Understanding the Impact of Chain Mobility on Conformational Evolution and Kinetics of Mesophase Formation in Poly(ʟ-lactide) under Low-Pressure CO2
Abstract
1. Introduction
2. Materials and Methods
2.1. Materials and Sample Preparation
2.2. CO2 Treatment
2.3. Characterization
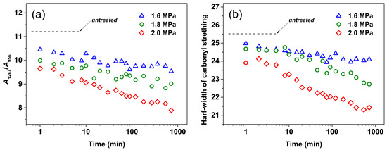
3. Results and Discussion
4. Conclusions
Supplementary Materials
Author Contributions
Funding
Institutional Review Board Statement
Data Availability Statement
Acknowledgments
Conflicts of Interest
References
- Leenslag, J.W.; Pennings, A.J.; Bos, R.R.M.; Rozema, F.R.; Boering, G. Resorbable Materials of Poly(L-lactide). 6. Plates and Screws for Internal Fracture Fixation. Biomaterials 1987, 8, 70–73. [Google Scholar] [CrossRef] [PubMed]
- Lasprilla, A.J.R.; Martinez, G.A.R.; Lunelli, B.H.; Jardini, A.L.; Maciel, R. Poly-lactic acid Synthesis for Application in Biomedical Devices—A Review. Biotechnol. Adv. 2012, 30, 321–328. [Google Scholar] [CrossRef] [PubMed]
- Auras, R.; Harte, B.; Selke, S. An Overview of Polylactides as Packaging Materials. Macromol. Biosci. 2004, 4, 835–864. [Google Scholar] [CrossRef] [PubMed]
- Nair, L.S.; Laurencin, C.T. Biodegradable Polymers as Biomaterials. Prog. Polym. Sci. 2007, 32, 762–798. [Google Scholar] [CrossRef]
- Rasal, R.M.; Janorkar, A.V.; Hirt, D.E. Poly(lactic acid) Modifications. Prog. Polym. Sci. 2010, 35, 338–356. [Google Scholar] [CrossRef]
- Gross, R.A.; Kalra, B. Biodegradable Polymers for the Environment. Science 2002, 297, 803–807. [Google Scholar] [CrossRef] [PubMed]
- Samsuri, M.; Purnama, P. Development of Stereocomplex Polylactide Nanocomposites as an Advanced Class of Biomaterials-A Review. Polymers 2023, 15, 2730. [Google Scholar] [CrossRef] [PubMed]
- Guo, N.; Zhao, M.; Li, S.; Hao, J.; Wu, Z.; Zhang, C. Stereocomplexation Reinforced High Strength Poly(L-lactide)/Nanohydroxyapatite Composites for Potential Bone Repair Applications. Polymers 2022, 14, 645. [Google Scholar] [CrossRef]
- Drumright, R.E.; Gruber, P.R.; Henton, D.E. Polylactic Acid Technology. Adv. Mater. 2000, 12, 1841–1846. [Google Scholar] [CrossRef]
- Saeidlou, S.; Huneault, M.A.; Li, H.; Park, C.B. Poly(lactic acid) Crystallization. Prog. Polym. Sci. 2012, 37, 1657–1677. [Google Scholar] [CrossRef]
- Liu, G.M.; Zhang, X.Q.; Wang, D.J. Tailoring Crystallization: Towards High-Performance Poly(lactic acid). Adv. Mater. 2014, 26, 6905–6911. [Google Scholar] [CrossRef]
- Zheng, Y.; Pan, P.J. Crystallization of biodegradable and biobased polyesters: Polymorphism, cocrystallization, and structure-property relationship. Prog. Polym. Sci. 2020, 109, 101291. [Google Scholar] [CrossRef]
- Purnama, P.; Samsuri, M.; Iswaldi, I. Properties Enhancement of High Molecular Weight Polylactide Using Stereocomplex Polylactide as a Nucleating Agent. Polymers 2021, 13, 1725. [Google Scholar] [CrossRef] [PubMed]
- Bai, H.W.; Deng, S.H.; Bai, D.Y.; Zhang, Q.; Fu, Q. Recent Advances in Processing of Stereocomplex-Type Polylactide. Macromol. Rapid Commun. 2017, 38, 1700454. [Google Scholar] [CrossRef] [PubMed]
- Zheng, Y.; Xu, S.; Yu, C.; Pan, P. Stereocomplexed Materials of Chiral Polymers Tuned by Crystallization: A Case Study on Poly(lactic acid). Acc. Mater. Res. 2022, 3, 1309–1322. [Google Scholar] [CrossRef]
- Tsuji, H. Poly(lactide) stereocomplexes: Formation, structure, properties, degradation, and applications. Macromol. Biosci. 2005, 5, 569–597. [Google Scholar] [CrossRef] [PubMed]
- Stoclet, G.; Seguela, R.; Lefebvre, J.M.; Elkoun, S.; Vanmansart, C. Strain-Induced Molecular Ordering in Polylactide upon Uniaxial Stretching. Macromolecules 2010, 43, 1488–1498. [Google Scholar] [CrossRef]
- Stoclet, G.; Seguela, R.; Lefebvre, J.M.; Rochas, C. New Insights on the Strain-Induced Mesophase of Poly(D,L-lactide): In Situ WAXS and DSC Study of the Thermo-Mechanical Stability. Macromolecules 2010, 43, 7228–7237. [Google Scholar] [CrossRef]
- Zhang, T.P.; Hu, J.; Duan, Y.X.; Pi, F.W.; Zhang, J.M. Physical Aging Enhanced Mesomorphic Structure in Melt-Quenched Poly(ʟ-lactic acid). J. Phys. Chem. B 2011, 115, 13835–13841. [Google Scholar] [CrossRef]
- Lan, Q.F.; Li, Y.; Chi, H.T. Highly Enhanced Mesophase Formation in Glassy Poly(L-lactide) at Low Temperatures by Low-Pressure CO2 That Provides Moderately Increased Molecular Mobility. Macromolecules 2016, 49, 2262–2271. [Google Scholar] [CrossRef]
- Baptista, C.; Azagury, A.; Baker, C.M.; Mathiowitz, E. The characterization and quantification of the induced mesophases of poly-l-lactic acid. Polymer 2021, 226, 123822. [Google Scholar] [CrossRef]
- Xu, J.; Reiter, G.; Alamo, R.G. Concepts of Nucleation in Polymer Crystallization. Crystals 2021, 11, 304. [Google Scholar] [CrossRef]
- Lauritzen, J.I.; Hoffman, J.D. Theory of formation of polymer crystals with folded chains in dilute solution. J. Res. Natl. Bur. Stand. Sect. A Phys. Chem. 1960, 64A, 73–102. [Google Scholar] [CrossRef] [PubMed]
- Lauritzen, J.I.; Hoffman, J.D. Extension of theory of growth of chain-folded polymer crystals to large undercoolings. J. Appl. Phys. 1973, 44, 4340–4352. [Google Scholar] [CrossRef]
- Strobl, G. From the Melt via Mesomorphic and Granular Crystalline Layers to Lamellar Crystallites: A Major Route Followed in Polymer Crystallization? Eur. Phys. J. E Soft Matter Biol. Phys. 2000, 3, 165–183. [Google Scholar] [CrossRef]
- Strobl, G. Colloquium: Laws controlling crystallization and melting in bulk polymers. Rev. Mod. Phys. 2009, 81, 1287–1300. [Google Scholar] [CrossRef]
- Tang, X.L.; Chen, W.; Li, L.B. The Tough Journey of Polymer Crystallization: Battling with Chain Flexibility and Connectivity. Macromolecules 2019, 52, 3575–3591. [Google Scholar] [CrossRef]
- Lan, Q.F.; Li, Y. Mesophase-Mediated Crystallization of Poly(L-lactide): Deterministic Pathways to Nanostructured Morphology and Superstructure Control. Macromolecules 2016, 49, 7387–7399. [Google Scholar] [CrossRef]
- Na, B.; Zou, S.F.; Lv, R.H.; Luo, M.B.; Pan, H.Y.; Yin, Q. Unusual Cold Crystallization Behavior in Physically Aged Poly(L-lactide). J. Phys. Chem. B 2011, 115, 10844–10848. [Google Scholar] [CrossRef]
- Kolesov, I.; Mileva, D.; Androsch, R. Mechanical Behavior and Optical Transparency of Polyamide 6 of Different Morphology Formed by Variation of the Pathway of Crystallization. Polym. Bull. 2014, 71, 581–593. [Google Scholar] [CrossRef]
- De Rosa, C.; Auriemma, F.; Di Girolamo, R.; de Ballesteros, O.R.; Pepe, M.; Tarallo, O.; Malafronte, A. Morphology and Mechanical Properties of the Mesomorphic Form of Isotactic Polypropylene in Stereodefective Polypropylene. Macromolecules 2013, 46, 5202–5214. [Google Scholar] [CrossRef]
- Mollova, A.; Androsch, R.; Mileva, D.; Schick, C.; Benhamida, A. Effect of Supercooling on Crystallization of Polyamide 11. Macromolecules 2013, 46, 828–835. [Google Scholar] [CrossRef]
- Koido, S.; Kawai, T.; Kuroda, S.; Nishida, K.; Kanaya, T.; Kato, M.; Kurose, T.; Nakajima, K. Mesomorphic Phase Formation of Plasticized Poly(ʟ-lactic acid). J. Appl. Polym. Sci. 2014, 131, 39762. [Google Scholar] [CrossRef]
- Liang, Y.Y.; Tang, H.; Zhong, G.J.; Li, Z.M. Formation of Poly(L-lactide) Mesophase and Its Chain Mobility Dependent Kinetics. Chin. J. Polym. Sci. 2014, 32, 1176–1187. [Google Scholar] [CrossRef]
- Zhang, J.M.; Duan, Y.X.; Domb, A.J.; Ozaki, Y. PLLA Mesophase and Its Phase Transition Behavior in the PLLA-PEG-PLLA Copolymer As Revealed by Infrared Spectroscopy. Macromolecules 2010, 43, 4240–4246. [Google Scholar] [CrossRef]
- Nagarajan, S.; Gowd, E.B. Cold Crystallization of PDMS and PLLA in Poly(ʟ-lactide-b-dimethylsiloxane-b-ʟ-lactide) Triblock Copolymer and Their Effect on Nanostructure Morphology. Macromolecules 2015, 48, 5367–5377. [Google Scholar] [CrossRef]
- Nagarajan, S.; Deepthi, K.; Gowd, E.B. Structural evolution of poly(L-lactide) block upon heating of the glassy ABA triblock copolymers containing poly(L-lactide) A blocks. Polymer 2016, 105, 422–430. [Google Scholar] [CrossRef]
- Marubayashi, H.; Akaishi, S.; Akasaka, S.; Asai, S.; Sumita, M. Crystalline Structure and Morphology of Poly(ʟ-lactide) Formed under High-Pressure CO2. Macromolecules 2008, 41, 9192–9203. [Google Scholar] [CrossRef]
- Lan, Q.F.; Yu, J.; He, J.S.; Maurer, F.H.J.; Zhang, J. Thermal Behavior of Poly(ʟ-lactide) Having Low L-Isomer Content of 94% after Compressed CO2 Treatment. Macromolecules 2010, 43, 8602–8609. [Google Scholar] [CrossRef]
- Longo, A.; Di Maio, E.; Du, F.; Androsch, R.; Lorenzo, M.L.D. CO2-diffusion controlled mesophase formation in poly(ʟ-lactic acid) and its effect on cold-crystallization. Polymer 2023, 285, 126380. [Google Scholar] [CrossRef]
- Zheng, Y.; Zhang, C.-L.; Bao, Y.-Z.; Shan, G.-R.; Pan, P.-J. Temperature-dependent Crystallization and Phase Transition of Poly(ʟ-lactic acid)/CO2 Complex Crystals. Chin. J. Polym. Sci. 2021, 39, 484–492. [Google Scholar] [CrossRef]
- Li, S.; Chen, T.; Liao, X.; Han, W.; Yan, Z.; Li, J.; Li, G. Effect of Macromolecular Chain Movement and the Interchain Interaction on Crystalline Nucleation and Spherulite Growth of Polylactic Acid under High-Pressure CO2. Macromolecules 2020, 53, 312–322. [Google Scholar] [CrossRef]
- Krikorian, V.; Pochan, D.J. Crystallization behavior of poly(ʟ-lactic acid) nanocomposites: Nucleation and growth probed by infrared spectroscopy. Macromolecules 2005, 38, 6520–6527. [Google Scholar] [CrossRef]
- Pan, P.; Zhu, B.; Dong, T.; Yazawa, K.; Shimizu, T.; Tansho, M.; Inoue, Y. Conformational and microstructural characteristics of poly(L-lactide) during glass transition and physical aging. J. Chem. Phys. 2008, 129, 184902. [Google Scholar] [CrossRef]
- Li, C.; Luo, S.; Wang, J.; Wu, H.; Guo, S.; Zhang, X. Conformational Regulation and Crystalline Manipulation of PLLA through a Self-Assembly Nucleator. Biomacromolecules 2017, 18, 1440–1448. [Google Scholar] [CrossRef] [PubMed]
- Xie, K.; Shen, J.; Ye, L.; Liu, Z.; Li, Y. Increased gt Conformer Contents of PLLA Molecular Chains Induced by Li-TFSI in Melt: Another Route to Promote PLLA Crystallization. Macromolecules 2019, 52, 7065–7072. [Google Scholar] [CrossRef]
- Pan, P.; Zhu, B.; Inoue, Y. Enthalpy relaxation and embrittlement of Poly(ʟ-lactide) during physical aging. Macromolecules 2007, 40, 9664–9671. [Google Scholar] [CrossRef]
- Priestley, R.D.; Ellison, C.J.; Broadbelt, L.J.; Torkelson, J.M. Structural relaxation of polymer glasses at surfaces, interfaces and in between. Science 2005, 309, 456–459. [Google Scholar] [CrossRef] [PubMed]
- Liao, X.; Nawaby, A.V.; Whitfield, P.S. Carbon dioxide-induced crystallization in poly(ʟ-lactic acid) and its effect on foam morphologies. Polym. Int. 2010, 59, 1709–1718. [Google Scholar] [CrossRef]
- Xu, J.Z.; Zhang, Z.J.; Xu, H.; Chen, J.B.; Ran, R.; Li, Z.M. Highly Enhanced Crystallization Kinetics of Poly(ʟ-lactic acid) by Poly(ethylene glycol) Grafted Graphene Oxide Simultaneously as Heterogeneous Nucleation Agent and Chain Mobility Promoter. Macromolecules 2015, 48, 4891–4900. [Google Scholar] [CrossRef]








Disclaimer/Publisher’s Note: The statements, opinions and data contained in all publications are solely those of the individual author(s) and contributor(s) and not of MDPI and/or the editor(s). MDPI and/or the editor(s) disclaim responsibility for any injury to people or property resulting from any ideas, methods, instructions or products referred to in the content. |
© 2024 by the authors. Licensee MDPI, Basel, Switzerland. This article is an open access article distributed under the terms and conditions of the Creative Commons Attribution (CC BY) license (https://creativecommons.org/licenses/by/4.0/).
Share and Cite
Liao, Y.; Lan, Q. Understanding the Impact of Chain Mobility on Conformational Evolution and Kinetics of Mesophase Formation in Poly(ʟ-lactide) under Low-Pressure CO2. Polymers 2024, 16, 1378. https://doi.org/10.3390/polym16101378
Liao Y, Lan Q. Understanding the Impact of Chain Mobility on Conformational Evolution and Kinetics of Mesophase Formation in Poly(ʟ-lactide) under Low-Pressure CO2. Polymers. 2024; 16(10):1378. https://doi.org/10.3390/polym16101378
Chicago/Turabian StyleLiao, Youjuan, and Qiaofeng Lan. 2024. "Understanding the Impact of Chain Mobility on Conformational Evolution and Kinetics of Mesophase Formation in Poly(ʟ-lactide) under Low-Pressure CO2" Polymers 16, no. 10: 1378. https://doi.org/10.3390/polym16101378
APA StyleLiao, Y., & Lan, Q. (2024). Understanding the Impact of Chain Mobility on Conformational Evolution and Kinetics of Mesophase Formation in Poly(ʟ-lactide) under Low-Pressure CO2. Polymers, 16(10), 1378. https://doi.org/10.3390/polym16101378

