Study on the Performance of Asphalt Modified with Bio-Oil, SBS and the Crumb Rubber Particle Size Ratio
Abstract
1. Introduction
2. Materials and Methods
2.1. Materials
2.2. Test Method
2.2.1. Preparation of the Modified Asphalt
2.2.2. Conventional Performance Tests
2.2.3. Dynamic Shear Rheometer (DSR) Test
2.2.4. Bending Beam Rheometer Test (BBR)
2.2.5. Fluorescence Microscopy (FM)
2.2.6. Fourier Transform Infrared (FTIR) Spectroscopy
3. Results and Discussion
3.1. Conventional Performance Tests
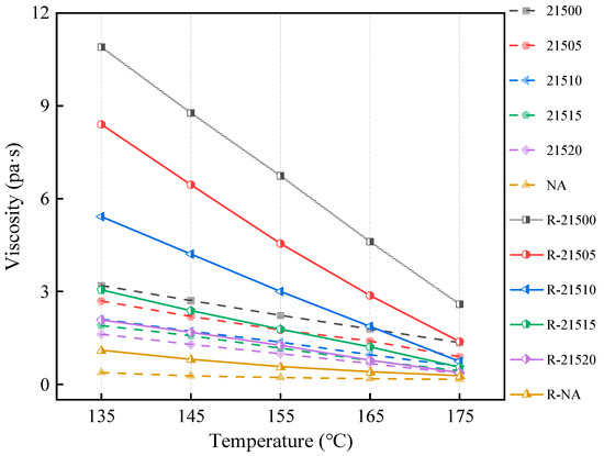
3.2. Viscosity Test
3.3. Rheological Tests
3.3.1. Temperature Sweep Test
3.3.2. Frequency Sweep Test
3.3.3. LAS Test
3.3.4. BBR Test
3.4. FM Test
3.5. FTIR Test
4. Conclusions
- (1)
- Conventional tests showed that the addition of bio-oil stabilized the original dense network structure of SCMA by reducing the degradation of the fine CR particles in SCMA and by compensating for the loss of light-weight components in the asphalt. This significantly improved the aging resistance of the SCMA with a composite CR particle size ratio.
- (2)
- The rheological test results revealed that the addition of bio-oil enhances the fatigue resistance and low-temperature cracking resistance of SCMA under a composite CR particle size ratio, particularly at an optimal bio-oil content. Although bio-oil addition negatively impacts the high-temperature properties of SCMA, B-SCMA still outperforms UA in terms of high-temperature properties. Additionally, the addition of bio-oil enhances the temperature sensitivity of SCMA.
- (3)
- The FM and FTIR results indicate that the addition of bio-oil improves the compatibility between asphalt, SBS, and CR, improves the aging resistance of SCMA, and inhibits the degradation of the modifier in asphalt. The distribution of the modifier in bio-oil-treated asphalt is more uniform after aging. However, when the bio-oil content exceeds a certain threshold, it disrupts the stability of the SCMA spatial network structure, weakening the modification effect. Additionally, the modification process of bio-oil, SBS, and CR in asphalt is primarily a physical blending process.
- (4)
- The addition of bio-oil improves the workability of the modified asphalt by promoting an increase in CR recycling while ensuring good mechanical properties. This study provides a theoretical basis for improving the properties of SCMA with bio-oil and investigating its working prospects.
- (5)
- An optimal dosage of bio-oil exists, and we will further analyze the optimal dosage of the modifier and the micro modification mechanism in detail in future work.
Author Contributions
Funding
Institutional Review Board Statement
Data Availability Statement
Conflicts of Interest
References
- Zhu, J.; Birgisson, B.; Kringos, N. Polymer modification of bitumen: Advances and challenges. Eur. Polym. J. 2014, 54, 18–38. [Google Scholar] [CrossRef]
- Liang, M.; Ren, S.; Fan, W.; Xin, X.; Shi, J.; Luo, H. Rheological property and stability of polymer modified asphalt: Effect of various vinyl-acetate structures in EVA copolymers. Constr. Build. Mater. 2017, 137, 367–380. [Google Scholar] [CrossRef]
- Lu, X.; Isacsson, U. Rheological characterization of styrene-butadiene-styrene copolymer modified bitumens. Constr. Build. Mater. 1997, 11, 23–32. [Google Scholar] [CrossRef]
- Polacco, G.; Stastna, J.; Biondi, D.; Zanzotto, L. Relation between polymer architecture and nonlinear viscoelastic behavior of modified asphalts. Curr. Opin. Colloid Interface Sci. 2006, 11, 230–245. [Google Scholar] [CrossRef]
- Han, M.; Li, J.; Muhammad, Y.; Hou, D.; Zhang, F.; Yin, Y.; Duan, S. Effect of polystyrene grafted graphene nanoplatelets on the physical and chemical properties of asphalt binder. Constr. Build. Mater. 2018, 174, 108–119. [Google Scholar] [CrossRef]
- Dong, F.; Yu, X.; Liu, S.; Wei, J. Rheological behaviors and microstructure of SBS/CR composite modified hard asphalt. Constr. Build. Mater. 2016, 115, 285–293. [Google Scholar] [CrossRef]
- Li, J.; Zhang, F.; Liu, Y.; Muhammad, Y.; Su, Z.; Meng, F.; Chen, X. Preparation and properties of soybean bio-asphalt/SBS modified petroleum asphalt. Constr. Build. Mater. 2019, 201, 268–277. [Google Scholar] [CrossRef]
- Zhang, J.; Huang, W.; Hao, G.; Yan, C.; Lv, Q.; Cai, Q. Evaluation of open-grade friction course (OGFC) mixtures with high content SBS polymer modified asphalt. Constr. Build. Mater. 2021, 270, 121374. [Google Scholar] [CrossRef]
- Chen, B.; Shen, J.; Wang, W. Study on macro and micro properties of SBS-T/CRM dry mixed composite modified asphalt. Constr. Build. Mater. 2024, 437, 136752. [Google Scholar] [CrossRef]
- Qian, C.; Fan, W. Evaluation and characterization of properties of crumb rubber/SBS modified asphalt. Mater. Chem. Phys. 2020, 253, 123319. [Google Scholar] [CrossRef]
- Ma, F.; Li, C.; Fu, Z.; Huang, Y.; Dai, J.; Feng, Q. Evaluation of high temperature rheological performance of polyphosphoric acid-SBS and polyphosphoric acid-crumb rubber modified asphalt. Constr. Build. Mater. 2021, 306, 124926. [Google Scholar] [CrossRef]
- Wang, C.; Duan, K.; Song, L.; Ji, X.; Shu, C. Stability improvement technology of SBS/crumb rubber composite modified asphalt from Xinjiang China. J. Clean. Prod. 2022, 359, 132003. [Google Scholar] [CrossRef]
- Xiao, F.; Zhao, P.W.; Amirkhanian, S.N. Fatigue behavior of rubberized asphalt concrete mixtures containing warm asphalt additives. Constr. Build. Mater. 2009, 23, 3144–3151. [Google Scholar] [CrossRef]
- Shen, J.; Amirkhanian, S.; Xiao, F.; Tang, B. Surface area of crumb rubber modifier and its influence on higher temperature viscosity of CRM binders. Int. J. Pavement Eng. 2009, 10, 375–381. [Google Scholar] [CrossRef]
- Wang, S.; Cheng, D.; Xiao, F. Recent developments in the application of chemical approaches to rubberized asphalt. Constr. Build. Mater. 2017, 131, 101–113. [Google Scholar] [CrossRef]
- Del Barco-Carrion, A.J.; García-Trave, G.; Moreno-Navarro, F.; Martínez-Montes, G.; Rubio-Gámez, M.C. Comparison of the effect of recycled crumb rubber and polymer concentration on the performance of binders for asphalt mixtures. Mater. Constr. 2016, 66, e090. [Google Scholar] [CrossRef]
- Dong, Z.; Zhou, T.; Luan, H.; Wang, H.; Xie, N.; Xiao, G.-Q. Performance evaluation of bio-based asphalt and asphalt mixture and effects of physical and chemical modification. Road Mater. Pavement Des. 2020, 21, 1470–1489. [Google Scholar] [CrossRef]
- Zhang, Y.; Xiao, P.; Qian, P.; Deng, X.; Kang, A.; Wang, Z.; Li, Y. Probe the properties of SBS/CR composite modified asphalt with CR directional distribution. Constr. Build. Mater. 2024, 411, 134475. [Google Scholar] [CrossRef]
- Guo, F.; Shen, Z.; Yu, Z.; Jiang, L.; Long, Q.; He, C. Performance study of SBS/CRMA with different composite crumb rubber particle size ratios. Case Stud. Constr. Mater. 2024, 20, e03232. [Google Scholar] [CrossRef]
- Hill, B.; Oldham, D.; Behnia, B.; Fini, E.H.; Buttlar, W.G.; Reis, H. Evaluation of low temperature viscoelastic properties and fracture behavior of bio-asphalt mixtures. Int. J. Pavement Eng. 2018, 19, 362–369. [Google Scholar] [CrossRef]
- Dong, Z.-J.; Zhou, T.; Wang, H.; Luan, H. Performance comparison between different sourced bioasphalts and asphalt mixtures. J. Mater. Civ. Eng. 2018, 30, 04018063. [Google Scholar] [CrossRef]
- Sun, D.; Sun, G.; Du, Y.; Zhu, X.; Lu, T.; Pang, Q.; Shi, S.; Dai, Z. Evaluation of optimized bio-asphalt containing high content waste cooking oil residues. Fuel 2017, 202, 529–540. [Google Scholar] [CrossRef]
- Zhou, T.; Yu, F.; Li, L.; Dong, Z.; Fini, E.H. Swelling-degradation dynamic evolution behaviors of bio-modified rubberized asphalt under thermal conditions. J. Clean. Prod. 2023, 426, 139061. [Google Scholar] [CrossRef]
- Lyu, L.; Mikhailenko, P.; Piao, Z.; Fini, E.H.; Pei, J.; Poulikakos, L.D. Unraveling the modification mechanisms of waste bio-oils and crumb rubber on asphalt binder based on microscopy and chemo-rheology. Resour. Conserv. Recycl. 2022, 185, 106447. [Google Scholar] [CrossRef]
- Dong, Z.; Zhou, T.; Luan, H.; Williams, R.C.; Wang, P.; Leng, Z. Composite modification mechanism of blended bioasphalt combining styrene-butadiene-styrene with crumb rubber: A sustainable and environmental-friendly solution for wastes. J. Clean. Prod. 2019, 214, 593–605. [Google Scholar] [CrossRef]
- Ma, J.; Sun, G.; Sun, D.; Zhang, Y.; Falchetto, A.C.; Lu, T.; Hu, M.; Yuan, Y. Rubber asphalt modified with waste cooking oil residue: Optimized preparation, rheological property, storage stability and aging characteristic. Constr. Build. Mater. 2020, 258, 120372. [Google Scholar] [CrossRef]
- Lyu, L.; Pei, J.; Hu, D.; Sun, G.; Fini, E.H. Bio-modified rubberized asphalt binder: A clean, sustainable approach to recycle rubber into construction. J. Clean. Prod. 2022, 345, 131151. [Google Scholar] [CrossRef]
- Huang, W.; Li, Y.; Meng, Y.; He, C.; Ye, X.; Chen, X.; Hu, C. Comprehensive study on the performance of SBS and crumb rubber composite modified asphalt based on the rubber pretreatment technology. Case Stud. Constr. Mater. 2024, 20, e03141. [Google Scholar] [CrossRef]
- Wen, Y.; Ma, F.; Fu, Z.; Li, C.; Dai, J.; Dong, W.; Shi, K.; Zhu, C. Evaluation on the fatigue and self-healing properties of aged and rejuvenated SBS-modified asphalt. Constr. Build. Mater. 2024, 412, 134773. [Google Scholar] [CrossRef]
- Nizamuddin, S.; Baloch, H.A.; Jamal, M.; Madapusi, S.; Giustozzi, F. Performance of waste plastic bio-oil as a rejuvenator for asphalt binder. Sci. Total. Environ. 2022, 828, 154489. [Google Scholar] [CrossRef]
- Lei, Y.; Wei, Z.; Wang, H.; You, Z.; Yang, X.; Chen, Y. Effect of crumb rubber size on the performance of rubberized asphalt with bio-oil pretreatment. Constr. Build. Mater. 2021, 285, 122864. [Google Scholar] [CrossRef]
- Zhou, T.; Kabir, S.F.; Cao, L.; Luan, H.; Dong, Z.; Fini, E.H. Comparing effects of physisorption and chemisorption of bio-oil onto rubber particles in asphalt. J. Clean. Prod. 2020, 273, 123112. [Google Scholar] [CrossRef]
- Yang, X.; Peng, C.; Chen, J.; Liu, G.; He, X. Effect of short-term aging on rheological properties of bio-asphalt/SBS/PPA composite modified asphalt. Case Stud. Constr. Mater. 2023, 19, e02439. [Google Scholar] [CrossRef]
- AASHTO D 1754; Standard Method of Test for Simulate Short-Term Aging of Asphalt Using the Rolling Thin Film Oven (RTFO). American Association of State and Highway Transportation Officials: Washington, DC, USA, 2020.
- AASHTO D 6521; Standard Method of Test for Simulate Long-Term Aging of Asphalt Using a Pressurized Aging Vessel (PAV). American Association of State and Highway Transportation Officials: Washington, DC, USA, 2022.
- ASTM D5; Standard Test Method for Penetrating Bituminous Materials. ASTM International: West Conshohocken, PA, USA, 2020.
- ASTM D3461-18; Standard Test Method for Softening Point of Asphalt and Pitch Mettler Cup–Ball Method. ASTM International: West Conshohocken, PA, USA, 2018.
- AASHTO T 315-20; Standard Method of Test for Determining the Rheological Properties of Asphalt Binder Using a Dynamic Shear Rheometer (DSR). American Association of State and Highway Transportation Officials: Washington, DC, USA, 2012.
- AASHTO T 313-19; Standard Method of Test for Determining the Flexural Creep Stiffness of Asphalt Binder Using the Bending Beam Rheometer (BBR). American Association of State and Highway Transportation Officials: Washington, DC, USA, 2022.
- Lv, S.; Liu, J.; Peng, X.; Liu, H.; Hu, L.; Yuan, J.; Wang, J. Rheological and microscopic characteristics of bio-oil recycled asphalt. J. Clean. Prod. 2021, 295, 126449. [Google Scholar] [CrossRef]
- Hu, L.; Gu, X.Y.; Dong, Q.; Lyu, L.; Cui, B.Y.; Pei, J.Z. Investigating the biorejuvenator effects on aged asphalt through exploring molecular evolution and chemical transformation of asphalt components during oxidative aging and regeneration. J. Clean. Prod. 2021, 329, 129711. [Google Scholar] [CrossRef]
- Meng, Y.; Wang, Z.; Lei, J.; Liao, Y.; Zhao, X.; Qin, Y.; Fang, G.; Zhang, C. Study on aging resistance and micro characteristics of bio-asphalt/TLA composite modified asphalt binder. Constr. Build. Mater. 2022, 359, 129566. [Google Scholar] [CrossRef]
- Shaowei, C. Research on temperature effect model of asph-alt pavement rutting test. J. China Foreign Highw. 2022, 42, 56–61. [Google Scholar] [CrossRef]
- Sun, B.; Zhou, X. Diffusion and rheological properties of asphalt modified by bio-oil regenerant derived from waste wood. J. Mater. Civ. Eng. 2018, 30, 04017274. [Google Scholar] [CrossRef]
- Lei, Z.; Bahia, H.; Yi-Qiu, T.; Ling, C. Effects of refined waste and bio-based oil modifiers on rheological properties of asphalt binders. Constr. Build. Mater. 2017, 148, 504–511. [Google Scholar] [CrossRef]
- Duan, S.; Muhammad, Y.; Li, J.; Maria, S.; Meng, F.; Wei, Y.; Su, Z.; Yang, H. Enhancing effect of microalgae biodiesel incorporation on the performance of crumb Rubber/SBS modified asphalt. J. Clean. Prod. 2019, 237, 117725. [Google Scholar] [CrossRef]
- Zhang, R.; Shi, Q.; Liu, Y.; Ji, J.; Wen, L. Thermal-oxidative aging characteristics and mechanism of castor seeds oil-based bio-asphalt. Constr. Build. Mater. 2024, 417, 135153. [Google Scholar] [CrossRef]
- Cao, Z.; Chen, M.; Yu, J.; Han, X. Preparation and characterization of active rejuvenated SBS modified bitumen for the sustainable development of high-grade asphalt pavement. J. Clean. Prod. 2020, 273, 123012. [Google Scholar] [CrossRef]
- Li, N.; Wang, S.; Li, P. Effect evaluation of warm mixing of biomass oil and petroleum asphalt and analysis of warm mixing mechanism. J. Dalian Univ. Technol. 2021, 61, 634–644. [Google Scholar]















| Properties | Requirements | Result | |
|---|---|---|---|
| Penetration (0.1 mm) | 80~100 | 87 | |
| Softening point (°C) | >44 | 47.5 | |
| Ductility (5 cm/min, 10 °C) | >30 | 84 | |
| Density (15 °C) | - | 1.013 | |
| RTFO | Mass change (%) | −0.8~0.8 | −0.03 |
| Penetration ratio (25 °C, %) | >57 | 60.5 | |
| Ductility (5 cm/min, 15 °C) | >25 | 31.2 | |
| Properties | Requirements | Result |
|---|---|---|
| Appearance | Uniform, granular | Uniform, granular |
| SBS dosage (%) | ≥50 | 57 |
| Ash content (%) | ≤5.0 | 4.5 |
| Particle mass (g) | ≤0.35 | 0.25 |
| Properties | Requirements | Result |
|---|---|---|
| Density (g/cm3) | <1.25 | 1.11 |
| Acetone extract (%) | ≤10 | 7.48 |
| Metal content (%) | ≤0.04 | 0.039 |
| Ash (%) | ≤9 | 8 |
| Carbon black content (%) | ≥26 | 31.5 |
| Rubber hydrocarbon content (%) | ≥48 | 55.5 |
| Properties | Unit | Result |
|---|---|---|
| Viscosity (60 °C) | Pa·s | 76 |
| Density (15 °C) | g/mL | 0.97 |
| Flashpoint | °C | 245 |
| Moisture content | % | 0.25 |
| SBS Dosage (%) | CR Dosage (%) | Bio-Oil Dosage (%) | Aging Level | Abbreviation |
|---|---|---|---|---|
| 0% | 0% | 0% | Original | UA |
| 0% | 0% | 0% | RTFO | R-UA |
| 0% | 0% | 0% | PAV | P-UA |
| 2% | 15% | 0% | Original | 21500 |
| 2% | 15% | 0% | RTFO | R-21500 |
| 2% | 15% | 0% | PAV | P-21500 |
| 2% | 15% | 5% | Original | 21505 |
| 2% | 15% | 5% | RTFO | R-21505 |
| 2% | 15% | 5% | PAV | P-21505 |
| 2% | 15% | 10% | Original | 21510 |
| 2% | 15% | 10% | RTFO | R-21510 |
| 2% | 15% | 10% | PAV | P-21510 |
| 2% | 15% | 15% | Original | 21515 |
| 2% | 15% | 15% | RTFO | R-21515 |
| 2% | 15% | 15% | PAV | P-21515 |
| 2% | 15% | 20% | Original | 21520 |
| 2% | 15% | 20% | RTFO | R-21520 |
| 2% | 15% | 20% | PAV | P-21520 |
| Asphalt Type | a | b | R2 |
|---|---|---|---|
| UA | −0.12358 | 8.01751 | 0.994 |
| 21500 | −0.09793 | 9.21669 | 0.99983 |
| 21505 | −0.10117 | 8.03459 | 0.99174 |
| 21510 | −0.1027 | 8.03637 | 0.99201 |
| 21515 | −0.11095 | 8.39278 | 0.9959 |
| 21520 | −0.11517 | 8.48841 | 0.99604 |
Disclaimer/Publisher’s Note: The statements, opinions and data contained in all publications are solely those of the individual author(s) and contributor(s) and not of MDPI and/or the editor(s). MDPI and/or the editor(s) disclaim responsibility for any injury to people or property resulting from any ideas, methods, instructions or products referred to in the content. |
© 2024 by the authors. Licensee MDPI, Basel, Switzerland. This article is an open access article distributed under the terms and conditions of the Creative Commons Attribution (CC BY) license (https://creativecommons.org/licenses/by/4.0/).
Share and Cite
Guo, F.; Shen, Z.; Jiang, L.; Long, Q.; Yu, Y. Study on the Performance of Asphalt Modified with Bio-Oil, SBS and the Crumb Rubber Particle Size Ratio. Polymers 2024, 16, 1929. https://doi.org/10.3390/polym16131929
Guo F, Shen Z, Jiang L, Long Q, Yu Y. Study on the Performance of Asphalt Modified with Bio-Oil, SBS and the Crumb Rubber Particle Size Ratio. Polymers. 2024; 16(13):1929. https://doi.org/10.3390/polym16131929
Chicago/Turabian StyleGuo, Fengqi, Zhaolong Shen, Liqiang Jiang, Qiuliang Long, and Yujie Yu. 2024. "Study on the Performance of Asphalt Modified with Bio-Oil, SBS and the Crumb Rubber Particle Size Ratio" Polymers 16, no. 13: 1929. https://doi.org/10.3390/polym16131929
APA StyleGuo, F., Shen, Z., Jiang, L., Long, Q., & Yu, Y. (2024). Study on the Performance of Asphalt Modified with Bio-Oil, SBS and the Crumb Rubber Particle Size Ratio. Polymers, 16(13), 1929. https://doi.org/10.3390/polym16131929

