Comparative Assessment of a Light-Curable Dental Composite Reinforced with Artificial Fibers
Abstract
1. Introduction
2. Material and Methods
2.1. Strength Tests
2.2. Microscopic Structural Tests
3. Results
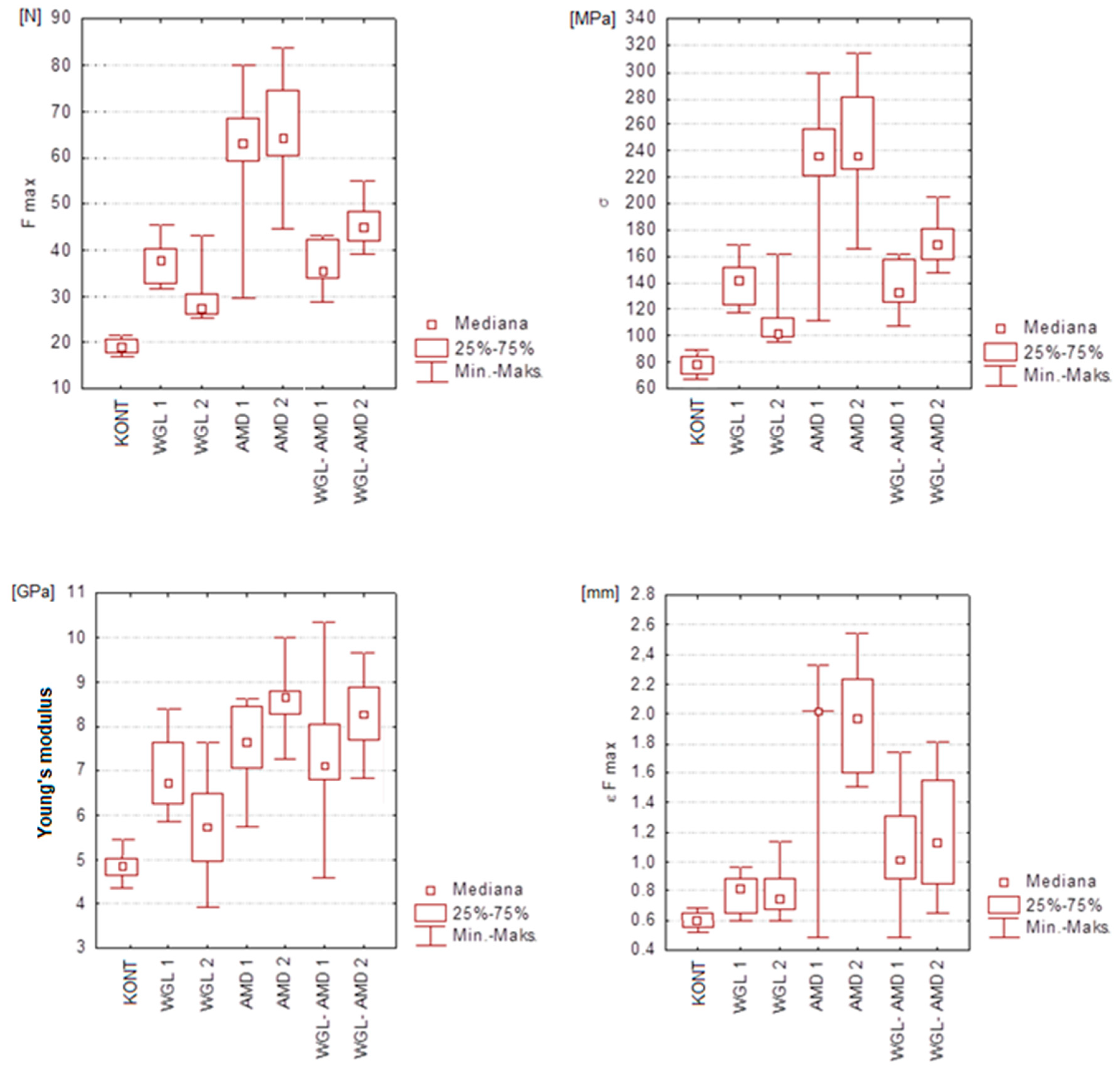
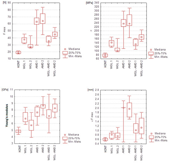
3.1. Strength Parameters
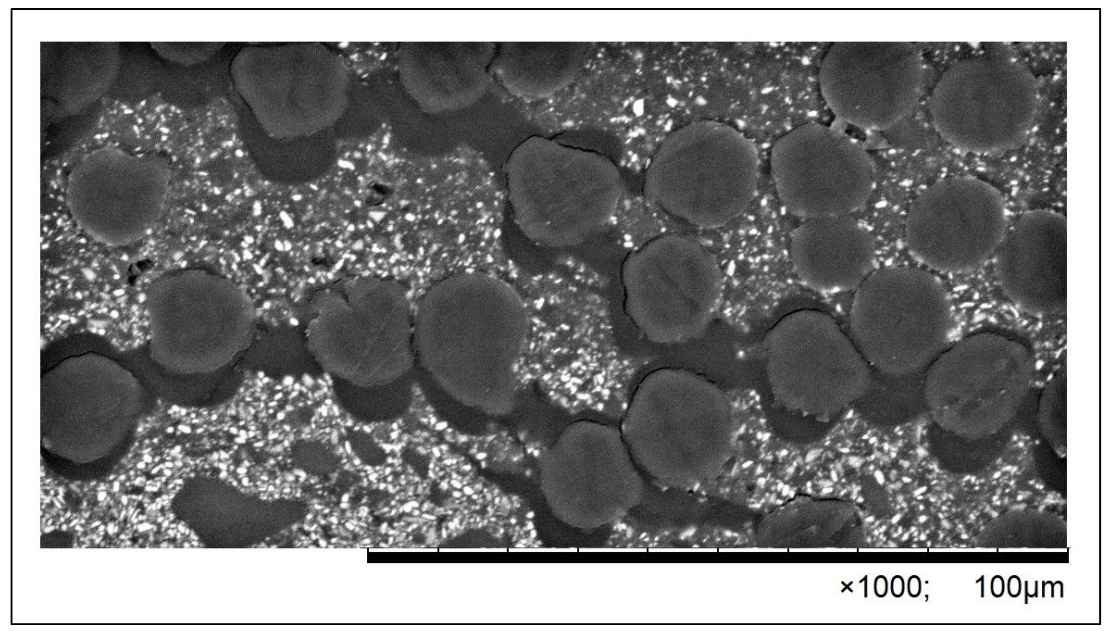
3.2. Observations with the Use of SEM
4. Discussion
Author Contributions
Funding
Institutional Review Board Statement
Data Availability Statement
Conflicts of Interest
References
- Aminoroaya, A.; Neisiany, R.E.; Khorasani, S.N.; Panahi, P.; Das, O.; Madry, H.; Cucchiarini, M.; Ramakrishna, S. A review of dental composites: Challenges, chemistry aspects, filler influences, and future insights. Compos. Part B Eng. 2021, 216, 108852. [Google Scholar] [CrossRef]
- Lempel, E.; Czibulya, Z.; Kovács, B.; Szalma, J.; Tóth, A.; Kunsági-Máté, S. Degree of conversion and BisGMA, TEGDMA, UDMA elution from flowable bulk-fill composites. Int. J. Mol. Sci. 2016, 17, 732. [Google Scholar] [CrossRef] [PubMed]
- Lempel, E.; Őri, Z.; Kincses, D.; Lovász, B.V.; Kunsági-Máté, S.; Szalma, J. Degree of conversion and in vitro temperature rise of pulp chamber during polymerization of flowable and sculptable conventional, bulk-fill and short-fibre reinforced resin composites. Dent. Mater. 2021, 6, 983–997. [Google Scholar] [CrossRef] [PubMed]
- Smith, D. Recent developments and prospects in dental polymers. J. Prosthet. Dent. 1962, 12, 1066–1078. [Google Scholar] [CrossRef]
- Schreiber, C. The clinical application of carbon fibre/polymer denture bases. Br. Dent. J. 1974, 137, 21–22. [Google Scholar] [CrossRef]
- Ladizesky, N. The integration of dental resins with highly drawn polyethylene fibres. Clin. Mater. 1990, 6, 181–192. [Google Scholar] [CrossRef]
- Ladizesky, N.; Chow, T.; Ward, I. The effect of highly drawn polyethylene fibres on the mechanical properties of denture ease resins. Clin. Mater. 1990, 6, 209–225. [Google Scholar] [CrossRef]
- Ladizesky, N.; Ho, C.; Chow, T. Reinforcement of complete denture bases with continuous high performance polyethylene fibers. J. Prosthet. Dent. 1992, 68, 934–939. [Google Scholar] [CrossRef]
- Vallittu, P.; Lassila, V. Reinforcement of acrylic resin denture base material with metal or fibre strengtheners. J. Oral Rehabil. 1992, 19, 225–230. [Google Scholar] [CrossRef]
- Scribante, A.; Vallittu, P.; Özcan, M. Fiber-Reinforced Composites for Dental Applications. Biomed. Res. Int. 2018, 2018, 4734986–4734992. [Google Scholar] [CrossRef]
- Scribante, A.; Vallittu, P.K.; Özcan, M.; Lassila, L.V.J.; Gandini, P.; Sfondrini, M.F.; Falconi, M. Travel beyond Clinical Uses of Fiber Reinforced Composites (FRCs) in Dentistry: A Review of Past Employments, Present Applications, and Future Perspectives. Biomed. Res. Int. 2018, 2018, 1498901–1498908. [Google Scholar] [CrossRef] [PubMed]
- Bienias, B.; Michalski, W.; Wagner, L. Mechanical strength assessment of aramid, glass and aramid-glass hybrid fibers reinforced dental photopolymer. Polimery 2019, 9, 39–43. [Google Scholar] [CrossRef]
- Bienias, B.; Michalski, W.; Wagner, L. Mechanical strength evaluation of poly(methyl methacrylate) reinforced with long glass, carbon and aramid fibers. Polimery 2019, 6, 27–31. [Google Scholar] [CrossRef]
- Özcan, M.; Van Der Sleen, J.M.; Kurunmäki, H.; Vallittu, P.K. Comparison of repair methods for ceramic-fused-to-metal crowns. J. Prosthodont. 2006, 15, 283–288. [Google Scholar] [CrossRef]
- Vallittu, P. Use of woven glass fibres to reinforce a composite veneer. A fracture resistance and acoustic emission study. J. Oral Rehabil. 2002, 29, 423–429. [Google Scholar] [CrossRef]
- Gibreel, M.; Lassila, L.V.; Närhi, T.O.; Perea-Lowery, L.; Vallittu, P.K. Load-bearing capacity of simulated Locator-retained overdenture system. J. Prosthet. Dent. 2018, 120, 558–564. [Google Scholar] [CrossRef]
- Gibreel, M.; Lassila, L.V.; Närhi, T.O.; Perea-Lowery, L.; Vallittu, P.K. Fatigue resistance of a simulated single LOCATOR overdenture system. J. Prosthet. Dent. 2019, 122, 557–563. [Google Scholar] [CrossRef]
- Khan, A.A.; Mohamed, B.A.; Al-Shamrani, S.S.; Ramakrishnaiah, R.; Perea-Lowery, L.; Säilynoja, E.; Vallittu, P.K. Influence of monomer systems on the bond strength between resin composites and polymerized fiber-reinforced composite upon aging. J. Adhes. Dent. 2019, 21, 509–516. [Google Scholar]
- Perrin, P.; Meyer-Lückel, H.; Wierichs, R.J. Longevity of immediate rehabilitation with direct fiber reinforced composite fixed partial dentures after up to 9 years. J. Dent. 2020, 100, 103438. [Google Scholar] [CrossRef]
- Garoushi, S.; Vallittu, P.K. Chairside fabricated fiber-reinforced composite fixed partial denture. Libyan J. Med. 2007, 2, 40–42. [Google Scholar] [CrossRef]
- Feinman, R.; Smidt, A. A combination porcelain/fiber- reinforced composite bridge: A case report. Pract. Periodontics Aesthetic Dent. 1997, 9, 925–929. [Google Scholar]
- Khan, A.A.; Zafar, M.S.; Fareed, M.A.; AlMufareh, N.A.; Alshehri, F.; AlSunbul, H.; Lassila, L.; Garoushi, S.; Vallittu, P.K. Fiber-reinforced composites in dentistry–An insight into adhesion aspects of the material and the restored tooth construct. Dent. Mater. 2023, 39, 141–151. [Google Scholar] [CrossRef]
- Mangoush, E.; Garoushi, S.; Lassila, L.; Vallittu, P.K.; Säilynoja, E. Effect of fiber reinforcement type on the performance of large posterior restorations: A review of In vitro studies. Polymers 2021, 21, 3682. [Google Scholar] [CrossRef] [PubMed]
- Ferracane, J.L. Resin composite—State of the art. Dent. Mater. 2011, 27, 29–38. [Google Scholar] [CrossRef] [PubMed]
- Kim, M.; Sung, D.H.; Kong, K.; Kim, N.; Kim, B.; Park, H.W. Characterization of resistive heating and thermoelectric behavior of discontinuous carbon fiber-epoxy composites. Compos. Part B Eng. 2016, 90, 37–44. [Google Scholar] [CrossRef]
- Peebles, L.H. Carbon fibres: Structure and mechanical properties. Int. Mater. Rev. 1988, 39, 75–92. [Google Scholar] [CrossRef]
- Xiao, H.; Lu, Y.; Zhao, W.; Qin, X. The effect of heat treatment temperature and time on the microstructure and mechanical properties of PAN-based carbon fibers. J. Mater. Sci. 2014, 49, 794–804. [Google Scholar] [CrossRef]
- Hadar, A.; Baciu, F.; Voicu, A.D.; Vlasceanu, D.; Tudose, D.I.; Adetu, C. Mechanical Characteristics Evaluation of a Single Ply and Multi-Ply Carbon Fiber-Reinforced Plastic Subjected to Tensile and Bending Loads. Polymers 2022, 14, 3213. [Google Scholar] [CrossRef]
- Pincheira, G.; Canales, C.; Medina, C.; Fernandez, E.; Flores, P. Influence of aramid fibers on the mechanical behavior of a hybrid carbon-aramid-reinforced epoxy composite. Proc. Inst. Mech. Eng. Part L J. Mater. Des. Appl. 2018, 232, 58–66. [Google Scholar] [CrossRef]
- Fok, A.S.L. Shrinkage stress development in dental composites—An analytical treatment. Dent. Mater. 2013, 29, 1108–1115. [Google Scholar] [CrossRef]
- Singh, T.J.; Samanta, S. Characterization of Kevlar Fiber and Its Composites: A Review. Mater. Today Proc. 2015, 2, 1381–1387. [Google Scholar] [CrossRef]
- Priyanka, P.; Dixit, A.; Mali, H.S. High-Strength Hybrid Textile Composites with Carbon, Kevlar, and E-Glass Fibers for Impact-Resistant Structures. A Review. Mech. Compos. Mater. 2017, 53, 685–704. [Google Scholar] [CrossRef]
- Jassal, M.; Ghosh, S. Aramid fibres—An overview. Indian J. Fibre Text. Res. 2002, 27, 290–306. [Google Scholar]
- ISO 4049:2019; Dentistry—Polymer-Based Restorative Materials. European Committee Standarization: Geneva, Switzerland, 2019.
- Saleem, M.; Zahid, S.; Ghafoor, S.; Khalid, H.; Iqbal, H.; Zeeshan, R.; Ahmad, S.; Asif, A.; Khan, A.S. Physical, mechanical, and in vitro biological analysis of bioactive fibers-based dental Composite. J. Appl. Polym. Sci. 2021, 138, 50336–50345. [Google Scholar] [CrossRef]
- Qu, Z.T.; Gao, S.S.; Zhang, Y.J.; Jia, J.H. Analysis of the Mechanical and Preforming Behaviors of Carbon-Kevlar Hybrid Woven Reinforcement. Polymers 2021, 13, 4088. [Google Scholar] [CrossRef]
- Wagih, A.; Sebaey, T.A.; Yudhanto, A.; Lubineau, G. Post-impact flexural behavior of carbon-aramid/epoxy hybrid composites. Compos. Struct. 2020, 239, 112022. [Google Scholar] [CrossRef]
- Priyanka, P.; Mali, H.S.; Dixit, A. Dynamic mechanical behaviour of kevlar and carbon-kevlar hybrid fibre reinforced polymer composites. Proc. Inst. Mech. Eng. Part C J. Mech. Eng. Sci. 2021, 235, 4181–4193. [Google Scholar] [CrossRef]
- Ertekin, M. Fiber Technology for Fiber-Reinforced Composites; Woodhead Publishing: Sawston, UK, 2017; pp. 153–167. [Google Scholar]
- Vinay, H.B.; Govindaraju, H.K.; Prashanth, B.A. Review on Investigation on the Influence of Reinforcement on Mechanical Properties of Hybrid Composites. Int. J. Pure Appl. Sci. Technol. 2014, 24, 39–48. [Google Scholar]
- Karbhari, V.M.; Strassler, H. Effect of Fiber Architecture on Flexural Characteristics and Fracture of Fiber-reinforced Dental Composites. Dent. Mater. 2006, 23, 960–968. [Google Scholar] [CrossRef]
- Callaghan, D.; Vaziri, A.; Nayeb-Hashemi, H. Effect of Fiber Volume Fraction and Length on the Wear Characteristics of Glass Fiber-reinforced Dental Composites. Dent. Mater. 2006, 22, 84–93. [Google Scholar] [CrossRef]
- Vallittu, P.K. High-aspect Ratio Fillers: Fiber-reinforced Composites and Their Anisotropic Properties. Dent. Mater. 2014, 31, 1–7. [Google Scholar] [CrossRef] [PubMed]
- Dyer, S.R.; Lassila, L.V.J.; Jokinen, M.; Vallittu, P.K. Effect of fiber position and orientation on fracture load of fiber-reinforced composite. Dent. Mater. 2004, 20, 947–955. [Google Scholar] [CrossRef] [PubMed]
- Dos Santos, L.A.; De Oliveira, L.C.; da Silva Rigo, E.C.; Carrodéguas, R.G.; Boschi, A.O.; Fonseca de Arruda, A.C. Fiber reinforced calcium phosphate cement. Artif. Organs 2000, 24, 212–216. [Google Scholar] [CrossRef]
- Karacaer, Ö.; Polat, T.N.; Tezvergıl, A.; Lassıla, L.V.; Vallıttu, P.K. The effect of length and concentration of glass fibers on the mechanical properties of an injection-and a compression-molded denture base polymer. J. Prosthet. Dent. 2003, 90, 385–393. [Google Scholar] [CrossRef]
- Shi, L.; Fok, A.S.L. Structural optimization of the fibre-reinforced composite substructure in a three-unit dental bridge. Dent. Mater. 2009, 25, 791–801. [Google Scholar] [CrossRef]
- Beyth, N.; Farah, S.; Domb, A.J.; Weiss, E.J. Antibacterial dental resin composites. React. Funct. Polym. 2014, 75, 81–88. [Google Scholar] [CrossRef]
- Huang, N.C.; Bottino, M.C.; Levon, J.A.; Chu, T.M.G. The Effect of Polymerization Methods and Fiber Types on the Mechanical Behavior of Fiber-Reinforced Resin-Based Composites. J. Prosthodont. 2017, 26, 230–237. [Google Scholar] [CrossRef]
- Jandt, K.D.; Mills, R.W. A brief history of LED photopolymerization. Dent. Mater. 2013, 29, 605–617. [Google Scholar] [CrossRef]
- Bahramian, N.; Atai, M.; Naimi-Jamal, M.R. Ultra-high-molecular-weight polyethylene fiber reinforced dental composites: Effect of fiber surface treatment on mechanical properties of the composites. Dent. Mater. 2015, 31, 1022–1029. [Google Scholar] [CrossRef]
- Peutzfeldt, A. Resin composites in dentistry: The monomer systems. Eur. J. Oral Sci. 1997, 105, 97–116. [Google Scholar] [CrossRef]
- Raszewski, Z.; Nowakowska, D. Mechanical properties of composite materials reinforced with glass fibers as related to bonding agents. Czas. Stomatol. 2010, 63, 259–266. [Google Scholar]
- Goldberg, A.J.; Burstone, C.J. The use of continuous fiber reinforcement in dentistry. Dent. Mater. 1992, 8, 197–202. [Google Scholar] [CrossRef]




| Fiber | Carbon Fiber | Aramid Fiber |
|---|---|---|
| Manufacturer | TORAY 3K | Kevlar DuPont |
| Composition, wt % | C (99 wt%), other (1 wt%) | Poly(p-phenylene terephthalamide) |
| Basis weight *, g/m2 | 240 | 200 |
| Diameter of elementary fiber, µm | ≈10 | ≈15 |
| Roving linear mass, tex | 240 | 200 |
| Poisson number | 0.31 | 0.36 |
Disclaimer/Publisher’s Note: The statements, opinions and data contained in all publications are solely those of the individual author(s) and contributor(s) and not of MDPI and/or the editor(s). MDPI and/or the editor(s) disclaim responsibility for any injury to people or property resulting from any ideas, methods, instructions or products referred to in the content. |
© 2024 by the authors. Licensee MDPI, Basel, Switzerland. This article is an open access article distributed under the terms and conditions of the Creative Commons Attribution (CC BY) license (https://creativecommons.org/licenses/by/4.0/).
Share and Cite
Bienias, B.; Kostrzewa-Janicka, J.; Wróbel-Bednarz, K.; Strużycka, I. Comparative Assessment of a Light-Curable Dental Composite Reinforced with Artificial Fibers. Polymers 2024, 16, 2970. https://doi.org/10.3390/polym16212970
Bienias B, Kostrzewa-Janicka J, Wróbel-Bednarz K, Strużycka I. Comparative Assessment of a Light-Curable Dental Composite Reinforced with Artificial Fibers. Polymers. 2024; 16(21):2970. https://doi.org/10.3390/polym16212970
Chicago/Turabian StyleBienias, Bartosz, Jolanta Kostrzewa-Janicka, Kamila Wróbel-Bednarz, and Izabela Strużycka. 2024. "Comparative Assessment of a Light-Curable Dental Composite Reinforced with Artificial Fibers" Polymers 16, no. 21: 2970. https://doi.org/10.3390/polym16212970
APA StyleBienias, B., Kostrzewa-Janicka, J., Wróbel-Bednarz, K., & Strużycka, I. (2024). Comparative Assessment of a Light-Curable Dental Composite Reinforced with Artificial Fibers. Polymers, 16(21), 2970. https://doi.org/10.3390/polym16212970

