Synthesis of New Ruthenium Complexes and Their Exploratory Study as Polymer Hybrid Composites in Organic Electronics
Abstract
1. Introduction
2. Materials and Methods
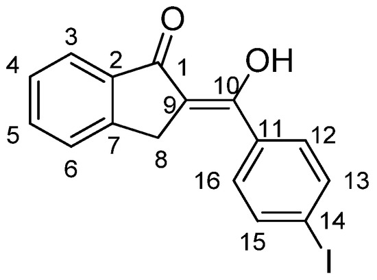
2.1. Synthesis of Ligands 1a–e
2.2. Synthesis and Characterization of Ruthenium Complexes 2a–e
2.3. Deposit and Characterization of Hybrid Films
3. Results and Discussion
3.1. Synthesis and Characterization of Ru Complexes
3.2. Characterization of Hybrid Films
4. Conclusions
Supplementary Materials
Author Contributions
Funding
Institutional Review Board Statement
Data Availability Statement
Acknowledgments
Conflicts of Interest
References
- Catania, F.; De Souza Oliveira, H.; Lugoda, P.; Cantarella, G.; Münzenrieder, N. Thin-film electronics on active substrates: Review of materials, technologies and applications. J. Phys. D Appl. Phys. 2022, 55, 323002. [Google Scholar] [CrossRef]
- Salvatore, G.A.; Münzenrieder, N.; Kinkeldei, T.; Petti, L.; Zysset, C.; Strebel, I.; Büthe, L.; Tröster, G. Wafer-scale design of lightweight and transparent electronics that wraps around hairs. Nat. Commun. 2014, 5, 2982. [Google Scholar] [CrossRef]
- Wang, C.; Sim, K.; Chen, J.; Kim, H.; Rao, Z.; Li, Y.; Chen, W.; Song, J.; Verduzco, R.; Yu, C. Soft ultrathin electronics innervated adaptive fully soft robots. Adv. Mater. 2018, 30, 1706695. [Google Scholar] [CrossRef]
- Kim, K.N.; Chun, J.; Kim, J.W.; Lee, K.Y.; Park, J.U.; Kim, S.W.; Wang, Z.L.; Baik, J.M. Highly Stretchable 2D Fabrics for Wearable Triboelectric Nanogenerator under Harsh Environments. ACS Nano 2015, 9, 6394–6400. [Google Scholar] [CrossRef]
- Lee, G.J.; Heo, S.J.; Lee, S.; Yang, J.H.; Jun, B.O.; Kim, H.S.; Jang, J.E. Stress release effect of micro-hole arrays for flexible electrodes and thin film transistors. ACS Appl. Mater. Interfaces 2020, 12, 19226–19234. [Google Scholar] [CrossRef]
- Yin, M.J.; Yin, Z.; Zhang, Y.; Zheng, Q.; Zhang, A.P. Micropatterned elastic ionic polyacrylamide hydrogel for low-voltage capacitive and organic thin-film transistor pressure sensors. Nano Energy 2019, 58, 96–104. [Google Scholar] [CrossRef]
- Gangopadhyay, A.; Nablo, B.J.; Rao, M.V.; Reyes, D.R. Flexible thin-film electrodes on porous polyester membranes for wearable sensors. Adv. Eng. Mater. 2017, 19, 1600592. [Google Scholar] [CrossRef]
- Miura, R.; Sekine, T.; Wang, Y.F.; Hong, J.; Watanabe, Y.; Ito, K.; Shouji, Y.; Takeda, Y.; Kumaki, D.; Domingues Dos Santos, F.; et al. Printed soft sensor with passivation layers for the detection of object slippage by a robotic gripper. Micromachines 2020, 11, 927. [Google Scholar] [CrossRef] [PubMed]
- Kumaresan, Y.; Lee, R.; Lim, N.; Pak, Y.; Kim, H.; Kim, W.; Jung, G.Y. Extremely flexible indium-gallium-zinc oxide (IGZO) based electronic devices placed on an ultrathin poly(methyl methacrylate) (PMMA) substrate. Adv. Electron. Mater. 2018, 4, 1800167. [Google Scholar] [CrossRef]
- Hou, S.; Yu, J.; Zhuang, X.; Li, D.; Liu, Y.; Gao, Z.; Sun, T.; Wang, F.; Yu, X. Phase separation of P3HT/PMMA blend film for forming semiconducting and dielectric layers in organic thin-film transistors for high-sensitivity NO2 detection. ACS Appl. Mater. Interfaces 2019, 11, 44521–44527. [Google Scholar] [CrossRef]
- Zidan, H.M.; Abu-Elnader, M. Structural and optical properties of pure PMMA and metal chloride-doped PMMA films. Phys. B Condens. Matter. 2005, 355, 308–317. [Google Scholar] [CrossRef]
- Sánchez Vergara, M.E.; Hernández Méndez, J.A.; González Verdugo, D.; Giammattei Funes, I.M.; Lozada Flores, O. Influence of the Polymeric Matrix on the Optical and Electrical Properties of Copper Porphine-Based Semiconductor Hybrid Films. Polymers 2023, 15, 3125. [Google Scholar] [CrossRef] [PubMed]
- Lozano González, M.; Sánchez-Vergara, M.E.; Álvarez, J.R.; Chávez-Uribe, M.I.; Toscano, R.A.; Álvarez-Toledano, C. Synthesis and optical properties of iron (III) complexes of 2-benzylidene-1-indanone derivative thin films. J. Mater. Chem. 2014, 2, 5607–5614. [Google Scholar] [CrossRef]
- Monzón-González, C.R.; Sánchez-Vergara, M.E.; Vallejo Narváez, W.E.; Rocha-Rinza, T.; Hernández, M.; Gómez, E.; Jiménez-Sandoval, O.; Álvarez-Toledano, C. Synthesis and characterization of organotin (IV) semiconductors and their applications in optoelectronics. J. Phys. Chem. Solids 2021, 150, 109840. [Google Scholar] [CrossRef]
- Lozano-González, M.; Sánchez-Vergara, M.E.; Alvarado-Beltrán, I.; Leyva-Esqueda, M.; Rivera, M.; Álvarez-Toledano, C. Synthesis and Evaluation of the Semiconductor Behavior in Vanadium Indanone Derivates Thin Films. Adv. Mater. Phys. Chem. 2017, 7, 70–83. [Google Scholar] [CrossRef]
- Sánchez Vergara, M.E.; Monzón-González, C.R.; Gómez Gómez, M.; Salcedo, R.; Corona-Sánchez, R.; Toscano, R.A.; Álvarez Toledano, C. Indanone-Based Copper(II) Molecular Materials as Potential Semiconductors for Optoelectronic Devices. Eur. J. Inorg. Chem. 2022, 2022, e202200125. [Google Scholar] [CrossRef]
- Monzón González, C.R.; Sánchez Vergara, M.E.; Elías-Espinosa, M.C.; Rodríguez-Valencia, S.A.; López-Mayorga, B.J.; Castillo-Arroyave, J.L.; Toscano, R.A.; Lozada Flores, O.; Álvarez Toledano, C. Design of Promising Uranyl(VI) Complexes Thin Films with Potential Applications in Molecular Electronics. ChemistryOpen 2024, e202300219. [Google Scholar] [CrossRef] [PubMed]
- Appold, M.; Mari, C.; Lederle, C.; Elbert, J.; Schmidt, C.; Ott, I.; Stühn, B.; Gasser, G.; Gallei, M. Multi-stimuli responsive block copolymers as smart release platform for a polypyridyl ruthenium complex. Polym. Chem. 2017, 8, 890–900. [Google Scholar] [CrossRef]
- Gaur, R.; Mishra, L.; Siddiqib, M.A.; Atakan, B. Ruthenium complexes as precursors for chemical vapor-deposition (CVD). RSC Adv. 2014, 4, 33785–33805. [Google Scholar] [CrossRef]
- Manjunatha, K.B.; Dileep, R.; Umesh, G.; Ramachandra Bhat, B. Nonlinear optical and all-optical switching studies of novel ruthenium complex. Opt. Laser Technol. 2013, 52, 103–108. [Google Scholar] [CrossRef]
- Malan, F.P.; Singleton, E.; van Rooyen, P.H.; Albrecht, M.; Landman, M. Synthesis, Stability, and (De)hydrogenation Catalysis by Normal and Abnormal Alkene- and Picolyl-Tethered NHC Ruthenium Complexes. Organometallics 2019, 38, 2624–2635. [Google Scholar] [CrossRef]
- Albertin, G.; Antoniutti, S.; Castro, J.; Paganelli, S. Preparation and reactivity of p-cymene complexes of ruthenium and osmium incorporating 1,3-triazenide ligands. J. Organomet. Chem. 2010, 695, 2142–2152. [Google Scholar] [CrossRef]
- Therrien, B. Arene Ruthenium Complexes in Supramolecular Chemistry. Adv. Inorg. Chem. 2018, 71, 379–402. [Google Scholar] [CrossRef]
- Salomón, F.F.; Vega, N.C.; Jurado, J.P.; Morán Vieyra, F.E.; Tirado, M.; Comedi, D.; CampoyQuiles, M.; Cattaneo, M.; Katz, N.E. Heteroleptic Ruthenium (II) Complexes with 2,2′-Bipyridines Having Carbonitriles as Anchoring Groups for ZnO Surfaces: Syntheses, Physicochemical Properties, and Applications in Organic Solar Cells. Inorg. Chem. 2021, 60, 5660–5672. [Google Scholar] [CrossRef]
- Marre, D.; Marinello, G. Comparison of type of commercial electron diodes for in vivo dosimetry. Med. Phys. 2004, 31, 50–56. [Google Scholar] [CrossRef]
- Dixon, R.L.; Ekstrand, K.E. Silicon diode dosimetry. Appl. Radiat. Isot. 1982, 33, 1171–1176. [Google Scholar] [CrossRef]
- Uršič, M.; Lipec, T.; Meden, A.; Turel, I. Synthesis and Structural Evaluation of Organo-Ruthenium Complexes with β-Diketonates. Molecules 2017, 22, 326. [Google Scholar] [CrossRef] [PubMed]
- Sayyah, S.M.; Khaliel, A.B.; Abd El-Salam, H.M.; Younis, M.A. Infrared Spectroscopic Studies on Some Thermally Degraded Poly(methyl methacrylate) Doped with N,N,N’,N’-tetraoxaloyl Para Sulphanilamide. Egypt. J. Chem. 2012, 55, 603–623. [Google Scholar] [CrossRef][Green Version]
- Coropceanu, V.; Cornil, J.; da Silva Filho, D.A.; Olivier, Y.; Silbey, R.; Brédas, J.-L. Charge Transport in Organic Semiconductors. Chem. Rev. 2007, 107, 926. [Google Scholar] [CrossRef]
- Barnes, T.M.; Bergeson, J.D.; Tenent, R.C.; Larsen, B.A.; Teeter, G.; Jones, K.M.; Blackburn, J.L.; Van de Lagemaat, J. Carbon nanotube network electrodes enabling efficient organic solar cells without a hole transport layer. Appl. Phys. Lett. 2010, 96, 243309. [Google Scholar] [CrossRef]
- Tanaka, S.; Mielczarek, K.; Ovalle-Robles, R.; Wang, B.; Hsu, D.; Zakhidov, A.A. Monolithic parallel tandem organic photovoltaic cell with transparent carbon nanotube interlayer. Appl. Phys. Lett. 2009, 94, 113506. [Google Scholar] [CrossRef]
- Wang, X.; Zhi, L.; Tsao, N.; Tomović, Ž.; Li, J.; Müllen, K. Transparent Carbon Films as Electrodes in Organic Solar Cells. Angew. Chem. Int. Ed. 2008, 47, 2990–2992. [Google Scholar] [CrossRef]
- Usta, H.; Risko, C.; Wang, Z.; Huang, H.; Deliomeroglu, M.K.; Zhukhovitskiy, A.; Facchetti, A.; Marks, T.J. Design, Synthesis, and Characterization of Ladder-Type Molecules and Polymers. Air-Stable, Solution-Processable n-Channel and Ambipolar Semiconductors for Thin-Film Transistors via Experiment and Theory. J. Am. Chem. Soc. 2009, 131, 5586–5608. [Google Scholar] [CrossRef]
- Roncali, J. Molecular Engineering of the Band Gap of π-Conjugated Systems: Facing Technological Applications. Macromol. Rapid Commun. 2007, 28, 1761–1775. [Google Scholar] [CrossRef]
- Clark Scharber, M.; Serdar Sariciftci, N. Low Band Gap Conjugated Semiconducting Polymers. Adv. Mater. Technnol. 2021, 6, 2000857. [Google Scholar] [CrossRef]
- Tauc, J. Optical properties and electronic structure of amorphous Ge and Si. Mater. Res. Bull. 1968, 3, 37–46. [Google Scholar] [CrossRef]
- Tauc, J.; Menth, A. States in the gap. J. Non-Cryst. Solids. 1972, 8, 569–585. [Google Scholar] [CrossRef]
- Al-Ghamdi, S.A.; Hamdalla, T.A.; Darwish, A.A.A.; Alzahrani, A.O.M.; El-Zaidia, E.F.M.; Alamrani, N.A.; Elblbesy, M.A.; Yahia, I.S. Preparation, Raman Spectroscopy, Surface Morphology and Optical Properties of TiPcCl2 Nanostructured Films: Thickness Effect. Opt. Quant. Electron. 2021, 53, 514. [Google Scholar] [CrossRef]
- Fazal, T.; Iqbal, S.; Shah, M.; Ismail, B.; Shaheen, N.; Alrbyawi, H.; Al-Anazy, M.M.; Elkaeed, E.B.; Somaily, H.H.; Pashameah, R.A.; et al. Improvement in Optoelectronic Properties of Bismuth Sulphide Thin Films by Chromium Incorporation at the Orthorhombic Crystal Lattice for Photovoltaic Applications. Molecules 2022, 27, 6419. [Google Scholar] [CrossRef] [PubMed]
- Tang, C.G.; Hou, K.; Leong, W.L. The Quest for Air Stability in Organic Semiconductors. Chem. Mater. 2024, 36, 28–53. [Google Scholar] [CrossRef]
- Bernards, D.A.; Owens, R.M.; Malliaras, G.G. Organic Semiconductors in Sensors Applications; Springer: Heidelberg, Germany, 2008. [Google Scholar]
- Burroughes, J.H.; Bradley, D.D.C.; Brown, A.R.; Marks, R.N.; Mackay, K.; Friend, R.H.; Burns, P.L.; Holmes, A.B. Light-emitting diodes based on conjugated polymers. Nature 1990, 347, 539–541. [Google Scholar] [CrossRef]
- Kiani, M.S.; Mitchell, G.R. Structure property relationships in electrically conducting copolymers formed from pyrrole and N-methyl pyrrole. Synth. Met. 1992, 46, 293. [Google Scholar] [CrossRef]











| Hybrid Film | (C=Oketo form) cm−1 | (C=Oenol) cm−1 | (C=C) cm−1 | (Ru–O) cm−1 | PMMA: (C–H) cm−1 | PMMA: (C–O) cm−1 | PMMA: (C=O) cm−1 |
|---|---|---|---|---|---|---|---|
| 2a (film) | 1594 | 1568 | 457 | 2950, 2847 | 1242, 1193, 989 | 1732 | |
| 2a (KBr) | 1589 | 1555 | 458 | ||||
| 2b (film) | 1595 | 1577 | 1553 | 432 | 2952, 2847 | 1243, 1190, 989 | 1724 |
| 2b (KBr) | 1591 | 1575 | 1548 | 435 | |||
| 2c (film) | 1590 | 1581 | 1562 | 457 | 2950, 2849 | 1243, 1190, 990 | 1733 |
| 2c (KBr) | 1592 | 1578 | 1560 | 452 | |||
| 2d (film) | 1590 | 1580 | 1561 | 450 | 2953, 2848 | 1243, 1190, 989 | 1721 |
| 2d (KBr) | 1592 | 1578 | 1558 | 453 | |||
| 2e (film) | 1595 | 1579 | 1560 | 450 | 2950, 2848 | 1243, 1190, 990 | 1732 |
| 2e (KBr) | 1592 | 1576 | 1558 | 457 |
| Film | RMS Roughness (nm) | Ra Roughness (nm) | Maximum Stress, σ (MPa) | Strain, ε | Knoop Hardness, HK | Thickness (μm) |
|---|---|---|---|---|---|---|
| 2a | 10.42 | 8.14 | 10.5 | 0.96 | 18.42 | 5.8 |
| 2b | 8.33 | 5.03 | 10.3 | 0.91 | 4.92 | 6.1 |
| 2c | 15.91 | 11.78 | 10.1 | 0.91 | 4.52 | 5.2 |
| 2d | 5.48 | 3.07 | 10.1 | 0.91 | 4.52 | 7.5 |
| 2e | 4.41 | 3.40 | 10.3 | 0.87 | 2.14 | 5.3 |
| Hybrid Film | Eopt (eV) | ETauc (eV) | EU (eV) |
|---|---|---|---|
| 2a | 2.05 | 2.01 | 0.29 |
| 2b | 2.21 | 2.15 | 0.27 |
| 2c | 1.73 | 1.68 | 0.50 |
| 2d | 2.20 | 2.14 | 0.30 |
| 2e | 2.24 | 2.17 | 0.36 |
| Sample | J (mA/cm2) | σ (S/cm) |
|---|---|---|
| Device 2a | 0.031335237 | 4.89 × 10−6 |
| Device 2b | 0.031123662 | 4.85 × 10−6 |
| Device 2c | 0.069826411 | 1.09 × 10−5 |
| Device 2d | 0.031383043 | 4.9 × 10−6 |
| Device 2e | 0.031766458 | 5.0 × 10−6 |
Disclaimer/Publisher’s Note: The statements, opinions and data contained in all publications are solely those of the individual author(s) and contributor(s) and not of MDPI and/or the editor(s). MDPI and/or the editor(s) disclaim responsibility for any injury to people or property resulting from any ideas, methods, instructions or products referred to in the content. |
© 2024 by the authors. Licensee MDPI, Basel, Switzerland. This article is an open access article distributed under the terms and conditions of the Creative Commons Attribution (CC BY) license (https://creativecommons.org/licenses/by/4.0/).
Share and Cite
Ballinas-Indilí, R.; Sánchez Vergara, M.E.; Rosales-Amezcua, S.C.; Hernández Méndez, J.A.; López-Mayorga, B.; Miranda-Ruvalcaba, R.; Álvarez-Toledano, C. Synthesis of New Ruthenium Complexes and Their Exploratory Study as Polymer Hybrid Composites in Organic Electronics. Polymers 2024, 16, 1338. https://doi.org/10.3390/polym16101338
Ballinas-Indilí R, Sánchez Vergara ME, Rosales-Amezcua SC, Hernández Méndez JA, López-Mayorga B, Miranda-Ruvalcaba R, Álvarez-Toledano C. Synthesis of New Ruthenium Complexes and Their Exploratory Study as Polymer Hybrid Composites in Organic Electronics. Polymers. 2024; 16(10):1338. https://doi.org/10.3390/polym16101338
Chicago/Turabian StyleBallinas-Indilí, Ricardo, María Elena Sánchez Vergara, Saulo C. Rosales-Amezcua, Joaquín André Hernández Méndez, Byron López-Mayorga, René Miranda-Ruvalcaba, and Cecilio Álvarez-Toledano. 2024. "Synthesis of New Ruthenium Complexes and Their Exploratory Study as Polymer Hybrid Composites in Organic Electronics" Polymers 16, no. 10: 1338. https://doi.org/10.3390/polym16101338
APA StyleBallinas-Indilí, R., Sánchez Vergara, M. E., Rosales-Amezcua, S. C., Hernández Méndez, J. A., López-Mayorga, B., Miranda-Ruvalcaba, R., & Álvarez-Toledano, C. (2024). Synthesis of New Ruthenium Complexes and Their Exploratory Study as Polymer Hybrid Composites in Organic Electronics. Polymers, 16(10), 1338. https://doi.org/10.3390/polym16101338

