Development and Application of a Lignin-Based Polyol for Sustainable Reactive Polyurethane Adhesives Synthesis
Abstract
1. Introduction
2. Materials and Methods
2.1. Materials
2.2. Lignin-Based Polyol Synthesis Method from Rice Straw
2.3. Reactive Polyurethane Hot Melt Adhesives (HMPURs) Synthesis Process
2.4. Characterisation Techniques
2.4.1. Fourier Transform Infrared Spectroscopy (FTIR)
2.4.2. Thermogravimetric Analysis (TGA)
2.4.3. Differential Scanning Calorimetry (DSC)
2.4.4. Rheological Analysis
2.4.5. T-Peel Strength Test
3. Results and Discussion
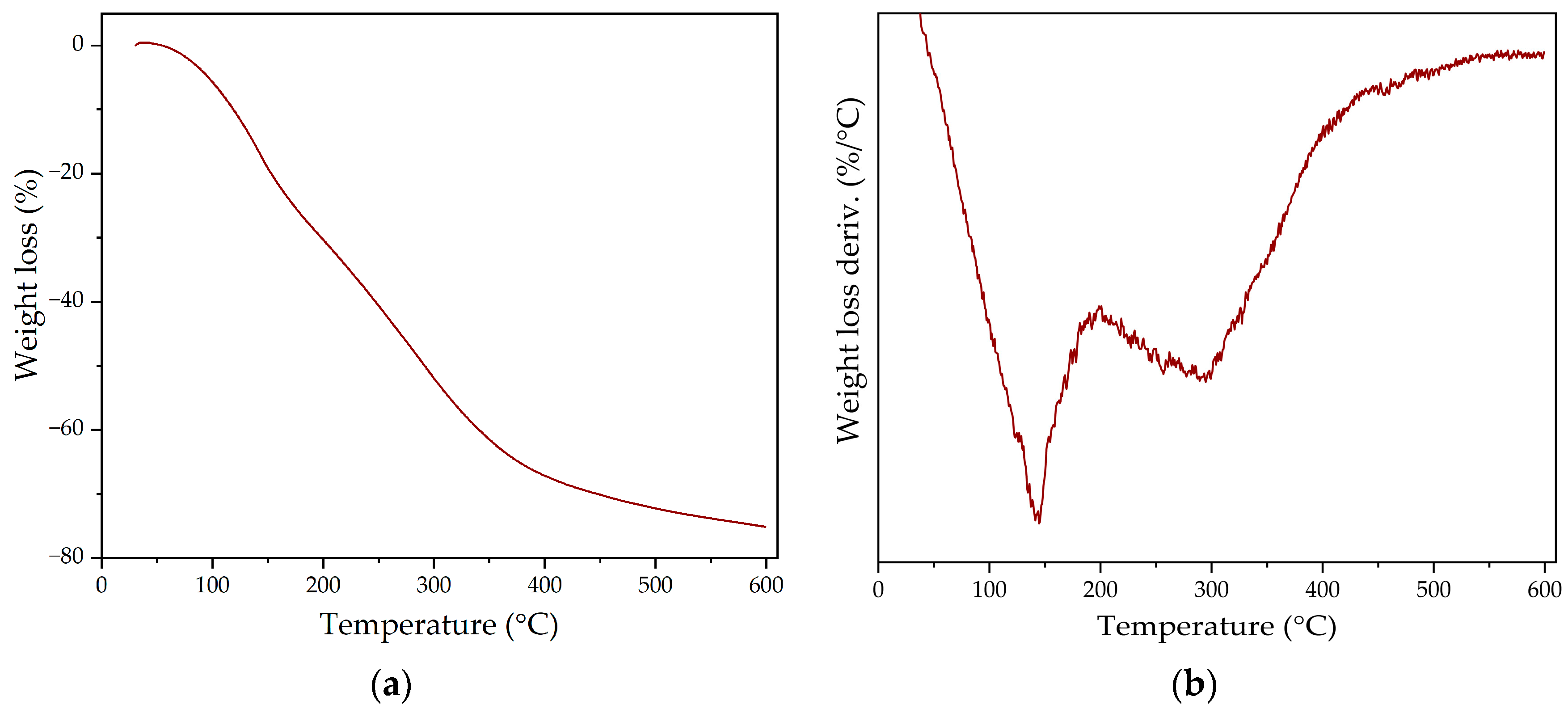
3.1. Polyol Characterisation
3.2. HMPURs Synthesis and Characterisation
4. Conclusions
Author Contributions
Funding
Institutional Review Board Statement
Informed Consent Statement
Data Availability Statement
Conflicts of Interest
References
- Orgilés-Calpena, E.; Arán-Aís, F.; Torró-Palau, A.M.; Orgilés-Barceló, C. Novel Polyurethane Reactive Hot Melt Adhesives Based on Polycarbonate Polyols Derived from CO2 for the Footwear Industry. Int. J. Adhes. Adhes. 2016, 70, 218–224. [Google Scholar] [CrossRef]
- Orgilés-Calpena, E.; Arán-Aís, F.; Torró-Palau, A.M.; Montiel-Parreño, E.; Orgilés-Barceló, C. Synthesis of Polyurethanes from CO2-Based Polyols: A Challenge for Sustainable Adhesives. Int. J. Adhes. Adhes. 2016, 67, 63–68. [Google Scholar] [CrossRef]
- Carbonell-Blasco, M.P.; Pérez-Limiñana, M.A.; Ruzafa-Silvestre, C.; Arán-Ais, F.; Orgilés-Calpena, E. Influence of Biobased Polyol Type on the Properties of Polyurethane Hotmelt Adhesives for Footwear Joints. Appl. Adhes. Sci. 2021, 9, 8. [Google Scholar] [CrossRef]
- Dorn, L.; Thirion, A.; Ghorbani, M.; Olaechea, L.M.; Mayer, I. Exploring Fully Biobased Adhesives: Sustainable Kraft Lignin and 5-HMF Adhesive for Particleboards. Polymers 2023, 15, 2668. [Google Scholar] [CrossRef] [PubMed]
- Mary, A.; Blanchet, P.; Landry, V. Polyurethane Wood Adhesives from Microbrewery Spent Grains. In Bio-Based Building Materials; Springer: Cham, Switzerland, 2023; pp. 14–28. [Google Scholar]
- Hernández-Ramos, F.; de Hoyos-Martínez, P.L.; Barriga, S.; Erdocia, X.; Labidi, J. Current Approaches for Polyurethane Production from Lignin. In Biorefinery: A Sustainable Approach for the Production of Biomaterials, Biochemicals and Biofuels; Springer Nature: Singapore, 2023; pp. 153–202. [Google Scholar]
- Alinejad, M.; Henry, C.; Nikafshar, S.; Gondaliya, A.; Bagheri, S.; Chen, N.; Singh, S.; Hodge, D.; Nejad, M. Lignin-Based Polyurethanes: Opportunities for Bio-Based Foams, Elastomers, Coatings and Adhesives. Polymers 2019, 11, 1202. [Google Scholar] [CrossRef] [PubMed]
- Vieira, F.R.; Gama, N.; Magina, S.; Barros-Timmons, A.; Evtuguin, D.V.; Pinto, P.C.O.R. Polyurethane Adhesives Based on Oxyalkylated Kraft Lignin. Polymers 2022, 14, 5305. [Google Scholar] [CrossRef]
- Rao, Y.; Wan, G. Sustainable Adhesives: Bioadhesives, Chemistries, Recyclability, and Reversibility. In Advances in Structural Adhesive Bonding; Elsevier: Amsterdam, The Netherlands, 2023; pp. 953–985. [Google Scholar]
- Bhakri, S.; Ghozali, M.; Cahyono, E.; Triwulandari, E.; Kartika Restu, W.; Nurfajrin Solihat, N.; Heri Iswanto, A.; Antov, P.; Savov, V.; Seng Hua, L.; et al. Development and Characterization of Eco-Friendly Non-Isocyanate Urethane Monomer from Jatropha Curcas Oil for Wood Composite Applications. J. Renew. Mater. 2023, 11, 41–59. [Google Scholar] [CrossRef]
- Asare, M.A.; de Souza, F.M.; Gupta, R.K. Natural Resources for Polyurethanes Industries. In Specialty Polymers; CRC Press: Boca Raton, FL, USA, 2022; pp. 29–46. [Google Scholar]
- Vieira, F.R.; Magina, S.; Evtuguin, D.V.; Barros-Timmons, A. Lignin as a Renewable Building Block for Sustainable Polyurethanes. Materials 2022, 15, 6182. [Google Scholar] [CrossRef] [PubMed]
- Ma, Y.; Xiao, Y.; Zhao, Y.; Bei, Y.; Hu, L.; Zhou, Y.; Jia, P. Biomass Based Polyols and Biomass Based Polyurethane Materials as a Route towards Sustainability. React. Funct. Polym. 2022, 175, 105285. [Google Scholar] [CrossRef]
- Blasco, M.P.C.; Limiñana, M.Á.P.; Silvestre, C.R.; Calpena, E.O.; Aís, F.A. Sustainable Reactive Polyurethane Hot Melt Adhesives Based on Vegetable Polyols for Footwear Industry. Polymers 2022, 14, 284. [Google Scholar] [CrossRef]
- Tenorio-Alfonso, A.; Sánchez, M.C.; Franco, J.M. A Review of the Sustainable Approaches in the Production of Bio-Based Polyurethanes and Their Applications in the Adhesive Field. J. Polym. Environ. 2020, 28, 749–774. [Google Scholar] [CrossRef]
- Serrano-Martínez, V.M.; Pérez-Aguilar, H.; Carbonell-Blasco, M.P.; Arán-Ais, F.; Orgilés-Calpena, E. Steam Explosion-Based Method for the Extraction of Cellulose and Lignin from Rice Straw Waste. Appl. Sci. 2024, 14, 2059. [Google Scholar] [CrossRef]
- Heinrich, L.A. Future Opportunities for Bio-Based Adhesives—Advantages beyond Renewability. Green Chem. 2019, 21, 1866–1888. [Google Scholar] [CrossRef]
- Khongchamnan, P.; Wanmolee, W.; Laosiripojana, N.; Champreda, V.; Suriyachai, N.; Kreetachat, T.; Sakulthaew, C.; Chokejaroenrat, C.; Imman, S. Solvothermal-Based Lignin Fractionation From Corn Stover: Process Optimization and Product Characteristics. Front. Chem. 2021, 9, 697237. [Google Scholar] [CrossRef] [PubMed]
- Ouyang, X. Effect of Simultaneous Steam Explosion and Alkaline Depolymerization on Corncob Lignin and Cellulose Structure. Chem. Biochem. Eng. Q. 2018, 32, 177–189. [Google Scholar] [CrossRef]
- Pan, C.; Liu, Z.; Bai, X.; Hui, L. Structural Changes of Lignin from Wheat Straw by Steam Explosion and Ethanol Pretreatments. Bioresources 2016, 11, 6477–6488. [Google Scholar] [CrossRef]
- Hernández-Ramos, F.; Alriols, M.G.; Calvo-Correas, T.; Labidi, J.; Erdocia, X. Renewable Biopolyols from Residual Aqueous Phase Resulting after Lignin Precipitation. ACS Sustain. Chem. Eng. 2021, 9, 3608–3615. [Google Scholar] [CrossRef]
- Hernández-Ramos, F.; Alriols, M.G.; Antxustegi, M.M.; Labidi, J.; Erdocia, X. Valorisation of Crude Glycerol in the Production of Liquefied Lignin Bio-Polyols for Polyurethane Formulations. Int. J. Biol. Macromol. 2023, 247, 125855. [Google Scholar] [CrossRef] [PubMed]
- Perez-Arce, J.; Centeno-Pedrazo, A.; Labidi, J.; Ochoa-Gómez, J.R.; Garcia-Suarez, E.J. A Novel and Efficient Approach to Obtain Lignin-Based Polyols with Potential Industrial Applications. Polym. Chem. 2020, 11, 7362–7369. [Google Scholar] [CrossRef]
- Wells, T.; Kosa, M.; Ragauskas, A.J. Polymerization of Kraft Lignin via Ultrasonication for High-Molecular-Weight Applications. Ultrason. Sonochem. 2013, 20, 1463–1469. [Google Scholar] [CrossRef]
- Kai, D.; Tan, M.J.; Chee, P.L.; Chua, Y.K.; Yap, Y.L.; Loh, X.J. Towards Lignin-Based Functional Materials in a Sustainable World. Green Chem. 2016, 18, 1175–1200. [Google Scholar] [CrossRef]
- Orgilés Calpena, E.; Carbonell Blasco, P.; Pérez Limiñana, M.A. Sustainable Polyurethane Adhesives for Footwear Based on an Algal Biomass Co-Product as Macroglycol. In Proceedings of the 5th International Conference on Structural Adhesive Bonding, Porto, Portugal, 11–12 July 2019; pp. 11–12. [Google Scholar]
- EN 1242.2013; Adhesives—Determination of Isocyanate Content. CEN: Bruxelles, Belgium, 2013. Available online: https://standards.iteh.ai/catalog/standards/cen/7167d460-c11a-4522-b759-1364d3bd90f6/en-1242-2013 (accessed on 17 May 2024).
- Pérez-Limiñana, M.A.; Pérez-Aguilar, H.; Ruzafa-Silvestre, C.; Orgilés-Calpena, E.; Arán-Ais, F. Effect of Processing Time of Steam-Explosion for the Extraction of Cellulose Fibers from Phoenix Canariensis Palm Leaves as Potential Renewable Feedstock for Materials. Polymers 2022, 14, 5206. [Google Scholar] [CrossRef] [PubMed]
- Carbonell-Blasco, M.P.; Moyano, M.A.; Hernández-Fernández, C.; Sierra-Molero, F.J.; Pastor, I.M.; Alonso, D.A.; Arán-Aís, F.; Orgilés-Calpena, E. Polyurethane Adhesives with Chemically Debondable Properties via Diels–Alder Bonds. Polymers 2023, 16, 21. [Google Scholar] [CrossRef] [PubMed]
- Ferrández-García, A.; Ferrández-Villena, M.; Ferrández-García, C.E.; García-Ortuño, T.; Ferrández-García, M.T. Potential Use of Phoenix Canariensis Biomass in Binderless Particleboards at Low Temperature and Pressure. Bioresources 2017, 12, 6698–6712. [Google Scholar] [CrossRef]
- Orgilés-Calpena, E.; Arán-Aís, F.; Torró-Palau, A.; Orgilés-Barceló, C. Biodegradable Polyurethane Adhesives Based on Polyols Derived from Renewable Resources. Proc. Inst. Mech. Eng. Part L J. Mater. Des. Appl. 2014, 228, 125–136. [Google Scholar] [CrossRef]
- EN 1392.2007; Adhesives for Leather and Materials for Footwear. Solvent-Based and Dis-Persion Adhesives. Test Methods to Measure Bond Strength under Specific Conditions. CEN: Bruxelles, Belgium, 2007. Available online: https://standards.iteh.ai/catalog/standards/cen/f4e2c6c0-9846-43b0-bcef-adda17102931/en-1392-1998 (accessed on 17 May 2024).
- Arán-Ais, F.; Ruzafa-Silvestre, C.; Carbonell-Blasco, M.; Pérez-Limiñana, M.; Orgilés-Calpena, E. Sustainable Adhesives and Adhesion Processes for the Footwear Industry. Proc. Inst. Mech. Eng. C J. Mech. Eng. Sci. 2021, 235, 585–596. [Google Scholar] [CrossRef]
- UNE-EN ISO 17708:2019; Footwear-Test Methods for Whole Shoe-Upper Sole Adhesion. ISO: Geneva, Switzerland, 2019.
- da Silva, S.H.F.; dos Santos, P.S.B.; Thomas da Silva, D.; Briones, R.; Gatto, D.A.; Labidi, J. Kraft Lignin-Based Polyols by Microwave: Optimizing Reaction Conditions. J. Wood Chem. Technol. 2017, 37, 343–358. [Google Scholar] [CrossRef]
- Saffar, T.; Bouafif, H.; Braghiroli, F.L.; Magdouli, S.; Langlois, A.; Koubaa, A. Production of Bio-Based Polyol from Oxypropylated Pyrolytic Lignin for Rigid Polyurethane Foam Application. Waste Biomass Valorization 2020, 11, 6411–6427. [Google Scholar] [CrossRef]
- Cruz-Aldaco, K.; Flores-Loyola, E.; Aguilar-González, C.N.; Burgos, N.; Jiménez, A. Synthesis and Thermal Characterization of Polyurethanes Obtained from Cottonseed and Corn Oil-Based Polyols. J. Renew. Mater. 2016, 4, 178–184. [Google Scholar] [CrossRef]
- Li, M.-C.; Wu, Q.; Song, K.; De Hoop, C.F.; Lee, S.; Qing, Y.; Wu, Y. Cellulose Nanocrystals and Polyanionic Cellulose as Additives in Bentonite Water-Based Drilling Fluids: Rheological Modeling and Filtration Mechanisms. Ind. Eng. Chem. Res. 2016, 55, 133–143. [Google Scholar] [CrossRef]
- Li, F.; Qiu, C.-P.; Zhang, X.-L.; Tan, R.-W.; de Hoop, C.F.; Curole, J.P.; Qi, J.-Q.; Xiao, H.; Chen, Y.-Z.; Xie, J.-L.; et al. Effect of Biomass Source on the Physico-Mechanical Properties of Polyurethane Foam Produced by Microwave-Assisted Liquefaction. Bioresources 2020, 15, 7034–7047. [Google Scholar] [CrossRef]
- Ivdre, A.; Abolins, A.; Volkovs, N.; Vevere, L.; Paze, A.; Makars, R.; Godina, D.; Rizikovs, J. Rigid Polyurethane Foams as Thermal Insulation Material from Novel Suberinic Acid-Based Polyols. Polymers 2023, 15, 3124. [Google Scholar] [CrossRef] [PubMed]
- Kaur, R.; Singh, P.; Tanwar, S.; Varshney, G.; Yadav, S. Assessment of Bio-Based Polyurethanes: Perspective on Applications and Bio-Degradation. Macromol 2022, 2, 284–314. [Google Scholar] [CrossRef]
- Lu, W.; Li, Q.; Zhang, Y.; Yu, H.; Hirose, S.; Hatakeyama, H.; Matsumoto, Y.; Jin, Z. Lignosulfonate/APP IFR and Its Flame Retardancy in Lignosulfonate-Based Rigid Polyurethane Foams. J. Wood Sci. 2018, 64, 287–293. [Google Scholar] [CrossRef]
- Chahar, S.; Dastidar, M.G.; Choudhary, V.; Sharma, D.K. Synthesis and Characterisation of Polyurethanes Derived from Waste Black Liquor Lignin. J. Adhes. Sci. Technol. 2004, 18, 169–179. [Google Scholar] [CrossRef]
- Tavares, L.B.; Boas, C.V.; Schleder, G.R.; Nacas, A.M.; Rosa, D.S.; Santos, D.J. Bio-Based Polyurethane Prepared from Kraft Lignin and Modified Castor Oil. Express Polym. Lett. 2016, 10, 927–940. [Google Scholar] [CrossRef]
- Pregi, E.; Romsics, I.; Várdai, R.; Pukánszky, B. Interactions, Structure and Properties of PLA/Lignin/PBAT Hybrid Blends. Polymers 2023, 15, 3237. [Google Scholar] [CrossRef]
- Dobrescu, V.E.; Radovici, C. Temperature Dependence of Melt Viscosity of Polymers. Polym. Bull. 1983, 10, 134–140. [Google Scholar] [CrossRef]
- Zlatkevich, L. Molecular Mobility and Transitions in Polymers. In Radiothermoluminescence and Transitions in Polymers; Springer: New York, NY, USA, 1987; pp. 55–80. [Google Scholar]
- EN 15307:2015; Adhesives for Leather and Footwear Materials—Sole-Upper Bonds—Minimum Strength Requirements. CEN: Bruxelles, Belgium, 2015. Available online: https://standards.iteh.ai/catalog/standards/cen/42392010-5d08-4985-9d1f-ce74820be5cf/en-15307-2014 (accessed on 17 May 2024).












| Formulation | Lignin-Based Polyol wt.% | PPG wt.% | Desired Free NCO (%) |
|---|---|---|---|
| HMPUR-REF | - | 100.0 | 3.75 |
| LIGNOC-2.5% | 2.5 | 97.5 | 3.70 |
| LIGNOC-5% | 5 | 95.0 | 3.67 |
| LIGNOC-7.5% | 7.5 | 92.5 | 3.63 |
| Sample | T1 (°C) | ∆w1 (wt%) | T2 (°C) | ∆w2 (wt%) | Residue (%) |
|---|---|---|---|---|---|
| Lignin-based polyol LIGNOC | 140 | 25 | 302 | 37 | 28 |
| Adhesive | Reaction Time (min) | Free Isocyanate (%NCO) |
|---|---|---|
| HMPUR-REF | 60 | 3.87 |
| LIGNOC-2.5% | 26 | 3.85 |
| LIGNOC-5% | 16 | 3.68 |
| LIGNOC-7.5% | 9 | 3.35 |
| Adhesive | T1 (°C) | ∆w1 (wt%) | T2 (°C) | ∆w2 (wt%) | T3 (°C) | ∆w3 (wt%) | Residue (%) |
|---|---|---|---|---|---|---|---|
| HMPUR-REF | 334 | 62 | 399 | 33 | - | - | 7 |
| LIGNOC-2.5% | 333 | 60 | 400 | 34 | - | - | 7 |
| LIGNOC-5% | 334 | 58 | 399 | 34 | - | - | 9 |
| LIGNOC-7.5% | 341 | 50 | 375 | 32 | 438 | 6 | 12 |
| Adhesive | Tg (°C) |
|---|---|
| HMPUR-REF | −18.86 |
| LIGNOC-2.5% | −17.02 |
| LIGNOC-5% | −18.06 |
| LIGNOC-7.5% | −14.21 |
Disclaimer/Publisher’s Note: The statements, opinions and data contained in all publications are solely those of the individual author(s) and contributor(s) and not of MDPI and/or the editor(s). MDPI and/or the editor(s) disclaim responsibility for any injury to people or property resulting from any ideas, methods, instructions or products referred to in the content. |
© 2024 by the authors. Licensee MDPI, Basel, Switzerland. This article is an open access article distributed under the terms and conditions of the Creative Commons Attribution (CC BY) license (https://creativecommons.org/licenses/by/4.0/).
Share and Cite
Serrano-Martínez, V.M.; Hernández-Fernández, C.; Pérez-Aguilar, H.; Carbonell-Blasco, M.P.; García-García, A.; Orgilés-Calpena, E. Development and Application of a Lignin-Based Polyol for Sustainable Reactive Polyurethane Adhesives Synthesis. Polymers 2024, 16, 1928. https://doi.org/10.3390/polym16131928
Serrano-Martínez VM, Hernández-Fernández C, Pérez-Aguilar H, Carbonell-Blasco MP, García-García A, Orgilés-Calpena E. Development and Application of a Lignin-Based Polyol for Sustainable Reactive Polyurethane Adhesives Synthesis. Polymers. 2024; 16(13):1928. https://doi.org/10.3390/polym16131928
Chicago/Turabian StyleSerrano-Martínez, Víctor M., Carlota Hernández-Fernández, Henoc Pérez-Aguilar, María Pilar Carbonell-Blasco, Avelina García-García, and Elena Orgilés-Calpena. 2024. "Development and Application of a Lignin-Based Polyol for Sustainable Reactive Polyurethane Adhesives Synthesis" Polymers 16, no. 13: 1928. https://doi.org/10.3390/polym16131928
APA StyleSerrano-Martínez, V. M., Hernández-Fernández, C., Pérez-Aguilar, H., Carbonell-Blasco, M. P., García-García, A., & Orgilés-Calpena, E. (2024). Development and Application of a Lignin-Based Polyol for Sustainable Reactive Polyurethane Adhesives Synthesis. Polymers, 16(13), 1928. https://doi.org/10.3390/polym16131928

