Comparative Study of Polymer of Intrinsic Microporosity-Derivative Polymers in Pervaporation and Water Vapor Permeance Applications
Abstract
1. Introduction
2. Materials and Methods
2.1. Materials
2.2. Synthesis of Polymers
2.2.1. PIM-1 Synthesis
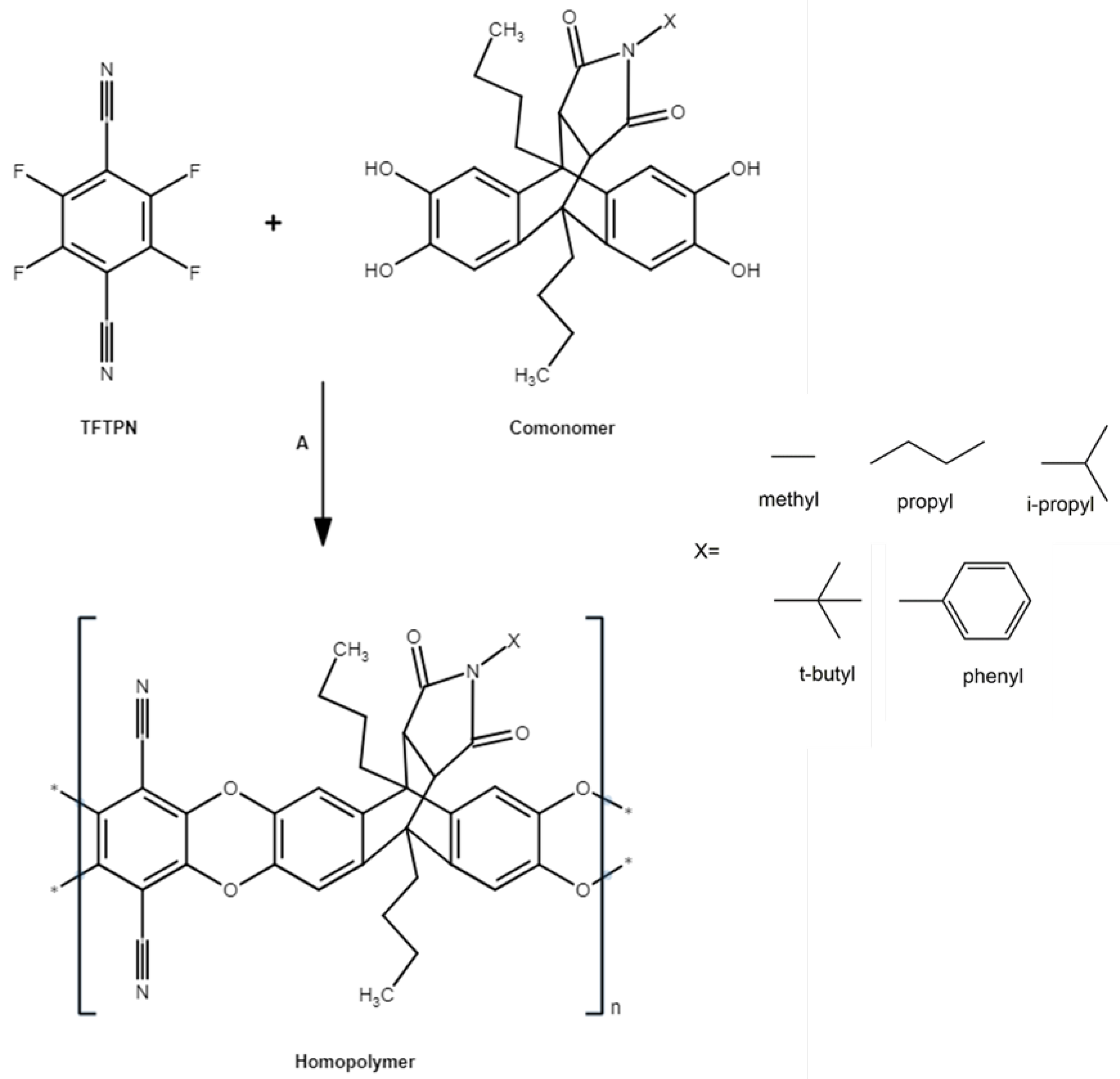
2.2.2. Synthesis of Homopolymers
2.3. Preparation of Thin-Film Composite (TFC) Membranes
2.4. Characterization Methods
2.4.1. Size Exclusion Chromatography (SEC)
2.4.2. Gas and Water Vapor Permeance Measurements: “Pressure Increase” Method
2.4.3. Water Vapor Permeance Measurement: Pervaporation Method
3. Result and Discussion
3.1. Membrane Formation
3.2. Transport Properties of TFC Membranes
3.2.1. Gas and Water Vapor Permeances by “Pressure Increase” Method
3.2.2. Vapor Activity
3.2.3. Water Permeance Measurement by Pervaporation Method
4. Conclusions
Supplementary Materials
Author Contributions
Funding
Institutional Review Board Statement
Data Availability Statement
Acknowledgments
Conflicts of Interest
References
- Obringer, R.; Nateghi, R.; Knee, J.; Madani, K.; Kumar, R. Urban water and electricity demand data for understanding climate change impacts on the water-energy nexus. Sci. Data 2024, 11, 108. [Google Scholar] [CrossRef] [PubMed]
- He, C.; Liu, Z.; Wu, J.; Pan, X.; Fang, Z.; Li, J.; Bryan, B.A. Future global urban water scarcity and potential solutions. Nat. Commun. 2021, 12, 4667. [Google Scholar] [CrossRef] [PubMed]
- Shannon, M.A.; Bohn, P.W.; Elimelech, M.; Georgiadis, J.G.; Marinas, B.J.; Mayes, A.M. Science and technology for water purification in the coming decades. Nature 2008, 452, 301–310. [Google Scholar] [CrossRef] [PubMed]
- Shehata, N.; Egirani, D.; Olabi, A.G.; Inayat, A.; Abdelkareem, M.A.; Chae, K.J.; Sayed, E.T. Membrane-based water and wastewater treatment technologies: Issues, current trends, challenges, and role in achieving sustainable development goals, and circular economy. Chemosphere 2023, 320, 137993. [Google Scholar] [CrossRef]
- Issaoui, M.; Jellali, S.; Zorpas, A.A.; Dutournie, P. Membrane technology for sustainable water resources management: Challenges and future projections. Sustain. Chem. Pharm. 2022, 25, 100590. [Google Scholar] [CrossRef]
- Obotey Ezugbe, E.; Rathilal, S. Membrane Technologies in Wastewater Treatment: A Review. Membranes 2020, 10, 89. [Google Scholar] [CrossRef]
- Sayed, E.T.; Olabi, A.G.; Elsaid, K.; Al Radi, M.; Alqadi, R.; Ali Abdelkareem, M. Recent progress in renewable energy based-desalination in the Middle East and North Africa MENA region. J. Adv. Res. 2023, 48, 125–156. [Google Scholar] [CrossRef]
- Deshmukh, A.; Boo, C.; Karanikola, V.; Lin, S.; Straub, A.P.; Tong, T.; Warsinger, D.M.; Elimelech, M. Membrane distillation at the water-energy nexus: Limits, opportunities, and challenges. Energy Environ. Sci. 2018, 11, 1177–1196. [Google Scholar] [CrossRef]
- Zhang, H.; Xian, H. Review of Hybrid Membrane Distillation Systems. Membranes 2024, 14, 25. [Google Scholar] [CrossRef]
- Hussain, A.; Janson, A.; Matar, J.M.; Adham, S. Membrane distillation: Recent technological developments and advancements in membrane materials. Emergent Mater. 2021, 5, 347–367. [Google Scholar] [CrossRef]
- Ngo, M.T.T.; Diep, B.Q.; Sano, H.; Nishimura, Y.; Boivin, S.; Kodamatani, H.; Takeuchi, H.; Sakti, S.C.W.; Fujioka, T. Membrane distillation for achieving high water recovery for potable water reuse. Chemosphere 2022, 288, 132610. [Google Scholar] [CrossRef] [PubMed]
- Zhang, H.; Zhao, X. Enhanced Anti-Wetting Methods of Hydrophobic Membrane for Membrane Distillation. Adv. Sci. 2023, 10, e2300598. [Google Scholar] [CrossRef] [PubMed]
- McKeown, N.B. Polymers of Intrinsic Microporosity (PIMs). Polymer 2020, 202, 122736. [Google Scholar] [CrossRef]
- Aloraini, S.; Mathias, M.; Crone, J.; Bryce, K.; Yu, M.; Kirk, R.A.; Ahmad, M.Z.; Asuquo, E.D.; Rico-Martinez, S.; Volkov, A.V.; et al. Crosslinking of Branched PIM-1 and PIM-Py Membranes for Recovery of Toluene from Dimethyl Sulfoxide by Pervaporation. ACS Appl. Polym. Mater. 2023, 5, 1145–1158. [Google Scholar] [CrossRef]
- Qiu, B.; Alberto, M.; Mohsenpour, S.; Foster, A.B.; Ding, S.; Guo, Z.; Xu, S.; Holmes, S.M.; Budd, P.M.; Fan, X.; et al. Thin film nanocomposite membranes of PIM-1 and graphene oxide/ZIF-8 nanohybrids for organophilic pervaporation. Sep. Purif. Technol. 2022, 299, 121693. [Google Scholar] [CrossRef]
- Butt, T.H.; Tamime, R.; Budd, P.M.; Harrison, W.J.; Shamair, Z.; Khan, A.L. Enhancing the organophilic separations with mixed matrix membranes of PIM-1 and bimetallic Zn/Co-ZIF filler. Sep. Purif. Technol. 2022, 283, 120216. [Google Scholar] [CrossRef]
- Kim, H.J.; Kim, D.G.; Lee, K.; Baek, Y.; Yoo, Y.; Kim, Y.S.; Kim, B.G.; Lee, J.C. A Carbonaceous Membrane based on a Polymer of Intrinsic Microporosity (PIM-1) for Water Treatment. Sci. Rep. 2016, 6, 36078. [Google Scholar] [CrossRef]
- Jeon, J.W.; Kim, H.J.; Jung, K.H.; Lee, J.; Kim, Y.S.; Kim, B.G.; Lee, J.C. Carbonization of Carboxylate-Functionalized Polymers of Intrinsic Microporosity for Water Treatment. Macromol. Chem. Phys. 2020, 221, 1900532. [Google Scholar] [CrossRef]
- Caliskan, E.; Shishatskiy, S.; Abetz, V.; Filiz, V. Pioneering the preparation of porous PIM-1 membranes for enhanced water vapor flow. RSC Adv. 2024, 14, 9631–9645. [Google Scholar] [CrossRef]
- Caliskan, E.; Shishatskiy, S.; Neumann, S.; Abetz, V.; Filiz, V. Investigation of the Side Chain Effect on Gas and Water Vapor Transport Properties of Anthracene-Maleimide Based Polymers of Intrinsic Microporosity. Polymers 2021, 14, 119. [Google Scholar] [CrossRef]
- Kujawska, A.; Knozowska, K.; Kujawa, J.; Kujawski, W. Influence of downstream pressure on pervaporation properties of PDMS and POMS based membranes. Sep. Purif. Technol. 2016, 159, 68–80. [Google Scholar] [CrossRef]
- Silva, R.d.S.; Cavalcanti, C.D.Á.K.; Valle, R.d.C.S.C.; Machado, R.A.F.; Marangoni, C. Understanding the effects of operational conditions on the membrane distillation process applied to the recovery of water from textile effluents. Process Saf. Environ. Prot. 2021, 145, 285–292. [Google Scholar] [CrossRef]
- Du, N.; Song, J.; Robertson, G.P.; Pinnau, I.; Guiver, M.D. Linear High Molecular Weight Ladder Polymer via Fast Polycondensation of 5,5′,6,6′-Tetrahydroxy-3,3,3′,3′-tetramethylspirobisindane with 1,4-Dicyanotetrafluorobenzene. Macromol. Rapid Commun. 2008, 29, 783–788. [Google Scholar] [CrossRef]
- Grünauer, J.; Filiz, V.; Shishatskiy, S.; Abetz, C.; Abetz, V. Scalable application of thin film coating techniques for supported liquid membranes for gas separation made from ionic liquids. J. Membr. Sci. 2016, 518, 178–191. [Google Scholar] [CrossRef]
- Jan Roman, P.; Detlev, F.; Thomas, K.; Klaus-Viktor, P. Gas permeation measurement under defined humidity via constant volume/variable pressure method. J. Membr. Sci. 2012, 389, 343–348. [Google Scholar] [CrossRef]
- Lillepärg, J.; Georgopanos, P.; Emmler, T.; Shishatskiy, S. Effect of the reactive amino and glycidyl ether terminated polyethylene oxide additives on the gas transport properties of Pebax® bulk and thin film composite membranes. RSC Adv. 2016, 6, 11763–11772. [Google Scholar] [CrossRef]
- Lilleparg, J.; Sperling, E.; Blanke, M.; Held, M.; Shishatskiy, S. Multicomponent Network Formation in Selective Layer of Composite Membrane for CO2 Separation. Membranes 2021, 11, 174. [Google Scholar] [CrossRef]
- Feng, X.; Huang, R.Y.M. Liquid Separation by Membrane Pervaporation: A Review. Ind. Eng. Chem. Res. 1997, 36, 1048–1066. [Google Scholar] [CrossRef]
- Davis, E.M.; Elabd, Y.A. Water clustering in glassy polymers. J. Phys. Chem. B 2013, 117, 10629–10640. [Google Scholar] [CrossRef]
- Barrie, J.A.; Platt, B. The diffusion and clustering of water vapour in polymers. Polymer 1963, 4, 303–313. [Google Scholar] [CrossRef]
- Mehio, N.; Dai, S.; Jiang, D.-e. Quantum Mechanical Basis for Kinetic Diameters of Small Gaseous Molecules. J. Phys. Chem. A 2014, 118, 1150–1154. [Google Scholar] [CrossRef] [PubMed]
- Calle, M.; Lozano, A.E.; de Abajo, J.; de la Campa, J.G.; Álvarez, C. Design of gas separation membranes derived of rigid aromatic polyimides. 1. Polymers from diamines containing di-tert-butyl side groups. J. Membr. Sci. 2010, 365, 145–153. [Google Scholar] [CrossRef]
- Yampolksii, Y.P.; Banerjee, S. Effects of Bulky Substituents on Transport Properties of Membrane Gas Separation Materials. Pet. Chem. 2018, 57, 1195–1206. [Google Scholar] [CrossRef]
- Swaidan, R.; Ghanem, B.; Litwiller, E.; Pinnau, I. Physical Aging, Plasticization and Their Effects on Gas Permeation in “Rigid” Polymers of Intrinsic Microporosity. Macromolecules 2015, 48, 6553–6561. [Google Scholar] [CrossRef]
- Guan, L.; Xu, H.; Huang, D. The investigation on states of water in different hydrophilic polymers by DSC and FTIR. J. Polym. Res. 2011, 18, 681–689. [Google Scholar] [CrossRef]
- Levitt, M.; Perutz, M.F. Aromatic rings act as hydrogen bond acceptors. J. Mol. Biol. 1988, 201, 751–754. [Google Scholar] [CrossRef]
- Vojislavljević, D.Z.; Janjić, G.V.; Ninković, D.B.; Kapor, A.; Zarić, S.D. The influence of water molecule coordination onto the water–aromatic interaction. Strong interactions of water coordinating to a metal ion. CrystEngComm 2013, 15, 2099–2105. [Google Scholar] [CrossRef]
- Rahman, M.M.; Abetz, C.; Shishatskiy, S.; Martin, J.; Muller, A.J.; Abetz, V. CO2 Selective PolyActive Membrane: Thermal Transitions and Gas Permeance as a Function of Thickness. ACS Appl. Mater. Interfaces 2018, 10, 26733–26744. [Google Scholar] [CrossRef]
- Wang, H.; Chung, T.-S.; Paul, D.R. Physical aging and plasticization of thick and thin films of the thermally rearranged ortho-functional polyimide 6FDA–HAB. J. Membr. Sci. 2014, 458, 27–35. [Google Scholar] [CrossRef]
- Merrick, M.M.; Sujanani, R.; Freeman, B.D. Glassy polymers: Historical findings, membrane applications, and unresolved questions regarding physical aging. Polymer 2020, 211, 123176. [Google Scholar] [CrossRef]
- Hinds, B.J.; Chopra, N.; Rantell, T.; Andrews, R.; Gavalas, V.; Bachas, L.G. Aligned multiwalled carbon nanotube membranes. Science 2004, 303, 62–65. [Google Scholar] [CrossRef] [PubMed]
- Hinds, B. Dramatic transport properties of carbon nanotube membranes for a robust protein channel mimetic platform. Curr. Opin. Solid State Mater. Sci. 2012, 16, 1–9. [Google Scholar] [CrossRef]
- Fang, S.M.; Stern, S.A.; Frisch, H.L. A “free volume” model of permeation of gas and liquid mixtures through polymeric membranes. Chem. Eng. Sci. 1975, 30, 773–780. [Google Scholar] [CrossRef]
- Yu, M.; Funke, H.H.; Falconer, J.L.; Noble, R.D. Gated Ion Transport through Dense Carbon Nanotube Membranes. J. Am. Chem. Soc. 2010, 132, 8285–8290. [Google Scholar] [CrossRef]
- Park, H.B.; Jung, C.H.; Lee, Y.M.; Hill, A.J.; Pas, S.J.; Mudie, S.T.; Van Wagner, E.; Freeman, B.D.; Cookson, D.J. Polymers with cavities tuned for fast selective transport of small molecules and ions. Science 2007, 318, 254–258. [Google Scholar] [CrossRef]
- Jansen, J.C.; Friess, K.; Drioli, E. Organic vapour transport in glassy perfluoropolymer membranes: A simple semi-quantitative approach to analyze clustering phenomena by time lag measurements. J. Membr. Sci. 2011, 367, 141–151. [Google Scholar] [CrossRef]
- Metz, S.; Ven, W.; Mulder, M.; Wessling, M. Mixed gas water vapor/N transport in poly(ethylene oxide) poly(butylene terephthalate) block copolymers. J. Membr. Sci. 2005, 266, 51–61. [Google Scholar] [CrossRef]
- McCaig, M.S.; Paul, D.R. Effect of film thickness on the changes in gas permeability of a glassy polyarylate due to physical agingPart I. Experimental observations. Polymer 2000, 41, 629–637. [Google Scholar] [CrossRef]
- McCaig, M.S.; Paul, D.R.; Barlow, J.W. Effect of film thickness on the changes in gas permeability of a glassy polyarylate due to physical agingPart II. Mathematical model. Polymer 2000, 41, 639–648. [Google Scholar] [CrossRef]







| TFC Membranes | Water Flux (g) | Pervaporation Permeance m3(STP)/m2 × h × bar | “Pressure Increase” Permeance m3(STP)/m2 × h × bar |
|---|---|---|---|
| PIM-1 | 1.65 | 98.8 | 40.7 |
| methyl-100 | 2.92 | 174.7 | 49.8 |
| propyl-100 | 1.84 | 109.9 | 21.5 |
| i-propyl-100 | 2.40 | 143.5 | 69.8 |
| t-butyl-100 | 1.77 | 105.9 | 61.8 |
| phenyl-100 | 1.98 | 94.9 | 50.0 |
Disclaimer/Publisher’s Note: The statements, opinions and data contained in all publications are solely those of the individual author(s) and contributor(s) and not of MDPI and/or the editor(s). MDPI and/or the editor(s) disclaim responsibility for any injury to people or property resulting from any ideas, methods, instructions or products referred to in the content. |
© 2024 by the authors. Licensee MDPI, Basel, Switzerland. This article is an open access article distributed under the terms and conditions of the Creative Commons Attribution (CC BY) license (https://creativecommons.org/licenses/by/4.0/).
Share and Cite
Caliskan, E.; Shishatskiy, S.; Filiz, V. Comparative Study of Polymer of Intrinsic Microporosity-Derivative Polymers in Pervaporation and Water Vapor Permeance Applications. Polymers 2024, 16, 2932. https://doi.org/10.3390/polym16202932
Caliskan E, Shishatskiy S, Filiz V. Comparative Study of Polymer of Intrinsic Microporosity-Derivative Polymers in Pervaporation and Water Vapor Permeance Applications. Polymers. 2024; 16(20):2932. https://doi.org/10.3390/polym16202932
Chicago/Turabian StyleCaliskan, Esra, Sergey Shishatskiy, and Volkan Filiz. 2024. "Comparative Study of Polymer of Intrinsic Microporosity-Derivative Polymers in Pervaporation and Water Vapor Permeance Applications" Polymers 16, no. 20: 2932. https://doi.org/10.3390/polym16202932
APA StyleCaliskan, E., Shishatskiy, S., & Filiz, V. (2024). Comparative Study of Polymer of Intrinsic Microporosity-Derivative Polymers in Pervaporation and Water Vapor Permeance Applications. Polymers, 16(20), 2932. https://doi.org/10.3390/polym16202932

