Green Recycling of Carbon/Carbon Composites by Solid-State Shear Milling Technology as a Polyamide Multi-Functional Modifier
Abstract
1. Introduction
2. Materials and Methods
2.1. Materials
2.2. Preparation of Composite Materials
2.3. Characterization
3. Results and Discussion
3.1. The Crushing Mechanism and Disposal Procedure of S3M
3.2. Crystallization and Thermal Stability of PA6/CFCM Composites
3.3. Morphology and Friction Properties of the Composites
3.4. Mechanical Properties of Composites
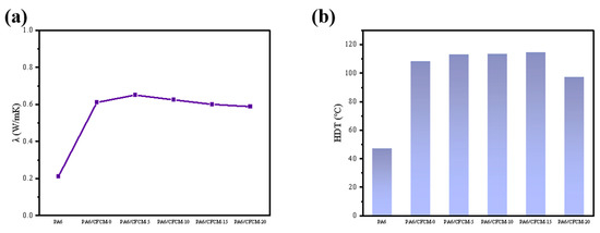
3.5. The Thermal Conductivity Coefficient and Thermal Deformation Temperature of Composites
4. Conclusions
Author Contributions
Funding
Data Availability Statement
Acknowledgments
Conflicts of Interest
References
- Yuan, G.M.; Li, Y.; Long, X.Y.; Cui, Z.W.; Dong, Z.J.; Cong, Y.; Zhang, J.; Li, X.K. Tuning anisotropic thermal conductivity of unidirectional carbon/carbon composites by incorporating carbonaceous fillers. J. Mater. Sci. 2020, 55, 5079–5098. [Google Scholar] [CrossRef]
- Yang, J.; Ai, Y.; Lv, X.; Qi, Z.; Jiao, J. Fabrication of C/C-SiC composites using high-char-yield resin. Int. J. Appl. Ceram. Technol. 2021, 18, 449–456. [Google Scholar] [CrossRef]
- Zambrzycki, M.; Wielowski, R.; Gubernat, M.; Jantas, D.; Paczosa-Bator, B.; Fraczek-Szczypta, A. The impact of chemical functionalization of carbon nanotubes on the electrochemical performance of carbon fiber/pyrocarbon/carbon nanotube composites as potential materials for electrodes for nerve cell stimulation. Appl. Surf. Sci. 2024, 670, 160713. [Google Scholar] [CrossRef]
- Marinković, S.; Dimitruević, S. Carbon/carbon composites prepared by chemical vapour deposition. Carbon 1985, 23, 691–699. [Google Scholar] [CrossRef]
- Lee, K.-J.; Lee, M.-C.; Shih, Y.-H.; Lin, H.-Y. Doping Effects of Carbon Nanotubes and Graphene on the Flexural Properties and Tribological Performance of Needle-Punched Carbon/Carbon Composites Prepared by Liquid-Phase Impregnation. Nanomaterials 2023, 13, 2686. [Google Scholar] [CrossRef]
- Blanco, C.; Bermejo, J.; Marsh, H.; Menendez, R. Chemical and physical properties of carbon as related to brake performance. Wear 1997, 213, 1–12. [Google Scholar] [CrossRef]
- Muhammed, F.; Lavaggi, T.; Advani, S.; Mirotznik, M.; Gillespie, J.W., Jr. Influence of material and process parameters on microstructure evolution during the fabrication of carbon-carbon composites: A review. J. Mater. Sci. 2021, 56, 17877–17914. [Google Scholar] [CrossRef]
- Zou, J.; Zeng, X.; Li, X.; Xiong, X.; Xie, S.; Qian, H.J.M.T. Influence of gas partial pressure on density and texture of carbon/carbon composite fabrication by microwave pyrolysis chemical vapour infiltration. Mater. Technol. 2010, 25, 45–48. [Google Scholar] [CrossRef]
- Yang, W.; Luo, R.-Y.; Hou, Z.-H.; Zhang, Y.; Shang, H.-D.; Hao, M.-Y. Influence of the microstructure of the carbon matrices on the internal friction behavior of carbon/carbon composites. New Carbon Mater. 2016, 31, 159–166. [Google Scholar] [CrossRef]
- Sinitsin, A.N.; Zuev, V.V. Effect of fulleroid materials on the mechanical and tribological properties and dielectric relaxation of polyamide 6 nanocomposites. Polym. Adv. Technol. 2017, 28, 986–993. [Google Scholar] [CrossRef]
- Yin, X.; Zhang, X.; Liu, H.; Fu, Q.; Li, H. Novel Structural Design Strategies in Ceramic-Modified C/C Composites. Acc. Mater. Res. 2023, 4, 1095–1107. [Google Scholar] [CrossRef]
- Shu, J.; Liao, W.; Zheng, K.; Abd Elbadia, T. Effect of rotary ultrasonic machining on surface structure and ablation resistance of C/C composite. Ceram. Int. 2022, 48, 18246–18256. [Google Scholar] [CrossRef]
- Valinejad Qanati, M.; Rasooli, A. The effect of carbonization maximum temperature on the braking performance of the novalac-based carbon/carbon composite. Theor. Appl. Fract. Mech. 2023, 127, 104109. [Google Scholar] [CrossRef]
- Yang, S.; Bai, S.; Duan, W.; Wang, Q. Engineering, Production of value-added composites from aluminum–plastic package waste via solid-state shear milling process. ACS Sustain. Chem. Eng. 2018, 6, 4282–4293. [Google Scholar] [CrossRef]
- Hutton, T.J.; McEnaney, B.; Crelling, J.C. Structural studies of wear debris from carbon-carbon composite aircraft brakes. Carbon 1999, 37, 907–916. [Google Scholar] [CrossRef]
- Windhorst, T.; Blount, G. Carbon-carbon composites: A summary of recent developments and applications. Mater. Des. 1997, 18, 11–15. [Google Scholar] [CrossRef]
- Feng, S.; Zhou, X.; Yang, S.; Tan, J.; Chen, M.; Chen, Y.; Zhang, H.; Zhu, X.; Wu, S.; Gu, H.J.P. Preparation of Polyoxymethylene/Exfoliated Molybdenum Disulfide Nanocomposite through Solid-State Shear Milling. Polymers 2024, 16, 1334. [Google Scholar] [CrossRef]
- Guo, W.; Liu, Z.; Yang, S.; Li, L. Engineering, Fabrication of Sustainable Composite Foam from Ethylene Vinyl Acetate-Based Sole Waste via Solid-State Shear Milling and Supercritical Carbon Dioxide Foaming Technologies. ACS Sustain. Chem. Eng. 2023, 11, 13918–13927. [Google Scholar] [CrossRef]
- Shao, W.; Wang, Q.; Wang, F.; Chen, Y. The cutting of multi-walled carbon nanotubes and their strong interfacial interaction with polyamide 6 in the solid state. Carbon 2006, 44, 2708–2714. [Google Scholar] [CrossRef]
- Myalski, J.; Godzierz, M.; Olesik, P.J.P. Effect of carbon fillers on the wear resistance of pa6 thermoplastic composites. Polymers 2020, 12, 2264. [Google Scholar] [CrossRef]
- Chen, J.; Zhu, J.; Li, Q.; Wu, H.; Guo, S.; Qiu, J. Constructing 3D interconnected CNTs network in PA6 composites with well-dispersed UHMWPE for excellent tribological and heat dissipation properties. Compos. Part B Eng. 2022, 246, 110252. [Google Scholar] [CrossRef]
- Ghanta, T.S.; Aparna, S.; Verma, N.; Purnima, D. Review on nano-and microfiller-based polyamide 6 hybrid composite: Effect on mechanical properties and morphology. Polym. Eng. Sci. 2020, 60, 1717–1759. [Google Scholar] [CrossRef]
- Kumar, S.S.; Kanagaraj, G. Investigation on Mechanical and Tribological Behaviors of PA6 and Graphite-Reinforced PA6 Polymer Composites. Arab. J. Sci. Eng. 2016, 41, 4347–4357. [Google Scholar] [CrossRef]
- Chen, H.; Cai, Q.; Wu, J.; Xia, X.; Liu, H.; Luo, Z. Interfacial enhancement of carbon fiber/nylon 12 composites by grafting nylon 6 to the surface of carbon fiber. Appl. Surf. Sci. 2018, 441, 538–545. [Google Scholar]
- Zhang, J.; Du, Z.; Zou, W.; Li, H.; Zhang, C. MgO nanoparticles-decorated carbon fibers hybrid for improving thermal conductive and electrical insulating properties of Nylon 6 composite. Compos. Sci. Technol. 2017, 148, 1–8. [Google Scholar] [CrossRef]
- Man, Z.; Wang, H.; He, Q.; Kim, D.-E.; Chang, L. Friction and wear behaviour of additively manufactured continuous carbon fibre reinforced PA6 composites. Compos. Part B Eng. 2021, 226, 109332. [Google Scholar] [CrossRef]
- Chen, S.; Cai, L.; Duan, Y.; Jing, X.; Zhang, C.; Xie, F. Performance enhancement of 3D-printed carbon fiber-reinforced nylon 6 composites. Polym. Compos. 2024, 45, 5754–5772. [Google Scholar] [CrossRef]
- Li, Q.; Rao, R.; Hong, X.; Hu, H.; Li, Y.; Gong, Z.; Zheng, Y. Thermal conductive nylon 6 composites using hybrid fillers to construct a three-dimensional thermal conductive network. Polym. Compos. 2024, 45, 6169–6183. [Google Scholar] [CrossRef]
- Liao, Y.; Chen, C.; Wei, B.; Yang, S.; Bai, S. Green recycling of aramid fiber waste as the friction modifier of POM by solid state shear milling technology. Polym. Adv. Technol. 2022, 33, 3540–3550. [Google Scholar] [CrossRef]
- ASTM D638-10; Standard Test Method for Tensile Properties of Plastics. American Society for Materials and Testing: West Conshohocken, PA, USA, 2010.
- ASTM D790-10; Standard Test Method for Tensile Properties of Plastics. American Society for Materials and Testing: West Conshohocken, PA, USA, 2010.
- ASTM D6110-2010; Standard Test Method for Tensile Properties of Plastics. American Society for Materials and Testing: West Conshohocken, PA, USA, 2010.
- Wang, S.; Chen, Z.-H.; Ma, W.-J.; Ma, Q.-S. Influence of heat treatment on physical–chemical properties of PAN-based carbon fiber. Ceram. Int. 2006, 32, 291–295. [Google Scholar] [CrossRef]
- Xu, X.; Wang, Q.; Kong, X.; Zhang, X.; Huang, J. Pan mill type equipment designed for polymer stress reactions: Theoretical analysis of structure and milling process of equipment. Plast. Rubber Compos. Process. Appl. 1996, 25, 152–158. [Google Scholar]
- Yang, S.; Zhong, F.; Wang, M.; Bai, S.; Wang, Q. Recycling of automotive shredder residue by solid state shear milling technology. J. Ind. Eng. Chem. 2018, 57, 143–153. [Google Scholar] [CrossRef]
- Wang, X.; Yang, S.; Wang, Q. The experiment and simulation of enhanced mechanical performance for polyethylene terephthalate/high-density polyethylene composites via domain size control. Polym. Adv. Technol. 2023, 34, 3356–3369. [Google Scholar] [CrossRef]
- Naito, K. Stress analysis and fracture toughness of notched polyacrylonitrile (PAN)-based and pitch-based single carbon fibers. Carbon 2018, 126, 346–359. [Google Scholar] [CrossRef]
- Duan, S.; Liu, F.; Pettersson, T.; Creighton, C.; Asp, L.E. Determination of transverse and shear moduli of single carbon fibres. Carbon 2020, 158, 772–782. [Google Scholar] [CrossRef]
- Chen, H.; Yu, F.; Wang, B.; Zhao, C.; Chen, X.; Nsengiyumva, W.; Zhong, S. Elastic Fibre Prestressing Mechanics within a Polymeric Matrix Composite. Polymers 2023, 15, 431. [Google Scholar] [CrossRef]
- Venkateshwaran, N.; ElayaPerumal, A.; Alavudeen, A.; Thiruchitrambalam, M. Mechanical and water absorption behaviour of banana/sisal reinforced hybrid composites. Mater. Des. 2011, 32, 4017–4021. [Google Scholar] [CrossRef]
- Li, W.; He, X.; Zuo, Y.; Wang, S.; Wu, Y. Study on the compatible interface of bamboo fiber/polylactic acid composites by in-situ solid phase grafting. Int. J. Biol. Macromol. 2019, 141, 325–332. [Google Scholar] [CrossRef]
- Chen, J.; Zhu, J.; Wu, H.; Guo, S.; Qiu, J. Constructing highly aligned crystalline structure to enhance sliding wear performance of bulk polyamide 6. Polymer 2021, 237, 124353. [Google Scholar] [CrossRef]
- Jeong, N.; Cho, D. Effect of Fiber Side-Feeding on Various Properties of Nickel-Coated Carbon-Fiber-Reinforced Polyamide 6 Composites Prepared by a Twin-Screw Extrusion Process. J. Compos. Sci. 2023, 7, 68. [Google Scholar] [CrossRef]
- Hwang, D.; Cho, D. Fiber aspect ratio effect on mechanical and thermal properties of carbon fiber/ABS composites via extrusion and long fiber thermoplastic processes. J. Ind. Eng. Chem. 2019, 80, 335–344. [Google Scholar] [CrossRef]






| PA6 | PA6/CFCM-0 | PA6/CFCM-5 | PA6/CFCM-10 | PA6/CFCM-15 | PA6/CFCM-20 | |
|---|---|---|---|---|---|---|
| ΔHm (J/g) | 58.01 | 57.46 | 57.14 | 57.15 | 56.94 | 51.35 |
| ΔHc (J/g) | 74.35 | 61.01 | 62.08 | 56.59 | 57.75 | 48.45 |
| χc % | 30.53 | 43.20 | 42.96 | 42.97 | 42.81 | 38.61 |
| Tg (°C) | 106.31 | 104.27 | 105.60 | 105.39 | 104.27 | 104.01 |
| Tm (°C) | 222.63 | 221.16 | 220.57 | 221.25 | 221.59 | 221.09 |
| Tc (°C) | 191.46 | 196.10 | 196.41 | 196.70 | 195.66 | 196.91 |
Disclaimer/Publisher’s Note: The statements, opinions and data contained in all publications are solely those of the individual author(s) and contributor(s) and not of MDPI and/or the editor(s). MDPI and/or the editor(s) disclaim responsibility for any injury to people or property resulting from any ideas, methods, instructions or products referred to in the content. |
© 2024 by the authors. Licensee MDPI, Basel, Switzerland. This article is an open access article distributed under the terms and conditions of the Creative Commons Attribution (CC BY) license (https://creativecommons.org/licenses/by/4.0/).
Share and Cite
Tan, Q.; Lai, S.; Xue, L.; Liu, H.; Bai, S. Green Recycling of Carbon/Carbon Composites by Solid-State Shear Milling Technology as a Polyamide Multi-Functional Modifier. Polymers 2024, 16, 2962. https://doi.org/10.3390/polym16212962
Tan Q, Lai S, Xue L, Liu H, Bai S. Green Recycling of Carbon/Carbon Composites by Solid-State Shear Milling Technology as a Polyamide Multi-Functional Modifier. Polymers. 2024; 16(21):2962. https://doi.org/10.3390/polym16212962
Chicago/Turabian StyleTan, Qianyue, Shuangxin Lai, Liang Xue, Haiping Liu, and Shibing Bai. 2024. "Green Recycling of Carbon/Carbon Composites by Solid-State Shear Milling Technology as a Polyamide Multi-Functional Modifier" Polymers 16, no. 21: 2962. https://doi.org/10.3390/polym16212962
APA StyleTan, Q., Lai, S., Xue, L., Liu, H., & Bai, S. (2024). Green Recycling of Carbon/Carbon Composites by Solid-State Shear Milling Technology as a Polyamide Multi-Functional Modifier. Polymers, 16(21), 2962. https://doi.org/10.3390/polym16212962
