The Biomodified Lignin Platform: A Review
Abstract
1. Introduction
2. Methodology
3. Enzymatic Modification of Technical Lignins
3.1. Laccases
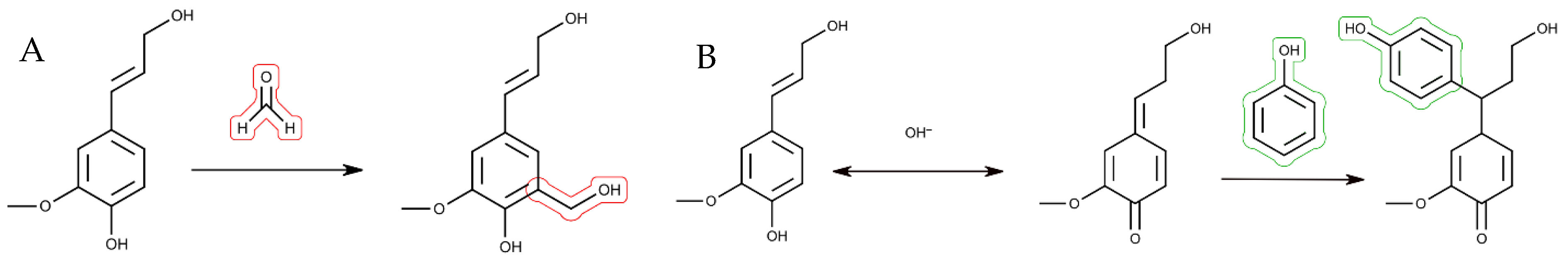
3.2. Peroxidases
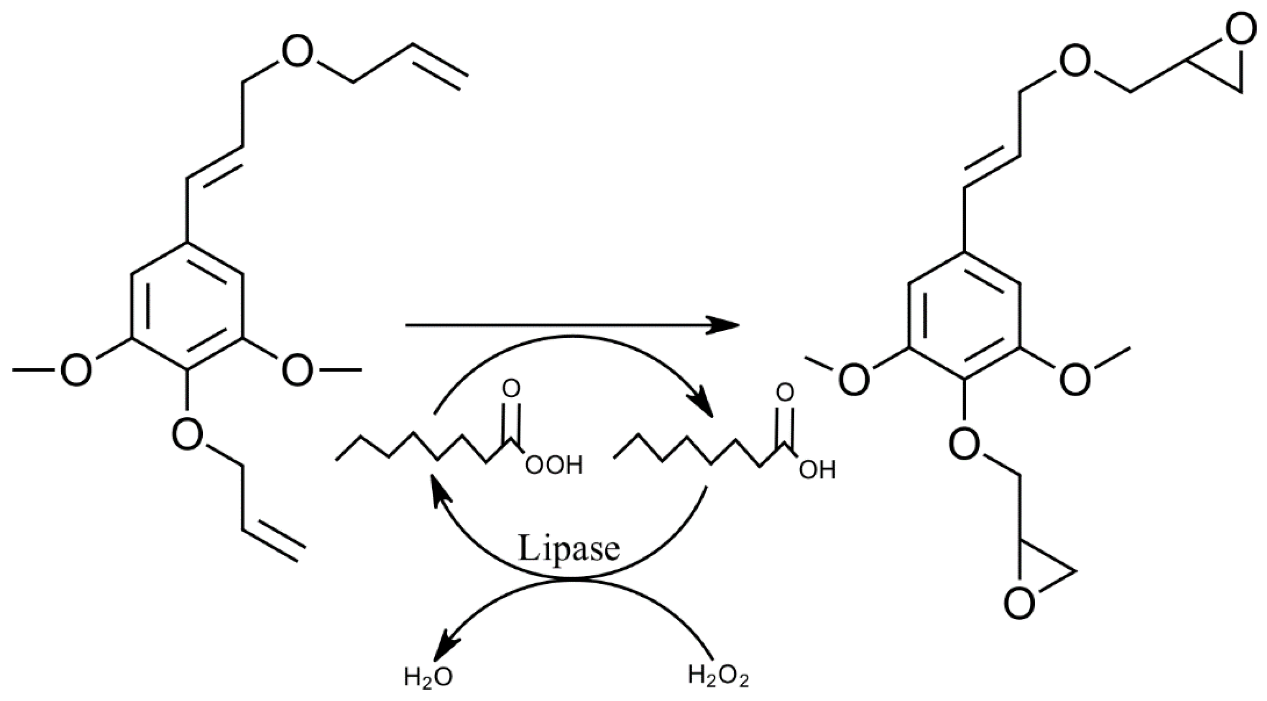
3.3. Lipases
4. Techniques/Processes for the Valorization of Technical Lignins
4.1. Plasticizers
4.2. Hydrophobicity
4.3. Epoxidation
4.4. Enzymatic Depolymerization and Delignification
5. Applications
5.1. Coatings
5.2. Adhesives
5.3. Fillers
6. Environmental Assessment
7. Challenges and Opportunities
- (1)
- Many factors influence the properties of enzymatically modified lignins. Aside from the extraction process and the type of biomass (softwood, hardwood, or grasses) used, the severity of the extraction process also affects lignin reactivity. A longer cooking time during kraft pulping is known to lead to higher condensed structures (formation of unreactive C-C linkages), meaning a lower reactivity. Thus, one needs to consider the characteristics of the respective lignin chosen for further planning. Thorough characterization of the used lignin is necessary to determine its reactivity and the direct comparison to other studies is difficult, since differences in analyses between different studies may occur and many factors affect lignin reactivity [121].
- (2)
- Harsh conditions as challenge for enzymes. Although a lot of different technical lignins are available nowadays, their uses in biocatalyzed processes are still limited. One reason is the insolubility of most technical lignins in water, making the use of organic solvents or alkaline solutions necessary where enzymes show limited stability. Another reason is the fact that industrial processes mostly are operated at elevated temperatures. Unfortunately, under these conditions, most of the fungal laccases are not active anymore. Therefore, a possible solution can be the use of thermostable enzymes, such as laccases from thermophilic organisms or such of bacterial origin, with the latter especially known to be more robust. Thus, they also would be active at the process conditions found in the industry. However, the problem with bacterial laccases is that they are not as well-characterized as fungal laccases by now, and that cultivation and purification can be rather challenging resulting in only low yields of pure enzyme. Another approach is the genetic modification of fungal enzymes to achieve high activities at higher temperatures or in organic solvents [7,9].
- (3)
- Controlling polymerization and de-polymerization processes. One problem related to thermal and chemical lignin depolymerization is the occurrence of uncontrolled re-polymerization of the generated smaller lignin fragments. One possibility to solve this problem could be the chemical conversion of the reactive intermediates to more stable chemical compounds. Furthermore, the reduction in reaction times would be useful to prevent repolymerization. Another solution would be the physical removal of the reactive intermediates from the reaction mixture. It also would be possible to use enzymes since they are highly selective. Thereby, lignin can be treated either directly with enzyme mixtures or indirectly with whole microorganisms. The enzymes and microorganisms used can also be selected or modified further to obtain the best results [121,261].
- (4)
- Markets and environmental impact of enzymatically produced lignin-based products. Since many of the lignin valorization technologies are emerging and novel, the production costs could be much higher than the conventional products. Lignin-derived products can play an important role in increasing our reliance on renewable-based chemicals, fuels, and materials, and reducing the carbon footprint of products and processes. Therefore, one factor that could be considered for future scale up of the valorization processes is the size of the potential market (or multiple markets) and the price volatility of the targeted product. To ensure that commercialization is performed in a safe, responsible, and sustainable way, the environmental impacts of the commercialized product should be investigated.
8. Conclusions
Author Contributions
Funding
Institutional Review Board Statement
Informed Consent Statement
Data Availability Statement
Conflicts of Interest
References
- Mäki, E.; Saastamoinen, H.; Melin, K.; Matschegg, D.; Pihkola, H. Drivers and barriers in retrofitting pulp and paper industry with bioenergy for more efficient production of liquid, solid and gaseous biofuels: A review. Biomass Bioenergy 2021, 148, 106036. [Google Scholar] [CrossRef]
- Moretti, C.; Corona, B.; Hoefnagels, R.; Vural-Gürsel, I.; Gosselink, R.; Junginger, M. Review of life cycle assessments of lignin and derived products: Lessons learned. Sci. Total Environ. 2021, 770, 144656. [Google Scholar] [CrossRef] [PubMed]
- Bajwa, D.S.; Pourhashem, G.; Ullah, A.H.; Bajwa, S.G. A concise review of current lignin production, applications, products and their environmental impact. Ind. Crops Prod. 2019, 139, 111526. [Google Scholar] [CrossRef]
- Ponnusamy, V.K.; Nguyen, D.D.; Dharmaraja, J.; Shobana, S.; Banu, J.R.; Saratale, R.G.; Chang, S.W.; Kumar, G. A review on lignin structure, pretreatments, fermentation reactions and biorefinery potential. Bioresour. Technol. 2019, 271, 462–472. [Google Scholar] [CrossRef] [PubMed]
- Ragauskas, A.J.; Beckham, G.T.; Biddy, M.J.; Chandra, R.; Chen, F.; Davis, M.F.; Davison, B.H.; Dixon, R.A.; Gilna, P.; Keller, M.; et al. Lignin Valorization: Improving Lignin Processing in the Biorefinery. Science 2014, 344, 1246843. [Google Scholar] [CrossRef]
- Constant, S.; Wienk, H.L.J.; Frissen, A.E.; Peinder, P.D.; Boelens, R.; Van Es, D.S.; Grisel, R.J.H.; Weckhuysen, B.M.; Huijgen, W.J.J.; Gosselink, R.J.A.; et al. New insights into the structure and composition of technical lignins: A comparative characterisation study. Green Chem. 2016, 18, 2651–2665. [Google Scholar] [CrossRef]
- Agustin, M.B.; de Carvalho, D.M.; Lahtinen, M.H.; Hilden, K.; Lundell, T.; Mikkonen, K.S. Laccase as a Tool in Building Advanced Lignin-Based Materials. ChemSusChem 2021, 14, 4615–4635. [Google Scholar] [CrossRef]
- Zhang, W.; Qiu, X.; Wang, C.; Zhong, L.; Fu, F.; Zhu, J.; Zhang, Z.; Qin, Y.; Yang, D.; Xu, C.C. Lignin derived carbon materials: Current status and future trends. Carbon Res. 2022, 1, 14. [Google Scholar] [CrossRef]
- Becker, J.; Wittmann, C. A field of dreams: Lignin valorization into chemicals, materials, fuels, and health-care products. Biotechnol. Adv. 2019, 37, 107360. [Google Scholar] [CrossRef]
- Vishtal, A.; Kraslawski, A. Challenges in industrial applications of technical lignins. BioResources 2011, 6, 3547–3568. [Google Scholar] [CrossRef]
- Humpert, D.; Ebrahimi, M.; Czermak, P. Membrane technology for the recovery of lignin: A review. Membranes 2016, 6, 42. [Google Scholar] [CrossRef] [PubMed]
- Jardim, J.M.; Hart, P.W.; Lucia, L.; Jameel, H. Insights into the potential of hardwood kraft lignin to be a green platform material for emergence of the biorefinery. Polymers 2020, 12, 1795. [Google Scholar] [CrossRef] [PubMed]
- Andeme Ela, R.C.; Spahn, L.; Safaie, N.; Ferrier, R.C.; Ong, R.G. Understanding the Effect of Precipitation Process Variables on Hardwood Lignin Characteristics and Recovery from Black Liquor. ACS Sustain. Chem. Eng. 2020, 8, 13997–14005. [Google Scholar] [CrossRef]
- Tomani, P. The lignoboost process. Cellul. Chem. Technol. 2010, 44, 53–58. [Google Scholar]
- Mandlekar, N.; Cayla, A.; Rault, F.; Giraud, S.; Salaün, F.; Malucelli, G.; Guan, J.-P. An Overview on the Use of Lignin and Its Derivatives in Fire Retardant Polymer Systems. Lignin-Trends Appl. 2018, 9, 207–231. [Google Scholar] [CrossRef]
- Laurichesse, S.; Avérous, L. Chemical modification of lignins: Towards biobased polymers. Prog. Polym. Sci. 2014, 39, 1266–1290. [Google Scholar] [CrossRef]
- Tribot, A.; Amer, G.; Abdou Alio, M.; de Baynast, H.; Delattre, C.; Pons, A.; Mathias, J.D.; Callois, J.M.; Vial, C.; Michaud, P.; et al. Wood-lignin: Supply, extraction processes and use as bio-based material. Eur. Polym. J. 2019, 112, 228–240. [Google Scholar] [CrossRef]
- Denisova, M.N.; Kukhlenko, A.A.; Orlov, S.E. Investigation into the Process of Hydrotropic Delignification of Oat Straw in the Universal Thermobaric Unit. Theor. Found. Chem. Eng. 2018, 52, 661–663. [Google Scholar] [CrossRef]
- Dhapte, V.; Mehta, P. Advances in hydrotropic solutions: An updated review. St. Petersbg. Polytech. Univ. J. Phys. Math. 2015, 1, 424–435. [Google Scholar] [CrossRef]
- Bernier, E.; Lavigne, C.; Robidoux, P.Y. Life cycle assessment of kraft lignin for polymer applications. Int. J. Life Cycle Assess. 2013, 18, 520–528. [Google Scholar] [CrossRef]
- Yuan, Y.; Guo, M. Do green wooden composites using lignin-based binder have environmentally benign alternatives? A preliminary LCA case study in China. Int. J. Life Cycle Assess. 2017, 22, 1318–1326. [Google Scholar] [CrossRef]
- Balaguera, A.; Carvajal, G.I.; Albertí, J.; Fullana-i-Palmer, P. Life cycle assessment of road construction alternative materials: A literature review. Resour. Conserv. Recycl. 2018, 132, 37–48. [Google Scholar] [CrossRef]
- Hermansson, F.; Janssen, M.; Svanström, M. Allocation in life cycle assessment of lignin. Int. J. Life Cycle Assess. 2020, 25, 1620–1632. [Google Scholar] [CrossRef]
- Obydenkova, S.V.; Kouris, P.D.; Hensen, E.J.M.; Heeres, H.J.; Boot, M.D. Environmental economics of lignin derived transport fuels. Bioresour. Technol. 2017, 243, 589–599. [Google Scholar] [CrossRef]
- Khan, T.A.; Lee, J.H.; Kim, H.J. Lignin-Based Adhesives and Coatings. In Lignocellulose for Future Bioeconomy; Elsevier: Amsterdam, The Netherlands, 2019; pp. 153–206. [Google Scholar] [CrossRef]
- Czaikoski, A.; Gomes, A.; Kaufmann, K.C.; Liszbinski, R.B.; de Jesus, M.B.; Cunha, R.L. da Lignin derivatives stabilizing oil-in-water emulsions: Technological aspects, interfacial rheology and cytotoxicity. Ind. Crops Prod. 2020, 154, 112762. [Google Scholar] [CrossRef]
- Hao, W.; Björnerbäck, F.; Trushkina, Y.; Bengoechea, M.O.; Salazar-Alvarez, G.; Barth, T.; Hedin, N. WITHDRAWN: High-performance magnetic activated carbon from solid waste from lignin conversion processes. Part I: Their use as adsorbents for CO2. Energy Procedia 2017, 114, 6272–6296. [Google Scholar] [CrossRef]
- Park, S.; Choi, M.S.; Ho, P.S. Nitrogen-doped nanoporous carbons derived from lignin for high CO2 capacity. Carbon Lett. 2019, 29, 289–296. [Google Scholar] [CrossRef]
- Cordeiro-Junior, P.J.M.; Kronka, M.S.; Goulart, L.A.; Veríssimo, N.C.; Mascaro, L.H.; Santos, M.C.d.; Bertazzoli, R.; de Vasconcelos Lanza, M.R. Catalysis of oxygen reduction reaction for H2O2 electrogeneration: The impact of different conductive carbon matrices and their physicochemical properties. J. Catal. 2020, 392, 56–68. [Google Scholar] [CrossRef]
- Hernández-Ramos, F.; Fernández-Rodríguez, J.; Alriols, M.G.; Labidi, J.; Erdocia, X. Study of a renewable capping agent addition in lignin base catalyzed depolymerization process. Fuel 2020, 280, 118524. [Google Scholar] [CrossRef]
- Bajpai, P. Kraft Spent Liquor Recovery. In Biermann’s Handbook of Pulp and Paper; Elsevier: Amsterdam, The Netherlands, 2018; pp. 425–451. [Google Scholar] [CrossRef]
- Eraghi Kazzaz, A.; Fatehi, P. Technical lignin and its potential modification routes: A mini-review. Ind. Crops Prod. 2020, 154, 112732. [Google Scholar] [CrossRef]
- Konduri, M.K.R.; Fatehi, P. Production of Water-Soluble Hardwood Kraft Lignin via Sulfomethylation Using Formaldehyde and Sodium Sulfite. ACS Sustain. Chem. Eng. 2015, 3, 1172–1182. [Google Scholar] [CrossRef]
- Ruwoldt, J. A Critical Review of the Physicochemical Properties of Lignosulfonates: Chemical Structure and Behavior in Aqueous Solution, at Surfaces and Interfaces. Surfaces 2020, 3, 622–648. [Google Scholar] [CrossRef]
- Aro, T.; Fatehi, P. Production and Application of Lignosulfonates and Sulfonated Lignin. ChemSusChem 2017, 10, 1861–1877. [Google Scholar] [CrossRef]
- González-Rodríguez, S.; Lu-Chau, T.A.; Chen, X.; Eibes, G.; Pizzi, A.; Feijoo, G.; Moreira, M.T. Functionalisation of organosolv lignin by enzymatic demethylation for bioadhesive formulation. Ind. Crops Prod. 2022, 186, 115253. [Google Scholar] [CrossRef]
- Sun, C.; Song, G.; Pan, Z.; Tu, M.; Kharaziha, M.; Zhang, X.; Show, P.L.; Sun, F. Advances in organosolv modified components occurring during the organosolv pretreatment of lignocellulosic biomass. Bioresour. Technol. 2023, 368, 128356. [Google Scholar] [CrossRef] [PubMed]
- European Commission. A European Green Deal. Available online: https://ec.europa.eu/info/strategy/priorities-2019-2024/european-green-deal_en (accessed on 10 January 2023).
- Huang, C.; Jiang, X.; Shen, X.; Hu, J.; Tang, W.; Wu, X.; Ragauskas, A.; Jameel, H.; Meng, X.; Yong, Q. Lignin-enzyme interaction: A roadblock for efficient enzymatic hydrolysis of lignocellulosics. Renew. Sustain. Energy Rev. 2022, 154, 111822. [Google Scholar] [CrossRef]
- Bao, W.; O’Malley, D.M.; Whetten, R.; Sederoff, R.R. A laccase associated with lignification in Loblolly pine xylem. Science 1993, 260, 672–674. [Google Scholar] [CrossRef]
- Mayer, A.M. Polyphenol oxidases in plants-recent progress. Phytochemistry 1986, 26, 11–20. [Google Scholar] [CrossRef]
- Mayer, A.M.; Staples, R.C. Laccase: New functions for an old enzyme. Phytochemistry 2002, 60, 551–565. [Google Scholar] [CrossRef]
- Dittmer, N.T.; Suderman, R.J.; Jiang, H.; Zhu, Y.C.; Gorman, M.J.; Kramer, K.J.; Kanost, M.R. Characterization of cDNAs encoding putative laccase-like multicopper oxidases and developmental expression in the tobacco hornworm, Manduca sexta, and the malaria mosquito, Anopheles gambiae. Insect Biochem. Mol. Biol. 2004, 34, 29–41. [Google Scholar] [CrossRef]
- Gianfreda, L.; Xu, F.; Bollag, J.M. Laccases: A useful group of oxidoreductive enzymes. Bioremediat. J. 1999, 3, 1–26. [Google Scholar] [CrossRef]
- Leonowicz, A.; Bollag, J.M. Laccases in soil and the feasibility of their extraction. Soil Biol. Biochem. 1987, 19, 237–242. [Google Scholar] [CrossRef]
- Higuchi, T. Microbial degradation of lignin: Role of lignin peroxidase, manganese peroxidase, and laccase. Proc. Jpn. Acad. Ser. B Phys. Biol. Sci. 2004, 80, 204–214. [Google Scholar] [CrossRef]
- Hoopes, J.T.; Dean, J.F.D. Ferroxidase activity in a laccase-like multicopper oxidase from Liriodendron tulipifera. Plant Physiol. Biochem. 2004, 42, 27–33. [Google Scholar] [CrossRef]
- Lang, M.; Kanost, M.R.; Gorman, M.J. Multicopper oxidase-3 is a laccase associated with the peritrophic matrix of Anopheles gambiae. PLoS ONE 2012, 7, e33985. [Google Scholar] [CrossRef]
- Yoshida, H. LXIII.-Chemistry of lacquer (Urushi). Part I. Communication from the Chemical Society of Tokio. J. Chem. Soc. 1883, 43, 472–486. [Google Scholar] [CrossRef]
- Bassanini, I.; Ferrandi, E.E.; Riva, S.; Monti, D. Biocatalysis with laccases: An updated overview. Catalysts 2021, 11, 26. [Google Scholar] [CrossRef]
- Giardina, P.; Faraco, V.; Pezzella, C.; Piscitelli, A.; Vanhulle, S.; Sannia, G. Laccases: A never-ending story. Cell. Mol. Life Sci. 2010, 67, 369–385. [Google Scholar] [CrossRef]
- Chauhan, P.S.; Goradia, B.; Saxena, A. Bacterial laccase: Recent update on production, properties and industrial applications. 3 Biotech 2017, 7, 323. [Google Scholar] [CrossRef]
- Agrawal, K.; Chaturvedi, V.; Verma, P. Fungal laccase discovered but yet undiscovered. Bioresour. Bioprocess. 2018, 5, 4. [Google Scholar] [CrossRef]
- Li, K.; Xu, F.; Eriksson, K.E.L. Comparison of fungal laccases and redox mediators in oxidation of a nonphenolic lignin model compound. Appl. Environ. Microbiol. 1999, 65, 2654–2660. [Google Scholar] [CrossRef] [PubMed]
- Gunne, M.; Höppner, A.; Hagedoorn, P.L.; Urlacher, V.B. Structural and redox properties of the small laccase Ssl1 from Streptomyces sviceus. FEBS J. 2014, 281, 4307–4318. [Google Scholar] [CrossRef] [PubMed]
- Melo, E.P.; Fernandes, A.T.; Durão, P.; Martins, L.O. Insight into stability of CotA laccase from the spore coat of Bacillus subtilis. Biochem. Soc. Trans. 2007, 35, 1579–1582. [Google Scholar] [CrossRef] [PubMed]
- Christopher, L.P.; Yao, B.; Ji, Y. Lignin biodegradation with laccase-mediator systems. Front. Energy Res. 2014, 2, 12. [Google Scholar] [CrossRef]
- Janusz, G.; Pawlik, A.; Świderska-Burek, U.; Polak, J.; Sulej, J.; Jarosz-Wilkołazka, A.; Paszczyński, A. Laccase properties, physiological functions, and evolution. Int. J. Mol. Sci. 2020, 21, 966. [Google Scholar] [CrossRef]
- Guan, Z.B.; Luo, Q.; Wang, H.R.; Chen, Y.; Liao, X.R. Bacterial laccases: Promising biological green tools for industrial applications. Cell. Mol. Life Sci. 2018, 75, 3569–3592. [Google Scholar] [CrossRef]
- Olmeda, I.; Casino, P.; Collins, R.E.; Sendra, R.; Callejón, S.; Huesa, J.; Soares, A.S.; Ferrer, S.; Pardo, I. Structural analysis and biochemical properties of laccase enzymes from two Pediococcus species. Microb. Biotechnol. 2021, 14, 1026–1043. [Google Scholar] [CrossRef]
- D’Acunzo, F.; Galli, C.; Masci, B. Oxidation of phenols by laccase and laccase-mediator systems. Solubility and steric issues. Eur. J. Biochem. 2002, 269, 5330–5335. [Google Scholar] [CrossRef]
- Pezzella, C.; Guarino, L.; Piscitelli, A. How to enjoy laccases. Cell. Mol. Life Sci. 2015, 72, 923–940. [Google Scholar] [CrossRef]
- Munk, L.; Sitarz, A.K.; Kalyani, D.C.; Mikkelsen, J.D.; Meyer, A.S. Can laccases catalyze bond cleavage in lignin? Biotechnol. Adv. 2015, 33, 13–24. [Google Scholar] [CrossRef]
- Fernández-Sánchez, C.; Tzanov, T.; Gübitz, G.M.; Cavaco-Paulo, A. Voltammetric monitoring of laccase-catalysed mediated reactions. Bioelectrochemistry 2002, 58, 149–156. [Google Scholar] [CrossRef] [PubMed]
- Kunamneni, A.; Camarero, S.; García-Burgos, C.; Plou, F.J.; Ballesteros, A.; Alcalde, M. Engineering and Applications of fungal laccases for organic synthesis. Microb. Cell Fact. 2008, 7, 1–17. [Google Scholar] [CrossRef] [PubMed]
- Barreca, A.M.; Fabbrini, M.; Galli, C.; Gentili, P.; Ljunggren, S. Laccase/mediated oxidation of a lignin model for improved delignification procedures. J. Mol. Catal. B Enzym. 2003, 26, 105–110. [Google Scholar] [CrossRef]
- Cañas, A.I.; Camarero, S. Laccases and their natural mediators: Biotechnological tools for sustainable eco-friendly processes. Biotechnol. Adv. 2010, 28, 694–705. [Google Scholar] [CrossRef] [PubMed]
- Morozova, O.V.; Shumakovich, G.P.; Shleev, S.V.; Yaropolov, Y.I. Laccase-mediator systems and their applications: A review. Appl. Biochem. Microbiol. 2007, 43, 523–535. [Google Scholar] [CrossRef]
- Chen, X.; He, B.; Feng, M.; Zhao, D.; Sun, J. Immobilized laccase on magnetic nanoparticles for enhanced lignin model compounds degradation. Chin. J. Chem. Eng. 2020, 28, 2152–2159. [Google Scholar] [CrossRef]
- Camarero, S.; Ibarra, D.; Martínez, Á.T.; Romero, J.; Gutiérrez, A.; del Río, J.C. Paper pulp delignification using laccase and natural mediators. Enzym. Microb. Technol. 2007, 40, 1264–1271. [Google Scholar] [CrossRef]
- Virk, A.P.; Sharma, P.; Capalash, N. Use of laccase in pulp and paper industry. Biotechnol. Prog. 2012, 28, 21–32. [Google Scholar] [CrossRef]
- Zille, A. Laccase Reactions for Textile Applications. Ph.D. Thesis, Universidade doMinho, Minho, Portugal, 2005. [Google Scholar]
- Madhavi, V.; Lele, S.S. Laccases: Properties and applications. BioResources 2009, 4, 1694–1717. [Google Scholar] [CrossRef]
- Strong, P.J.; Claus, H. Laccase: A review of its past and its future in bioremediation. Crit. Rev. Environ. Sci. Technol. 2011, 41, 373–434. [Google Scholar] [CrossRef]
- Braunschmid, V.; Stadler, K.; Biundo, A.; Fürst, S.; Ortner, A.; Bischof, S.; Bauer, W.; Hofer, K.; Nyanhongo, G.S.; Ribitsch, D.; et al. Laccase: Old enzyme with new applications. N. Biotechnol. 2018, 44, S29. [Google Scholar] [CrossRef]
- Pandey, V.P.; Awasthi, M.; Singh, S.; Tiwari, S.; Dwivedi, U.N. A Comprehensive Review on Function and Application of Plant Peroxidases. Biochem. Anal. Biochem. 2017, 6, 308. [Google Scholar] [CrossRef]
- Zamocky, M.; Furtmüller, P.G.; Obinger, C. Evolution of catalases from bacteria to humans. Antioxid. Redox Signal. 2008, 10, 1527–1547. [Google Scholar] [CrossRef] [PubMed]
- Longoria, A.; Tinoco, R.; Torres, E. Enzyme Technology of Peroxidases: Immobilization, Chemical and Genetic Modification. In Biocatalysis Based on Heme Peroxidases; Torres, E., Ayala, M., Eds.; Springer: Berlin/Heidelberg, Germany, 2010. [Google Scholar] [CrossRef]
- Koua, D.; Cerutti, L.; Falquet, L.; Sigrist, C.J.A.; Theiler, G.; Hulo, N.; Dunand, C. PeroxiBase: A database with new tools for peroxidase family classification. Nucleic Acids Res. 2009, 37, 261–266. [Google Scholar] [CrossRef]
- Passardi, F.; Theiler, G.; Zamocky, M.; Cosio, C.; Rouhier, N.; Teixera, F.; Margis-Pinheiro, M.; Ioannidis, V.; Penel, C.; Falquet, L.; et al. PeroxiBase: The peroxidase database. Phytochemistry 2007, 68, 1605–1611. [Google Scholar] [CrossRef]
- Elsayed, A.M.; Hegazy, U.M.; Hegazy, M.G.A.; Abdel-Ghany, S.S.; Salama, W.H.; Salem, A.M.H.; Fahmy, A.S. Purification and biochemical characterization of peroxidase isoenzymes from Ficus carica latex. Biocatal. Agric. Biotechnol. 2018, 16, 1–9. [Google Scholar] [CrossRef]
- Hamid, M. Khalil-ur-Rehman Potential applications of peroxidases. Food Chem. 2009, 115, 1177–1186. [Google Scholar] [CrossRef]
- Welinder, K.G. Superfamily of plant, fungal and bacterial peroxidases. Curr. Opin. Struct. Biol. 1992, 2, 388–393. [Google Scholar] [CrossRef]
- Banci, L. Structural properties of peroxidases. J. Biotechnol. 1997, 53, 253–263. [Google Scholar] [CrossRef]
- Wang, S.Y.; Faust, M.; Taurog, A.; Dorris, M.; Doerge, D.R. Evidence for a Radical Mechanism in Peroxidase-Catalyzed Coupling. I. Steady-State Experiments with Various Peroxidases. Arch. Biochem. Biophys. 1988, 315, 82–89. [Google Scholar] [CrossRef]
- De Oliveira, F.K.; Santos, L.O.; Buffon, J.G. Mechanism of action, sources, and application of peroxidases. Food Res. Int. 2021, 143, 110266. [Google Scholar] [CrossRef] [PubMed]
- Vamos-Vigyázó, L.; Haard, N.F. Polyphenol Oxidase and Peroxidase in Fruits and Vegetables. C R C Crit. Rev. Food Sci. Nutr. 1981, 15, 49–127. [Google Scholar] [CrossRef] [PubMed]
- Falade, A.O.; Nwodo, U.U.; Iweriebor, B.C.; Green, E.; Mabinya, L.V.; Okoh, A.I. Lignin peroxidase functionalities and prospective applications. Microbiologyopen 2017, 6, e00394. [Google Scholar] [CrossRef] [PubMed]
- Koshy, J.; Nambisan, P. Biopulping of Paddy Straw by Pleurotus eous. J. Adv. Biotechnol. 2011, 11, 44–46. [Google Scholar]
- Malayil, S.; Chanakya, H.N. Fungal Enzyme Cocktail Treatment of Biomass for Higher Biogas Production from Leaf Litter. Procedia Environ. Sci. 2016, 35, 826–832. [Google Scholar] [CrossRef]
- Abadulla, E.; Robra, K.H.; Gübitz, G.M.; Silva, L.M.; Cavaco-Paulo, A. Enzymatic Decolorization of Textile Dyeing Effluents. Text. Res. J. 2000, 70, 409–414. [Google Scholar] [CrossRef]
- Ferreira-Leitão, V.S.; de Carvalho, M.E.A.; Bon, E.P.S. Lignin peroxidase efficiency for methylene blue decolouration: Comparison to reported methods. Dye. Pigment. 2007, 74, 230–236. [Google Scholar] [CrossRef]
- Regalado, C.; García-Almendárez, B.E.; Duarte-Vázquez, M.A. Biotechnological applications of peroxidases. Phytochem. Rev. 2004, 3, 243–256. [Google Scholar] [CrossRef]
- Mohammadi, S.; Kargari, A.; Sanaeepur, H.; Abbassian, K.; Najafi, A.; Mofarrah, E. Phenol removal from industrial wastewaters: A short review. Desalin. Water Treat. 2015, 53, 2215–2234. [Google Scholar] [CrossRef]
- Sellami, K.; Couvert, A.; Nasrallah, N.; Maachi, R.; Abouseoud, M.; Amrane, A. Peroxidase enzymes as green catalysts for bioremediation and biotechnological applications: A review. Sci. Total Environ. 2022, 806, 150500. [Google Scholar] [CrossRef]
- Khaled, E.; El-Gayar, M. Application of Extracted Peroxidase Enzyme from Turnip Roots (Brassica Napus) in Clinical Diagnostic Kit. Int. J. Curr. Res. Rev. 2012, 4, 17–22. [Google Scholar]
- Sharma, S.K.; Sehgal, N.; Kumar, A. A quick and simple biostrip technique for detection of lactose. Biotechnol. Lett. 2002, 24, 1737–1739. [Google Scholar] [CrossRef]
- Martins, A.M.C.V.; Rossi, O.D.; Salotti, B.M.; Bürger, K.P.; Cortez, A.L.L.; Cardozo, M.V. Efeito do processamento UAT (Ultra Alta Temperatura) sobre as características físico-químicas do leite. Cienc. E Tecnol. Aliment. 2008, 28, 295–298. [Google Scholar] [CrossRef][Green Version]
- Capecchi, E.; Piccinino, D.; Tomaino, E.; Bizzarri, B.M.; Polli, F.; Antiochia, R.; Mazzei, F.; Saladino, R. Lignin nanoparticles are renewable and functional platforms for the concanavalin a oriented immobilization of glucose oxidase–peroxidase in cascade bio-sensing. RSC Adv. 2020, 10, 29031–29042. [Google Scholar] [CrossRef] [PubMed]
- Nardini, M.; Dijkstra, B.W. α/β Hydrolase fold enzymes: The family keeps growing. Curr. Opin. Struct. Biol. 1999, 9, 732–737. [Google Scholar] [CrossRef]
- Beisson, F.; Tiss, A.; Rivière, C.; Verger, R. Methods for Lipase Detection and Assay: A Critical Review Methods for lipase detection and assay: A critical Review Article. Eur. J. Lipid Sci. Technol. 2000, 102, 133–153. [Google Scholar] [CrossRef]
- Schreck, S.D.; Grunden, A.M. Biotechnological applications of halophilic lipases and thioesterases. Appl. Microbiol. Biotechnol. 2014, 98, 1011–1021. [Google Scholar] [CrossRef]
- Brady, L.; Brzozowski, A.M.; Derewenda, Z.S.; Dodson, E.; Dodson, G.; Tolley, S.; Turkenburg, J.P.; Christiansen, L.; Huge-Jensen, B.; Norskov, L. A serine protease triad forms the catalytic centre of a triacylglycerol lipase. Nature 1990, 343, 767–770. [Google Scholar] [CrossRef]
- Miled, N.; Riviere, M.; Cavalier, J.F.; Buono, G.; Berti, L.; Verger, R. Discrimination between closed and open forms of lipases using electrophoretic techniques. Anal. Biochem. 2005, 338, 171–178. [Google Scholar] [CrossRef]
- Ericsson, D.J.; Kasrayan, A.; Johansson, P.; Bergfors, T.; Sandström, A.G.; Bäckvall, J.E.; Mowbray, S.L. X-ray Structure of Candida antarctica Lipase A Shows a Novel Lid Structure and a Likely Mode of Interfacial Activation. J. Mol. Biol. 2008, 376, 109–119. [Google Scholar] [CrossRef]
- Barbosa, O.; Ortiz, C.; Berenguer-Murcia, Á.; Torres, R.; Rodrigues, R.C.; Fernandez-Lafuente, R. Strategies for the one-step immobilization-purification of enzymes as industrial biocatalysts. Biotechnol. Adv. 2015, 33, 435–456. [Google Scholar] [CrossRef] [PubMed]
- Santos, K.C.; Cassimiro, D.M.J.; Avelar, M.H.M.; Hirata, D.B.; de Castro, H.F.; Fernández-Lafuente, R.; Mendes, A.A. Characterization of the catalytic properties of lipases from plant seeds for the production of concentrated fatty acids from different vegetable oils. Ind. Crops Prod. 2013, 49, 462–470. [Google Scholar] [CrossRef]
- Borrelli, G.M.; Trono, D. Recombinant lipases and phospholipases and their use as biocatalysts for industrial applications. Int. J. Mol. Sci. 2015, 16, 20774–20840. [Google Scholar] [CrossRef] [PubMed]
- Beer, H.D.; Wohlfahrt, G.; McCarthy, J.E.G.; Schomburg, D.; Schmid, R.D. Analysis of the catalytic mechanism of a fungal lipase using computer-aided design and structural mutants. Protein Eng. 1996, 9, 507–517. [Google Scholar] [CrossRef] [PubMed]
- Björkling, F.; Frykman, H.; Godtfredsen, S.E.; Kirk, O. Lipase catalyzed synthesis of peroxycarboxylic acids and lipase mediated oxidations. Tetrahedron 1992, 48, 4587–4592. [Google Scholar] [CrossRef]
- Aouf, C.; Lecomte, J.; Villeneuve, P.; Dubreucq, E.; Fulcrand, H. Chemo-enzymatic functionalization of gallic and vanillic acids: Synthesis of bio-based epoxy resins prepolymers. Green Chem. 2012, 14, 2328–2336. [Google Scholar] [CrossRef]
- Vásquez-Garay, F.; Teixeira Mendonça, R.; Peretti, S.W. Chemoenzymatic lignin valorization: Production of epoxidized pre-polymers using Candida antarctica lipase B. Enzym. Microb. Technol. 2018, 112, 6–13. [Google Scholar] [CrossRef]
- Weißbach, U.; Dabral, S.; Konnert, L.; Bolm, C.; Hernández, J.G. Selective enzymatic esterification of lignin model compounds in the ball mill. Beilstein J. Org. Chem. 2017, 13, 1788–1795. [Google Scholar] [CrossRef]
- Wiermans, L.; Pérez-Sánchez, M.; Domínguez De María, P. Lipase-mediated oxidative delignification in non-aqueous media: Formation of de-aromatized lignin-oil and cellulase-accessible polysaccharides. ChemSusChem 2013, 6, 251–255. [Google Scholar] [CrossRef]
- Le Strat, Y.; Ruiz, N.; Fleurence, J.; Pouchus, Y.F.; Déléris, P.; Dumay, J. Marine Fungal Abilities to Enzymatically Degrade Algal Polysaccharides, Proteins and Lipids: A Review; Springer: Berlin/Heidelberg, Germany, 2022; Volume 34, ISBN 1081102202713. [Google Scholar]
- Park, S.; Kim, S.H.; Kim, J.H.; Yu, H.; Kim, H.J.; Yang, Y.H.; Kim, H.; Kim, Y.H.; Ha, S.H.; Lee, S.H. Application of cellulose/lignin hydrogel beads as novel supports for immobilizing lipase. J. Mol. Catal. B Enzym. 2015, 119, 33–39. [Google Scholar] [CrossRef]
- Park, S.; Oh, Y.; Yun, J.; Yoo, E.; Jung, D.; Oh, K.K.; Lee, S.H. Cellulose/biopolymer/Fe3O4 hydrogel microbeads for dye and protein adsorption. Cellulose 2020, 27, 2757–2773. [Google Scholar] [CrossRef]
- Serpa, J.D.F.; AB Matias, G.; Fechine, P.B.; Costa, V.M.; Freire, R.M.; Denardin, J.C.; Gonçalves, L.R.; Macedo, A.C.; Rocha, M.V. New nanocomposite made of cashew apple bagasse lignin and Fe3O4 for immobilizing of lipase B from Candida antarctica aiming at esterification. J. Chem. Technol. Biotechnol. 2021, 96, 2472–2487. [Google Scholar] [CrossRef]
- Tomaino, E.; Capecchi, E.; Piccinino, D.; Saladino, R. Lignin Nanoparticles Support Lipase-Tyrosinase Enzymatic Cascade in the Synthesis of Lipophilic Hydroxytyrosol Ester Derivatives. ChemCatChem 2022, 14, e202200380. [Google Scholar] [CrossRef]
- Stanisz, M.; Bachosz, K.; Siwińska-Ciesielczyk, K.; Klapiszewski, Ł.; Zdarta, J.; Jesionowski, T. Tailoring Lignin-Based Spherical Particles as a Support for Lipase Immobilization. Catalysts 2022, 12, 1031. [Google Scholar] [CrossRef]
- Van den Bosch, S.; Koelewijn, S.F.; Renders, T.; Van den Bossche, G.; Vangeel, T.; Schutyser, W.; Sels, B.F. Catalytic Strategies Towards Lignin-Derived Chemicals; Springer International Publishing: Berlin/Heidelberg, Germany, 2018; Volume 376, ISBN 0123456789. [Google Scholar]
- Weiss, R.; Guebitz, G.M.; Pellis, A.; Nyanhongo, G.S. Harnessing the Power of Enzymes for Tailoring and Valorizing Lignin. Trends Biotechnol. 2020, 38, 1215–1231. [Google Scholar] [CrossRef] [PubMed]
- Isikgor, F.H.; Becer, C.R. Lignocellulosic biomass: A sustainable platform for the production of bio-based chemicals and polymers. Polym. Chem. 2015, 6, 4497–4559. [Google Scholar] [CrossRef]
- Li, C.; Zhao, X.; Wang, A.; Huber, G.W.; Zhang, T. Catalytic Transformation of Lignin for the Production of Chemicals and Fuels. Chem. Rev. 2015, 115, 11559–11624. [Google Scholar] [CrossRef]
- Costa, C.A.E.; Vega-Aguilar, C.A.; Rodrigues, A.E. Added-Value Chemicals from Lignin Oxidation. Molecules 2021, 26, 4602. [Google Scholar] [CrossRef]
- Kawamoto, H. Lignin pyrolysis reactions. J. Wood Sci. 2017, 63, 117–132. [Google Scholar] [CrossRef]
- Hu, X.; Gholizadeh, M. Biomass pyrolysis: A review of the process development and challenges from initial researches up to the commercialisation stage. J. Energy Chem. 2019, 39, 109–143. [Google Scholar] [CrossRef]
- Yu, J.; Wang, D.; Sun, L. The pyrolysis of lignin: Pathway and interaction studies. Fuel 2021, 290, 120078. [Google Scholar] [CrossRef]
- de Carvalho, D.M.; Colodette, J.L. Comparative study of acid hydrolysis of lignin and polysaccharides in biomasses. BioResources 2017, 12, 6907–6923. [Google Scholar] [CrossRef]
- Lange, H.; Decina, S.; Crestini, C. Oxidative upgrade of lignin—Recent routes reviewed. Eur. Polym. J. 2013, 49, 1151–1173. [Google Scholar] [CrossRef]
- Jeon, J.R.; Baldrian, P.; Murugesan, K.; Chang, Y.S. Laccase-catalysed oxidations of naturally occurring phenols: From in vivo biosynthetic pathways to green synthetic applications. Microb. Biotechnol. 2012, 5, 318–332. [Google Scholar] [CrossRef] [PubMed]
- Li, X.; Zheng, Y. Lignin-enzyme interaction: Mechanism, mitigation approach, modeling, and research prospects. Biotechnol. Adv. 2017, 35, 466–489. [Google Scholar] [CrossRef] [PubMed]
- Baldrian, P. Fungal laccases-occurrence and properties. FEMS Microbiol. Rev. 2006, 30, 215–242. [Google Scholar] [CrossRef]
- Evstigneyev, E.I.; Shevchenko, S.M. Structure, Chemical Reactivity and Solubility of Lignin: A Fresh Look; Springer: Berlin/Heidelberg, Germany, 2019; Volume 53, ISBN 0123456789. [Google Scholar]
- Van de Pas, D.; Hickson, A.; Donaldson, L.; Lloyd-Jones, G.; Tamminen, T.; Fernyhough, A.; Mattinen, M.L. Characterization of fractionated lignins polymerized by fungal laccases. BioResources 2011, 6, 1105–1121. [Google Scholar] [CrossRef]
- Areskogh, D.; Li, J.; Gellerstedt, G.; Henriksson, G. Investigation of the molecular weight increase of commercial lignosulfonates by laccase catalysis. Biomacromolecules 2010, 11, 904–910. [Google Scholar] [CrossRef]
- Huber, D.; Pellis, A.; Daxbacher, A.; Nyanhongo, G.S.; Guebitz, G.M. Polymerization of various lignins via immobilized Myceliophthora thermophila Laccase (MtL). Polymers 2016, 8, 280. [Google Scholar] [CrossRef]
- Moya, R.; Saastamoinen, P.; Hernández, M.; Suurnäkki, A.; Arias, E.; Mattinen, M.L. Reactivity of bacterial and fungal laccases with lignin under alkaline conditions. Bioresour. Technol. 2011, 102, 10006–10012. [Google Scholar] [CrossRef]
- Gouveia, S.; Fernández-Costas, C.; Sanromán, M.A.; Moldes, D. Enzymatic polymerisation and effect of fractionation of dissolved lignin from Eucalyptus globulus Kraft liquor. Bioresour. Technol. 2012, 121, 131–138. [Google Scholar] [CrossRef] [PubMed]
- Gouveia, S.; Fernández-Costas, C.; Sanromán, M.A.; Moldes, D. Polymerisation of Kraft lignin from black liquors by laccase from Myceliophthora thermophila: Effect of operational conditions and black liquor origin. Bioresour. Technol. 2013, 131, 288–294. [Google Scholar] [CrossRef] [PubMed]
- Mayr, S.A.; Subagia, R.; Weiss, R.; Schwaiger, N.; Weber, H.K.; Leitner, J.; Ribitsch, D.; Nyanhongo, G.S.; Guebitz, G.M. Oxidation of various kraft lignins with a bacterial laccase enzyme. Int. J. Mol. Sci. 2021, 22, 13161. [Google Scholar] [CrossRef] [PubMed]
- Padhi, S.S.P.; Jimenez Bartolome, M.; Nyanhongo, G.S.; Schwaiger, N.; Pellis, A.; Van Herwijnen, H.W.G.; Guebitz, G.M. Role of Surface Enhancement in the Enzymatic Cross-Linking of Lignosulfonate Using Alternative Downstream Techniques. ACS Omega 2022, 7, 23749–23758. [Google Scholar] [CrossRef]
- Nugroho Prasetyo, E.; Kudanga, T.; Østergaard, L.; Rencoret, J.; Gutiérrez, A.; del Río, J.C.; Ignacio Santos, J.; Nieto, L.; Jiménez-Barbero, J.; Martínez, A.T.; et al. Polymerization of lignosulfonates by the laccase-HBT (1-hydroxybenzotriazole) system improves dispersibility. Bioresour. Technol. 2010, 101, 5054–5062. [Google Scholar] [CrossRef]
- Euring, M.; Kirsch, A.; Schneider, P.; Kharazipour, A. Lignin-Laccase-Mediator-Systems (LLMS) for the Production of Binderless Medium Density Fiberboards (MDF). J. Mater. Sci. Res. 2016, 5, 7. [Google Scholar] [CrossRef]
- Abbadessa, A.; Oinonen, P.; Henriksson, G. Characterization of Two Novel Bio-based Materials from Pulping Process Side Streams: Ecohelix and CleanFlow Black Lignin. BioResources 2018, 13, 7606–7627. [Google Scholar] [CrossRef]
- Ortner, A.; Huber, D.; Haske-Cornelius, O.; Weber, H.K.; Hofer, K.; Bauer, W.; Nyanhongo, G.S.; Guebitz, G.M. Laccase mediated oxidation of industrial lignins: Is oxygen limiting? Process Biochem. 2015, 50, 1277–1283. [Google Scholar] [CrossRef]
- Haske-Cornelius, O.; Bischof, S.; Beer, B.; Jimenez Bartolome, M.; Olatunde Olakanmi, E.; Mokoba, M.; Guebitz, G.M.; Nyanhongo, G.S. Enzymatic synthesis of highly flexible lignin cross-linked succinyl-chitosan hydrogels reinforced with reed cellulose fibres. Eur. Polym. J. 2019, 120, 109201. [Google Scholar] [CrossRef]
- Legras-Lecarpentier, D.; Stadler, K.; Weiss, R.; Guebitz, G.M.; Nyanhongo, G.S. Enzymatic synthesis of 100% lignin biobased granules as fertilizer storage and controlled slow release systems. ACS Sustain. Chem. Eng. 2019, 7, 12621–12628. [Google Scholar] [CrossRef]
- Hellmayr, R.; Bischof, S.; Wühl, J.; Guebitz, G.M.; Nyanhongo, G.S.; Schwaiger, N.; Liebner, F.; Wimmer, R. Enzymatic Conversion of Lignosulfonate into Wood Adhesives: A Next Step towards Fully Biobased Composite Materials. Polymers 2022, 14, 259. [Google Scholar] [CrossRef] [PubMed]
- Mayr, S.A.; Schwaiger, N.; Weber, H.K.; Kovač, J.; Guebitz, G.M.; Nyanhongo, G.S. Enzyme Catalyzed Copolymerization of Lignosulfonates for Hydrophobic Coatings. Front. Bioeng. Biotechnol. 2021, 9, 697310. [Google Scholar] [CrossRef]
- Sakata, I.; Senju, R.; Products, F. Thermoplastic Behavior of Lignin with Various Synthetic Plasticizers. J. Appl. Polym. Sci. 1975, 19, 2799–2810. [Google Scholar] [CrossRef]
- Bocqué, M.; Voirin, C.; Lapinte, V.; Caillol, S.; Robin, J.-J. Petro-based and bio-based plasticizers: Chemical structures to plasticizing properties. J. Polym. Sci. Part A Polym. Chem. 2016, 54, 11–33. [Google Scholar] [CrossRef]
- Gurgel, M.; Vieira, A.; Altenhofen, M.; Oliveira, L.; Beppu, M.M. Natural-based plasticizers and biopolymer films: A review. Eur. Polym. J. 2011, 47, 254–263. [Google Scholar] [CrossRef]
- Jimenez, M.; Bischof, S.; Pellis, A.; Konnerth, J.; Wimmer, R.; Weber, H.; Schwaiger, N.; Guebitz, G.M.; Nyanhongo, G.S. Enzymatic synthesis and tailoring lignin properties: A systematic study on the effects of plasticizers. Polymers 2020, 202, 122725. [Google Scholar] [CrossRef]
- Julinová, M.; Vaňharová, L.; Šašinková, D.; Kalendová, A.; Burešová, I. Characterization and biodegradation of ternary blends of lignosulfonate/synthetic zeolite/polyvinylpyrrolidone for agricultural chemistry. Int. J. Biol. Macromol. 2022, 213, 110–122. [Google Scholar] [CrossRef]
- Zhang, Y.; Wang, J.; Fang, X.; Liao, J.; Zhou, X.; Zhou, S.; Bai, F.; Peng, S. High solid content production of environmentally benign ultra-thin lignin-based polyurethane films: Plasticization and degradation. Polymers 2019, 178, 121572. [Google Scholar] [CrossRef]
- Bouajila, J.; Dole, P.; Joly, C.; Limare, A. Some laws of a lignin plasticization. J. Appl. Polym. Sci. 2006, 102, 1445–1451. [Google Scholar] [CrossRef]
- Banu, D.; El-Aghoury, A.; Feldman, D. Contributions to characterization of poly(vinyl chloride)–lignin blends. J. Appl. Polym. Sci. 2006, 101, 2732–2748. [Google Scholar] [CrossRef]
- Kudanga, T.; Prasetyo, E.N.; Widsten, P.; Kandelbauer, A.; Jury, S.; Heathcote, C.; Sipilä, J.; Weber, H.; Nyanhongo, G.S.; Guebitz, G.M. Laccase catalyzed covalent coupling of fluorophenols increases lignocellulose surface hydrophobicity. Bioresour. Technol. 2010, 101, 2793–2799. [Google Scholar] [CrossRef] [PubMed]
- Acero, E.; Kudanga, T.; Ortner, A.; Kaluzna, I.; de Wildeman, S.; Nyanhongo, G.; Guebitz, G. Laccase Functionalization of Flax and Coconut Fibers. Polymers 2014, 6, 1676–1684. [Google Scholar] [CrossRef]
- Wu, H.; Noro, J.; Wang, Q.; Fan, X.; Silva, C.; Cavaco-Paulo, A. Jute hydrophobization via laccase-catalyzed grafting of fluorophenol and fluoroamine. RSC Adv. 2016, 6, 90427–90434. [Google Scholar] [CrossRef]
- Ekeberg, D.; Sandersen, K.; Gustafsson, J. Characterisation of lignosulphonates and kraft lignin by hydrophobic interaction chromatography. Anal. Chim. Acta 2006, 565, 121–128. [Google Scholar] [CrossRef]
- De Freitas, A.D.S.M.; Rodrigues, S.; Maciel, C.C.; Ariane, A.; Pires, F.; Lemes, A.P.; Ferreira, M.; Botaro, V.R. Improvements in thermal and mechanical properties of composites based on thermoplastic starch and Kraft Lignin. Int. J. Biol. Macromol. 2021, 184, 863–873. [Google Scholar] [CrossRef] [PubMed]
- Kaewtatip, K.; Thongmee, J. Materia ls and Design Effect of kraft lignin and esterified lignin on the properties of thermoplastic starch. Mater. Des. 2013, 49, 701–704. [Google Scholar] [CrossRef]
- Chen, C.; Zhu, M.; Li, M.; Fan, Y.; Sun, R.C. Biotechnology for Biofuels Epoxidation and etherification of alkaline lignin to prepare water-soluble derivatives and its performance in improvement of enzymatic hydrolysis efficiency. Biotechnol. Biofuels 2016, 9, 87. [Google Scholar] [CrossRef]
- Kuo, P.-Y.; Sain, M.; Yan, N. Synthesis and characterization of an extractive-based bio-epoxy resin from beetle infested Pinus contorta bark. Green Chem. 2014, 16, 3483–3493. [Google Scholar] [CrossRef]
- Sasaki, C.; Wanaka, M.; Takagi, H.; Tamura, S.; Asada, C.; Nakamura, Y. Evaluation of epoxy resins synthesized from steam-exploded bamboo lignin. Ind. Crop. Prod. 2013, 43, 757–761. [Google Scholar] [CrossRef]
- Ferdosian, F.; Zhang, Y.; Yuan, Z.; Anderson, M.; Charles, C. Curing kinetics and mechanical properties of bio-based epoxy composites comprising lignin-based epoxy resins. Eur. Polym. J. 2016, 82, 153–165. [Google Scholar] [CrossRef]
- Gouveia, J.R.; Garcia, G.E.S.; Antonino, L.D.; Tavares, L.B.; dos Santos, D.J. Epoxidation of Kraft Lignin as a Tool for Improving the Mechanical Properties of Epoxy Adhesive. Molecules 2020, 25, 2513. [Google Scholar] [CrossRef] [PubMed]
- Himmel, M.E.; Ding, S.-Y.; Johnson, D.K.; Adney, W.S.; Nimlos, M.R.; Brady, J.W.; Foust, T.D. Biomass Recalcitrance: Engineering Plants and Enzymes for Biofuels Production. Science 2007, 315, 804–807. [Google Scholar] [CrossRef] [PubMed]
- Martínez, Á.T.; Ruiz-Dueñas, F.J.; Martínez, M.J.; del Río, J.C.; Gutiérrez, A. Enzymatic delignification of plant cell wall: From nature to mill. Curr. Opin. Biotechnol. 2009, 20, 348–357. [Google Scholar] [CrossRef] [PubMed]
- Singh, R.; Shukla, A.; Tiwari, S.; Srivastava, M. A review on delignification of lignocellulosic biomass for enhancement of ethanol production potential. Renew. Sustain. Energy Rev. 2014, 32, 713–728. [Google Scholar] [CrossRef]
- Freer, S.N.; Detroy, R.W. Biological Delignification of 14C-Labeled Lignocelluloses by Basidiomycetes: Degradation and Solubilization of the Lignin and Cellulose Components. Mycologia 1982, 74, 943–951. [Google Scholar] [CrossRef]
- Martínez, Á.T.; Speranza, M.; Ruiz-Dueñas, F.J.; Ferreira, P.; Camarero, S.; Guillén, F.; Martínez, M.J.; Gutiérrez, A.; Del Río, J.C. Biodegradation of lignocellulosics: Microbial, chemical, and enzymatic aspects of the fungal attack of lignin. Int. Microbiol. 2005, 8, 195–204. [Google Scholar]
- Iimura, Y.; Abe, H.; Otsuka, Y.; Sato, Y.; Habe, H. Bacterial Community Coexisting with White-Rot Fungi in Decayed Wood in Nature. Curr. Microbiol. 2021, 78, 3212–3217. [Google Scholar] [CrossRef]
- Hammel, K.E.; Cullen, D. Role of fungal peroxidases in biological ligninolysis. Curr. Opin. Plant Biol. 2008, 11, 349–355. [Google Scholar] [CrossRef]
- Zámocký, M.; Hofbauer, S.; Schaffner, I.; Gasselhuber, B.; Nicolussi, A.; Soudi, M.; Pirker, K.F.; Furtmüller, P.G.; Obinger, C. Independent evolution of four heme peroxidase superfamilies. Arch. Biochem. Biophys. 2015, 574, 108–119. [Google Scholar] [CrossRef]
- Hofrichter, M. Review: Lignin conversion by manganese peroxidase (MnP). Enzym. Microb. Technol. 2002, 30, 454–466. [Google Scholar] [CrossRef]
- Mester, T.; Ambert-Balay, K.; Ciofi-Baffoni, S.; Banci, L.; Jones, A.D.; Tien, M. Oxidation of a Tetrameric Nonphenolic Lignin Model Compound by Lignin Peroxidase *. J. Biol. Chem. 2001, 276, 22985–22990. [Google Scholar] [CrossRef] [PubMed]
- Ruiz-Dueñas, F.J.; Morales, M.; García, E.; Miki, Y.; Martínez, M.J.; Martínez, A.T. Substrate oxidation sites in versatile peroxidase and other basidiomycete peroxidases. J. Exp. Bot. 2009, 60, 441–452. [Google Scholar] [CrossRef]
- Sáez-Jiménez, V.; Rencoret, J.; Rodríguez-Carvajal, M.A.; Gutiérrez, A.; Ruiz-Dueñas, F.J.; Martínez, A.T. Role of surface tryptophan for peroxidase oxidation of nonphenolic lignin. Biotechnol. Biofuels 2016, 9, 198. [Google Scholar] [CrossRef]
- Gu, X.; Nguyen, T.; Sung, L.P.; VanLandingham, M.R.; Fasolka, M.J.; Martin, J.W.; Jean, Y.C.; Nguyen, D.; Chang, N.K.; Wu, T.Y. Advanced techniques for nanocharacterization of polymeric coating surfaces. J. Coat. Technol. Res. 2004, 1, 191–200. [Google Scholar] [CrossRef][Green Version]
- Sadeghifar, H.; Venditti, R.; Jur, J.; Gorga, R.E.; Pawlak, J.J. Cellulose-Lignin Biodegradable and Flexible UV Protection Film. ACS Sustain. Chem. Eng. 2017, 5, 625–631. [Google Scholar] [CrossRef]
- Xiao, L.; Liu, W.; Huang, J.; Lou, H.; Qiu, X. Study on the Antioxidant Activity of Lignin and Its Application Performance in SBS Elastomer. Ind. Eng. Chem. Res. 2021, 60, 790–797. [Google Scholar] [CrossRef]
- Alzagameem, A.; Klein, S.E.; Bergs, M.; Do, X.T.; Korte, I.; Dohlen, S.; Hüwe, C.; Kreyenschmidt, J.; Kamm, B.; Larkins, M.; et al. Antimicrobial activity of lignin and lignin-derived cellulose and chitosan composites against selected pathogenic and spoilage microorganisms. Polymers 2019, 11, 670. [Google Scholar] [CrossRef] [PubMed]
- Kaur, R.; Thakur, N.S.; Chandna, S.; Bhaumik, J. Sustainable Lignin-Based Coatings Doped with Titanium Dioxide Nanocomposites Exhibit Synergistic Microbicidal and UV-Blocking Performance toward Personal Protective Equipment. ACS Sustain. Chem. Eng. 2021, 9, 11223–11237. [Google Scholar] [CrossRef]
- Zhang, D.; Zeng, J.; Liu, W.; Qiu, X.; Qian, Y.; Zhang, H.; Yang, Y.; Liu, M.; Yang, D. Pristine lignin as a flame retardant in flexible PU foam. Green Chem. 2021, 23, 5972–5980. [Google Scholar] [CrossRef]
- Scarica, C.; Suriano, R.; Levi, M.; Turri, S.; Griffini, G. Lignin Functionalized with Succinic Anhydride as Building Block for Biobased Thermosetting Polyester Coatings. ACS Sustain. Chem. Eng. 2018, 6, 3392–3401. [Google Scholar] [CrossRef]
- Carlos De Haro, J.; Magagnin, L.; Turri, S.; Griffini, G. Lignin-Based Anticorrosion Coatings for the Protection of Aluminum Surfaces. ACS Sustain. Chem. Eng. 2019, 7, 6213–6222. [Google Scholar] [CrossRef]
- Cao, Y.; Liu, Z.; Zheng, B.; Ou, R.; Fan, Q.; Li, L.; Guo, C.; Liu, T.; Wang, Q. Synthesis of lignin-based polyols via thiol-ene chemistry for high-performance polyurethane anticorrosive coating. Compos. Part B Eng. 2020, 200, 108295. [Google Scholar] [CrossRef]
- Hult, E.L.; Ropponen, J.; Poppius-Levlin, K.; Ohra-Aho, T.; Tamminen, T. Enhancing the barrier properties of paper board by a novel lignin coating. Ind. Crops Prod. 2013, 50, 694–700. [Google Scholar] [CrossRef]
- Hua, Q.; Liu, L.Y.; Karaaslan, M.A.; Renneckar, S. Aqueous Dispersions of Esterified Lignin Particles for Hydrophobic Coatings. Front. Chem. 2019, 7, 515. [Google Scholar] [CrossRef] [PubMed]
- García, M.C.; Díez, J.A.; Vallejo, A.; García, L.; Cartagena, M.C. Use of Kraft Pine Lignin in Controlled-Release Fertilizer Formulations. Ind. Eng. Chem. Res. 1996, 35, 245–249. [Google Scholar] [CrossRef]
- García, M.C.; Díez, J.A.; Vallejo, A.; García, L.; Cartagena, M.C. Effect of Applying Soluble and Coated Phosphate Fertilizers on Phosphate Availability in Calcareous Soils and on P Absorption by a Rye-Grass Crop. J. Agric. Food Chem. 1997, 45, 1931–1936. [Google Scholar] [CrossRef][Green Version]
- Naz, M.Y.; Sulaiman, S.A. Slow release coating remedy for nitrogen loss from conventional urea: A review. J. Control. Release 2016, 225, 109–120. [Google Scholar] [CrossRef]
- Rotondo, F.; Coniglio, R.; Cantera, L.; Di Pascua, I.; Clavijo, L.; Dieste, A. Lignin-based coatings for controlled P-release fertilizer consisting of granulated simple superphosphate. Holzforschung 2018, 72, 637–643. [Google Scholar] [CrossRef]
- Chen, J.; Fan, X.; Zhang, L.; Chen, X.; Sun, S.; Sun, R.C. Research Progress in Lignin-Based Slow/Controlled Release Fertilizer. ChemSusChem 2020, 13, 4356–4366. [Google Scholar] [CrossRef]
- Fertahi, S.; Ilsouk, M.; Zeroual, Y.; Oukarroum, A.; Barakat, A. Recent trends in organic coating based on biopolymers and biomass for controlled and slow release fertilizers. J. Control. Release 2021, 330, 341–361. [Google Scholar] [CrossRef]
- Weiß, R.; Gritsch, S.; Brader, G.; Nikolic, B.; Spiller, M.; Santolin, J.; Weber, H.K.; Schwaiger, N.; Pluchon, S.; Dietel, K.; et al. A biobased, bioactive, low CO2impact coating for soil improvers. Green Chem. 2021, 23, 6501–6514. [Google Scholar] [CrossRef]
- Norgren, M.; Notley, S.M.; Majtnerova, A.; Gellerstedt, G. Smooth model surfaces from lignin derivatives. I. Preparation and characterization. Langmuir 2006, 22, 1209–1214. [Google Scholar] [CrossRef] [PubMed]
- Tammelin, T.; Österberg, M.; Johansson, L.S.; Laine, J. Preparation of lignin and extractive model surfaces by using spincoattng technique—Application for QCM-D studies. Nord. Pulp Pap. Res. J. 2006, 21, 444–450. [Google Scholar] [CrossRef]
- Holtzapple, M.T. LIGNIN. Encycl. Food Sci. Nutr. 2003, 3535–3542. [Google Scholar] [CrossRef]
- Norgren, M.; Edlund, H. Lignin: Recent advances and emerging applications. Curr. Opin. Colloid Interface Sci. 2014, 19, 409–416. [Google Scholar] [CrossRef]
- Kai, D.; Tan, M.J.; Chee, P.L.; Chua, Y.K.; Yap, Y.L.; Loh, X.J. Towards lignin-based functional materials in a sustainable world. Green Chem. 2016, 18, 1175–1200. [Google Scholar] [CrossRef]
- Effendi, A.; Gerhauser, H.; Bridgwater, A. V Production of renewable phenolic resins by thermochemical conversion of biomass: A review. Renew. Sustain. Energy Rev. 2008, 12, 2092–2116. [Google Scholar] [CrossRef]
- Krafft, K.; Lange, T. Klebstoff fuer Bauzwecke, Insbesondere fuer Linoleum-Fussbodenbelaege. Patent DE1058669B, 28 November 1957. [Google Scholar]
- Albrecht, P.; Pelikan, F. Verfahren zur Herstellung eines Kittes oder Klebers, Insbesondere zum Aufkleben von Belaegen auf Boeden. Patent DE975049C, 20 July 1961. [Google Scholar]
- Schwarz, K. Kleber auf Ligninbasis. Patent WO2007048494A3, 8 November 2007. [Google Scholar]
- Kalami, S.; Arefmanesh, M.; Master, E.; Nejad, M. Replacing 100% of phenol in phenolic adhesive formulations with lignin. J. Appl. Polym. Sci. 2017, 134, 45124. [Google Scholar] [CrossRef]
- Wang, L.; Lagerquist, L.; Zhang, Y.; Koppolu, R.; Tirri, T.; Sulaeva, I.; Schoultz, S.v.; Vähäsalo, L.; Pranovich, A.; Rosenau, T.; et al. Tailored Thermosetting Wood Adhesive Based on Well-Defined Hardwood Lignin Fractions. ACS Sustain. Chem. Eng. 2020, 8, 13517–13526. [Google Scholar] [CrossRef]
- Chen, X.; Xi, X.; Pizzi, A.; Fredon, E.; Du, G.; Gerardin, C.; Amirou, S. Oxidized demethylated lignin as a bio-based adhesive for wood bonding. J. Adhes. 2021, 97, 873–890. [Google Scholar] [CrossRef]
- Österberg, M.; Sipponen, M.H.; Mattos, B.D.; Rojas, O.J. Spherical lignin particles: A review on their sustainability and applications. Green Chem. 2020, 22, 2712–2733. [Google Scholar] [CrossRef]
- Beisl, S.; Adamcyk, J.; Friedl, A.; Ejima, H. Confined evaporation-induced self-assembly of colloidal lignin particles for anisotropic adhesion. Colloids Interface Sci. Commun. 2020, 38, 100306. [Google Scholar] [CrossRef]
- Ji, X.; Guo, M. Preparation and properties of a chitosan-lignin wood adhesive. Int. J. Adhes. Adhes. 2018, 82, 8–13. [Google Scholar] [CrossRef]
- Bertaud, F.; Tapin-Lingua, S.; Pizzi, A.; Navarrete, P.; Petit-Conil, M. Development of green adhesives for fibreboard manufacturing, using tannins and lignin from pulp mill residues. Cellul. Chem. Technol. 2012, 46, 449–455. [Google Scholar]
- Jimenez, M.; Schwaiger, N.; Flicker, R.; Seidl, B.; Kozich, M.; Nyanhongo, G.S.; Guebitz, G.M. Enzymatic synthesis of wet-resistant lignosulfonate-starch adhesives. N. Biotechnol. 2022, 69, 49–54. [Google Scholar] [CrossRef] [PubMed]
- Armand, M.; Tarascon, J.-M. Building better batteries. Nature 2008, 451, 652–657. [Google Scholar] [CrossRef]
- Baloch, M.; Labidi, J. Lignin biopolymer: The material of choice for advanced lithium-based batteries. RSC Adv. 2021, 11, 23644–23653. [Google Scholar] [CrossRef]
- Chen, T.; Zhang, Q.; Pan, J.; Xu, J.; Liu, Y.; Al-Shroofy, M.; Cheng, Y.-T. Low-Temperature Treated Lignin as Both Binder and Conductive Additive for Silicon Nanoparticle Composite Electrodes in Lithium-Ion Batteries. ACS Appl. Mater. Interfaces 2016, 8, 32341–32348. [Google Scholar] [CrossRef]
- Nirmale, T.C.; Kale, B.B.; Varma, A.J. A review on cellulose and lignin based binders and electrodes: Small steps towards a sustainable lithium ion battery. Int. J. Biol. Macromol. 2017, 103, 1032–1043. [Google Scholar] [CrossRef]
- Chauhan, M.; Gupta, M.; Singh, B.; Singh, A.K.; Gupta, V.K. Effect of functionalized lignin on the properties of lignin-isocyanate prepolymer blends and composites. Eur. Polym. J. 2014, 52, 32–43. [Google Scholar] [CrossRef]
- Chung, Y.L.; Olsson, J.V.; Li, R.J.; Frank, C.W.; Waymouth, R.M.; Billington, S.L.; Sattely, E.S. A renewable lignin-lactide copolymer and application in biobased composites. ACS Sustain. Chem. Eng. 2013, 1, 1231–1238. [Google Scholar] [CrossRef]
- Lintinen, K.; Xiao, Y.; Bangalore Ashok, R.; Leskinen, T.; Sakarinen, E.; Sipponen, M.; Muhammad, F.; Oinas, P.; Österberg, M.; Kostiainen, M. Closed cycle production of concentrated and dry redispersible colloidal lignin particles with a three solvent polarity exchange method. Green Chem. 2018, 20, 843–850. [Google Scholar] [CrossRef]
- Zhao, S.; Abu-Omar, M.M. Renewable Thermoplastics Based on Lignin-Derived Polyphenols. Macromolecules 2017, 50, 3573–3581. [Google Scholar] [CrossRef]
- Fan, D.; Chen, J.; Kong, M.; Lv, Y.; Huang, Y.; Li, G. Valorization of enzymatic hydrolysis lignin for the multifunctional stabilization of polypropylene. Ind. Crops Prod. 2022, 187, 115443. [Google Scholar] [CrossRef]
- Canetti, M.; Bertini, F. Supermolecular structure and thermal properties of poly(ethylene terephthalate)/lignin composites. Compos. Sci. Technol. 2007, 67, 3151–3157. [Google Scholar] [CrossRef]
- Tsou, C.-H.; Ma, Z.-L.; Yang, T.; De Guzman, M.R.; Chen, S.; Wu, C.-S.; Hu, X.-F.; Huang, X.; Sun, Y.-L.; Gao, C.; et al. Reinforced distiller’s grains as bio-fillers in environment-friendly poly(ethylene terephthalate) composites. Polym. Bull. 2022, 1–22. [Google Scholar] [CrossRef]
- Biswas, M.C.; Ford, E. Using Sodium Polyacrylate to Gel-Spin Lignin/Poly(Vinyl Alcohol) Fiber at High Lignin Content. Polymers 2022, 14, 2736. [Google Scholar] [CrossRef]
- Kadla, J.F.; Kubo, S. Lignin-based polymer blends: Analysis of intermolecular interactions in lignin–synthetic polymer blends. Compos. Part A Appl. Sci. Manuf. 2004, 35, 395–400. [Google Scholar] [CrossRef]
- Mishra, S.B.; Mishra, A.K.; Kaushik, N.K.; Khan, M.A. Study of performance properties of lignin-based polyblends with polyvinyl chloride. J. Mater. Process. Technol. 2007, 183, 273–276. [Google Scholar] [CrossRef]
- Pouteau, C.; Baumberger, S.; Cathala, B.; Dole, P. Lignin–polymer blends: Evaluation of compatibility by image analysis. C. R. Biol. 2004, 327, 935–943. [Google Scholar] [CrossRef]
- Zhang, Z.; Mulyadi, A.; Kuang, X.; Liu, W.; Li, V.; Gogoi, P.; Liu, X.; Deng, Y. Lignin-polystyrene composite foams through high internal phase emulsion polymerization. Polym. Eng. Sci. 2019, 59, 964–972. [Google Scholar] [CrossRef]
- Alexy, P.; Košíková, B.; Podstránska, G. The effect of blending lignin with polyethylene and polypropylene on physical properties. Polymers 2000, 41, 4901–4908. [Google Scholar] [CrossRef]
- Hong, S.H.; Hwang, S.H. Construction, Physical Properties and Foaming Behavior of High-Content Lignin Reinforced Low-Density Polyethylene Biocomposites. Polymers 2022, 14, 2688. [Google Scholar] [CrossRef] [PubMed]
- Gordobil, O.; Delucis, R.; Egüés, I.; Labidi, J. Kraft lignin as filler in PLA to improve ductility and thermal properties. Ind. Crops Prod. 2015, 72, 46–53. [Google Scholar] [CrossRef]
- Canetti, M.; Bertini, F.; De Chirico, A.; Audisio, G. Thermal degradation behaviour of isotactic polypropylene blended with lignin. Polym. Degrad. Stab. 2006, 91, 494–498. [Google Scholar] [CrossRef]
- Kargarzadeh, H.; Galeski, A.; Pawlak, A. PBAT green composites: Effects of kraft lignin particles on the morphological, thermal, crystalline, macro and micromechanical properties. Polymers 2020, 203, 122748. [Google Scholar] [CrossRef]
- Choi, S.S.; Nah, C.; Lee, S.G.; Joo, C.W. Effect of filler-filler interaction on rheological behaviour of natural rubber compounds filled with both carbon black and silica. Polym. Int. 2003, 52, 23–28. [Google Scholar] [CrossRef]
- Attharangsan, S.; Ismail, H.; Bakar, M.A.; Ismail, J. Carbon Black (CB)/Rice Husk Powder (RHP) Hybrid Filler-Filled Natural Rubber Composites: Effect of CB/RHP Ratio on Property of the Composites. Polym. Plast. Technol. Eng. 2012, 51, 655–662. [Google Scholar] [CrossRef]
- Feldman, D. Lignin nanocomposites. J. Macromol. Sci. Part A 2016, 53, 382–387. [Google Scholar] [CrossRef]
- Botros, S.H.; Eid, M.A.M.; Nageeb, Z.A. Thermal stability and dielectric relaxation of natural rubber/soda lignin and natural rubber/thiolignin composites. J. Appl. Polym. Sci. 2006, 99, 2504–2511. [Google Scholar] [CrossRef]
- Jose, S.; Thomas, S.; Jibin, K.P.; Sisanth, K.S.; Kadam, V.; Shakyawar, D.B. Surface modification of wool fabric using sodium lignosulfonate and subsequent improvement in the interfacial adhesion of natural rubber latex in the wool/rubber composites. Ind. Crops Prod. 2022, 177, 114489. [Google Scholar] [CrossRef]
- Barana, D.; Ali, S.D.; Salanti, A.; Orlandi, M.; Castellani, L.; Hanel, T.; Zoia, L. Influence of Lignin Features on Thermal Stability and Mechanical Properties of Natural Rubber Compounds. ACS Sustain. Chem. Eng. 2016, 4, 5258–5267. [Google Scholar] [CrossRef]
- Jiang, C.; He, H.; Yao, X.; Yu, P.; Zhou, L.; Jia, D. In situ dispersion and compatibilization of lignin/epoxidized natural rubber composites: Reactivity, morphology and property. J. Appl. Polym. Sci. 2015, 132, 1–10. [Google Scholar] [CrossRef]
- Yu, P.; He, H.; Jia, Y.; Tian, S.; Chen, J.; Jia, D.; Luo, Y. A comprehensive study on lignin as a green alternative of silica in natural rubber composites. Polym. Test. 2016, 54, 176–185. [Google Scholar] [CrossRef]
- Liu, R.; Li, J.; Lu, T.; Han, X.; Yan, Z.; Zhao, S.; Wang, H. Comparative study on the synergistic reinforcement of lignin between carbon black/lignin and silica/lignin hybrid filled natural rubber composites. Ind. Crops Prod. 2022, 187, 115378. [Google Scholar] [CrossRef]
- Shorey, R.; Gupta, A.; Mekonnen, T.H. Hydrophobic modification of lignin for rubber composites. Ind. Crops Prod. 2021, 174, 114189. [Google Scholar] [CrossRef]
- Setua, D.K.; Shukla, M.K.; Nigam, V.; Singh, H.; Mathur, G.N. Lignin reinforced rubber composites. Polym. Compos. 2000, 21, 988–995. [Google Scholar] [CrossRef]
- Bahl, K.; Jana, S.C. Surface modification of lignosulfonates for reinforcement of styrene-butadiene rubber compounds. J. Appl. Polym. Sci. 2014, 131, 1–9. [Google Scholar] [CrossRef]
- Miller, J.E., Jr.; Dilling, P. Water-Based Printing Ink Compositions Containing a Lignin Acetate Binder. US4612051A, 16 September 1986. [Google Scholar]
- Belgacem, M.N.; Blayo, A.; Gandini, A. Organosolv lignin as a filler in inks, varnishes and paints. Ind. Crops Prod. 2003, 18, 145–153. [Google Scholar] [CrossRef]
- Schilling, P. Lignin Amine Salt-Based Binders for Water-Based Black Ink Formulations. U.S. Patent 5188665A, 24 January 1992. [Google Scholar]
- Khan, J.; Mariatti, M. Effect of natural surfactant on the performance of reduced graphene oxide conductive ink. J. Clean. Prod. 2022, 376, 134254. [Google Scholar] [CrossRef]
- Fu, K.; Yao, Y.; Dai, J.; Hu, L. Progress in 3D Printing of Carbon Materials for Energy-Related Applications. Adv. Mater. 2017, 29, 1603486. [Google Scholar] [CrossRef] [PubMed]
- Blake, C.; Massey, O.; Boyd-Moss, M.; Firipis, K.; Rifai, A.; Franks, S.; Quigley, A.; Kapsa, R.; Nisbet, D.R.; Williams, R.J. Replace and repair: Biomimetic bioprinting for effective muscle engineering. APL Bioeng. 2021, 5, 031502. [Google Scholar] [CrossRef] [PubMed]
- Ambrosi, A.; Pumera, M. 3D-printing technologies for electrochemical applications. Chem. Soc. Rev. 2016, 45, 2740–2755. [Google Scholar] [CrossRef] [PubMed]
- Park, S.; Shou, W.; Makatura, L.; Matusik, W.; Fu, K. 3D printing of polymer composites: Materials, processes, and applications. Matter 2022, 5, 43–76. [Google Scholar] [CrossRef]
- Benítez, A.J.; Torres-Rendon, J.; Poutanen, M.; Walther, A. Humidity and Multiscale Structure Govern Mechanical Properties and Deformation Modes in Films of Native Cellulose Nanofibrils. Biomacromolecules 2013, 14, 4497–4506. [Google Scholar] [CrossRef]
- Lettner, M.; Solt, P.; Rößiger, B.; Pufky-Heinrich, D.; Jääskeläinen, A.-S.; Schwarzbauer, P.; Hesser, F. From Wood to Resin—Identifying Sustainability Levers through Hotspotting Lignin Valorisation Pathways. Sustainability 2018, 10, 2745. [Google Scholar] [CrossRef]
- Yadav, P.; Athanassiadis, D.; Antonopoulou, I.; Rova, U.; Christakopoulos, P.; Tysklind, M.; Matsakas, L. Environmental impact and cost assessment of a novel lignin production method. J. Clean. Prod. 2021, 279, 123515. [Google Scholar] [CrossRef]
- Chio, C.; Sain, M.; Qin, W. Lignin utilization: A review of lignin depolymerization from various aspects. Renew. Sustain. Energy Rev. 2019, 107, 232–249. [Google Scholar] [CrossRef]











Disclaimer/Publisher’s Note: The statements, opinions and data contained in all publications are solely those of the individual author(s) and contributor(s) and not of MDPI and/or the editor(s). MDPI and/or the editor(s) disclaim responsibility for any injury to people or property resulting from any ideas, methods, instructions or products referred to in the content. |
© 2023 by the authors. Licensee MDPI, Basel, Switzerland. This article is an open access article distributed under the terms and conditions of the Creative Commons Attribution (CC BY) license (https://creativecommons.org/licenses/by/4.0/).
Share and Cite
Fabbri, F.; Bischof, S.; Mayr, S.; Gritsch, S.; Jimenez Bartolome, M.; Schwaiger, N.; Guebitz, G.M.; Weiss, R. The Biomodified Lignin Platform: A Review. Polymers 2023, 15, 1694. https://doi.org/10.3390/polym15071694
Fabbri F, Bischof S, Mayr S, Gritsch S, Jimenez Bartolome M, Schwaiger N, Guebitz GM, Weiss R. The Biomodified Lignin Platform: A Review. Polymers. 2023; 15(7):1694. https://doi.org/10.3390/polym15071694
Chicago/Turabian StyleFabbri, Filippo, Sabrina Bischof, Sebastian Mayr, Sebastian Gritsch, Miguel Jimenez Bartolome, Nikolaus Schwaiger, Georg M. Guebitz, and Renate Weiss. 2023. "The Biomodified Lignin Platform: A Review" Polymers 15, no. 7: 1694. https://doi.org/10.3390/polym15071694
APA StyleFabbri, F., Bischof, S., Mayr, S., Gritsch, S., Jimenez Bartolome, M., Schwaiger, N., Guebitz, G. M., & Weiss, R. (2023). The Biomodified Lignin Platform: A Review. Polymers, 15(7), 1694. https://doi.org/10.3390/polym15071694

