Multiple Responsive Hydrogel Films Based on Dynamic Phenylboronate Bond Linkages with Simple but Practical Linear Response Mode and Excellent Glucose/Fructose Response Speed
Abstract
1. Introduction
2. Materials and Methods
2.1. Materials
2.2. Copolymer Synthesis
2.3. Film Fabrication Using the LbL Technique
2.4. Film Swelling
2.5. Characterization
3. Results and Discussion
3.1. Copolymer Synthesis and Characterization
3.2. Hydrogel Film Fabrication
3.3. Swelling in Water
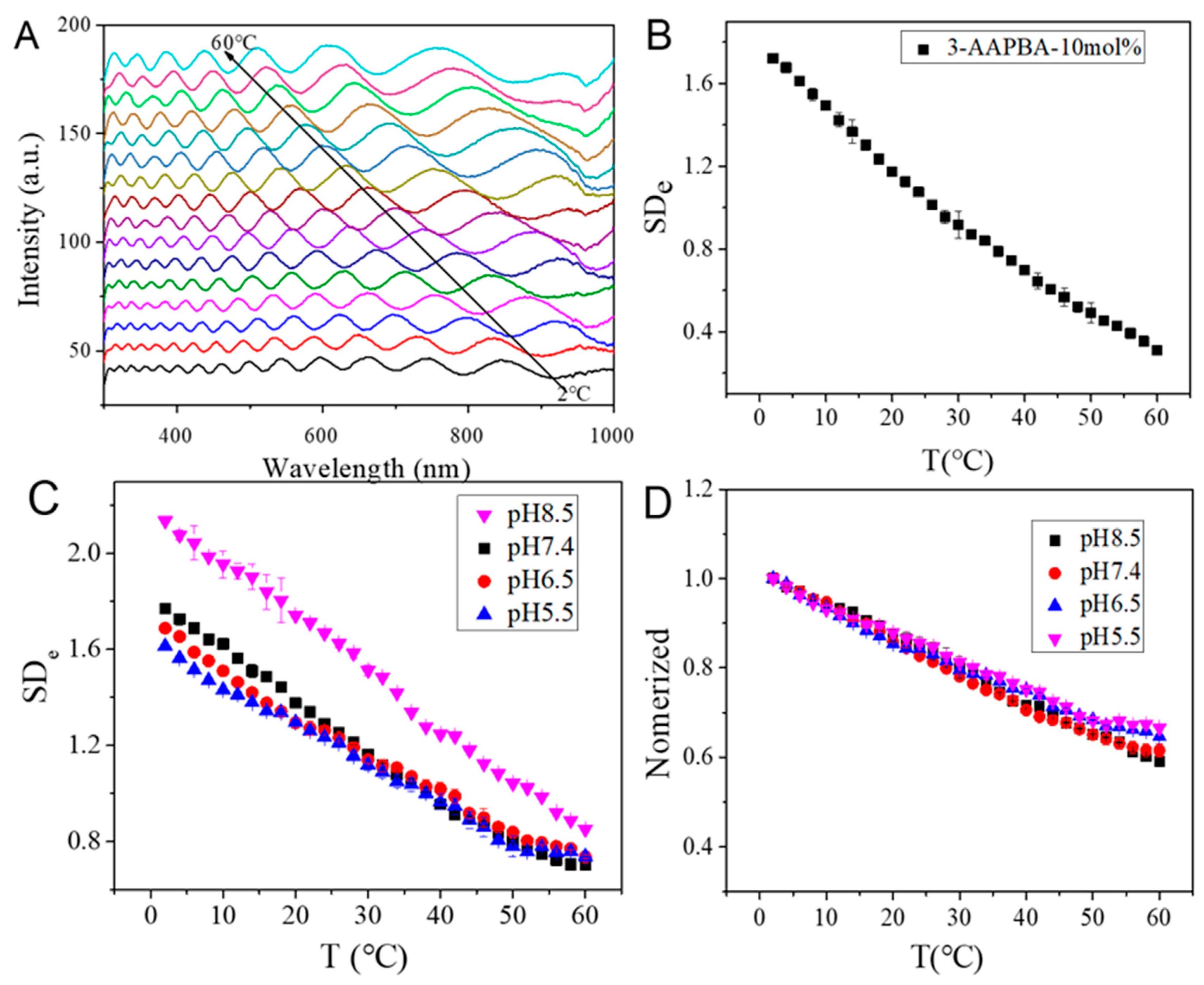
3.4. Thermosensitive Behavior
3.5. Glucose-Sensitivity Behavior
3.6. Fructose-Sensitivity Behavior
4. Conclusions
Supplementary Materials
Author Contributions
Funding
Institutional Review Board Statement
Data Availability Statement
Conflicts of Interest
References
- Tai, Y.; Chang, W.; Wan, D.; Chang, Y.; Ko, F. A novel electronic assay based on a sol-gel transition reaction and a thin-film transistor of supramolecular hydrogels to detect alkaline phosphatase activity. Sens. Actuators B Chem. 2021, 334, 129591. [Google Scholar] [CrossRef]
- Kuroda, N.; Tounoue, Y.; Noguchi, K.; Shimasaki, Y.; Inokawa, H.; Takano, M.; Shinkai, S.; Tamaru, S. Guest-responsive supramolecular hydrogels expressing selective sol-gel transition for sulfated glycosaminoglycans. Polym. J. 2020, 52, 939–946. [Google Scholar] [CrossRef]
- Miyata, T.; Asami, N.; Uragami, T. Structural design of stimuli-responsive bioconjugated hydrogels that respond to a target antigen. J. Polym. Sci. Part B Polym. Phys. 2009, 47, 2144–2157. [Google Scholar] [CrossRef]
- Miyata, T.; Jige, M.; Nakaminami, T.; Uragami, T. Tumor marker-responsive behavior of gels prepared by biomolecular imprinting. Proc. Natl. Acad. Sci. USA 2006, 103, 1190–1193. [Google Scholar] [CrossRef]
- Miyata, T.; Asami, N.; Uragami, T. A reversibly antigen-responsive hydrogel. Nature 1999, 399, 766–769. [Google Scholar] [CrossRef] [PubMed]
- Hibbins, A.R.; Kumar, P.; Choonara, Y.E.; Kondiah, P.; Marimuthu, T.; Du, T.; Pillay, V. Design of a Versatile pH-Responsive Hydrogel for Potential Oral Delivery of Gastric-Sensitive Bioactives. Polymers 2017, 9, 474. [Google Scholar] [CrossRef]
- Kim, A.; Mujumdar, S.K.; Siegel, R.A. Swelling Properties of Hydrogels Containing Phenylboronic Acids. Chemosensors 2014, 2, 1–12. [Google Scholar] [CrossRef]
- Gawel, K.; Barriet, D.; Sletmoen, M.; Stokke, B. Responsive hydrogels for label-free signal transduction within biosensors. Sensors 2010, 10, 4381–4409. [Google Scholar] [CrossRef] [PubMed]
- Li, Z.; Guan, J. Thermosensitive hydrogels for drug delivery. Expert Opin. Drug Deliv. 2011, 8, 991–1007. [Google Scholar] [CrossRef]
- Stuart, M.A.; Huck, W.T.; Genzer, J.; Müller, M.; Ober, C.; Stamm, M.; Sukhorukov, G.; Szleifer, I.; Tsukruk, V.; Urban, M.; et al. Emerging applications of stimuli-responsive polymer materials. Nat. Mater. 2010, 9, 101–113. [Google Scholar] [CrossRef]
- Guan, Y.; Zhang, Y. Boronic acid-containing hydrogels: Synthesis and their applications. Chem. Soc. Rev. 2013, 42, 8106–8121. [Google Scholar] [CrossRef] [PubMed]
- Chen, M.; Zhang, Y.; Jia, S.; Zhou, L.; Guan, Y.; Zhang, Y. Photonic Crystals with a Reversibly Inducible and Erasable Defect State Using External Stimuli. Angew. Chem. Int. Ed. 2015, 54, 9257–9261. [Google Scholar] [CrossRef] [PubMed]
- Buenger, D.; Topuz, F.; Groll, J. Hydrogels in sensing applications. Prog. Polym. Sci. 2012, 37, 1678–1719. [Google Scholar] [CrossRef]
- Xiang, Y.; Xian, S.; Ollier, R.C.; Yu, S.; Su, B.; Pramudya, I.; Webber, M. Diboronate crosslinking: Introducing glucose specificity in glucose-responsive dynamic-covalent networks. J. Control. Release 2022, 348, 601–611. [Google Scholar] [CrossRef] [PubMed]
- Bischofberger, I.; Calzolari, D.C.E.; De Los Rios, P.; Jelezarov, I.; Trappe, V. Hydrophobic hydration of poly-N-isopropyl acrylamide: A matter of the mean energetic state of water. Sci. Rep. 2015, 4, 4377. [Google Scholar] [CrossRef]
- Halperin, A.; Kröger, M.; Winnik, F.M. Poly(N-isopropylacrylamid)-Phasendiagramme: 50 Jahre Forschung. Angew. Chem. 2015, 127, 15558–15586. [Google Scholar] [CrossRef]
- Zhang, J.; Huang, S.; Xue, Y.; Zhuo, R. Poly(N-isopropylacrylamide) Nanoparticle-Incorporated PNIPAAm Hydrogels with Fast Shrinking Kinetics. Macromol. Rapid Commun. 2005, 26, 1346–1350. [Google Scholar] [CrossRef]
- Zhang, J.; Zhao, N.; Zhang, M.; Li, Y.; Chu, P.; Guo, X.; Di, Z.; Wang, X.; Li, H. Flexible and ion-conducting membrane electrolytes for solid-state lithium batteries. Nano Energy 2016, 28, 447–454. [Google Scholar] [CrossRef]
- Zhang, Y.; Guan, Y.; Zhou, S. Synthesis and volume phase transitions of glucose-sensitive microgels. Biomacromolecules 2006, 7, 3196–3201. [Google Scholar] [CrossRef]
- Zhang, X.; Guan, Y.; Zhang, Y. Ultrathin Hydrogel Films for Rapid Optical Biosensing. Biomacromolecules 2011, 13, 92–97. [Google Scholar] [CrossRef]
- Kuenstler, A.S.; Lahikainen, M.; Zhou, H.; Xu, W.; Priimagi, A.; Hayward, R. Reconfiguring Gaussian Curvature of Hydrogel Sheets with Photoswitchable Host-Guest Interactions. ACS Macro Lett. 2020, 9, 1172–1177. [Google Scholar] [CrossRef] [PubMed]
- Jia, Y.; Sun, J.; Yu, D.; Wang, L.; Campbell, A.; Fan, H.; Sun, H. Light and hydrogen peroxide dual-responsive DNA interstrand crosslink precursors with potent cytotoxicity. Bioorganic Chem. 2023, 130, 106270. [Google Scholar] [CrossRef] [PubMed]
- Ding, H.; Zhang, X.N.; Zheng, S.Y.; Song, Y.; Wu, Z.; Zheng, Q. Hydrogen bond reinforced poly(1-vinylimidazole-co-acrylic acid) hydrogels with high toughness, fast self-recovery, and dual pH-responsiveness. Polymer 2017, 131, 95–103. [Google Scholar] [CrossRef]
- Wang, D.; Hao, J. Multiple-stimulus-responsive hydrogels of cationic surfactants and azoic salt mixtures. Colloid Polym. Sci. 2013, 291, 2935–2946. [Google Scholar] [CrossRef]
- Robin, S. Multistimuli-Responsive Foams Using an Anionic Surfactant. Langmuir 2018, 34, 11010–11020. [Google Scholar]
- Ren, J.; Liu, Y.; Wang, Z.; Chen, S.; Ma, Y.; Wei, H.; Hua, W.; Lu, S. An anti-swellable hydrogel strain sensor for underwater motion detection. Adv. Funct. Mater. 2022, 32, 2107404. [Google Scholar] [CrossRef]
- Liu, Y.; Zhang, Y.; Guan, Y. New polymerized crystalline colloidal array for glucose sensing. Chem. Commun. 2009, 14, 1867–1869. [Google Scholar] [CrossRef]
- Matsumoto, A.; Kurata, T.; Shiino, D.; Kataoka, K. Swelling and Shrinking Kinetics of Totally Synthetic, Glucose-Responsive Polymer Gel Bearing Phenylborate Derivative as a Glucose-Sensing Moiety. Macromolecules 2004, 37, 1502–1510. [Google Scholar] [CrossRef]
- Ge, G.; Mandal, K.; Haghniaz, R.; Li, M.; Xiao, X.; Carlson, L.; Jucaud, V.; Dokmeci, M.; Ho, G.; Khademhosseini, A. Deep Eutectic Solvents-Based Ionogels with Ultrafast Gelation and High Adhesion in Harsh Environments. Adv. Funct. Mater. 2023, 33, 2207388. [Google Scholar] [CrossRef]
- Ben-Moshe, M.; Alexeev, V.L.; Asher, S.A. Fast responsive crystalline colloidal array photonic crystal glucose sensors. Anal. Chem. 2006, 78, 5149–5157. [Google Scholar] [CrossRef]
- Wojtecki, R.J.; Meador, M.A.; Rowan, S.J. Using the dynamic bond to access macroscopically responsive structurally dynamic polymers. Nat. Mater. 2011, 10, 14–27. [Google Scholar] [CrossRef]
- Xiao, X.; Zheng, W.; Zhao, Y.; Li, C. Visible light responsive spiropyran derivatives based on dynamic coordination bonds. Chin. Chem. Lett. 2023, 34, 107457. [Google Scholar] [CrossRef]
- Suzuki, N.; Takahashi, A.; Ohishi, T.; Goseki, R.; Otsuka, H. Enhancement of the stimuli-responsiveness and photo-stability of dynamic diselenide bonds and diselenide-containing polymers by neighboring aromatic groups. Polymer 2018, 154, 281–290. [Google Scholar] [CrossRef]
- Hong, S.H.; Kim, S.; Park, J.P.; Shin, M.; Kim, K.; Ryu, J.; Lee, H. Dynamic Bonds between Boronic Acid and Alginate: Hydrogels with Stretchable, Self-Healing, Stimuli-Responsive, Remoldable, and Adhesive Properties. Biomacromolecules 2018, 19, 2053–2061. [Google Scholar] [CrossRef]
- Fan, X.; Zhang, L.; Dong, F.; Liu, H.; Xu, X. Room-temperature self-healing polyurethane–cellulose nanocrystal composites with strong strength and toughness based on dynamic bonds. Carbohydr. Polym. 2023, 308, 120654. [Google Scholar] [CrossRef] [PubMed]
- Zeng, W.; Jin, Y.; Li, Y.; Zhou, R.; Shi, L.; Bai, L.; Shang, X.; Li, J. Ambient temperature self-healing waterborne polyurethane based on dynamic ditelluride bonds with recyclable and antibacterial functions. Prog. Org. Coat. 2023, 178, 107461. [Google Scholar] [CrossRef]
- Zhou, Y.; Zeng, G.; Zhang, F.; Li, K.; Li, X.; Luo, J.; Li, J.; Li, J. Design of tough, strong and recyclable plant protein-based adhesive via dynamic covalent crosslinking chemistry. Chem. Eng. J. 2023, 460, 141774. [Google Scholar] [CrossRef]
- Cao, J.; Zhao, X.; Ye, L. Super-strong and anti-tearing poly(vinyl alcohol)/graphene oxide nano-composite hydrogels fabricated by formation of multiple crosslinking bonding network structure. J. Ind. Eng. Chem. 2022, 112, 366–378. [Google Scholar] [CrossRef]
- Wang, X.; Cao, L.; Xu, C.; Fan, B.; Lin, Z.; Li, W.; Zhang, P. Novel dual dynamic boronate ester bond regulated bio-based polymer with rapid self-healing and multiple recyclability. Ind. Crops Prod. 2022, 189, 115855. [Google Scholar] [CrossRef]
- Shiomori, K.; Ivanov, A.E.; Galaev, I.Y.; Kawano, Y.; Mattiasson, B. Thermoresponsive Properties of Sugar Sensitive Copolymer ofN-Isopropylacrylamide and 3-(Acrylamido)phenylboronic Acid. Macromol. Chem. Phys. 2004, 205, 27–34. [Google Scholar] [CrossRef]
- Li, Q.; Guan, Y.; Zhang, Y. Thin hydrogel films based on lectin-saccharide biospecific interaction for label-free optical glucose sensing. Sens. Actuators B Chem. 2018, 272, 243–251. [Google Scholar] [CrossRef]
- Zhao, Y.; Gu, J.; Jia, S.; Guan, Y.; Zhang, Y. Zero-order release of polyphenolic drugs from dynamic, hydrogen-bonded LBL films. Soft Matter 2016, 12, 1085–1092. [Google Scholar] [CrossRef] [PubMed]
- Zhao, Y.; Yuan, Q.; Li, C.; Guan, Y.; Zhang, Y. Dynamic Layer-by-Layer Films: A Platform for Zero-Order Release. Biomacromolecules 2015, 16, 2032–2039. [Google Scholar] [CrossRef]
- Zhou, L.; Chen, M.; Guan, Y.; Zhang, Y. Multiple responsive hydrogel films based on dynamic Schiff base linkages. Polym. Chem. 2014, 5, 7081–7089. [Google Scholar] [CrossRef]
- Ding, Z.; Guan, Y.; Zhang, Y.; Zhu, X. Layer-by-layer multilayer films linked with reversible boronate ester bonds with glucose-sensitivity under physiological conditions. Soft Matter 2009, 5, 2302–2309. [Google Scholar] [CrossRef]
- Omer, R.A.; Hughes, A.; Hama, J.R.; Wang, W.; Tai, H. Hydrogels from dextran and soybean oil by UV photo-polymerization. J. Appl. Polym. Sci. 2015, 132, 41446. [Google Scholar] [CrossRef]
- Guan, Y.; Yang, S.; Zhang, Y.; Xu, J.; Han, C.; Kotov, N. Fabry-Perot Fringes and Their Application To Study the Film Growth, Chain Rearrangement, and Erosion of Hydrogen-Bonded PVPON/PAA Films. J. Phys. Chem. B 2006, 110, 13484–13490. [Google Scholar] [CrossRef]
- Buwalda, S.J.; Boere, K.W.; Dijkstra, P.J.; Feijen, J.; Vermonden, T.; Hennink, W. Hydrogels in a historical perspective: From simple networks to smart materials. J. Control. Release 2014, 190, 254–273. [Google Scholar] [CrossRef]
- Matsumoto, A.; Yoshida, R.; Kataoka, K. Glucose-responsive polymer gel bearing phenylborate derivative as a glucose-sensing moiety operating at the physiological pH. Biomacromolecules 2004, 5, 1038–1045. [Google Scholar] [CrossRef]
- Nishiyabu, R.; Kubo, Y.; James, T.D.; Fossey, J.S. Boronic acid building blocks: Tools for sensing and separation. Chem. Commun. 2011, 47, 1106–1123. [Google Scholar] [CrossRef]
- Alexeev, V.L.; Sharma, A.C.; Goponenko, A.V.; Das, S.; Lednev, I.K.; Wilcox, C.S.; Finegold, D.N.; Asher, S.A. High ionic strength glucose-sensing photonic crystal. Anal. Chem. 2003, 75, 2316–2323. [Google Scholar] [CrossRef] [PubMed]








| Entry No. | Feed Composition (mol%) | Copolymer Composition (mol%) a | Mn b | Mw b | ||
|---|---|---|---|---|---|---|
| AAPBA | DMAA | AAPBA | DMAA | |||
| 1 | 5% | 95% | 5% | 95% | 2.6 × 104 | 3.2 × 104 |
| 2 | 10% | 90% | 11% | 89% | 3.0 × 104 | 4.5 × 104 |
| 3 | 15% | 85% | 15% | 85% | 2.2 × 104 | 4.2 × 104 |
Disclaimer/Publisher’s Note: The statements, opinions and data contained in all publications are solely those of the individual author(s) and contributor(s) and not of MDPI and/or the editor(s). MDPI and/or the editor(s) disclaim responsibility for any injury to people or property resulting from any ideas, methods, instructions or products referred to in the content. |
© 2023 by the authors. Licensee MDPI, Basel, Switzerland. This article is an open access article distributed under the terms and conditions of the Creative Commons Attribution (CC BY) license (https://creativecommons.org/licenses/by/4.0/).
Share and Cite
Xu, R.; Tian, J.; Song, Y.; Dong, S.; Zhang, Y. Multiple Responsive Hydrogel Films Based on Dynamic Phenylboronate Bond Linkages with Simple but Practical Linear Response Mode and Excellent Glucose/Fructose Response Speed. Polymers 2023, 15, 1998. https://doi.org/10.3390/polym15091998
Xu R, Tian J, Song Y, Dong S, Zhang Y. Multiple Responsive Hydrogel Films Based on Dynamic Phenylboronate Bond Linkages with Simple but Practical Linear Response Mode and Excellent Glucose/Fructose Response Speed. Polymers. 2023; 15(9):1998. https://doi.org/10.3390/polym15091998
Chicago/Turabian StyleXu, Rong, Jiafeng Tian, Yusheng Song, Shihui Dong, and Yongjun Zhang. 2023. "Multiple Responsive Hydrogel Films Based on Dynamic Phenylboronate Bond Linkages with Simple but Practical Linear Response Mode and Excellent Glucose/Fructose Response Speed" Polymers 15, no. 9: 1998. https://doi.org/10.3390/polym15091998
APA StyleXu, R., Tian, J., Song, Y., Dong, S., & Zhang, Y. (2023). Multiple Responsive Hydrogel Films Based on Dynamic Phenylboronate Bond Linkages with Simple but Practical Linear Response Mode and Excellent Glucose/Fructose Response Speed. Polymers, 15(9), 1998. https://doi.org/10.3390/polym15091998
