Abstract
Cellulose nanofibrils/poly(N-Isopropylacrylamide) semi-interpenetrating networks (MMCNF-PNAs) were synthesized using an in situ fabrication (semi-IPN). The polymerization of N-isopropylacrylamide (NIPAM) (free radical) was conducted in the presence of magnetic modified cellulose nanofibrils (MMCNFs). The adsorption behaviors and surface morphology of the synthesized adsorbents were investigated systematically. The adsorption behaviors of the as-prepared MMCNF-PNA towards methylene blue (MB, as the model contaminant) dye was studied, and the optimal adsorption conditions were also studied. The adsorption processes could be well fitted using pseudo-second-order and Elovich kinetic models. Meanwhile, Langmuir and Freundlich isotherm models were used to fit the adsorption which occurred at 25, 37 and 65 °C. The corresponding results showed that the Freundlich isotherm model fitted the adsorption process better, indicating that the dye’s adsorption happened via heterogeneous adsorptive energies on the prepared MMCNF-PNAs. Their desorption and reusability were also studied to verify magnetic responsivity. To sum up, MMCNF-PNAs are promising magnetic and thermal stimuli-responsive adsorbents, showing a controlled adsorption/desorption process.
1. Introduction
The presence of dyes in wastewater has attracted the increasing concern due to the growing amount of industrialization in the world. Dyes can enter water through the disposal of wastes from the textile, printing and dyeing industries. The dyes from different industries include methylene blue (MB), methyl violet (MV), methyl orange (MO), methyl red (MR), peacock green (PG), etc. High concentrations of these dyes are dangerous to the health of humans and therefore need to be removed from wastewater. Adsorption is becoming an increasingly common method of dye removal from wastewaters. Adsorption with activated carbon has been found to be an effective method of removing dyes from water without the production of any harmful by-products [1]. However, even though activated carbon is a widely used adsorbent, it still has relatively high costs associated with it [2]. In this case, the use of low-cost adsorbents, such as modified cellulose materials, has gained much interest for the removal of heavy metal ions from wastewater.
The use of cellulose and its derivatives (nanocellulose or micro-fibrillated cellulose) as an adsorbent is becoming increasingly common, as cellulose is the most abundant and renewable polymer resource in the world. This is beneficial, as a disadvantage to using adsorption as a method to remove dyes from wastewater is the high cost of adsorbents. However, selectivity and the adsorption capacity are limited when unmodified cellulose is used as an adsorbent directly. In addition, the hydroxyl groups on the chains of cellulose can react easily, introducing new functional groups such as -NH2, -COO-, -COOH, or -SO3H groups via various modification methods including etherification, halogenation, esterification, grafting and oxidation [3]. The mentioned approaches can change the properties of cellulose, including hydrophobicity or hydrophilicity, adsorptive capability and elasticity [4]. Renewable cellulose nanocrystals (CNCs) and cellulose nanofibrils (CNFs) have been seriously studied in recent years. CNCs are usually isolated using strong acid hydrolysis. The mechanical fabrication methods of CNFs include high-pressure homogenization, refining and grinding [5]. Such approaches utilize fewer chemicals compared to those methods of preparing CNCs. CNFs combine the advantages of nanomaterials and bio-based materials, which makes them an ideal absorbent for introducing the active functional groups.
Recently, grafting modification has been suggested as a convenient approach to introducing new chemical and physical properties to cellulose [6]. The most widely reported responsive polymers are thermal-responsive poly (N-isopropyl acrylamide) (PNIPAM) and pH responsive polymers with carboxyl groups (polyacrylic acid (PAA)). In recent years, materials with PNIPAM and PAA have been widely used in medicine and biotechnology [7]. Furthermore, the graft modification of cellulose with PNIPAM is reported to be a novel method of cellulose modification. The responsive polymers can be used to modify the cellulose materials using grafting, which is known as responsive modification of cellulose. Cha et al. [8] synthesized NIPAM-based responsive hydrogels using CNCC (carboxylated nanocrystalline cellulose) as the raw material. The as-prepared hydrogel showed thermal/pH sensitivity. Soyeon and Kevin [9] reported on hydrogel prepared using NIPAM and AA as the raw materials (poly (NIPAAm-co-AAc)). The corresponding hydrogel was proved to create environmentally responsive artificial extracellular matrixes. From the methods mentioned above, there is great potential for cellulose-based materials to be applied as ideal candidates to prepare responsive or smart bio-adsorbents. In addition, some functional fillers such as graphene oxide and Fe3O4 can be introduced as reinforcing agents to enhance the properties of composites for various applications. Dai et al. developed a pH/magnetic responsive hydrogel consisting of pineapple peel carboxymethyl cellulose (PCMC), regenerated nanocellulose (rPPNc) and polyvinyl alcohol (PVA), accompanied by in situ incorporation of Fe3O4. The resulting hydrogels can be seen as promising candidate materials for drug delivery systems due to their characteristics of biocompatibility, pH and magnetic sensitivity [10].
An interpenetrating network (IPN) prepared from polymers is obtained when a network of two or more polymers are interlaced with each other. However, a semi-interpenetrating network (semi-IPN) is created when one of the polymers is not fully cross-linked. In this work, we developed a magnetically modified cellulose nanofibril and thermal-responsive semi-interpenetrating network (semi-IPN) adsorbent as a green-based candidate for dye removal in aqueous solutions. Generally, the surface morphology can be modified by swelling behaviors with temperature changes. As a result, the adsorption/desorption process can be changed effectively by varying temperature. The magnetic modification was carried out using in situ incorporation of Fe3O4, followed by the responsive modification using a free radical copolymerization. Two cationic dyes, methylene blue (MB) and methyl violet (MV), were used as the target contaminants. The proper conditions for the preparation processes were studied, followed by investigation of the morphology characterization, the adsorption and desorption mechanism. The preparation method of this work consisted of the magnification of cellulose and free radical polymerization using thermal-responsive monomer as the modifier. The method could also be applied for the modification of other cellulose materials, and it is suitable for industrial applications.
2. Materials and Methods
2.1. Materials and Reagents
Cellulose nanofibrils (CNF, diameter 4–10 nm; length 100–500 nm; solid content 4.5%) were purchased from Guilin Qihong Technology Co., Ltd., Guilin, China; this product was prepared using a mechanical method. Wood cellulose was used as the ray material. Potassium persulfate (KPS), N-isopropylacrylamide (NIPAM), acrylic acid (AA), N-N-Methylenebisacrylamide (MBA), methylene blue (MB) and methyl violet (MV), FeCl3·6H2O, FeCl2·4H2O, ethanol, acetone, ammonia and other reagents were used as purchased and received from Macklin reagent Co., (Shanghai, China); all of the reagents purchased were analytical grade.
2.2. Preparation of Magnetization Modified Cellulose Nanofibrils Composite Materials (MMCNF)
The MMCNFs were prepared by in situ incorporation of Fe3O4 (as the magnetic response additive). Cellulose nanofibrils (22.22 g hydrogel, real mass of cellulose fiber 1 g) was added to a three-necked flask, followed by adding 80 mL deionized water. The CNFs were fully dispersed by stirring using a homogenizer (Netzsch, Selb, Germany) to give a high-speed shear, and finally the cellulose solution was generated. The flask was then set in a water bath at 75 °C and kept for 30 min. Then, a certain amount of FeCl3·6H2O (2.4 g) and FeCl2·4H2O (0.9 g) were added, and the matrix was fully homogenized by vigorous stirring. Ammonia (5.08 g, 25 wt%) was added to adjust the pH value to 9–10 and stirred continued at the fixed temperature for 1 h. The final products were separated using a magnet and then washed with deionized water and ethanol to get rid of potential impurities or water-soluble substances. After that, the purified MMCNFs were immersed in excessive acetone to wash several times, and the MMCNFs were finally dried using freeze-drying equipment.
2.3. Preparation of MMCNF/Poly (NIPAM) Semi-IPN Composite Materials (MMCNF-PNA)
The MMCNF-PNAs were fabricated using an internal crosslinking method of MMCNF via polymerization (free-radical) with a thermal-responsive monomer (NIPAM) in the presence of an initiator and crosslinker (KPS and MBA), respectively [11]. In the process, a certain amount of as-prepared MMCNFs (2 g) was added to a three–necked flask which was heated in a 75 °C water bath, and then deionized water was also added (100 mL). The solution was fully dispersed by stirring, followed by adding the proper amount of NIPAM. The KPS (0.03 g, 0.06 g, 0.12 g), MBA (0.015 g, 0.03 g, 0.06 g), and TEMED (10 μL) were then added to the flasks, and the matrix was heated at 75 °C for 6 h (TEMED was added as an accelerator). NIPAM was added at fixed amount (for different samples, 0.25 g, 0.5 g, and 1.0 g of NIPAM were added). After a 6 h reaction period, the MMCNF-PNA composite materials were soaked in the excess distilled water and ethanol, respectively, and washed three times to remove those potential impurities. The obtained final products were dried using freeze-drying equipment for 24 h under fixed conditions (vacuum and −60 °C). The samples were marked as MMCNF-PNA-1, MMCNF-PNA-2 and MMCNF-PNA-3 in terms of the amount of NIPAM added during the preparation. The recipes are indicated in Table 1 and Figure 1.
Table 1.
The mass of MMCNF, AA, NIPAM, MBA and KPS used.
Figure 1.
The FTIR spectra of CNF, MMCNF, MMCNF-PNA-1, MMCNF-PNA-2 and MMCNF-PNA-3.
2.4. Characterization
The characteristic peaks were measured using Fourier transform infrared spectroscopy (FT-IR, Invenio S, Bruker, Billerica, MA, USA). During the test, the samples were ground with a certain amount of KBr and pressed into thin sheets. The resolution was set at 4 cm−1. The testing range was set from 4000 cm−1 to 500 cm−1. A transmission electron microscope (FEI Tecnai G2 F30, Hillsborough, ON, USA) was used for morphological characterization and the component analysis with the Energy spectrum model of Oxford XPLORE. Prior to observation, all the samples were dispersed in water via ultrasound (10 mg in 100 mL). One drop of the solution was dropped on the sample stages and dried, followed by a spray process to cover a thin film of gold before testing. The thermal decomposition of the MMCNF-PNA was measured using a thermogravimetric analyzer (TG) (model Q600, Wilmington, DE, USA) to compare the stability and decomposition peaks. The measurement of about 10 mg of the sample was carried out under N2 atmosphere with a temperature range of 25 °C~600 °C and a heating rate of 10 °C/min.
2.5. Batch Adsorption
The batch adsorption was carried out using dyes (MB and MV) as the indicator. The influence of shaking time, pH and temperature was systematically investigated as well. First, the stock solution with the concentration of 1000 mg/L was prepared, followed by dilution to obtain tested samples with different concentrations. During the test, 10 mg of the adsorbent was added to 10 mL of dye solution with the concentration of 20 mg/L at a fixed temperature. The matrix was then set on the TS110X30 shaker (Changzhou Jintan Liangyou Instrument Co., Ltd., Changzhou, China), and the tests were carried out with an agitation speed of 150 rpm. After a predetermined period, the concentrations of the dyes were tested using a UV spectrophotometer. The R (removal rate, %) and Qe (adsorption capacity at equilibrium, mg/g) could be obtained based on the results from the test [12]. Three replicates’ measurements were used to make sure of the accuracy of all the experiments.
where C0 (mg L−1) and Ce (mg L−1) represent the initial concentration and the equilibrium concentration; V (L) represents the volume; and m (g) represents the mass.
2.6. Adsorption Mechanism Study (Isotherm Models and Kinetic Models)
The adsorption isotherm models and kinetic models were also used to verify the mechanism of adsorption processes. For the kinetic model, the experiment was designed and carried out with a fixed pH (pH 7) by adding 10 mg of samples in 10 mL of dye solution with an initial concentration of 20 ppm (25 °C and 37 °C); the matrix was set on a shaker at 130 rpm, and the adsorption time was set as 420 min to confirm the adsorption equilibrium. The adsorption capacity at a certain time was measured, and the related kinetic models, including pseudo-second-order, Elovich, and pseudo-first-order models, as well as the corresponding linear relations, were obtained. For the isotherm study, the experiment was carried out with a fixed pH (pH 7) by adding 10 mg samples to 10 mL of dye solution with different initial concentrations (the temperature was set as 25 °C, 37 °C and 65 °C). The matrix was set on a shaker at 130 rpm and the final concentrations of the solution were measured after the sufficient time adsorption process. The isotherm models, including the Freundlich and Langmuir models, were then calculated, and the equations of the kinetics and isotherms are indicated in the Supplementary Materials (See SM) [13].
2.7. Desorption and Reusability
After the adsorption process, the dye-loaded adsorbents were taken out and added to 10 mL of HCl solution with a concentration of 1 mol/L at room temperature. The supernatant was then extracted after a certain length of shaking, and the concentration was then measured, followed by the calculation of the desorption efficiency. The desorbed adsorbents were then further washed with distilled water and acetone three times and stored in a sample bag after drying. The recycled adsorbents were then further used to determine the reusability [14].
3. Results and Discussion
3.1. FTIR
The results of FTIR spectra (MMCNF-PNA-1, 2, 3) are indicated in Figure 1, showing the difference of the CNFs and modified CNFs. In the CNF spectra, peaks at 3340 cm−1, 2898 cm−1 and 1621 cm−1 were observed, corresponding the stretching vibration of O-H bond, the stretching vibration of the C-H bond and the O-H bending, respectively [15]. In addition, the bond at 1065 cm−1 related to the stretching vibration of C-O [16]. Meanwhile, the obtained FTIR curves of MMCNF-PNA-1, MMCNF-PNA-2 and MMCNF-PNA-3 revealed the evidence of the chains from PNIPAM with the related bond at 1636 cm−1 and 1556 cm−1, which corresponded with the N-H stretching and the C=O stretching from amide I, respectively [17]. Furthermore, a peak at 1378 cm−1 was also observed, which might be related to the group of PNIPAM (-CH(CH3)2) [18]. The above results demonstrated that MMCNF-PNA-1, 2 and 3 copolymers were fabricated successfully.
Meanwhile, from Figure 1, the absorbance peak at 3340 cm−1, which is related to the -OH group stretching, changed to 3440 cm−1 after the copolymerization, which might be due to the reaction of -OH groups. Compared to the result of MMCNF-PNA-1, the peak intensity of MMCNF-PNA-2 and MMCNF-PNA-3 at 1556 cm−1 (corresponded to the N-H stretching of NIPAM) increased obviously, showing that a greater quantity of NIPAM monomers was grafted on MMCNFs. The same phenomenon was also indicated by the bond of 1636 cm−1 (related to the C=O stretching for amide I).
3.2. Scanning Electron Microscope (SEM)
The SEM images of CNF, MMCNF, MMCNF-PNA-1, MMCNF-PNA-2, MMCNF-PNA-3 and EDS-Fe element mapping for MMCNF-PNA-1, MMCNF-PNA-2 and MMCNF-PNA-3 are indicated in Figure 2. From Figure 2a, the nano structure of CNF could be observed, in which the film morphology (formed by CNF) was also observed. After magnetic modification (Figure 2b), the individual CNF appeared to be invisible, and the CNF incorporated with Fe3O4 was clearly indicated. In comparison with the morphology of CNF and MMCNF (see Figure 2a,b), the responsive (semi-IPN) consisting of PNIPAM grafted CNF (Figure 2c–e) appeared to have a more porous structure, which might be due to the polymer having formed a certain number of channels or pores in the composites via grafting [19]. Furthermore, in comparison with the images obtained from MMCNF-PNA-1 (Figure 2c), the more porous structure could be observed on the image of MMCNF-PNA-3 (Figure 2e), implying more polymer chains grafted on MMCNF-PNA-3. The EDS results also indicated that the CNFs incorporated with Fe3O4 in the matrix (Figure 2f–h).
Figure 2.
The SEM images of CNF (a), MMCNF (b), MMCNF-PNA-1 (c), MMCNF-PNA-2 (d) and MMCNF-PNA-3 (e), EDS-Fe element mapping for MMCNF-PNA-1, MMCNF-PNA-2 and MMCNF-PNA-3, the EDS images of Fe element on MMCNF-PNA-1 (f), MMCNF-PNA-2 (g), MMCNF-PNA-3 (h).
3.3. Thermal Gravimetric Analyzer (TGA)
To reveal the thermal properties of CNF, MMCNF, MMCNF-PNA-1, MMCNF-PNA-2 and MMCNF-PNA-3, the TG results are shown in Figure 3a,b. From Figure 3a, the CNF showed the mass loss of 70% with the tested temperature range from 25 °C to 700 °C (Figure 3a). Obviously, the thermal decomposition stages of MMCNF-PNA-3 happened in three parts; the first stage of the thermal decomposition occurred at the temperature range of 50–150 °C, which might be because the water evaporated in the testing samples. The second stage of the thermal decomposition happened at the temperature of 310 °C, which was related to the major thermal decomposition of CNF. The third thermal decomposition stage occurred at 383 °C, corresponding to the degradation of the PNIPAM modified CNF [19,20]. Meanwhile, from the curves shown in Figure 3b, the thermal degradation of the MMCNF-PNA-3 happened at 310 °C with the maximum weight loss observed, showing a 5 °C change lower than that of CNF. Obviously, the PNIPAM grafted CNF showed lower thermal stability than CNFs, which might be due to the grafting destroying the hydrogen bond between the chains of CNFs.
Figure 3.
The curves of TG (a) and DTG (b) (CNF, MMCNF, MMCNF-PNA-1, MMCNF-PNA-2 and MMCNF-PNA-3).
3.4. The Contact Time Effects on Adsorption
The contact time effects on adsorption are indicated in Figure 4. The dye (MB as the indicator) adsorption was investigated under the desired conditions: pH 7; initial concentration of 20 ppm; temperatures fixed at 25 °C and 37 °C; adsorbent dosage at 1000 mg/L. After a 150 min adsorption process, the equilibrium reached for the temperatures was at 25 °C and 37 °C, and the above process were obviously divided into three different events, which are demonstrated in the Figure 4a,b. In the first stage, the time range from 0 to 60 min proved that the adsorption occurred on the external surface. The second stage, between 60 and 150 min, was named as the gradual adsorption process. The third event, which began at 150 min, was named the equilibrium process, where the relatively lower concentration of MB led to a slow intraparticle diffusion process [21]. Interestingly, thermal responsivity was exhibited in Figure 4a,b; the sample MMCNF-PNA-2 had the proper amount of thermal-responsive polymers grafted and thus had the more obvious thermal-responsive behavior, resulting in the decrease of the Qt at 37 °C towards 25 °C. The contraction of NIPAM molecular chains and the changes from hydrophilic to hydrophobic led to a weakened adsorption capacity. Meanwhile, these whole processes were imitated with different kinetic models to verify the adsorption mechanism systematically afterwards.
Figure 4.
Effect of contact time on adsorption (the area 1, 2, and 3 in the figures are divided to show the different adsorption stages).
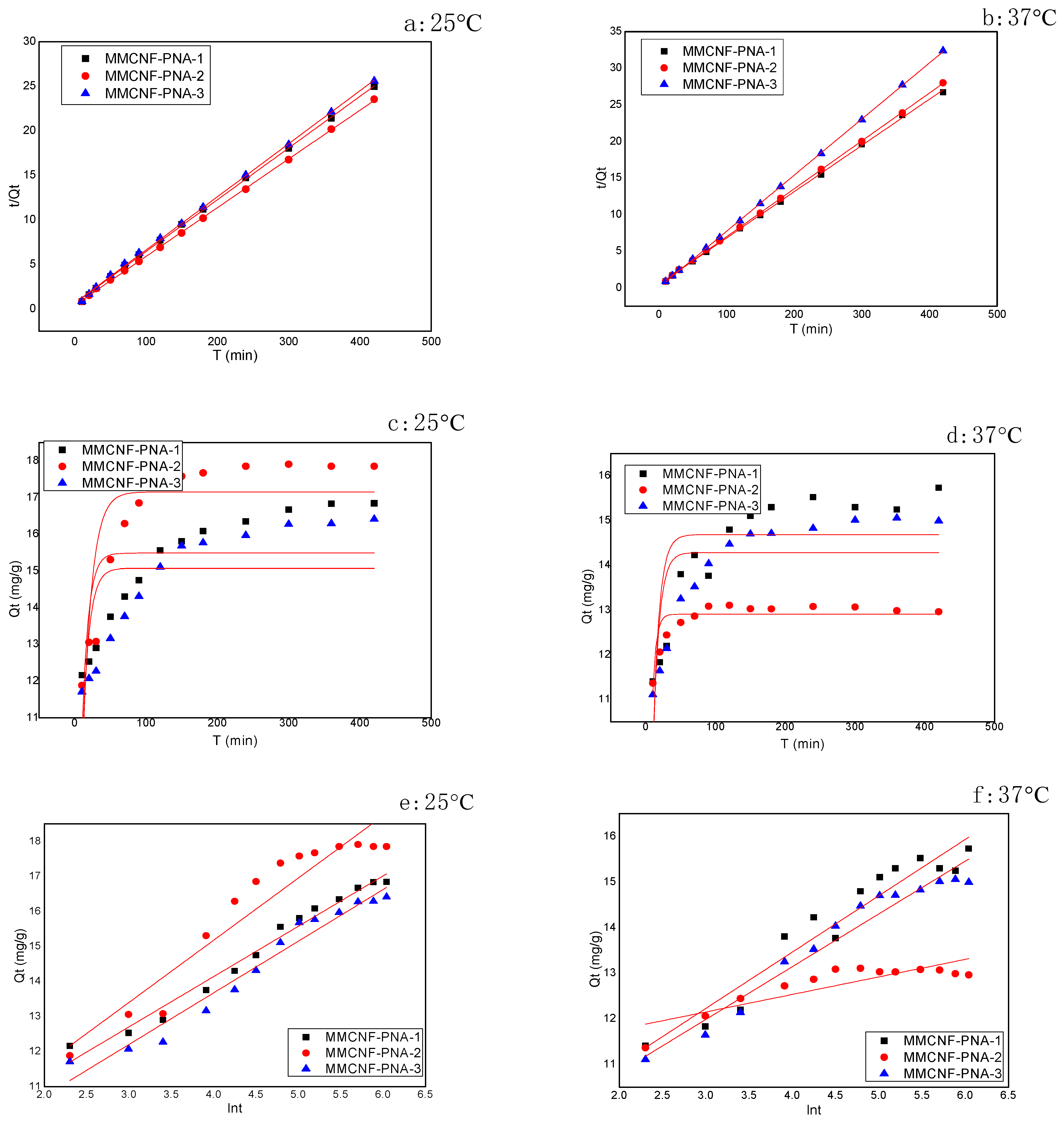
3.5. Adsorption Kinetic Models
Adsorption kinetic models were introduced to verify the adsorption mechanism. Herein, three models, pseudo-Second order, pseudo-first order and Elovich, were applied [22]. The pseudo-second order and pseudo-first order models usually can be applied to surface-controlled adsorption processes. Another model, the Elovich model, has been applied on a heterogeneous adsorbent which fits the energetic surface adsorption. The corresponding results of all the models are revealed in Figure 5 and Table 2. The linear relations of the kinetic models are revealed in Figure 5. Obviously, pseudo-second order was the better model to fit the adsorption than the other two models (pseudo-first order model and Elovich model), showing that the adsorption mechanism was chemical adsorption onto MMCNF-PNA-1, MMCNF-PNA-2 and MMCNF-PNA-3. In comparison with the k2 values of MMCNF-PNA-1 and MMCNF-PNA-2 at a temperature of 25 °C, the k2 value at 37 °C was higher, showing a faster dye uptake ability, which might be because of the more intense movement of molecular chains at high temperatures.
Figure 5.
Kinetics of the MB adsorption using MMCNF-PNA-1 (a,b—pseudo-second-order), MMCNF-PNA-2 (c,d—pseudo-first-order) and MMCNF-PNA-3 (e,f—Elovich model).
Table 2.
The R2 (correlation coefficients) and the constants for kinetic models.
3.6. Adsorption Isotherms
The adsorption isotherms were studied using the Langmuir model and Freundlich model, and the related results are revealed in Figure 6 and Table 3. As revealed in Figure 6, the Freundlich plot of lnQe versus lnCe exhibited the higher R2 (correlation coefficients), showing a better linear relationship, especially at high temperature (Figure 6b and Table 3, 65 °C). Conversely, the Langmuir isotherm model revealed the lower R2, showing a poorer fit at all temperatures. The Freundlich model fitted well to the dye adsorption on MMCNF-PNA-2, showing that the adsorption process was attributed to the heterogeneous adsorptive energies. Furthermore, the MMCNF-PNA-2 showed a higher R2 while using the Langmuir isotherm model to fit the data at low temperatures, indicating the fact that the dye adsorption on MMCNF-PNA-2 was more like a monolayer adsorption below the responsive temperature of the adsorbents.
Figure 6.
The adsorption isotherms for the adsorption of MB on MMCNF-PNA-1, MMCNF-PNA-2 and MMCNF-PNA-3: (a) Langmuir model and (b) Freundlich model.
Table 3.
Isotherm model constants and correlation coefficients (R2).
Generally, the KF values indicate the adsorption capability. As indicated in Table 3, the decrease of the temperature shows the increase of the KF value, resulting in the higher adsorption capacity towards dye, which might be due to the more porous structures exhibited by adsorbents at low temperatures. These pores are beneficial for adsorption. In general, the n values from Freundlich model (empirical coefficient) means different results (2–10 represents good adsorption capability, 1–2 represents moderately difficult adsorption capability, and less than 1 represents poor adsorption capability). From the values shown in Table 3, n was around 1 for the all samples, indicating a moderately difficult adsorption capability [23]. Table 4 compared the adsorption capacities between the MMCNF-PNA-2 and the other similar reported cellulose-based adsorbents; the results indicated that the adsorbent prepared in this work had a relatively high adsorption capacity towards cationic dyes, such as MB.
Table 4.
The adsorption capacities of dyes onto MMCNF-PNA-2 and other adsorbents.
3.7. The Desorption and Recycling of Adsorbents
Desorption and reusability were studied and the related results are shown in Figure 7. As indicated in Figure 7, the desorption efficiency for all the samples were obtained to be 82.12%, 80.26% and 81.69% of MB for MMCNF-PNA-1, MMCNF-PNA-2 and MMCNF-PNA-3 at the fifth recycle, respectively. The recovered adsorbents were applied to adsorb MB again (10 mg in 10 mL of 20 ppm MB solution, 2 h adsorption time) and the removal efficiency (R%) was tested. The R% for MMCNF-PNA-1, MMCNF-PNA-2 and MMCNF-PNA-3 were 75.21%, 73.42% and 81.23%, respectively, showing an excellent reusability. To sum up, the adsorbent exhibits an excellent ability for the desorption and reusability of cationic dyes.
Figure 7.
Desorption behavior of MB on adsorbents.
3.8. The Study of Thermal Responsive Behavior of the Adsorbents
The thermal-responsive behavior of the adsorbents was studied and simulated to better describe the responsiveness of the adsorbents compared with the conventional adsorbents (MMCNF). The experiments were carried out by adding 10 mg of each adsorbent to 10 mL of the dye solution at a concentration of 10 ppm. The matrix was set on the shaker mentioned above at 25 °C and kept for 2 h to reach equilibrium. The temperature was fixed to 37 °C and kept for another 2 h to reach equilibrium. The above processes were repeated, and the removal efficiency (R%) of the dye was calculated. The corresponding results are indicated in Figure 8. As indicated in Figure 8, the adsorption equilibrium was reached at around 2 h into the adsorption period at room temperature. The removal efficiency was 91.2%, 89.3%, 89.1% and 72.5% for MMCNF-PNA-1, MMCNF-PNA-2, MMCNF-PNA-3 and MMCNF, respectively. After another adsorption process at 37 °C, the removal efficiency changed to 81.1%, 73.1%, 62.1% and 71.6%, respectively. The R% of MMCNF did not change, and the R% of MMVNF-PNA decreased obviously (especially for MMCNF-PNA-3, from 89.1% to 62.1%) and the R% returned to the initial position while the temperature changed back to 25 °C, showing that the thermal-responsive property would affect the adsorption of the adsorbents, resulting in the possibility to control the dyes adsorption by only changing the adsorption conditions (such as temperature).
Figure 8.
The thermal-responsive behavior of the adsorbents.
4. Conclusions
Three responsive adsorbents consisting of nanocellulose/thermal-responsive polymer were fabricated successfully using the common free radical polymerization. The as-prepared CNF-based adsorbents exhibited porous structure and relatively high thermal responsibility and excellent dyes uptake ability. The controlled adsorption and desorption process towards dyes was proved, which might be due to the stimuli responsiveness. Different isotherm and kinetic models were applied to investigate the adsorption mechanism. The corresponding results indicated that adsorption kinetic and isotherm followed pseudo second order and Freundlich model, suggesting that the dyes adsorption occurs by heterogeneous adsorptive energies on the as-prepared semi-IPN. Overall, the novel adsorbents reported herein provides a new strategy to remove water contamination using those novel cellulose-based environmentally friendly composites.
Supplementary Materials
The following supporting information can be downloaded at: https://www.mdpi.com/article/10.3390/polym16111446/s1, Supplementary data included in the SD section, the formulas of adsorption kinetics and isotherms. References [28,29,30,31] are cited in the Supplementary Materials.
Author Contributions
Conceptualization, Y.Z. and Y.L.; methodology, Y.L.; software, L.Z.; validation, Y.Z. and Y.L.; formal analysis, Y.L.; investigation, Y.Z. and L.Z.; data curation, Y.L.; writing-original draft preparation, Y.Z. and L.Z.; writing-review and editing, Y.L.; supervision, Y.L.; project administration, Y.L.; funding acquisition, Y.L. All authors have read and agreed to the published version of the manuscript.
Funding
This research was funded by the 2022 Guangdong Province Ordinary University Characteristic Innovation Projects (2022KTSCX229), the Young Talent Project of GDAS (2023GDASQNRC-0304) and GDAS’ Project of Science and Technology Development (2024GDASZH-2024010102).
Institutional Review Board Statement
Not applicable.
Data Availability Statement
Data are contained within the article and Supplementary Materials.
Acknowledgments
Authors thank Dong Xie to provide the help on the idea and review and editing the manuscript.
Conflicts of Interest
The authors declare no conflict of interest.
References
- Sanna, H.; Bhatnagar, A.; Sillanpaa, M. A review on modification methods to cellulose-based adsorbents to improve adsorption capacity. Water Res. 2016, 91, 156–173. [Google Scholar]
- Debashish, R.; Semsarilar, M.; Guthrie, J.T.; Perrier, S. Cellulose modification by polymer grafting: A review. Chem. Soc. Rev. 2009, 7, 2046–2064. [Google Scholar]
- O’Connell, D.W.; Birkinshaw, C.; O’Dwyer, T.F. Heavy metal adsorbents prepared from the modification of cellulose: A review. Bioresource Technol. 2008, 99, 6709–6724. [Google Scholar] [CrossRef] [PubMed]
- Colak, S.; Kusefoglu, S.H. Synthesis and Interfacial Properties of Aminosilane Derivative of Acrylated Epoxidized Soybean Oil. J. Appl. Polym. Sci. 2007, 104, 2244–2253. [Google Scholar] [CrossRef]
- Wang, B.; Sain, M.; Oksman, K. Study of structural morphology of hemp fiber from the micro to the nanoscale. Appl. Compos. Mater. 2007, 14, 89–103. [Google Scholar] [CrossRef]
- Kang, H.; Liu, R.; Huang, Y. Graft modification of cellulose: Methods, properties and applications. Polymer 2015, 70, 1–16. [Google Scholar] [CrossRef]
- Ogawa, K.; Wang, B.; Kokufuta, E. Enzyme-regulated microgel collapse for controlled membrane permeability. Langmuir 2001, 17, 4704–4707. [Google Scholar] [CrossRef]
- Cha, R.; He, Z.; Ni, Y. Preparation and characterization of thermal/pH-sensitive hydrogel from carboxylated nanocrystalline cellulose. Carbohydr. Polym. 2012, 88, 713–718. [Google Scholar] [CrossRef]
- Kim, S.; Healy, K.E. Synthesis and Characterization of Injectable Poly (N-isopropylacrylamide-co-acrylic acid) Hydrogels with Proteolytically Degradable Cross-Links. Biomacromolecules 2003, 4, 1214–1223. [Google Scholar] [CrossRef]
- Dai, H.; Zhang, H.; Ma, L.; Zhou, H.; Yu, Y.; Guo, T.; Zhang, Y.; Huang, H. Green pH/magnetic sensitive hydrogels based on pineapple peel cellulose and polyvinyl alcohol: Synthesis, characterization and naringin prolonged release. Carbohydr. Polym. 2019, 209, 51–61. [Google Scholar] [CrossRef]
- Guo, B.L.; Gao, Q.Y. Preparation and properties of a pH/temperature-responsive carboxymethyl chitosan/poly [N-isopropylacrylamide] semi-IPN hydrogel for oral delivery of drugs. Carbohyd. Res. 2007, 342, 2416–2422. [Google Scholar] [CrossRef] [PubMed]
- Li, Y.; Xiao, H.; Pan, Y.; Zhang, M.; Jin, Y. Thermal and pH dual-responsive cellulose microfilament spheres for dye removal in single and binary systems. J. Hazard. Mater. 2019, 377, 88–97. [Google Scholar] [CrossRef] [PubMed]
- Wang, K.; Ma, H.; Pu, S.; Yan, C.; Wang, M.; Yu, J.; Wang, X.; Chu, W.; Anatoly, Z. Hybrid porous magnetic bentonite-chitosan beads for selective removal of radioactive cesium in water. J. Hazard. Mater. 2019, 362, 160–169. [Google Scholar] [CrossRef] [PubMed]
- Li, Y.; Xiao, H.; Pan, Y.; Zhang, M.; Ni, S.; Hou, X.; Hu, E. Study on cellulose microfilaments based composite spheres: Microwave-assisted synthesis, characterization, and application in pollutant removal. J. Environ. Manag. 2018, 228, 85–92. [Google Scholar] [CrossRef] [PubMed]
- Han, L.B.; Song, X.F.; Chen, D.S.; Qu, R.; Zhao, Y.Z. Self-Powered Multifunctional Organic Hydrogel Based on Poly(acrylic acid-N-isopropylacrylamide) for Flexible Sensing Devices. Langmuir 2023, 39, 6151–6159. [Google Scholar] [CrossRef] [PubMed]
- Zhou, X.; Yin, G.; Huang, Y.; Li, Y.; Xie, D. Biodegradable Nanofibrillated Cellulose/Poly-(butylene adipate-co-terephthalate) Composite Film with Enhanced Barrier Properties for Food Packaging. Molecules 2023, 28, 2689. [Google Scholar] [CrossRef] [PubMed]
- Ekici, S. Intelligent poly (N-isopropylacrylamide)-carboxymethyl cellulose full interpenetrating polymeric networks for protein adsorption studies. J. Mater. Sci. 2011, 46, 2843–2850. [Google Scholar] [CrossRef]
- Li, G.; Yu, N.; Gao, Y.; Tao, Q.; Liu, X. Polymeric hollow spheres assembled from ALG-g-PNIPAM and β-cyclodextrin for controlled drug release. Int. J. Biol. Macromol. 2016, 82, 381–386. [Google Scholar] [CrossRef] [PubMed]
- Li, Y.; Zhang, L.; Song, Z.; Li, F.; Xie, D. Intelligent temperature-pH dual responsive nanocellulose hydrogels and the application of drug release towards 5-fluorouracil. Int. J. Biol. Macromol. 2022, 223, 11–16. [Google Scholar] [CrossRef]
- Ma, J.; Liu, Y.; Ali, O.; Wei, Y.; Zhang, S.; Zhang, Y.; Cai, T.; Liu, C.; Luo, S. Fast adsorption of heavy metal ions by waste cotton fabrics based double network hydrogel and influencing factors insight. J. Hazard. Mater. 2018, 344, 1034–1042. [Google Scholar] [CrossRef]
- Yao, Y.; Bing, H.; Feifei, X.; Xiaofeng, C. Equilibrium and kinetic studies of methyl orange adsorption on multiwalled carbon nanotubes. Chem. Eng. J. 2011, 170, 82–89. [Google Scholar] [CrossRef]
- Azizi, A.; Moniri, E.; Hassani, A.H.; Panahi, H.A.; Miralinaghi, M. Polymerization of graphene oxide with polystyrene: Non-linear isotherms and kinetics studies of anionic dyes. Microchem. J. 2019, 145, 559–565. [Google Scholar] [CrossRef]
- Sekar, M.; Sakthi, V.; Rengaraj, S. Kinetics and equilibrium adsorption study of lead (II) onto activated carbon prepared from coconut shell. J. Colloid. Interf. Sci. 2004, 279, 307–313. [Google Scholar] [CrossRef]
- Hu, D.Y.; Wang, P.; Ma, Q.Y.; Wang, L.J. Preparation of a cellulose-based adsorbent with covalently attached hydroxypropyldodecyldimethylammonium groups for the removal of CI Reactive Blue 21 dye from aqueous solution. Desalin. Water Treat. 2016, 57, 10604–10615. [Google Scholar] [CrossRef]
- Salama, A. Novel cellulose derivative containing aminophenylacetic acid as sustainable adsorbent for removal of cationic and anionic dyes. Int. J. Biol. Macromol. 2023, 253, 126687. [Google Scholar] [CrossRef]
- Mhlongo, J.T.; Dlamini, M.L.; Nuapia, Y.; Etale, A. Synthesis and application of cationized cellulose for adsorption of anionic dyes. Mater. Today-Proc. 2022, 62, S133–S140. [Google Scholar] [CrossRef]
- Suteu, D.; Biliuta, G.; Rusu, L.; Coseri, S.; Vial, C.; Nica, I. A regenerable microporous adsorbent based on microcrystalline cellulose for organic pollutants adsorption. Desalin. Water Treat. 2019, 146, 176–187. [Google Scholar] [CrossRef]
- Lin, Q.; Gao, M.; Chang, J.; Ma, H. Adsorption properties of crosslinking carboxymethyl cellulose grafting dimethyldiallylammonium chloride for cationic and anionic dyes. Carbohydr. Polym. 2016, 151, 283–294. [Google Scholar] [CrossRef]
- Zhou, H.; Gao, B.; Zhou, Y.; Qiao, H.; Gao, W.; Qu, H.; Liu, S.; Zhang, Q.; Liu, X. Facile preparation of 3D GO/CNCs composite with adsorption performance towards [BMIM][Cl] from aqueous solution. J. Hazard. Mater. 2017, 337, 27–33. [Google Scholar] [CrossRef]
- Ling, L.L.; Liu, W.J.; Zhang, S.; Jiang, H. Magnesium Oxide Embedded Nitrogen Self-Doped Biochar Composites: Fast and High-Efficiency Adsorption of Heavy Metals in an Aqueous Solution. Environ. Sci. Technol. 2017, 51, 10081–10089. [Google Scholar] [CrossRef]
- Zhao, F.; Repo, E.; Yin, D.; Meng, Y.; Jafari, S.; Sillanpää, M. EDTA-Cross-Linked β-Cyclodextrin: An Environmentally Friendly Bifunctional Adsorbent for Simultaneous Adsorption of Metals and Cationic Dyes. Environ. Sci. Technol. 2017, 51, 10570–10580. [Google Scholar] [CrossRef] [PubMed]
Disclaimer/Publisher’s Note: The statements, opinions and data contained in all publications are solely those of the individual author(s) and contributor(s) and not of MDPI and/or the editor(s). MDPI and/or the editor(s) disclaim responsibility for any injury to people or property resulting from any ideas, methods, instructions or products referred to in the content. |
© 2024 by the authors. Licensee MDPI, Basel, Switzerland. This article is an open access article distributed under the terms and conditions of the Creative Commons Attribution (CC BY) license (https://creativecommons.org/licenses/by/4.0/).







