Design and Optimization of NR-Based Stretchable Conductive Composites Filled with MoSi2 Nanoparticles and MWCNTs: Perspectives from Experimental Characterization and Molecular Dynamics Simulations
Abstract
1. Introduction
2. Materials and Methods
2.1. Preparation of the NR Vulcanizates
2.2. Molecular Dynamics Simulations
2.3. Characterization
2.3.1. Static Mechanical Properties
2.3.2. Dynamic Thermomechanical Performance
2.3.3. Differential Scanning Calorimetry (DSC) Measurements
2.3.4. Scanning Electron Microscopy (SEM)
2.3.5. Conductivity Measurements
3. Results
3.1. Morphology of Different NR-Based Composites
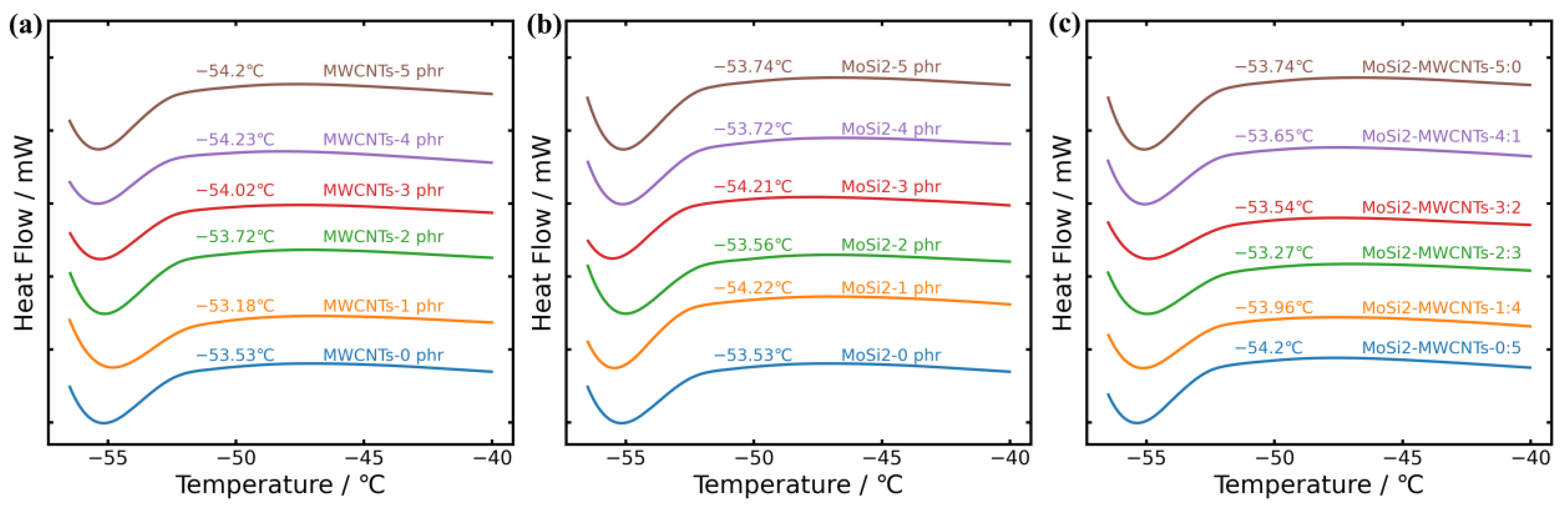
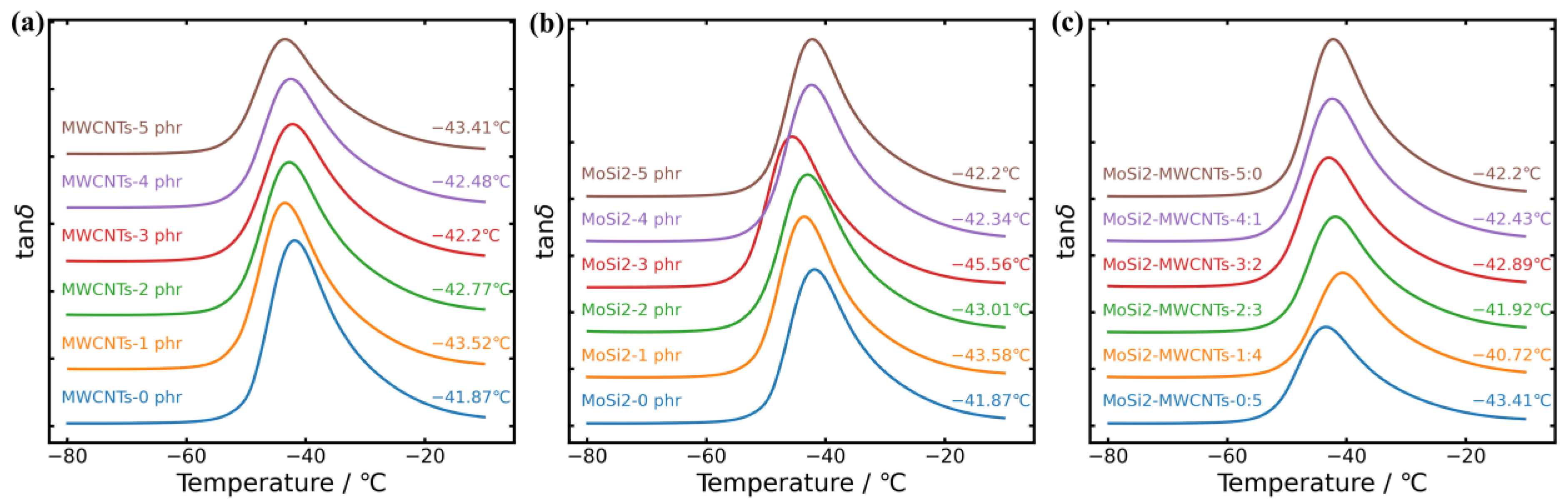
3.2. Analysis of Glass Transition
3.3. Mechanical Properties
3.4. Electrically Conducting Properties
4. Conclusions
Supplementary Materials
Author Contributions
Funding
Institutional Review Board Statement
Data Availability Statement
Conflicts of Interest
References
- Feng, Q.; Wen, Y.; Sun, F.; Xie, Z.; Zhang, M.; Wang, Y.; Liu, D.; Cheng, Z.; Mao, Y.; Zhao, C. Recent Advances in Self-Powered Electronic Skin Based on Triboelectric Nanogenerators. Energies 2024, 17, 638. [Google Scholar] [CrossRef]
- Yokota, T.; Zalar, P.; Kaltenbrunner, M.; Jinno, H.; Matsuhisa, N.; Kitanosako, H.; Tachibana, Y.; Yukita, W.; Koizumi, M.; Someya, T. Ultraflexible organic photonic skin. Sci. Adv. 2016, 2, e1501856. [Google Scholar] [CrossRef] [PubMed]
- Cao, Y.; Tan, Y.J.; Li, S.; Lee, W.W.; Guo, H.; Cai, Y.; Wang, C.; Tee, B.C.-K. Self-healing electronic skins for aquatic environments. Nat. Electron. 2019, 2, 75–82. [Google Scholar] [CrossRef]
- Aragona, M.; Sifrim, A.; Malfait, M.; Song, Y.; Van Herck, J.; Dekoninck, S.; Gargouri, S.; Lapouge, G.; Swedlund, B.; Dubois, C. Mechanisms of stretch-mediated skin expansion at single-cell resolution. Nature 2020, 584, 268–273. [Google Scholar] [CrossRef] [PubMed]
- Kang, K.; Jung, H.; An, S.; Baac, H.W.; Shin, M.; Son, D. Skin-like transparent polymer-hydrogel hybrid pressure sensor with pyramid microstructures. Polymers 2021, 13, 3272. [Google Scholar] [CrossRef] [PubMed]
- Boutry, C.M.; Nguyen, A.; Lawal, Q.O.; Chortos, A.; Rondeau-Gagné, S.; Bao, Z. Pressure Sensors: A Sensitive and Biodegradable Pressure Sensor Array for Cardiovascular Monitoring (Adv. Mater. 43/2015). Adv. Mater. 2015, 27, 6953. [Google Scholar] [CrossRef]
- Ebrahimi Takalloo, S.; Fannir, A.; Nguyen, G.T.; Plesse, C.; Vidal, F.; Madden, J.D. Impermeable and compliant: SIBS as a promising encapsulant for ionically electroactive devices. Robotics 2019, 8, 60. [Google Scholar] [CrossRef]
- Ronca, A.; Rollo, G.; Cerruti, P.; Fei, G.; Gan, X.; Buonocore, G.G.; Lavorgna, M.; Xia, H.; Silvestre, C.; Ambrosio, L. Selective laser sintering fabricated thermoplastic polyurethane/graphene cellular structures with tailorable properties and high strain sensitivity. Appl. Sci. 2019, 9, 864. [Google Scholar] [CrossRef]
- Tehrani, Z.; Korochkina, T.; Govindarajan, S.; Thomas, D.; O’Mahony, J.; Kettle, J.; Claypole, T.; Gethin, D. Ultra-thin flexible screen printed rechargeable polymer battery for wearable electronic applications. Org. Electron. 2015, 26, 386–394. [Google Scholar] [CrossRef]
- Xu, X.; Luo, M.; He, P.; Yang, J. Washable and flexible screen printed graphene electrode on textiles for wearable healthcare monitoring. J. Phys. D Appl. Phys. 2020, 53, 125402. [Google Scholar] [CrossRef]
- Chang, W.-Y.; Fang, T.-H.; Lin, H.-J.; Shen, Y.-T.; Lin, Y.-C. A large area flexible array sensors using screen printing technology. J. Disp. Technol. 2009, 5, 178–183. [Google Scholar] [CrossRef]
- Wang, Y.; Zhu, C.; Pfattner, R.; Yan, H.; Jin, L.; Chen, S.; Molina-Lopez, F.; Lissel, F.; Liu, J.; Rabiah, N.I. A highly stretchable, transparent, and conductive polymer. Sci. Adv. 2017, 3, e1602076. [Google Scholar] [CrossRef] [PubMed]
- Webb, R.C.; Bonifas, A.P.; Behnaz, A.; Zhang, Y.; Yu, K.J.; Cheng, H.; Shi, M.; Bian, Z.; Liu, Z.; Kim, Y.-S.; et al. Ultrathin conformal devices for precise and continuous thermal characterization of human skin. Nat. Mater. 2013, 12, 938–944. [Google Scholar] [CrossRef] [PubMed]
- Yan, C.; Lee, P.S. Stretchable energy storage and conversion devices. Small 2014, 10, 3443–3460. [Google Scholar] [CrossRef] [PubMed]
- Lipomi, D.J.; Vosgueritchian, M.; Tee, B.C.; Hellstrom, S.L.; Lee, J.A.; Fox, C.H.; Bao, Z. Skin-like pressure and strain sensors based on transparent elastic films of carbon nanotubes. Nat. Nanotechnol. 2011, 6, 788–792. [Google Scholar] [CrossRef] [PubMed]
- Kim, K.S.; Zhao, Y.; Jang, H.; Lee, S.Y.; Kim, J.M.; Kim, K.S.; Ahn, J.-H.; Kim, P.; Choi, J.-Y.; Hong, B.H. Large-scale pattern growth of graphene films for stretchable transparent electrodes. Nature 2009, 457, 706–710. [Google Scholar] [CrossRef] [PubMed]
- Park, M.; Im, J.; Shin, M.; Min, Y.; Park, J.; Cho, H.; Park, S.; Shim, M.-B.; Jeon, S.; Chung, D.-Y. Highly stretchable electric circuits from a composite material of silver nanoparticles and elastomeric fibres. Nat. Nanotechnol. 2012, 7, 803–809. [Google Scholar] [CrossRef]
- Kim, Y.; Zhu, J.; Yeom, B.; Di Prima, M.; Su, X.; Kim, J.-G.; Yoo, S.J.; Uher, C.; Kotov, N.A. Stretchable nanoparticle conductors with self-organized conductive pathways. Nature 2013, 500, 59–63. [Google Scholar] [CrossRef] [PubMed]
- Weng, C.; Dai, Z.; Wang, G.; Liu, L.; Zhang, Z. Elastomer-free, stretchable, and conformable silver nanowire conductors enabled by three-dimensional buckled microstructures. ACS Appl. Mater. Interfaces 2019, 11, 6541–6549. [Google Scholar] [CrossRef]
- Hong, S.; Lee, H.; Lee, J.; Kwon, J.; Han, S.; Suh, Y.D.; Cho, H.; Shin, J.; Yeo, J.; Ko, S.H. Highly stretchable and transparent metal nanowire heater for wearable electronics applications. Adv. Mater. 2015, 27, 4744–4751. [Google Scholar] [CrossRef]
- Zhang, S.; Li, Y.; Tian, Q.; Liu, L.; Yao, W.; Chi, C.; Zeng, P.; Zhang, N.; Wu, W. Highly conductive, flexible and stretchable conductors based on fractal silver nanostructures. J. Mater. Chem. C 2018, 6, 3999–4006. [Google Scholar] [CrossRef]
- Zhu, L.; Wang, Y.; Mei, D.; Ding, W.; Jiang, C.; Lu, Y. Fully elastomeric fingerprint-shaped electronic skin based on tunable patterned graphene/silver nanocomposites. ACS Appl. Mater. Interfaces 2020, 12, 31725–31737. [Google Scholar] [CrossRef]
- Madhavan, R. Network crack-based high performance stretchable strain sensors for human activity and healthcare monitoring. New J. Chem. 2022, 46, 17596–17609. [Google Scholar] [CrossRef]
- Larmagnac, A.; Eggenberger, S.; Janossy, H.; Vörös, J. Stretchable electronics based on Ag-PDMS composites. Sci. Rep. 2014, 4, 7254. [Google Scholar] [CrossRef]
- Shao, J.; Yu, L.; Skov, A.L.; Daugaard, A.E. Highly stretchable conductive MWCNT–PDMS composite with self-enhanced conductivity. J. Mater. Chem. C 2020, 8, 13389–13395. [Google Scholar] [CrossRef]
- Chen, J.; Zhu, Y.; Jiang, W. A stretchable and transparent strain sensor based on sandwich-like PDMS/CNTs/PDMS composite containing an ultrathin conductive CNT layer. Compos. Sci. Technol. 2020, 186, 107938. [Google Scholar] [CrossRef]
- Wu, S.; Zhang, J.; Ladani, R.B.; Ravindran, A.R.; Mouritz, A.P.; Kinloch, A.J.; Wang, C.H. Novel electrically conductive porous PDMS/carbon nanofiber composites for deformable strain sensors and conductors. ACS Appl. Mater. Interfaces 2017, 9, 14207–14215. [Google Scholar] [CrossRef]
- Qi, D.; Zhang, K.; Tian, G.; Jiang, B.; Huang, Y. Stretchable electronics based on PDMS substrates. Adv. Mater. 2021, 33, 2003155. [Google Scholar] [CrossRef]
- Torres, G.B.; Hiranobe, C.T.; da Silva, E.A.; Cardim, G.P.; Cardim, H.P.; Cabrera, F.C.; Lozada, E.R.; Gutierrez-Aguilar, C.M.; Sánchez, J.C.; Carvalho, J.A.J. Eco-Friendly Natural Rubber–Jute Composites for the Footwear Industry. Polymers 2023, 15, 4183. [Google Scholar] [CrossRef] [PubMed]
- Pang, H.; Jiang, T.; Dai, J.; Yang, Y.; Bai, W. Experimental Study of the Mechanical Properties of Full-Scale Rubber Bearings at 23 °C, 0 °C, and −20 °C. Polymers 2024, 16, 903. [Google Scholar] [CrossRef] [PubMed]
- Intiya, W.; Hatthapanit, K.; Thaptong, P.; Sae-Oui, P. Application of Tamarind Shell as a Green Additive in Natural Rubber. Polymers 2024, 16, 493. [Google Scholar] [CrossRef]
- Candau, N.; Zimny, A.; Vives, E.; Maspoch, M.L. Elastocaloric waste/natural rubber materials with various crosslink densities. Polymers 2023, 15, 2566. [Google Scholar] [CrossRef]
- Gnanasekaran, K.; Grimaldi, C.; de With, G.; Friedrich, H. A unified view on nanoscale packing, connectivity, and conductivity of CNT networks. Adv. Funct. Mater. 2019, 29, 1807901. [Google Scholar] [CrossRef]
- Tamayo-Vegas, S.; Muhsan, A.; Liu, C.; Tarfaoui, M.; Lafdi, K. The effect of agglomeration on the electrical and mechanical properties of polymer matrix nanocomposites reinforced with carbon nanotubes. Polymers 2022, 14, 1842. [Google Scholar] [CrossRef]
- Mora, A.; Verma, P.; Kumar, S. Electrical conductivity of CNT/polymer composites: 3D printing, measurements and modeling. Compos. Part B Eng. 2020, 183, 107600. [Google Scholar] [CrossRef]
- Arora, N.; Sharma, N. Sustained arc temperature: Better marker for phase transformation of carbon black to multiwalled carbon nanotubes in arc discharge method. Mater. Res. Express 2016, 3, 105030. [Google Scholar] [CrossRef]
- Singh, K.; Chaudhary, S.; Venugopal, R.; Gaurav, A. Bulk synthesis of multi-walled carbon nanotubes by AC arc discharge method. Proc. Inst. Mech. Eng. Part N J. Nanomater. Nanoeng. Nanosyst. 2017, 231, 141–151. [Google Scholar] [CrossRef]
- Zhao, S.; Hong, R.; Luo, Z.; Lu, H.; Yan, B. Carbon nanostructures production by AC arc discharge plasma process at atmospheric pressure. J. Nanomater. 2011, 2011, 14. [Google Scholar] [CrossRef]
- Ismail, R.A.; Mohsin, M.H.; Ali, A.K.; Hassoon, K.I.; Erten-Ela, S. Preparation and characterization of carbon nanotubes by pulsed laser ablation in water for optoelectronic application. Phys. E Low-Dimens. Syst. Nanostruct. 2020, 119, 113997. [Google Scholar] [CrossRef]
- Mwafy, E.A.; Mostafa, A.M. Multi walled carbon nanotube decorated cadmium oxide nanoparticles via pulsed laser ablation in liquid media. Opt. Laser Technol. 2019, 111, 249–254. [Google Scholar] [CrossRef]
- Radhakrishnan, G.; Adams, P.; Bernstein, L. Room-temperature deposition of carbon nanomaterials by excimer laser ablation. Thin Solid Film. 2006, 515, 1142–1146. [Google Scholar] [CrossRef]
- Vivas-Castro, J.; Rueda-Morales, G.; Ortega-Cervantez, G.; Moreno-Ruiz, L.; Ortega-Aviles, M.; Ortiz-Lopez, J. Synthesis of carbon nanostructures by microwave irradiation. In Carbon Nanotubes—Synthesis, Characterization, Applications; Yellampalli, S., Ed.; In Tech Open: London, UK, 2011; pp. 47–60. [Google Scholar]
- Vasudev, H.; Singh, G.; Bansal, A.; Vardhan, S.; Thakur, L. Microwave heating and its applications in surface engineering: A review. Mater. Res. Express 2019, 6, 102001. [Google Scholar] [CrossRef]
- Shchegolkov, A.V.; Shchegolkov, A.V. Synthesis of Carbon Nanotubes Using Microwave Radiation: Technology, Properties, and Structure. Russ. J. Gen. Chem. 2022, 92, 1168–1172. [Google Scholar] [CrossRef]
- Reddy, B.R.; Ashok, I.; Vinu, R. Preparation of carbon nanostructures from medium and high ash Indian coals via microwave-assisted pyrolysis. Adv. Powder Technol. 2020, 31, 1229–1240. [Google Scholar] [CrossRef]
- Hidalgo, P.; Navia, R.; Hunter, R.; Camus, C.; Buschmann, A.; Echeverria, A. Carbon nanotube production from algal biochar using microwave irradiation technology. J. Anal. Appl. Pyrolysis 2023, 172, 106017. [Google Scholar] [CrossRef]
- Pant, M.; Singh, R.; Negi, P.; Tiwari, K.; Singh, Y. A comprehensive review on carbon nano-tube synthesis using chemical vapor deposition. Mater. Today Proc. 2021, 46, 11250–11253. [Google Scholar] [CrossRef]
- Hou, P.X.; Zhang, F.; Zhang, L.; Liu, C.; Cheng, H.M. Synthesis of carbon nanotubes by floating catalyst chemical vapor deposition and their applications. Adv. Funct. Mater. 2022, 32, 2108541. [Google Scholar] [CrossRef]
- Dong, L.; Park, J.G.; Leonhardt, B.E.; Zhang, S.; Liang, R. Continuous synthesis of double-walled carbon nanotubes with water-assisted floating catalyst chemical vapor deposition. Nanomaterials 2020, 10, 365. [Google Scholar] [CrossRef]
- Choi, S.; Han, S.I.; Kim, D.; Hyeon, T.; Kim, D.-H. High-performance stretchable conductive nanocomposites: Materials, processes, and device applications. Chem. Soc. Rev. 2019, 48, 1566–1595. [Google Scholar] [CrossRef]
- Park, M.; Park, J.; Jeong, U. Design of conductive composite elastomers for stretchable electronics. Nano Today 2014, 9, 244–260. [Google Scholar] [CrossRef]
- Shchegolkov, A.V.; Shchegolkov, A.V.; Zemtsova, N.V.; Vetcher, A.A.; Stanishevskiy, Y.M. Properties of Organosilicon Elastomers Modified with Multilayer Carbon Nanotubes and Metallic (Cu or Ni) Microparticles. Polymers 2024, 16, 774. [Google Scholar] [CrossRef]
- Kwon, C.; Seong, D.; Ha, J.; Chun, D.; Bae, J.H.; Yoon, K.; Lee, M.; Woo, J.; Won, C.; Lee, S. Self-Bondable and Stretchable Conductive Composite Fibers with Spatially Controlled Percolated Ag Nanoparticle Networks: Novel Integration Strategy for Wearable Electronics. Adv. Funct. Mater. 2020, 30, 2005447. [Google Scholar] [CrossRef]
- Leng, J.; Huang, W.; Lan, X.; Liu, Y.; Du, S. Significantly reducing electrical resistivity by forming conductive Ni chains in a polyurethane shape-memory polymer/carbon-black composite. Appl. Phys. Lett. 2008, 92, 204101. [Google Scholar] [CrossRef]
- Petrovic, J.J. MoSi2-based high-temperature structural silicides. Mrs Bull. 1993, 18, 35–41. [Google Scholar] [CrossRef]
- Zhang, S.; Zhang, J.; Yang, S.; Shi, M.; Li, J.; Shen, Q. Enhanced mechanical, thermal and ablation properties of carbon fiber/BPR composites modified by mica synergistic MoSi2 at 1500 °C. Ceram. Int. 2023, 49, 21213–21221. [Google Scholar] [CrossRef]
- LaGrange, T.; Campbell, G.H.; Reed, B.; Taheri, M.; Pesavento, J.B.; Kim, J.S.; Browning, N.D. Nanosecond time-resolved investigations using the in situ of dynamic transmission electron microscope (DTEM). Ultramicroscopy 2008, 108, 1441–1449. [Google Scholar] [CrossRef]
- Liu, X.H.; Liu, Y.; Kushima, A.; Zhang, S.; Zhu, T.; Li, J.; Huang, J.Y. In situ TEM experiments of electrochemical lithiation and delithiation of individual nanostructures. Adv. Energy Mater. 2012, 2, 722–741. [Google Scholar] [CrossRef]
- Zhang, Z.; Said, S.; Smith, K.; Jervis, R.; Howard, C.A.; Shearing, P.R.; Brett, D.J.; Miller, T.S. Characterizing batteries by in situ electrochemical atomic force microscopy: A critical review. Adv. Energy Mater. 2021, 11, 2101518. [Google Scholar] [CrossRef]
- Hollingsworth, S.A.; Dror, R.O. Molecular dynamics simulation for all. Neuron 2018, 99, 1129–1143. [Google Scholar] [CrossRef]
- Li, C.; Strachan, A. Molecular scale simulations on thermoset polymers: A review. J. Polym. Sci. Part B Polym. Phys. 2015, 53, 103–122. [Google Scholar] [CrossRef]
- Barrat, J.-L.; Baschnagel, J.; Lyulin, A. Molecular dynamics simulations of glassy polymers. Soft Matter 2010, 6, 3430–3446. [Google Scholar] [CrossRef]
- Yu, K.q.; Li, Z.s.; Sun, J. Polymer structures and glass transition: A molecular dynamics simulation study. Macromol. Theory Simul. 2001, 10, 624–633. [Google Scholar] [CrossRef]
- Frankland, S.; Harik, V.; Odegard, G.; Brenner, D.; Gates, T. The stress–strain behavior of polymer–nanotube composites from molecular dynamics simulation. Compos. Sci. Technol. 2003, 63, 1655–1661. [Google Scholar] [CrossRef]
- Nouri, N.; Ziaei-Rad, S. A molecular dynamics investigation on mechanical properties of cross-linked polymer networks. Macromolecules 2011, 44, 5481–5489. [Google Scholar] [CrossRef]
- Jabbarzadeh, A.; Atkinson, J.; Tanner, R. Effect of molecular shape on rheological properties in molecular dynamics simulation of star, H, comb, and linear polymer melts. Macromolecules 2003, 36, 5020–5031. [Google Scholar] [CrossRef]
- Kröger, M.; Hess, S. Rheological evidence for a dynamical crossover in polymer melts via nonequilibrium molecular dynamics. Phys. Rev. Lett. 2000, 85, 1128. [Google Scholar] [CrossRef]
- Bennemann, C.; Paul, W.; Binder, K.; Dünweg, B. Molecular-dynamics simulations of the thermal glass transition in polymer melts: α-relaxation behavior. Phys. Rev. E 1998, 57, 843. [Google Scholar] [CrossRef]
- Shen, J.; Lin, X.; Liu, J.; Li, X. Effects of cross-link density and distribution on static and dynamic properties of chemically cross-linked polymers. Macromolecules 2018, 52, 121–134. [Google Scholar] [CrossRef]
- Deng, H.; Skipa, T.; Zhang, R.; Lellinger, D.; Bilotti, E.; Alig, I.; Peijs, T. Effect of melting and crystallization on the conductive network in conductive polymer composites. Polymer 2009, 50, 3747–3754. [Google Scholar] [CrossRef]
- Gong, S.; Zhu, Z.; Meguid, S. Anisotropic electrical conductivity of polymer composites with aligned carbon nanotubes. Polymer 2015, 56, 498–506. [Google Scholar] [CrossRef]
- Zamani, S.M.M.; Behdinan, K. A molecular dynamics study of the mechanical and electrical properties of Polydimethylsiloxane-Ni conductive nanocomposites. Compos. Sci. Technol. 2020, 200, 108463. [Google Scholar] [CrossRef]
- Shahrokh, A.; Fakhrabadi, M.M.S. Effects of copper nanoparticles on elastic and thermal properties of conductive polymer nanocomposites. Mech. Mater. 2021, 160, 103958. [Google Scholar] [CrossRef]
- Fang, W.; Jang, H.W.; Leung, S.N. Evaluation and modelling of electrically conductive polymer nanocomposites with carbon nanotube networks. Compos. Part B Eng. 2015, 83, 184–193. [Google Scholar] [CrossRef]
- ISO 1658; Natural Rubber (NR)—Evaluation Procedure. ISO: Geneva, Switzerland, 2005.
- GB/T 15340; Rubber, Raw Natural and Raw Synthetic-Sampling and Further Preparative Procedures. China Standard of the People’s Republic of China: Beijing, China, 2008.
- Mashayak, S.; Jochum, M.N.; Koschke, K.; Aluru, N.; Rühle, V.; Junghans, C. Relative entropy and optimization-driven coarse-graining methods in VOTCA. PLoS ONE 2015, 10, e0131754. [Google Scholar] [CrossRef] [PubMed]
- Rühle, V.; Junghans, C. Hybrid Approaches to Coarse-Graining using the VOTCA Package: Liquid Hexane. Macromol. Theory Simul. 2011, 20, 472–477. [Google Scholar] [CrossRef]
- Ruhle, V.; Junghans, C.; Lukyanov, A.; Kremer, K.; Andrienko, D. Versatile object-oriented toolkit for coarse-graining applications. J. Chem. Theory Comput. 2009, 5, 3211–3223. [Google Scholar] [CrossRef] [PubMed]
- Kaminski, G.A.; Friesner, R.A.; Tirado-Rives, J.; Jorgensen, W.L. Evaluation and reparametrization of the OPLS-AA force field for proteins via comparison with accurate quantum chemical calculations on peptides. J. Phys. Chem. B 2001, 105, 6474–6487. [Google Scholar] [CrossRef]
- Tschöp, W.; Kremer, K.; Batoulis, J.; Bürger, T.; Hahn, O. Simulation of polymer melts. I. Coarse-graining procedure for polycarbonates. Acta Polym. 1998, 49, 61–74. [Google Scholar] [CrossRef]
- Plimpton, S. Fast parallel algorithms for short-range molecular dynamics. J. Comput. Phys. 1995, 117, 1–19. [Google Scholar] [CrossRef]
- Auhl, R.; Everaers, R.; Grest, G.S.; Kremer, K.; Plimpton, S.J. Equilibration of long chain polymer melts in computer simulations. J. Chem. Phys. 2003, 119, 12718–12728. [Google Scholar] [CrossRef]
- Evans, D.J.; Morriss, G.P. Statistical Mechanics of Nonequilbrium Liquids; ANU Press: Canberra, ACT, Australia, 2007. [Google Scholar]
- GB/T 528; Rubber, Vulcamized or Thermoplastic—Determination of Tensile Stress-Strain Properties. China Standard of the People’s Republic of China: Beijing, China, 1998.
- George, N.; Chandra, J.; Mathiazhagan, A.; Joseph, R. High performance natural rubber composites with conductive segregated network of multiwalled carbon nanotubes. Compos. Sci. Technol. 2015, 116, 33–40. [Google Scholar] [CrossRef]
- Krainoi, A.; Kummerlöwe, C.; Vennemann, N.; Nakaramontri, Y.; Pichaiyut, S.; Nakason, C. Effect of carbon nanotubes decorated with silver nanoparticles as hybrid filler on properties of natural rubber nanocomposites. J. Appl. Polym. Sci. 2019, 136, 47281. [Google Scholar] [CrossRef]
- Pazhooh, H.N.; Bagheri, R.; Adloo, A. Fabrication of semi-conductive natural rubber nanocomposites with low copper nanoparticle contents. Polymer 2017, 108, 135–145. [Google Scholar] [CrossRef]
- Salaeh, S.; Thitithammawong, A.; Salae, A. Highly enhanced electrical and mechanical properties of methyl methacrylate modified natural rubber filled with multiwalled carbon nanotubes. Polym. Test. 2020, 85, 106417. [Google Scholar] [CrossRef]











| Atomic Force Field | Coarse-Graining Force Field | |||||
|---|---|---|---|---|---|---|
| PI | MWCNTs | MoSi2 | PI | MWCNTs | MoSi2 | |
| ε (kJ/mol) | 0.75 | 9.89 | 0.84 | 1 | 13.20 | 1.12 |
| σ (nm) | 0.6 | 1.8825 | 0.43 | 1 | 3.14 | 0.72 |
| Kbond (kJ/mol/nm2) | 4029 | 36,353 | - | 1934 | 48,417 | - |
| r0 (nm) | 0.495 | 0.967 | - | 0.825 | 1.612 | - |
| Kangle (kJ/mol/rad2) | 11.96 | 39,201 | - | 9.8 | 52,268 | - |
| Θ0 (kJ/mol/degree2) | 135 | 180 | - | 135 | 180 | - |
| Mass (Ar) | 68 | 2304 | 50,480 | 1 | 33.8 | 742.35 |
| ∆ | - | - | - | 0 | 0 | 4 |
Disclaimer/Publisher’s Note: The statements, opinions and data contained in all publications are solely those of the individual author(s) and contributor(s) and not of MDPI and/or the editor(s). MDPI and/or the editor(s) disclaim responsibility for any injury to people or property resulting from any ideas, methods, instructions or products referred to in the content. |
© 2024 by the authors. Licensee MDPI, Basel, Switzerland. This article is an open access article distributed under the terms and conditions of the Creative Commons Attribution (CC BY) license (https://creativecommons.org/licenses/by/4.0/).
Share and Cite
Jiang, R.; Ma, Y.; Fan, Z.; Chen, Y.; Zheng, T.; Yu, R.; Liao, J. Design and Optimization of NR-Based Stretchable Conductive Composites Filled with MoSi2 Nanoparticles and MWCNTs: Perspectives from Experimental Characterization and Molecular Dynamics Simulations. Polymers 2024, 16, 1444. https://doi.org/10.3390/polym16111444
Jiang R, Ma Y, Fan Z, Chen Y, Zheng T, Yu R, Liao J. Design and Optimization of NR-Based Stretchable Conductive Composites Filled with MoSi2 Nanoparticles and MWCNTs: Perspectives from Experimental Characterization and Molecular Dynamics Simulations. Polymers. 2024; 16(11):1444. https://doi.org/10.3390/polym16111444
Chicago/Turabian StyleJiang, Ruifeng, Yanbin Ma, Zhuojun Fan, Yongping Chen, Tingting Zheng, Rentong Yu, and Jianhe Liao. 2024. "Design and Optimization of NR-Based Stretchable Conductive Composites Filled with MoSi2 Nanoparticles and MWCNTs: Perspectives from Experimental Characterization and Molecular Dynamics Simulations" Polymers 16, no. 11: 1444. https://doi.org/10.3390/polym16111444
APA StyleJiang, R., Ma, Y., Fan, Z., Chen, Y., Zheng, T., Yu, R., & Liao, J. (2024). Design and Optimization of NR-Based Stretchable Conductive Composites Filled with MoSi2 Nanoparticles and MWCNTs: Perspectives from Experimental Characterization and Molecular Dynamics Simulations. Polymers, 16(11), 1444. https://doi.org/10.3390/polym16111444

