanical Analyses of Samples
2.2.3. Biological Analyses
3. Results and Discussion
3.1. Physical Properties Evaluation
3.1.1. Visual and Microscopic Examination
3.1.2. Contact Angle
3.1.3. Surface Free Energy
3.1.4. Shore A Hardness
3.1.5. Relative Density, Water Absorption, and Plasticizer Migration
Relative Density
3.2. Mechanical Properties
Tensile Strength, Elongation at Break, and Residual Elongation
3.3. Microstructural Properties
3.3.1. Scanning Electron Microscopy (SEM) and Energy-Dispersive X-Ray Analysis (EDAX)
3.3.2. Chemical Composition by ATR-FTIR Method
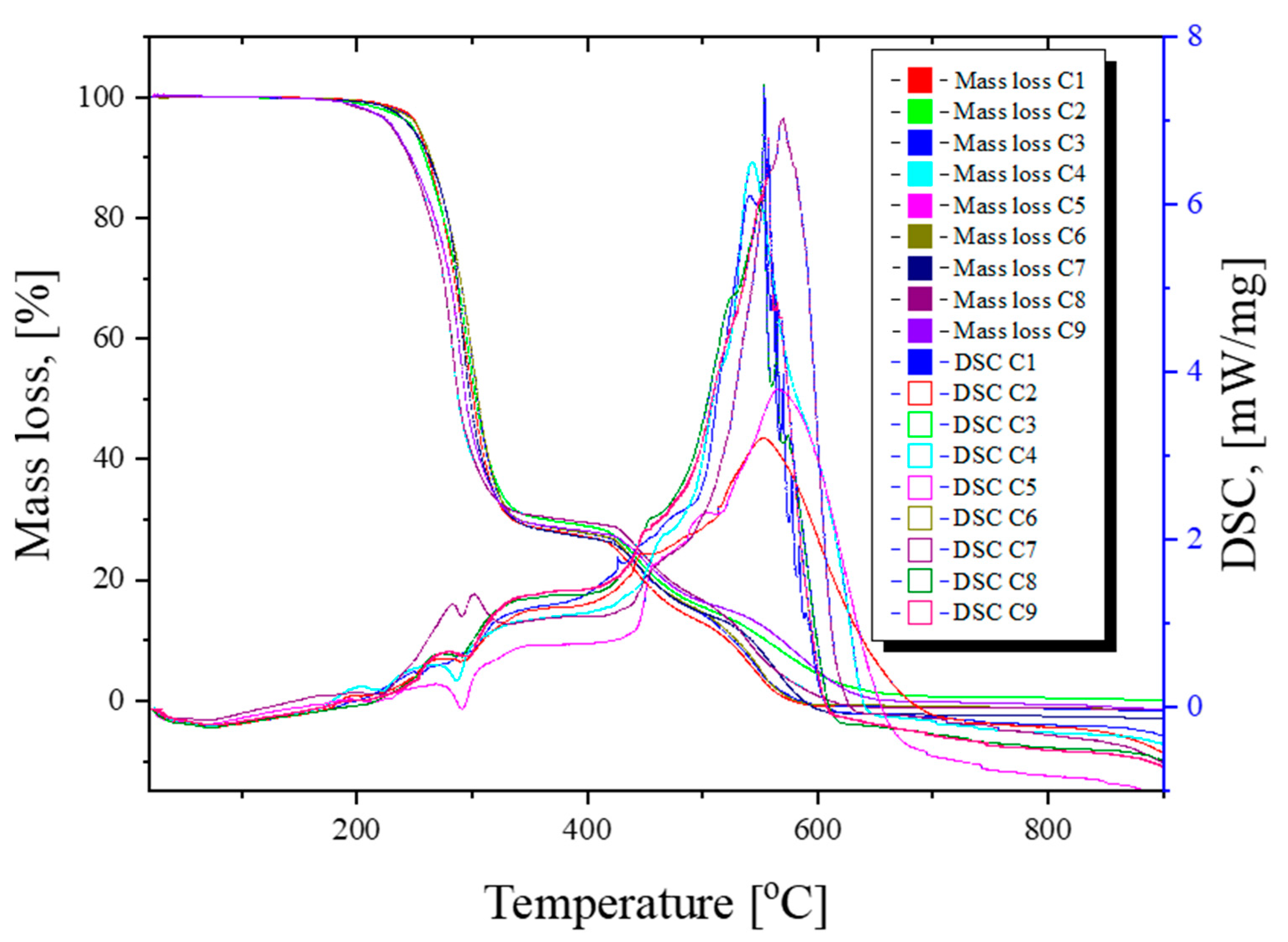
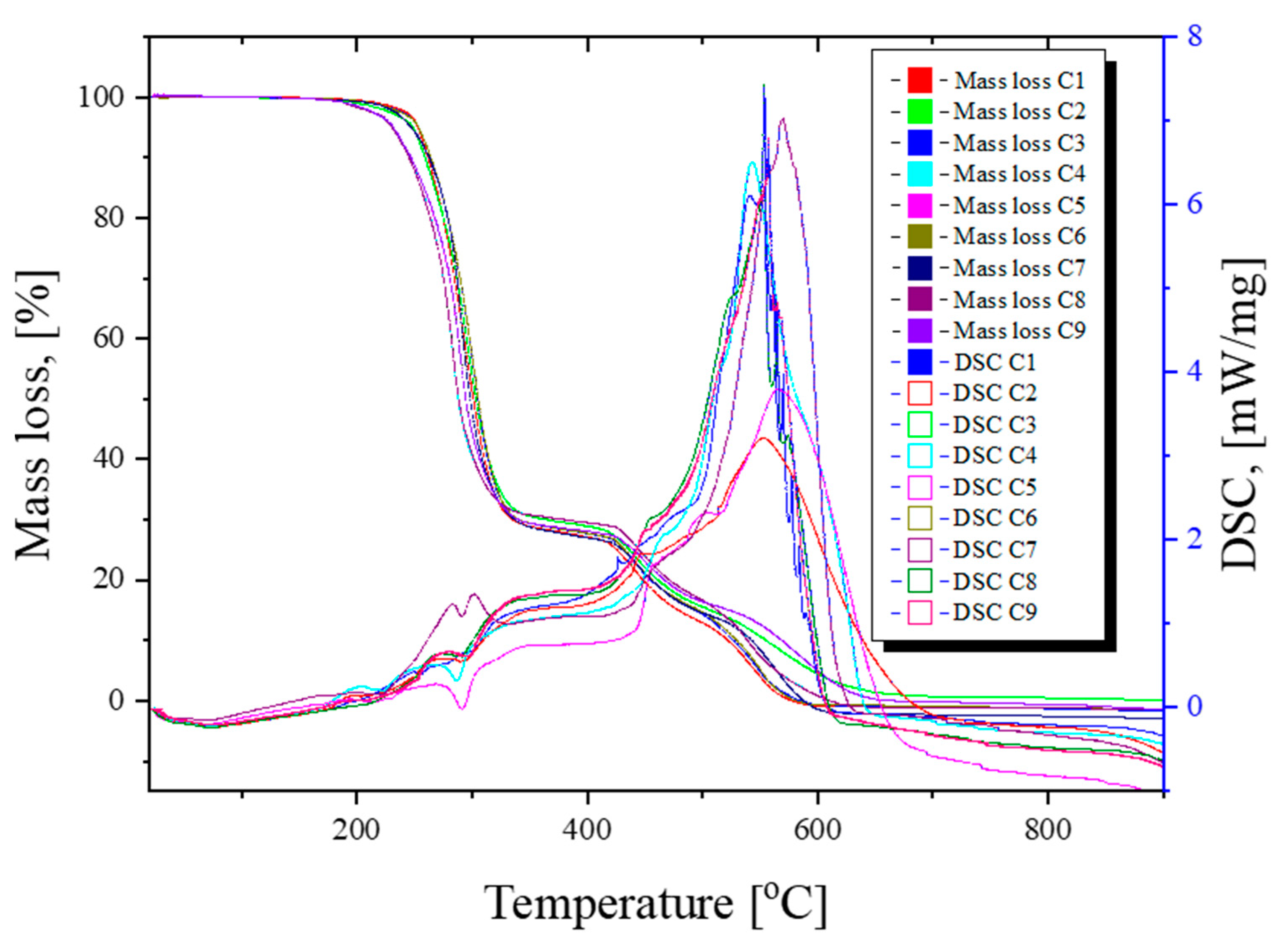
3.4. Thermal Analysis
3.5. Biological Properties
3.5.1. Antimicrobial Analysis
3.5.2. Cytotoxicity Assessment
4. Conclusions
Author Contributions
Funding
Institutional Review Board Statement
Data Availability Statement
Acknowledgments
Conflicts of Interest
References
- Mlugu, E.M.; Mohamedi, J.A.; Sangeda, R.Z.; Mwambete, K.D. Prevalence of urinary tract infection and antimicrobial resistance patterns of uropathogens with biofilm forming capacity among outpatients in morogoro, Tanzania: A cross-sectional study. BMC Infect. Dis. 2023, 23, 660. [Google Scholar] [CrossRef] [PubMed]
- Mancuso, G.; Midiri, A.; Gerace, E.; Marra, M.; Zummo, S.; Biondo, C. Urinary Tract Infections: The Current Scenario and Future Prospects. Pathogens 2023, 12, 623. [Google Scholar] [CrossRef] [PubMed]
- Flores-Mireles, A.L.; Walker, J.N.; Caparon, M.; Hultgren, S.J. Urinary tract infections: Epidemiology, mechanisms of infection and treatment options. Nat. Rev. Microbiol. 2015, 13, 269–284. [Google Scholar] [CrossRef] [PubMed]
- Niu, X.; Hou, B.; Yang, L.; Wang, W.; Yu, Q.; Mao, M.; Shen, W. Patterns of Drug Resistance and Bacterial Pathogen Distribution in Patients with Urinary Tract Infections in the Jiaxing Region from 2020 to 2022. Infect. Drug Resist. 2023, 16, 5911–5921. [Google Scholar] [CrossRef]
- Mareș, C.; Petca, R.C.; Popescu, R.I.; Petca, A.; Mulțescu, R.; Bulai, C.A.; Ene, C.V.; Geavlete, P.A.; Geavlete, B.F.; Jinga, V. Update on Urinary Tract Infection Antibiotic Resistance—A Retrospective Study in Females in Conjunction with Clinical Data. Life 2024, 14, 106. [Google Scholar] [CrossRef]
- Ku, J.H.; Tartof, S.Y.; Contreras, R.; Ackerson, B.K.; Chen, L.H.; Reyes, I.A.C.; Pellegrini, M.; Schmidt, J.E.; Bruxvoort, K.J. Antibiotic Resistance of Urinary Tract Infection Recurrences in a Large Integrated US Healthcare System. J. Infect. Dis. 2024, jiae233. [Google Scholar] [CrossRef]
- Navarro, S.; Sherman, E.; Colmer-Hamood, J.A.; Nelius, T.; Myntti, M.; Hamood, A.N. Urinary Catheters Coated with a Novel Biofilm Preventative Agent Inhibit Biofilm Development by Diverse Bacterial Uropathogens. Antibiotics 2022, 11, 1514. [Google Scholar] [CrossRef]
- Tan, E.; Ahluwalia, A.; Kankam, H.; Menezes, P. Urinary catheterization 1: Indications. Br. J. Hosp. Med. 2019, 80, C133–C135. [Google Scholar] [CrossRef]
- Lachance, C.C.; Grobelna, A. Management of Patients with Long-Term Indwelling Urinary Catheters: A Review of Guidelines; Canadian Agency for Drugs and Technologies in Health: Ottawa, ON, Canada, 2019; pp. 1–25. [Google Scholar]
- Jahn, P.; Preuss, M.; Kernig, A.; Seifert-Hühmer, A.; Langer, G. Types of indwelling urinary catheters for long-term bladder drainage in adults. Cochrane Database Syst. Rev. 2007, 10, CD004997. [Google Scholar] [CrossRef]
- Kanti, S.P.Y.; Csóka, I.; Jójárt-Laczkovich, O.; Adalbert, L. Recent Advances in Antimicrobial Coatings and Material Modification Strategies for Preventing Urinary Catheter-Associated Complications. Biomedicines 2022, 10, 2580. [Google Scholar] [CrossRef]
- Sofer, M.; Denstedt, J.D. Encrustation of biomaterials in the urinary tract. Curr. Opin. Urol. 2000, 10, 563–569. [Google Scholar] [CrossRef] [PubMed]
- Radaniel, T.; Genay, S.; Simon, N.; Feutry, F.; Quagliozzi, F.; Barthélémy, C.; Lecoeur, M.; Sautou, V.; Décaudin, B.; Odou, P.; et al. Quantification of five plasticizers used in PVC tubing through high performance liquid chromatographic-UV detection. J. Chromatogr. B Anal. Technol. Biomed. Life Sci. 2014, 965, 158–163. [Google Scholar] [CrossRef] [PubMed]
- Cortese, Y.J.; Wagner, V.E.; Tierney, M.; Devine, D.; Fogarty, A. Review of catheter-associated urinary tract infections and in vitro urinary tract models. J. Healthc. Eng. 2018, 2018, 2986742. [Google Scholar] [CrossRef] [PubMed]
- Singha, P.; Locklin, J.; Handa, H. A review of the recent advances in antimicrobial coatings for urinary catheters. Acta Biomater. 2017, 50, 20–40. [Google Scholar] [CrossRef]
- Lǎzǎroaie, C.; Rusen, E.; Mǎrculescu, B.; Zecheru, T.; Hubcǎ, G. Chemical modification of PVC for polymer matrices with special properties. UPB Sci. Bull. Ser. B Chem. Mater. Sci. 2010, 72, 127–140. [Google Scholar]
- Otter, R.; Langsch, A.; Harmon, P.; Boito, S.C.; Mervart, J.; Grass, M.; Sarginson, N.J. Comment on Bernard et al. Association Between Urinary Metabolites and the Exposure of Intensive Care Newborns to Plasticizers of Medical Devices Used for Their Care Management. Metabolites 2021, 11, 596. [Google Scholar] [CrossRef]
- Kay, V.R.; Bloom, M.S.; Foster, W.G. Reproductive and developmental effects of phthalate diesters in males. Crit. Rev. Toxicol. 2014, 44, 467–498. [Google Scholar] [CrossRef]
- Radke, E.G.; Braun, J.M.; Meeker, J.D.; Cooper, G.S. Phthalate exposure and male reproductive outcomes: A systematic review of the human epidemiological evidence. Environ. Int. 2018, 121, 764–793. [Google Scholar] [CrossRef]
- Johns, L.E.; Ferguson, K.K.; Soldin, O.P.; Cantonwine, D.E.; Rivera-González, L.O.; Del Toro, A.V.A.; Calafat, A.M.; Ye, X.; Alshawabkeh, A.N.; Cordero, J.F.; et al. Urinary phthalate metabolites in relation to maternal serum thyroid and sex hormone levels during pregnancy: A longitudinal analysis. Reprod. Biol. Endocrinol. 2015, 13, 4. [Google Scholar] [CrossRef]
- Czogała, J.; Pankalla, E.; Turczyn, R. Recent attempts in the design of efficient pvc plasticizers with reduced migration. Materials 2021, 14, 844. [Google Scholar] [CrossRef]
- Li, Y.; Yu, E.; Yang, X.; Wei, Z. Multiarm hyperbranched polyester-b-Poly(ε-caprolactone):Plasticization effect and migration resistance for PVC. J. Vinyl Addit. Technol. 2020, 26, 35–42. [Google Scholar] [CrossRef]
- Pereira, V.A.; Fonseca, A.C.; Costa, C.S.M.F.; Ramalho, A.; Coelho, J.F.J.; Serra, A.C. End-capped biobased saturated polyesters as effective plasticizers for PVC. Polym. Test. 2020, 85, 106406. [Google Scholar] [CrossRef]
- Huang, Y.; Yu, E.; Li, Y.; Wei, Z. Novel branched poly(ɛ-caprolactone) as a nonmigrating plasticizer in flexible PVC: Synthesis and characterization. J. Appl. Polym. Sci. 2018, 135, 46542. [Google Scholar] [CrossRef]
- Lee, K.W.; Chung, J.W.; Kwak, S.Y. Synthesis and characterization of bio-based alkyl terminal hyperbranched polyglycerols: A detailed study of their plasticization effect and migration resistance. Green Chem. 2016, 18, 999–1009. [Google Scholar] [CrossRef]
- Jia, P.; Zhang, M.; Hu, L.; Zhou, Y. Green plasticizers derived from soybean oil for poly(vinyl chloride) as a renewable resource material. Korean J. Chem. Eng. 2016, 33, 1080–1087. [Google Scholar] [CrossRef]
- Chavan, A.P.; Gogate, P.R. Ultrasound assisted synthesis of epoxidized sunflower oil and application as plasticizer. J. Ind. Eng. Chem. 2015, 21, 842–850. [Google Scholar] [CrossRef]
- Li, M.; Li, S.; Xia, J.; Ding, C.; Wang, M.; Xu, L.; Yang, X.; Huang, K. Tung oil based plasticizer and auxiliary stabilizer for poly(vinyl chloride). Mater. Des. 2017, 122, 366–375. [Google Scholar] [CrossRef]
- Johansson, K.; Greis, G.; Johansson, B.; Grundtmann, A.; Pahlby, Y.; Törn, S.; Axelberg, H.; Carlsson, P. Evaluation of a new PVC-free catheter material for intermittent catheterization: A prospective, randomized, crossover study. Scand. J. Urol. 2013, 47, 33–37. [Google Scholar] [CrossRef]
- PVC Compounds for Medical Sector|Moden Plast. Available online: https://modenplast.com/ (accessed on 22 October 2024).
- Rajaramon, S.; Shanmugam, K.; Dandela, R.; Solomon, A.P. Emerging evidence-based innovative approaches to control catheter-associated urinary tract infection: A review. Front. Cell. Infect. Microbiol. 2023, 13, 1134433. [Google Scholar] [CrossRef]
- Ciuprina, F.; Andrei, L. Effects of Temperature and Frequency on Dielectric Properties of LiCo3/5Fe1/5Cu1/5VO4. Int. J. Sci. Res. 2015, 4, 2254–2257. [Google Scholar] [CrossRef]
- Werneburg, G.T. Catheter-Associated Urinary Tract Infections: Current Challenges and Future Prospects. Res. Reports Urol. 2022, 14, 109–133. [Google Scholar] [CrossRef] [PubMed]
- Andersen, M.J.; Flores-Mireles, A.L. Urinary catheter coating modifications: The race against catheter-associated infections. Coatings 2020, 10, 23. [Google Scholar] [CrossRef]
- Tarawneh, O.; Abu Mahfouz, H.; Hamadneh, L.; Deeb, A.A.; Al-Sheikh, I.; Alwahsh, W.; Fadhil Abed, A. Assessment of persistent antimicrobial and anti-biofilm activity of p-HEMA hydrogel loaded with rifampicin and cefixime. Sci. Rep. 2022, 12, 3900. [Google Scholar] [CrossRef] [PubMed]
- Zhang, S.; Wang, L.; Liang, X.; Vorstius, J.; Keatch, R.; Corner, G.; Nabi, G.; Davidson, F.; Gadd, G.M.; Zhao, Q. Enhanced Antibacterial and Antiadhesive Activities of Silver-PTFE Nanocomposite Coating for Urinary Catheters. ACS Biomater. Sci. Eng. 2019, 5, 2804–2814. [Google Scholar] [CrossRef] [PubMed]
- Faustino, C.M.C.; Lemos, S.M.C.; Monge, N.; Ribeiro, I.A.C. A scope at antifouling strategies to prevent catheter-associated infections. Adv. Colloid Interface Sci. 2020, 284, 102230. [Google Scholar] [CrossRef]
- Yassin, M.A.; Elkhooly, T.A.; Elsherbiny, S.M.; Reicha, F.M.; Shokeir, A.A. Facile coating of urinary catheter with bio–inspired antibacterial coating. Heliyon 2019, 5, e02986. [Google Scholar] [CrossRef]
- Durán, N.; Durán, M.; de Jesus, M.B.; Seabra, A.B.; Fávaro, W.J.; Nakazato, G. Silver nanoparticles: A new view on mechanistic aspects on antimicrobial activity. Nanomed. Nanotechnol. Biol. Med. 2016, 12, 789–799. [Google Scholar] [CrossRef]
- Francolini, I.; Vuotto, C.; Piozzi, A.; Donelli, G. Antifouling and antimicrobial biomaterials: An overview. Apmis 2017, 125, 392–417. [Google Scholar] [CrossRef]
- Roe, D.; Karandikar, B.; Bonn-Savage, N.; Gibbins, B.; Roullet, J. baptiste Antimicrobial surface functionalization of plastic catheters by silver nanoparticles. J. Antimicrob. Chemother. 2008, 61, 869–876. [Google Scholar] [CrossRef]
- Francis, A.L.; Namasivayam, S.K.R.; Samrat, K. Potential of silver nanoparticles synthesized from Justicia adhatoda metabolites for inhibiting biofilm on urinary catheters. Microb. Pathog. 2024, 196, 106957. [Google Scholar] [CrossRef]
- Goda, R.M.; El-Baz, A.M.; Khalaf, E.M.; Alharbi, N.K.; Elkhooly, T.A.; Shohayeb, M.M. Combating Bacterial Biofilm Formation in Urinary Catheter by Green Silver Nanoparticle. Antibiotics 2022, 11, 495. [Google Scholar] [CrossRef] [PubMed]
- Yosri, N.; Khalifa, S.A.M.; Attia, N.F.; Du, M.; Yin, L.; Abolibda, T.Z.; Zhai, K.; Guo, Z.; El-Seedi, H.R. Advancing sustainability in the green engineering of nanocomposites based on marine-derived polymers and their applications. Int. J. Biol. Macromol. 2024, 274, 133249. [Google Scholar] [CrossRef] [PubMed]
- Cho, S.; Lee, E.; Jo, S.; Kim, G.M.; Kim, W. Extrusion characteristics of thinwalled tubes for catheters using thermoplastic elastomer. Polymers 2020, 12, 1628. [Google Scholar] [CrossRef] [PubMed]
- Li, N.; Khan, S.B.; Chen, S.; Aiyiti, W.; Zhou, J.; Lu, B. Promising New Horizons in Medicine: Medical Advancements with Nanocomposite Manufacturing via 3D Printing. Polymers 2023, 15, 4122. [Google Scholar] [CrossRef]
- Proviplast 2646—Proviron. Available online: https://polymer-additives.specialchem.com/product/a-proviron-proviplast-2646?F-marketapplicationsnames_sm_search=proviron-proviplast-2646 (accessed on 20 October 2024).
- Proviplast 2755—Proviron. Available online: https://polymer-additives.specialchem.com/product/a-proviron-proviplast-2755?F-marketapplicationsnames_sm_search=proviron-proviplast-2755 (accessed on 20 October 2024).
- Telcian, A. Evaluarea Proprietăților Anti-Biofilm Ale Unor Suprafețe Protetice Nanostructurate. (The Evaluation of Anti-Biofouling Properties of Some Protetic Nanostructured Surfaces). Ph.D. Thesis, University of Bucharest, Bucharest, Romania, 2018. [Google Scholar]
- Grosu, E.; Ficai, A.; Rapa, M.; Zaharia, C.; Chifiriuc, C.; Ulinici, S.; Jecu, L. Plastified polyvinyl chloride for antimicrobial medical device applications. J. Optoelectron. Adv. Mater. 2015, 17, 1139–1145. [Google Scholar]
- Grosu, E.; Ficai, A.; Rapa, M.; Vlad, G.; Jecu, L. Selecting medical grade polymers and testing for achieving antibacterial devices tubular prosthetic. J. Optoelectron. Adv. Mater. 2013, 15, 905–910. [Google Scholar]
- Popescu, E.L.; Bălăşoiu, M.; Cristea, O.M.; Stoica, A.E.; Oprea, O.C.; Vasile, B.Ş.; Grumezescu, A.M.; Băncescu, G.; Busuioc, C.J.; Mogoşanu, G.D.; et al. Study of antimicrobial effects of functionalized silver nanoparticles. Rom. J. Morphol. Embryol. 2019, 60, 939–946. [Google Scholar]
- Motelica, L.; Ficai, D.; Oprea, O.C.; Ficai, A.; Ene, V.L.; Vasile, B.S.; Andronescu, E.; Holban, A.M. Antibacterial biodegradable films based on alginate with silver nanoparticles and lemongrass essential oil–innovative packaging for cheese. Nanomaterials 2021, 11, 2377. [Google Scholar] [CrossRef]
- SR EN ISO 62:2008; Materiale Plastice. Determinarea Absorbţiei de Apă. ISO: Geneva, Switzerland, 2008. Available online: https://magazin.asro.ro/ro/standard/166080 (accessed on 16 September 2024).
- ISO 1183-1:2019; Materiale Plastice. Metode de Determinare a Densității Materialelor Plastice Nealveolare. Partea 1: Metoda Prin Imersie, Metoda cu Picnometru în Mediu Lichid și Metoda Prin Titrare. ISO: Geneva, Switzerland, 2019. Available online: https://magazin.asro.ro/ro/standard/271533 (accessed on 18 September 2024).
- ISO 177:2016(en); Plastics—Determination of Migration of Plasticizers. ISO: Geneva, Switzerland, 2016. Available online: https://www.iso.org/obp/ui/#iso:std:iso:177:ed-3:v1:en (accessed on 18 September 2024).
- ISO 291:2008(en); Plastics—Standard Atmospheres for Conditioning and Testing. ISO: Geneva, Switzerland, 2008. Available online: https://www.iso.org/obp/ui/#iso:std:iso:291:ed-4:v1:en (accessed on 18 September 2024).
- ISO 48-4:2018; Rubber, Vulcanized or Thermoplastic—Determination of Hardness—Part 4: Indentation Hardness by Durometer Method (Shore hardness). ISO: Geneva, Switzerland, 2018. Available online: https://www.iso.org/standard/74969.html (accessed on 18 September 2024).
- ISO 527-1:2019; Plastics—Determination of Tensile Properties—Part 1: General Principles. ISO: Geneva, Switzerland, 2019. Available online: https://www.iso.org/standard/75824.html (accessed on 18 September 2024).
- 10993-1:2010, S.E.I.; Evaluarea Biologică a Dispozitivelor Medicale. Partea 1: Evaluare şi Încercare în Cadrul Unui Proces de Management al Riscului. ISO: Geneva, Switzerland, 2010. Available online: https://magazin.asro.ro/ro/standard/178822 (accessed on 18 September 2024).
- Asadinezhad, A.; Lehocký, M.; Sáha, P.; Mozetič, M. Recent Progress in Surface Modification of Polyvinyl Chloride. Materials 2012, 5, 2937–2959. [Google Scholar] [CrossRef]
- Ercole, F.F.; Macieira, T.G.R.; Wenceslau, L.C.C.; Martins, A.R.; Campos, C.C.; Chianca, T.C.M. Integrative review: Evidences on the practice of intermittent/indwelling urinary catheterization. Rev. Lat. Am. Enfermagem 2013, 21, 459–468. [Google Scholar] [CrossRef]
- Medical Advisory Secretariat. Hydrophilic catheters: An evidence-based analysis. Ont. Health Technol. Assess. Ser. 2006, 6, 1–31. [Google Scholar] [PubMed] [PubMed Central]
- Ding, W.; Liao, Y. Determination of Alkylbenzyldimethylammonium Chlorides in River Water and Sewage Effluent by Solid-Phase Extraction and Gas Chromatography/Mass Spectrometry. Anal. Chem. 2001, 73, 36–40. [Google Scholar] [CrossRef] [PubMed]
- Liao, X.; Liu, Y.; Liang, S.; Li, K. Effects of hydrophilic coated catheters on urethral trauma, microtrauma and adverse events with intermittent catheterization in patients with bladder dysfunction: A systematic review and meta-analysis. Int. Urol. Nephrol. 2022, 54, 1461–1470. [Google Scholar] [CrossRef] [PubMed]
- Barken, K.B.; Vaabengaard, R. A scoping review on the impact of hydrophilic versus non-hydrophilic intermittent catheters on UTI, QoL, satisfaction, preference, and other outcomes in neurogenic and non-neurogenic patients suffering from urinary retention. BMC Urol. 2022, 22, 153. [Google Scholar] [CrossRef] [PubMed]
- Dai, S.; Gao, Y.; Duan, L. Recent advances in hydrogel coatings for urinary catheters. J. Appl. Polym. Sci. 2023, 140, e53701. [Google Scholar] [CrossRef]
- Pelling, H.; Nzakizwanayo, J.; Milo, S.; Denham, E.L.; MacFarlane, W.M.; Bock, L.J.; Sutton, J.M.; Jones, B.V. Bacterial biofilm formation on indwelling urethral catheters. Lett. Appl. Microbiol. 2019, 68, 277–293. [Google Scholar] [CrossRef] [PubMed]
- Law, K.Y. Water-surface interactions and definitions for hydrophilicity, hydrophobicity and superhydrophobicity. Pure Appl. Chem. 2015, 87, 759–765. [Google Scholar] [CrossRef]
- Danish, M. Contact Angle Studies of Hydrophobic and Hydrophilic Surfaces. In Handbook of Magnetic Hybrid Nanoalloys and their Nanocomposites; Springer Nature: Berlin, Germany, 2022; pp. 761–782. [Google Scholar] [CrossRef]
- Annamalai, M.; Gopinadhan, K.; Han, S.A.; Saha, S.; Park, H.J.; Cho, E.B.; Kumar, B.; Patra, A.; Kim, S.-W.; Venkatesan, T. Surface energy and wettability of van der Waals structures. Nanoscale 2016, 8, 5764–5770. [Google Scholar] [CrossRef]
- Caykara, T.; Rodrigues, L.R.; Silva, C. Biomaterials Surface Engineering Towards Anti-Adhesive Urinary Catheters. Med Discov. 2023, 2, 1041. [Google Scholar] [CrossRef]
- Zhang, X.; Wang, L.; Levänen, E. Superhydrophobic surfaces for the reduction of bacterial adhesion. RSC Adv. 2013, 3, 12003–12020. [Google Scholar] [CrossRef]
- Teng, X.; Yao, C.; McCoy, C.P.; Zhang, S. Comparison of Superhydrophilic, Liquid-Like, Liquid-Infused, and Superhydrophobic Surfaces in Preventing Catheter-Associated Urinary Tract Infection and Encrustation. ACS Biomater. Sci. Eng. 2024, 10, 1162–1172. [Google Scholar] [CrossRef]
- Wypych, G. Handbook of Plasticizers; ChemTec Publishing: Scarborough, ON, Canada, 2004; ISBN 978-1-774670-22-4. [Google Scholar]
- Nur Hanani, Z.A.; McNamara, J.; Roos, Y.H.; Kerry, J.P. Effect of plasticizer content on the functional properties of extruded gelatin-based composite films. Food Hydrocoll. 2013, 31, 264–269. [Google Scholar] [CrossRef]
- Bee, S.-T.; Mok, W.-R.; Lee, T.S.; Tee, T.-T.; Issabayeva, G.; Rahmat, A.R. Evaluation performance of multiple plasticizer systems on the physicomechanical, crystallinity and thermogravimetry of polyvinyl chloride. J. Polym. Eng. 2014, 34, 521–529. [Google Scholar] [CrossRef]
- European Directorate for the Quality of Medicines & HealthCare European Pharmacopoeia, 11st ed.; EU: Brussels, Belgium, 2022.
- Brown, H.R.; Musindi, G.M.; Stachurski, Z.H. Effect of plasticizer concentration and annealing on the structure of PVC. Polymer 1982, 23, 1508–1514. [Google Scholar] [CrossRef]
- Polaskova, M.; Sedlacek, T.; Kasparkova, V.; Filip, P. Substantial drop of plasticizer migration from polyvinyl chloride catheters using co-extruded thermoplastic polyurethane layers. Mater. Today Commun. 2022, 32, 103895. [Google Scholar] [CrossRef]
- Zhang, H.; Zhu, F.; Fu, Q.; Zhang, X.; Zhu, X. Mechanical properties of renewable plasticizer based on ricinoleic acid for PVC. Polym. Test. 2019, 76, 199–206. [Google Scholar] [CrossRef]
- Rafienia, M.; Zarinmehr, B.; Poursamar, S.A.; Bonakdar, S.; Ghavami, M.; Janmaleki, M. Coated urinary catheter by PEG/PVA/gentamicin with drug delivery capability against hospital infection. Iran. Polym. J. 2013, 22, 75–83. [Google Scholar] [CrossRef]
- Agwu, N.P.; Umar, A.M.; Oyibo, U.E. Urethral Catheters and Catheterization Techniques. Niger. J. Med. 2022, 31, 497–508. [Google Scholar] [CrossRef]
- Marcilla, A.; Garcia, S.; Garcia-Quesada, J.C. Migrability of PVC plasticizers. Polym. Test. 2008, 27, 221–233. [Google Scholar] [CrossRef]
- Balakit, A.A.; Ahmed, A.; El-Hiti, G.A.; Smith, K.; Yousif, E. Synthesis of new thiophene derivatives and their use as photostabilizers for rigid poly(vinyl chloride). Int. J. Polym. Sci. 2015, 2015, 510390. [Google Scholar] [CrossRef]
- Da Silva, D.J.; Gramcianinov, G.B.; Jorge, P.Z.; Malaquias, V.B.; Mori, A.A.; Hirata, M.H.; Lopes, S.A.M.; Bueno, L.A.; Champeau, M.; Carastan, D.J. PVC containing silver nanoparticles with antimicrobial properties effective against SARS-CoV-2. Front. Chem. 2023, 11, 1083399. [Google Scholar] [CrossRef]
- Coltro, L.; Pitta, J.B.; Madaleno, E. Performance evaluation of new plasticizers for stretch PVC films. Polym. Test. 2013, 32, 272–278. [Google Scholar] [CrossRef]
- Park, E.J.; Park, B.C.; Kim, Y.J.; Canlier, A.; Hwang, T.S. Elimination and Substitution Compete During Amination of Poly(vinyl chloride) with Ehtylenediamine: XPS Analysis and Approach of Active Site Index. Macromol. Res. 2018, 26, 913–923. [Google Scholar] [CrossRef]
- Tezel, U.; Pavlostathis, S.G. Transformation of benzalkonium chloride under nitrate reducing conditions. Environ. Sci. Technol. 2009, 43, 1342–1348. [Google Scholar] [CrossRef] [PubMed]
- Din, S.N.; Yusrizal, A.A.; Samsudin, D.; Hashim, F. A review on the assessment of plasticiser leaching from polyvinyl chloride and its prevention methods. Malaysian J. Chem. Eng. Technol. 2023, 6, 1–8. [Google Scholar] [CrossRef]
- Moustafa, H.; El-Wakil, A.E.A.A.; Nour, M.T.; Youssef, A.M. Kenaf fibre treatment and its impact on the static, dynamic, hydrophobicity and barrier properties of sustainable polystyrene biocomposites. RSC Adv. 2020, 10, 29296–29305. [Google Scholar] [CrossRef]
- Homola, T.; Matoušek, J.; Hergelová, B.; Kormunda, M.; Wu, L.Y.L.; Černák, M. Activation of poly(ethylene terephthalate) surfaces by atmospheric pressure plasma. Polym. Degrad. Stab. 2012, 97, 2249–2254. [Google Scholar] [CrossRef]
- Blais, P.; Carlsson, D.J.; Wiles, D.M. Surface changes during polypropylene photo-oxidation: A study by infrared spectroscopy and electron microscopy. J. Polym. Sci. Part A-1 Polym. Chem. 1972, 10, 1077–1092. [Google Scholar] [CrossRef]
- Moustafa, H.; Shemis, M.A.; Ahmed, E.M.; Isawi, H. Improvement of hybrid polyvinyl chloride/dapsone membrane using synthesized silver nanoparticles for the efficient removal of heavy metals, microorganisms, and phosphate and nitrate compounds from polluted water. RSC Adv. 2024, 14, 19680–19700. [Google Scholar] [CrossRef]
- Abdel-Monem, R.A.; Gaballah, S.T.; El-Nazer, H.A.; Rabie, S.T. In vitro antibacterial activity of maleamates functionalized-chitosan-PVC/silver nanocomposites. Egypt. J. Chem. 2020, 63, 1305–1323. [Google Scholar] [CrossRef]
- Braga, L.R.; Pérez, L.M.; Soazo, M.D.V.; Machado, F. Evaluation of the antimicrobial, antioxidant and physicochemical properties of Poly(Vinyl chloride) films containing quercetin and silver nanoparticles. LWT—Food Sci. Technol. 2019, 101, 491–498. [Google Scholar] [CrossRef]
- Mijangos, C.; Calafel, I.; Santamaría, A. Poly(vinyl chloride), a historical polymer still evolving. Polymer 2023, 266, 125610. [Google Scholar] [CrossRef]
- Tomaszewska, J.; Sterzyński, T.; Woźniak-Braszak, A.; Banaszak, M. Review of recent developments of glass transition in pvc nanocomposites. Polymers 2021, 13, 4336. [Google Scholar] [CrossRef] [PubMed]
- Kendall, M.J.; Siviour, C.R. Rate dependence of poly(vinyl chloride), the effects of plasticizer and time-temperature superposition. Proc. R. Soc. A Math. Phys. Eng. Sci. 2014, 470, 20140012. [Google Scholar] [CrossRef]
- Liao, C.; Li, Y.; Tjong, S.C. Bactericidal and cytotoxic properties of silver nanoparticles. Int. J. Mol. Sci. 2019, 20, 449. [Google Scholar] [CrossRef]
- Clérigo, F.; Ferreira, S.; Ladeira, C.; Marques-Ramos, A.; Almeida-Silva, M.; Mendes, L.A. Cytotoxicity Assessment of Nanoplastics and Plasticizers Exposure in In Vitro Lung Cell Culture Systems—A Systematic Review. Toxics 2022, 10, 402. [Google Scholar] [CrossRef]
- Arias, Y.A.M.; García, R.R.; Agudelo, M.A.G.; Marín-Pareja, N.; Orozco, C.P.O. Immobilization of silver nanoparticles at varying concentrations on segments of polyvinyl chloride manufactured endotracheal tubes. Mater. Today Commun. 2024, 41, 110109. [Google Scholar] [CrossRef]
- Li, H.; Yang, Z.; Khan, S.A.; Walsh, L.J.; Seneviratne, C.J.; Ziora, Z.M. Characteristics of Metallic Nanoparticles (Especially Silver Nanoparticles) as Anti-Biofilm Agents. Antibiotics 2024, 13, 819. [Google Scholar] [CrossRef]
- De Lacerda Coriolano, D.; de Souza, J.B.; Bueno, E.V.; Medeiros, S.M.D.F.R.D.S.; Cavalcanti, I.D.L.; Cavalcanti, I.M.F. Antibacterial and antibiofilm potential of silver nanoparticles against antibiotic-sensitive and multidrug-resistant Pseudomonas aeruginosa strains. Braz. J. Microbiol. 2021, 52, 267–278. [Google Scholar] [CrossRef]
- Burmistrov, D.E.; Simakin, A.V.; Smirnova, V.V.; Uvarov, O.V.; Ivashkin, P.I.; Kucherov, R.N.; Ivanov, V.E.; Bruskov, V.I.; Sevostyanov, M.A.; Baikin, A.S.; et al. Bacteriostatic and cytotoxic properties of composite material based on zno nanoparticles in plga obtained by low temperature method. Polymers 2022, 14, 49. [Google Scholar] [CrossRef]
- Loo, C.Y.; Young, P.M.; Lee, W.H.; Cavaliere, R.; Whitchurch, C.B.; Rohanizadeh, R. Non-cytotoxic silver nanoparticle-polyvinyl alcohol hydrogels with anti-biofilm activity: Designed as coatings for endotracheal tube materials. Biofouling 2014, 30, 773–788. [Google Scholar] [CrossRef]
- Daengngam, C.; Lethongkam, S.; Srisamran, P.; Paosen, S.; Wintachai, P.; Anantravanit, B.; Vattanavanit, V.; Voravuthikunchai, S. Green fabrication of anti-bacterial biofilm layer on endotracheal tubing using silver nanoparticles embedded in polyelectrolyte multilayered film. Mater. Sci. Eng. C 2019, 101, 53–63. [Google Scholar] [CrossRef] [PubMed]




















| Sample | PVC [g] | P1 [g] | P2 [g] | P3 [g] | ESO [g] | Ca/Zn Stearate [g] | Irganox 1076 [g] | AC [g] | AP [g] |
|---|---|---|---|---|---|---|---|---|---|
| C1 | 100 | 30 | - | - | 1.8 | 2 | 1.2 | - | - |
| C2 | 100 | 30 | - | - | 1.8 | 2 | 1.2 | 2 | - |
| C3 | 100 | 30 | - | - | 1.8 | 2 | 1.2 | - | 1 |
| C4 | 100 | - | 30 | - | 1.8 | 2 | 1.2 | - | - |
| C5 | 100 | - | 30 | - | 1.8 | 2 | 1.2 | 2 | - |
| C6 | 100 | - | 30 | - | 1.8 | 2 | 1.2 | - | 1 |
| C7 | 100 | - | - | 30 | 1.8 | 2 | 1.2 | - | - |
| C8 | 100 | - | - | 30 | 1.8 | 2 | 1.2 | 2 | - |
| C9 | 100 | - | - | 30 | 1.8 | 2 | 1.2 | - | 1 |
| Sample | Melting Temperature [°C] | Screw Speed [rpm] | Duration [min] |
|---|---|---|---|
| C1 | 170 | 75 | 10 |
| C2 | 175 | 80 | 10 |
| C3 | 176 | 78 | 10 |
| C4 | 172 | 79 | 10 |
| C5 | 175 | 81 | 10 |
| C6 | 176 | 80 | 10 |
| C7 | 173 | 75 | 10 |
| C8 | 175 | 80 | 10 |
| C9 | 176 | 78 | 10 |
| Sample | Pressing Temperature [°C] | Preheating Time [min] | Pressing Time [min] | Cooling Time [min] | Total Cycle [min] | Pressure [bar] |
|---|---|---|---|---|---|---|
| C1 | 160 | 6 | 8 | 7 | 21 | 300 |
| C2 | 165 | 6 | 8 | 7 | 21 | 300 |
| C3 | 169 | 6 | 8 | 7 | 21 | 300 |
| C4 | 173 | 6 | 8 | 7 | 21 | 300 |
| C5 | 163 | 6 | 8 | 7 | 21 | 300 |
| C6 | 167 | 6 | 8 | 7 | 21 | 300 |
| C7 | 170 | 6 | 8 | 7 | 21 | 300 |
| C8 | 174 | 6 | 8 | 7 | 21 | 300 |
| C9 | 172 | 6 | 8 | 7 | 21 | 300 |
| Sample | Relative Density [g/cm3] ISO 1183-1:2019 [55] | Water Absorption * [%] ISO 62:2008, Method 1 [54] | Plasticizer Migration ** [g] ISO 177:2016 [56] |
|---|---|---|---|
| C1 | 1.24 | 0.0005 | 0.008 |
| C2 | 1.33 | 0.0004 | 0.0078 |
| C3 | 1.35 | 0.0004 | 0.0069 |
| C4 | 1.32 | 0.0004 | 0.005 |
| C5 | 1.35 | 0.0003 | 0.0043 |
| C6 | 1.34 | 0.0002 | 0.003 |
| C7 | 1.33 | 0.0003 | 0.006 |
| C8 | 1.35 | 0.0003 | 0.0059 |
| C9 | 1.36 | 0.0002 | 0.004 |
| Sample | Tendo [°C] | Weight Temperature [°C] | Mass Loss [%] R220 °C | Mass Loss [%] R220–360 °C | Mass Loss [%] R360–640 °C | |
|---|---|---|---|---|---|---|
| T5% | T10% | |||||
| C1 | 73.4 | 253.2 | 261.8 | 1.04 | 70.43 | 29.52 |
| C2 | 73.8 | 248.6 | 259.2 | 1.87 | 67.98 | 28.41 |
| C3 | 73.5 | 253.6 | 264.1 | 1.22 | 69.74 | 29.89 |
| C4 | 74.7 | 230.3 | 245.5 | 2.89 | 67.61 | 31.52 |
| C5 | 70.8 | 231.9 | 246.8 | 3.10 | 67.85 | 28.37 |
| C6 | 73.1 | 253.6 | 264.3 | 1.26 | 69.69 | 29.82 |
| C7 | 70.3 | 247.2 | 262.8 | 1.30 | 70.35 | 30.50 |
| C8 | 74.6 | 235.8 | 256.5 | 1.29 | 68.76 | 28.76 |
| C9 | 74.9 | 241.7 | 259.3 | 1.27 | 67.89 | 29.81 |
Disclaimer/Publisher’s Note: The statements, opinions and data contained in all publications are solely those of the individual author(s) and contributor(s) and not of MDPI and/or the editor(s). MDPI and/or the editor(s) disclaim responsibility for any injury to people or property resulting from any ideas, methods, instructions or products referred to in the content. |
© 2024 by the authors. Licensee MDPI, Basel, Switzerland. This article is an open access article distributed under the terms and conditions of the Creative Commons Attribution (CC BY) license (https://creativecommons.org/licenses/by/4.0/).
Share and Cite
Deleanu, I.M.; Grosu, E.; Ficai, A.; Ditu, L.M.; Motelica, L.; Oprea, O.-C.; Gradisteanu Pircalabioru, G.; Sonmez, M.; Busuioc, C.; Ciocoiu, R.; et al. New Antimicrobial Materials Based on Plasticized Polyvinyl Chloride for Urinary Catheters: Preparation and Testing. Polymers 2024, 16, 3028. https://doi.org/10.3390/polym16213028
Deleanu IM, Grosu E, Ficai A, Ditu LM, Motelica L, Oprea O-C, Gradisteanu Pircalabioru G, Sonmez M, Busuioc C, Ciocoiu R, et al. New Antimicrobial Materials Based on Plasticized Polyvinyl Chloride for Urinary Catheters: Preparation and Testing. Polymers. 2024; 16(21):3028. https://doi.org/10.3390/polym16213028
Chicago/Turabian StyleDeleanu, Iuliana Mihaela, Elena Grosu, Anton Ficai, Lia Mara Ditu, Ludmila Motelica, Ovidiu-Cristian Oprea, Gratiela Gradisteanu Pircalabioru, Maria Sonmez, Cristina Busuioc, Robert Ciocoiu, and et al. 2024. "New Antimicrobial Materials Based on Plasticized Polyvinyl Chloride for Urinary Catheters: Preparation and Testing" Polymers 16, no. 21: 3028. https://doi.org/10.3390/polym16213028
APA StyleDeleanu, I. M., Grosu, E., Ficai, A., Ditu, L. M., Motelica, L., Oprea, O.-C., Gradisteanu Pircalabioru, G., Sonmez, M., Busuioc, C., Ciocoiu, R., & Antoniac, V. I. (2024). New Antimicrobial Materials Based on Plasticized Polyvinyl Chloride for Urinary Catheters: Preparation and Testing. Polymers, 16(21), 3028. https://doi.org/10.3390/polym16213028

