Bubble-Free Frontal Polymerization of Acrylates via Redox-Initiated Free Radical Polymerization
Abstract
1. Introduction
2. Materials and Methods
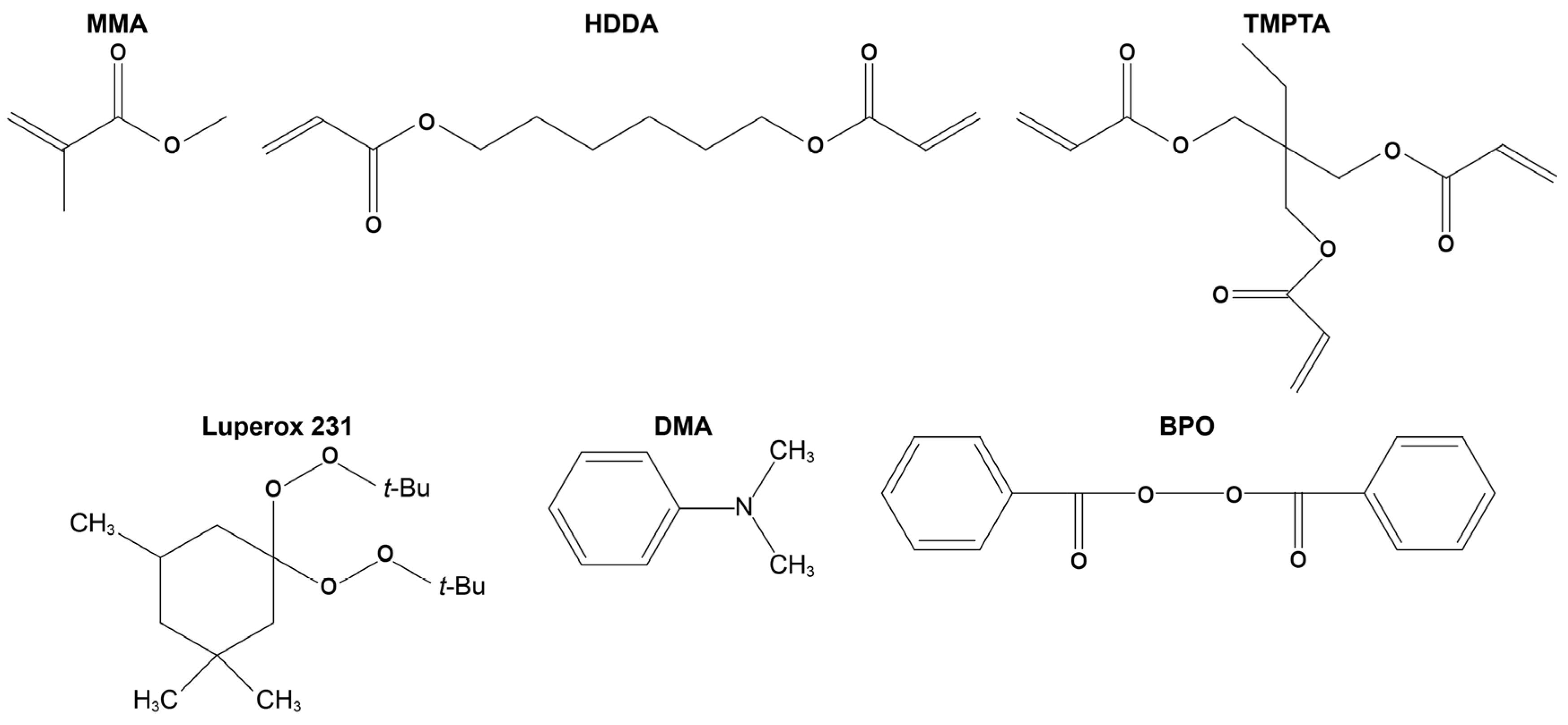
2.1. Materials
2.2. Preparation of Reactant Solutions
2.3. Measurement of Front Properties
2.4. Pot Life Measurememt
2.5. Evaluation of Void Formation
3. Results and Discussion
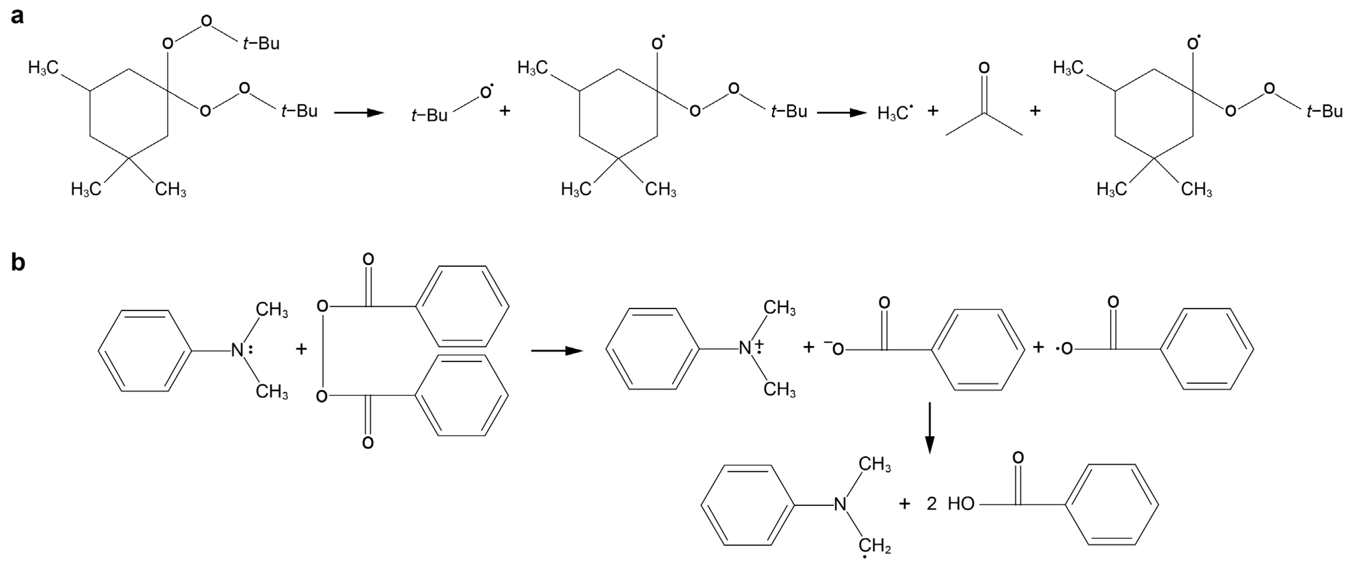
3.1. Peroxide-Initiated Frontal Polymerization
3.2. Redox-Initiated Frontal Polymerization
3.3. Effect of DMA/BPO Ratio
3.4. Pot Life Studies
3.5. Effect of Acrylate Functionality on Frontal Behavior
4. Conclusions
Author Contributions
Funding
Institutional Review Board Statement
Data Availability Statement
Conflicts of Interest
References
- Ziaee, M.; Johnson, J.W.; Yourdkhani, M. 3D Printing of Short-Carbon-Fiber-Reinforced Thermoset Polymer Composites via Frontal Polymerization. ACS Appl. Mater. Interfaces 2022, 14, 16694–16702. [Google Scholar] [CrossRef] [PubMed]
- Naseri, I.; Yourdkhani, M. Rapid and Energy-Efficient Frontal Curing of Multifunctional Composites Using Integrated Nanostructured Heaters. ACS Appl. Mater. Interfaces 2022, 14, 50215–50224. [Google Scholar] [CrossRef] [PubMed]
- Robertson, I.D.; Yourdkhani, M.; Centellas, P.J.; Aw, J.E.; Ivanoff, D.G.; Goli, E.; Lloyd, E.M.; Dean, L.M.; Sottos, N.R.; Geubelle, P.H.; et al. Rapid Energy-Efficient Manufacturing of Polymers and Composites via Frontal Polymerization. Nature 2018, 557, 223–227. [Google Scholar] [CrossRef] [PubMed]
- Ziaee, M.; Naseri, I.; Johnson, J.W.; Franklin, K.A.; Yourdkhani, M. Frontal Polymerization and Three-Dimensional Printing of Thermoset Polymers with Tunable Thermomechanical Properties. ACS Appl. Polym. Mater. 2023, 5, 1715–1724. [Google Scholar] [CrossRef]
- Li, Q.; Shen, H.-X.; Liu, C.; Wang, C.-F.; Zhu, L.; Chen, S. Advances in Frontal Polymerization Strategy: From Fundamentals to Applications. Prog. Polym. Sci. 2022, 127, 101514. [Google Scholar] [CrossRef]
- Chen, Z.; Ziaee, M.; Yourdkhani, M.; Zhang, X. Multiphysics Modeling of Frontal Polymerization-Assisted Layer-by-Layer Additive Manufacturing of Thermoset Polymer Components. Addit. Manuf. 2022, 59, 103182. [Google Scholar] [CrossRef]
- Pojman, J.A. Polymer Science: A Comprehensive Reference; Matyjaszewski, K., Möller, M., Eds.; Elsevier: Amsterdam, The Netherlands, 2012; pp. 957–980. [Google Scholar]
- Nason, C.; Roper, T.; Hoyle, C.; Pojman, J.A. UV-Induced Frontal Polymerization of Multifunctional (Meth)Acrylates. Macromolecules 2005, 38, 5506–5512. [Google Scholar] [CrossRef]
- Bynum, S.; Tullier, M.; Morejon-Garcia, C.; Guidry, J.; Runnoe, E.; Pojman, J.A. The Effect of Acrylate Functionality on Frontal Polymerization Velocity and Temperature. J. Polym. Sci. Part A Polym. Chem. 2019, 57, 982–988. [Google Scholar] [CrossRef]
- Mariani, A.; Fiori, S.; Bidali, S.; Alzari, V.; Malucelli, G. Frontal Polymerization of Diurethane Diacrylates. J. Polym. Sci. Part A Polym. Chem. 2008, 46, 3344–3352. [Google Scholar] [CrossRef]
- Holt, T.; Fazende, K.; Jee, E.; Wu, Q.; Pojman, J.A. Cure-on-Demand Wood Adhesive Based on the Frontal Polymerization of Acrylates. J. Appl. Polym. Sci. 2016, 133, 44064. [Google Scholar] [CrossRef]
- Alzate-Sanchez, D.M.; Cencer, M.M.; Rogalski, M.; Kersh, M.E.; Sottos, N.; Moore, J.S. Anisotropic Foams via Frontal Polymerization. Adv. Mater. 2022, 34, 2105821. [Google Scholar] [CrossRef] [PubMed]
- Robertson, I.D.; Hernandez, H.L.; White, S.R.; Moore, J.S. Rapid Stiffening of a Microfluidic Endoskeleton via Frontal Polymerization. ACS Appl. Mater. Interfaces 2014, 6, 18469–18474. [Google Scholar] [CrossRef] [PubMed]
- Sanna, R.; Alzari, V.; Nuvoli, D.; Scognamillo, S.; Marceddu, S.; Mariani, A. Polymer Hydrogels of 2-Hydroxyethyl Acrylate and Acrylic Acid Obtained by Frontal Polymerization. J. Polym. Sci. Part A Polym. Chem. 2012, 50, 1515–1520. [Google Scholar] [CrossRef]
- Potzmann, P.M.; Lopez Villanueva, F.J.; Liska, R. UV-Initiated Bubble-Free Frontal Polymerization in Aqueous Conditions. Macromolecules 2015, 48, 8738–8745. [Google Scholar] [CrossRef]
- Lessard, J.J.; Kaur, P.; Paul, J.E.; Chang, K.M.; Sottos, N.R.; Moore, J.S. Switching Frontal Polymerization Mechanisms: FROMP and FRaP. ACS Macro Lett. 2022, 11, 1097–1101. [Google Scholar] [CrossRef]
- Vicini, S.; Mariani, A.; Princi, E.; Bidali, S.; Pincin, S.; Fiori, S.; Pedemonte, E.; Brunetti, A. Frontal Polymerization of Acrylic Monomers for the Consolidation of Stone. Polym. Adv. Technol. 2005, 16, 293–298. [Google Scholar] [CrossRef]
- Proietti, N.; Capitani, D.; Cozzolino, S.; Valentini, M.; Pedemonte, E.; Princi, E.; Vicini, S.; Segre, A.L. In Situ and Frontal Polymerization for the Consolidation of Porous Stones: A Unilateral NMR and Magnetic Resonance Imaging Study. J. Phys. Chem. B 2006, 110, 23719–23728. [Google Scholar] [CrossRef]
- McFarland, B.; Popwell, S.; Pojman, J.A. Free-Radical Frontal Polymerization with a Microencapsulated Initiator. Macromolecules 2004, 37, 6670–6672. [Google Scholar] [CrossRef]
- Pujari, N.S.; Vishwakarma, A.R.; Kelkar, M.K.; Ponrathnam, S. Gel Formation in Frontal Polymerization of 2-Hydroxyethyl Methacrylate. e-Polymers 2004, 4, 49. [Google Scholar] [CrossRef]
- Gary, D.P.; Bynum, S.; Thompson, B.D.; Groce, B.R.; Sagona, A.; Hoffman, I.M.; Morejon-Garcia, C.; Weber, C.; Pojman, J.A. Thermal Transport and Chemical Effects of Fillers on Free-Radical Frontal Polymerization. J. Polym. Sci. 2020, 58, 2267–2277. [Google Scholar] [CrossRef]
- Mariani, A.; Nuvoli, D.; Alzari, V.; Pini, M. Phosphonium-Based Ionic Liquids as a New Class of Radical Initiators and Their Use in Gas-Free Frontal Polymerization. Macromolecules 2008, 41, 5191–5196. [Google Scholar] [CrossRef]
- Pojman, J.A.; Ilyashenko, V.M.; Khan, A.M. Free-Radical Frontal Polymerization: Self-Propagating Thermal Reaction Waves. J. Chem. Soc. Faraday Trans. 1996, 92, 2825–2837. [Google Scholar] [CrossRef]
- Gugg, A.; Gorsche, C.; Moszner, N.; Liska, R. Frontal Polymerization: Polymerization Induced Destabilization of Peracrylates. Macromol. Rapid Commun. 2011, 32, 1096–1100. [Google Scholar] [CrossRef] [PubMed]
- Mota-Morales, J.D.; Gutiérrez, M.C.; Ferrer, M.L.; Sanchez, I.C.; Elizalde-Peña, E.A.; Pojman, J.A.; Monte, F.D.; Luna-Bárcenas, G. Deep Eutectic Solvents as Both Active Fillers and Monomers for Frontal Polymerization. J. Polym. Sci. Part A Polym. Chem. 2013, 51, 1767–1773. [Google Scholar] [CrossRef]
- Nason, C.; Pojman, J.A.; Hoyle, C. The Effect of a Trithiol and Inorganic Fillers on the Photo-Induced Thermal Frontal Polymerization of a Triacrylate. J. Polym. Sci. Part A Polym. Chem. 2008, 46, 8091–8096. [Google Scholar] [CrossRef]
- Pojman, J.A.; Varisli, B.; Perryman, A.; Edwards, C.; Hoyle, C. Frontal Polymerization with Thiol−Ene Systems. Macromolecules 2004, 37, 691–693. [Google Scholar] [CrossRef]
- Yu, H.; Fang, Y.; Chen, L.; Chen, S. Investigation of Redox Initiators for Free Radical Frontal Polymerization. Polym. Int. 2009, 58, 851–857. [Google Scholar] [CrossRef]
- Du, X.-Y.; Shen, J.; Zhang, J.; Ling, L.; Wang, C.-F.; Chen, S. Generation of a Carbon Dots/Ammonium Persulfate Redox Initiator Couple for Free Radical Frontal Polymerization. Polym. Chem. 2018, 9, 420–427. [Google Scholar] [CrossRef]
- Gary, D.P.; Ngo, D.; Bui, A.; Pojman, J.A. Charge Transfer Complexes as Dual Thermal/Photo Initiators for Free-Radical Frontal Polymerization. J. Polym. Sci. 2022, 60, 1624–1630. [Google Scholar] [CrossRef]
- Gary, D.P.; Al Mahmud, M.A.; Dawson, M.G.; Pojman, J.A. Gas-Free Initiation for Free-Radical Frontal Polymerization through Charge Transfer Complexes. J. Polym. Sci. 2024, 62, 4148–4154. [Google Scholar] [CrossRef]
- Bansal, K.; Pojman, J.A.; Webster, D.; Quadir, M. Frontal Polymerization of a Thin Film on a Wood Substrate. ACS Macro Lett. 2020, 9, 169–173. [Google Scholar] [CrossRef] [PubMed]
- Masere, J.; Chekanov, Y.; Warren, J.R.; Stewart, F.D.; Al-Kaysi, R.; Rasmussen, J.K.; Pojman, J.A. Gas-Free Initiators for High-Temperature Free-Radical Polymerization. J. Polym. Sci. Part A Polym. Chem. 2000, 38, 3984–3990. [Google Scholar] [CrossRef]
- Jiménez, Z.; Pojman, J.A. Frontal polymerization with monofunctional and difunctional ionic liquid monomers. J. Polym. Sci. Part A Polym. Chem. 2007, 45, 2745–2754. [Google Scholar] [CrossRef]
- Chen, S.; Hu, T.; Tian, Y.; Chen, L.; Pojman, J.A. Facile Synthesis of Poly(Hydroxyethyl Acrylate) by Frontal Free-Radical Polymerization. J. Polym. Sci. Part A Polym. Chem. 2007, 45, 873–881. [Google Scholar] [CrossRef]
- Suslick, B.A.; Hemmer, J.; Groce, B.R.; Stawiasz, K.J.; Geubelle, P.H.; Malucelli, G.; Mariani, A.; Moore, J.S.; Pojman, J.A.; Sottos, N.R. Frontal Polymerizations: From Chemical Perspectives to Macroscopic Properties and Applications. Chem. Rev. 2023, 123, 3237–3298. [Google Scholar] [CrossRef]
- Essawy, H.A. Poly(Methyl Methacrylate)-Kaolinite Nanocomposites Prepared by Interfacial Polymerization with Redox Initiator System. Colloid Polym. Sci. 2008, 286, 795–803. [Google Scholar] [CrossRef]
- Lee, K.E.; Morad, N.; Teng, T.T.; Poh, B.T. Kinetics and In Situ Rheological Behavior of Acrylamide Redox Polymerization. J. Dispers. Sci. Technol. 2012, 33, 387–395. [Google Scholar] [CrossRef]
- Ziaee, M.; Yourdkhani, M. Effect of Resin Staging on Frontal Polymerization of Dicyclopentadiene. J. Polym. Sci. 2021, 59, 1732–1739. [Google Scholar] [CrossRef]







| Initiator | Pot Life (h) | ||
|---|---|---|---|
| Luperox 231 | >24 | ||
| Redox | DMA/BPO (mol/mol) | BPO (0.2 phr) | BPO (0.4 phr) |
| 0 | >24 | >24 | |
| 4 | 5 | 2 | |
| 8 | 2 | 1 | |
| 16 | 1 | 0.1 | |
| 32 | 0.25 | 0 | |
Disclaimer/Publisher’s Note: The statements, opinions and data contained in all publications are solely those of the individual author(s) and contributor(s) and not of MDPI and/or the editor(s). MDPI and/or the editor(s) disclaim responsibility for any injury to people or property resulting from any ideas, methods, instructions or products referred to in the content. |
© 2024 by the authors. Licensee MDPI, Basel, Switzerland. This article is an open access article distributed under the terms and conditions of the Creative Commons Attribution (CC BY) license (https://creativecommons.org/licenses/by/4.0/).
Share and Cite
Ziaee, M.; Yourdkhani, M. Bubble-Free Frontal Polymerization of Acrylates via Redox-Initiated Free Radical Polymerization. Polymers 2024, 16, 2830. https://doi.org/10.3390/polym16192830
Ziaee M, Yourdkhani M. Bubble-Free Frontal Polymerization of Acrylates via Redox-Initiated Free Radical Polymerization. Polymers. 2024; 16(19):2830. https://doi.org/10.3390/polym16192830
Chicago/Turabian StyleZiaee, Morteza, and Mostafa Yourdkhani. 2024. "Bubble-Free Frontal Polymerization of Acrylates via Redox-Initiated Free Radical Polymerization" Polymers 16, no. 19: 2830. https://doi.org/10.3390/polym16192830
APA StyleZiaee, M., & Yourdkhani, M. (2024). Bubble-Free Frontal Polymerization of Acrylates via Redox-Initiated Free Radical Polymerization. Polymers, 16(19), 2830. https://doi.org/10.3390/polym16192830

