The Role of the Interface of PLA with Thermoplastic Starch in the Nonisothermal Crystallization Behavior of PLA in PLA/Thermoplastic Starch/SiO2 Composites
Abstract
1. Introduction
2. Materials and Methods
2.1. Materials
2.2. Preparation of Thermoplastic Starch/SiO2
2.3. Preparation of PLA/Thermoplastic Starch/SiO2 Composites
2.4. Characterizations
2.5. Simulation
3. Results
3.1. The Elucidation of the Interface of PLA with Thermoplastic Starch Existing in the Composites
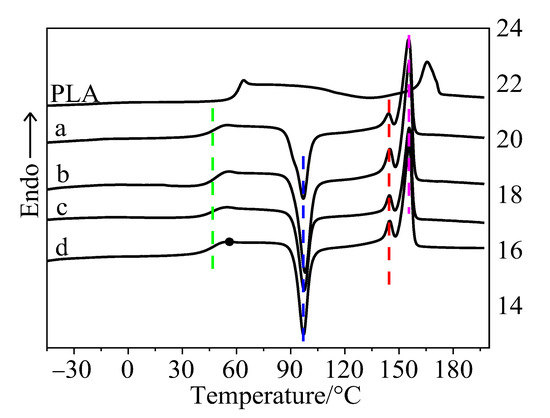
3.2. The Effect of the Interface of PLA with Thermoplastic Starch on the Thermal Transition Temperature of the Composites
3.3. The Crystallizability of PLA in the Composites
3.4. Nonisothermal Crystallization Kinetics Analysis
3.5. The Interfacial Binding Energy of PLA with Thermoplastic Starch
4. Conclusions
Author Contributions
Funding
Institutional Review Board Statement
Informed Consent Statement
Data Availability Statement
Conflicts of Interest
References
- Wen, Z.G.; Xie, Y.L.; Chen, M.H.; Dinga, C.D. China’s plastic import ban increases prospects of environmental impact mitigation of plastic waste trade flow worldwide. Nat. Commun. 2021, 12, 425. [Google Scholar] [CrossRef]
- Musioł, M.; Sikorska, W.; Adamus, G.; Janeczek, H.; Richert, J.; Malinowski, R.; Jiang, G.Z.; Kowalczuk, M. Forensic engineering of advanced polymeric materials. Part III-Biodegradation of thermoformed rigid PLA packaging under industrial composting conditions. Waste Manag. 2016, 52, 69–76. [Google Scholar] [CrossRef] [PubMed]
- Burgos, N.; Armentano, I.; Fortunati, E.; Dominici, F.; Luzi, F.; Fiori, S.; Cristofaro, F.; Visai, L.; Jiménez, A.; Kenny, J.M. Functional properties of plasticized bio-based poly(lactic acid)-poly(hydroxybutyrate) (PLA-PHB) films for active food packaging. Food Bioprocess Tech. 2017, 10, 770–780. [Google Scholar] [CrossRef]
- Ma, Y.C.; Li, L.; Wang, Y.F. Development of PLA-PHB-based biodegradable active packaging and its application to salmon. Packag. Technol. Sci. 2018, 31, 739–746. [Google Scholar] [CrossRef]
- Sikorska, W.; Musioł, M.; Rydz, J.; Zięba, M.; Rychter, P.; Lewicka, K.; Šiškova, A.; Mosnáčková, K.; Kowalczuk, M.; Adamus, G. Prediction studies of environment-friendly biodegradable polymeric packaging based on PLA. Influence of specimens’ thickness on the hydrolytic degradation profile. Waste Manag. 2018, 78, 938–947. [Google Scholar] [CrossRef] [PubMed]
- Dorgan, J.R.; Williams, J.S.; Lewis, D.N. Melt rheology of poly(lactic acid): Entanglement and chain architecture effects. J. Rheol. 1999, 43, 1141–1155. [Google Scholar] [CrossRef]
- Zhao, X.P.; Hu, H.; Wang, X.; Yu, X.L.; Zhou, W.Y.; Peng, S.X. Super tough poly(lactic acid) blends: A comprehensive review. RSC Adv. 2020, 10, 13316–13368. [Google Scholar] [CrossRef]
- Mazidi, M.M.; Edalat, A.; Berahman, R.; Hosseini, F.S. Highly-toughened polylactide-(PLA-) based ternary blends with significantly enhanced glass transition and melt strength: Tailoring the interfacial interactions, phase morphology, and performance. Macromolecules 2018, 51, 4298–4314. [Google Scholar] [CrossRef]
- Zhang, B.; Bian, X.C.; Xiang, S.; Li, G.; Chen, X.S. Synthesis of PLLA-based block copolymers for improving melt strength and toughness of PLLA by in situ reactive blending. Polym. Degrad. Stab. 2017, 136, 58–70. [Google Scholar] [CrossRef]
- Zubov, A.; Sin, G. Multiscale modeling of poly(lactic acid) production: From reaction conditions to rheology of polymer melt. Chem. Eng. J. 2018, 336, 361–375. [Google Scholar] [CrossRef]
- Li, D.L.; Zhang, Q.; Li, G.H.; Su, G.X.; Zhang, H.X. Rheological property and mechanical property of poly(lactic acid)/thermoplastic starch/silicon dioxide composites. Polym. Mater. Sci. Eng. 2017, 33, 103–108. [Google Scholar]
- Zhang, Q.; Li, D.L.; Zhang, H.X.; Su, G.X.; Li, G.H. Preparation and properties of poly(lactic acid)/sesbania gum/nano-TiO2 composites. Polym. Bull. 2018, 75, 623–635. [Google Scholar] [CrossRef]
- Ren, J.W.; Zhang, W.J.; Lou, F.P.; Wang, Y.M.; Guo, W.H. Characteristics of starch-based films produced using glycerol and 1-butyl-3-methylimidazolium chloride as combined plasticizers. Starch-Stärke 2016, 68, 1600161. [Google Scholar] [CrossRef]
- Ren, J.W.; Han, L.; Cai, H.F.; Wu, K.; Guo, W.H. Functional biocomposites based on plasticized starch/halloysite nanotubes for drug-release applications. Starch-Stärke 2018, 70, 1700358. [Google Scholar] [CrossRef]
- Zhang, C.W.; Li, F.Y.; Li, J.F.; Xie, Q.; Xu, J.; Chen, S. Influence of changes in the molecular structure of starch on the mechanical properties of biomass composites. J. Beijing Univ. Chem. Technol. 2017, 44, 21–26. [Google Scholar]
- Wang, H.Y.; Huang, M.F. Preparation, characterization and performances of biodegradable thermoplastic starch. Polym. Adv. Technol. 2007, 18, 910–915. [Google Scholar] [CrossRef]
- Saad, G.R.; Elsawy, M.A.; Aziz, M.S.A. Nonisothermal crystallization behavior and molecular dynamics of poly(lactic acid) plasticized with jojoba oil. J. Therm. Anal. Calorim. 2017, 128, 211–223. [Google Scholar] [CrossRef]
- Ahmed, J.; Luciano, G.; Maggiore, S. Nonisothermal crystallization behavior of polylactide/polyethylene glycol/graphene oxide nanosheets composite films. Polym. Compos. 2019, 41, 2108–2119. [Google Scholar] [CrossRef]
- Zhang, F.Y.; Jiang, W.J.; Song, X.D.; Kang, J.; Cao, Y.; Xiang, M. Effects of hyperbranched polyester-modified carbon nanotubes on the crystallization kinetics of polylactic acid. ACS Omega 2021, 6, 10362–10370. [Google Scholar] [CrossRef]
- Bao, J.N.; Dong, X.L.; Chen, S.C.; Lu, W.Y.; Zhang, X.M.; Chen, W.X. Confined crystallization, melting behavior and morphology in PEG-b-PLA diblock copolymers: Amorphous versus crystalline PLA. J. Polym. Sci. 2020, 58, 455–465. [Google Scholar] [CrossRef]
- Bornani, K.; Rahman, M.A.; Benicewicz, B.; Kumar, S.; Schadler, L. Using nanofiller assemblies to control the crystallization kinetics of high-density polyethylene. Macromolecules 2021, 54, 5673–5682. [Google Scholar] [CrossRef]
- Li, C.L.; Dou, Q. Nonisothermal crystallization kinetics and spherulitic morphology of nucleated poly(lactic acid): Effect of dilithium cis-4-cyclohexene-1,2-dicarboxylate as a novel and efficient nucleating agent. Polym. Adv. Technol. 2015, 26, 376–384. [Google Scholar] [CrossRef]
- Samantaray, S.K.; Satapathy, B.K. On the crystal growth kinetics of ultra-toughened biobased polyamide 410: New insights on dynamic crystallization. J. Appl. Polym. Sci. 2022, 139, 51494. [Google Scholar] [CrossRef]
- Almeida, A.D.; Nébouy, M.; Baeza, G.P. Bimodal crystallization kinetics of PBT/PTHF segmented block copolymers: Impact of the chain rigidity. Macromolecules 2019, 52, 1227–1240. [Google Scholar] [CrossRef]
- Ghadikolaei, S.S.; Omrani, A.; Ehsani, M. Impact of Bacterial Cellulose Nanofibers on the nonisothermal crystallization kinetics of ethylene–vinyl acetate copolymer. Ind. Eng. Chem. Res. 2016, 55, 8248–8257. [Google Scholar] [CrossRef]
- Lee, L.T.; Ke, Y.L. Superior crystallization kinetics caused by the remarkable nucleation effect of graphene oxide in novel ternary biodegradable polymer composites. ACS Omega 2020, 5, 30643–30656. [Google Scholar] [CrossRef]
- Wang, R.Y.; Zou, S.F.; Jiang, B.Y.; Fan, B.; Hou, M.F.; Zuo, B.; Wang, X.P.; Xu, J.T.; Fan, Z.Q. A generalized Avrami equation for crystallization kinetics of polymers with concomitant double crystallization processes. Cryst. Growth Des. 2017, 17, 5908–5917. [Google Scholar] [CrossRef]
- Catalano, D.I.M.; Conzatti, L.; Ilsouk, M.; Lahcini, M.; Manariti, A.; Maurina, E.; Raihane, M.; Rhouta, B.; Castelvetro, V. Singling out the role of molecular weight in the crystallization kinetics of polyester/clay bionanocomposites obtained by in situ step growth polycondensation. ACS Appl. Polym. Mater. 2021, 3, 5405–5415. [Google Scholar] [CrossRef]
- Zhan, J.Z.; Wang, L.; Zhang, M.; Zhu, L.; Hao, T.Y.; Zhou, G.Q.; Zhou, Z.C.; Chen, J.J.; Zhong, W.K.; Qiu, C.Q.; et al. Manipulating crystallization kinetics of conjugated polymers in nonfullerene photovoltaic blends toward refined morphologies and higher performances. Macromolecules 2021, 54, 4030–4041. [Google Scholar] [CrossRef]
- López-Barrón, C.R.; Hagadorn, J.R.; Throckmorton, J.A. Isothermal crystallization kinetics of α-Olefin molecular bottlebrushes. Macromolecules 2020, 53, 7439–7449. [Google Scholar] [CrossRef]
- Yu, L.Y.; Davidson, E.; Sharma, A.; Andersson, M.R.; Segalman, R.; Müller, C. Isothermal crystallization kinetics and time–temperature–transformation of the conjugated polymer: Poly(3-(2′-ethyl)hexylthiophene). Chem. Mater. 2017, 29, 5654–5662. [Google Scholar] [CrossRef] [PubMed]
- Somsunan, R.; Mainoiy, N. Isothermal and nonisothermal crystallization kinetics of PLA/PBS blends with talc as nucleating agent. J. Therm. Anal. Calorim. 2020, 139, 1941–1948. [Google Scholar] [CrossRef]
- Li, Y.F.; Duan, L.B.; Cheng, L.; Yang, Y.; Li, Y.C.; Cheng, Y.; Song, D.M. Thermal analysis and crystallization kinetics of polyurethane. J. Therm. Anal. Calorim. 2019, 135, 2843–2848. [Google Scholar] [CrossRef]
- Wu, Z.X.; Zhang, Z.S.; Mai, K.C. Nonisothermal crystallization kinetics of UHMWPE composites filled by oligomer-modified CaCO3. J. Therm. Anal. Calorim. 2020, 139, 1111–1120. [Google Scholar] [CrossRef]
- Chen, L.; Dou, Q. Influence of the combination of nucleating agent and plasticizer on the nonisothermal crystallization kinetics and activation energies of poly(lactic acid). J. Therm. Anal. Calorim. 2020, 139, 1069–1090. [Google Scholar] [CrossRef]
- Bai, Z.F.; Dou, Q. Nonisothermal crystallization kinetics of polypropylene/poly(lactic acid)/maleic anhydride-grafted polypropylene blends. J. Therm. Anal. Calorim. 2016, 126, 785–794. [Google Scholar] [CrossRef]
- Yu, Y.N.; Cheng, Y.; Ren, J.W.; Cao, E.P.; Fu, X.W.; Guo, W.H. Plasticizing effect of poly(ethylene glycol)s with different molecular weights in poly(lactic acid)/starch blends. J. Appl. Polym. Sci. 2015, 132, 41808. [Google Scholar] [CrossRef]
- Hu, Y.; Zhang, J.M.; Sato, H.; Futami, Y.; Noda, I.; Ozaki, Y. C-H···O=C hydrogen bonding and isothermal crystallization kinetics of poly(3-hydroxybutyrate) investigated by near-infrared spectroscopy. Macromolecules 2006, 39, 3841–3847. [Google Scholar] [CrossRef]
- Filizgok, S.; Kodal, M.; Ozkoc, G. Nonisothermal crystallization kinetics and dynamic mechanical properties of poly(Butylene succinate) nanocomposites with different type of carbonaceous nanoparticles. Polym. Compos. 2018, 39, 2705–2721. [Google Scholar] [CrossRef]






| Mass Fraction of Thermoplastic Starch | Prehistoric | Elimination of Thermal History | ||||
|---|---|---|---|---|---|---|
| Tg/°C | Tm/°C | Tg/°C | Tm/°C | |||
| 0 | 64.1 | - | 167.3 | 60.4 | - | 165.8 |
| 10 | 50.6 | 139.2 | 153.7 | 42.9 | 143.7 | 155.6 |
| 15 | 50.2 | 139.3 | 152.7 | 46.8 | 144.9 | 155.6 |
| 20 | 51.6 | 139.5 | 152.8 | 49.4 | 145.1 | 155.7 |
| 25 | 52.6 | 140.6 | 152.5 | 51.4 | 145.3 | 155.1 |
| 30 | 52.5 | 142.0 | 152.1 | 51.7 | 146.1 | 155.5 |
| Mass Fraction of Thermoplastic Starch | Tc,onset /°C | Tc /°C | Crystallinity /% | Relative Proportion of Crystallization | ||
|---|---|---|---|---|---|---|
| /% | /% | |||||
| 0 | 104.5 | 134.1 | 13.3 | 0 | 100 | --- |
| 10 | 86.7 | 92.2 | 28.1 | 5.8 | 94.2 | 0.9667 |
| 15 | 91.5 | 97.6 | 30.0 | 11.1 | 88.9 | 0.9686 |
| 20 | 92.2 | 98.9 | 31.2 | 13.8 | 86.2 | 0.9757 |
| 25 | 92.8 | 99.8 | 38.3 | 17.7 | 82.3 | 0.9812 |
| 30 | 93.2 | 102.6 | 42.1 | 19.2 | 80.8 | 0.9808 |
| Mass Fraction of Thermoplastic Starch | ||||
|---|---|---|---|---|
| 10 | 3.57 | −1.43 | 0.72 | 0.9957 |
| 15 | 3.47 | −1.26 | 0.75 | 0.9994 |
| 20 | 3.46 | −1.15 | 0.77 | 0.9988 |
| 25 | 3.59 | −1.05 | 0.79 | 0.9968 |
| 30 | 3.55 | −0.83 | 0.83 | 0.9974 |
Disclaimer/Publisher’s Note: The statements, opinions and data contained in all publications are solely those of the individual author(s) and contributor(s) and not of MDPI and/or the editor(s). MDPI and/or the editor(s) disclaim responsibility for any injury to people or property resulting from any ideas, methods, instructions or products referred to in the content. |
© 2023 by the authors. Licensee MDPI, Basel, Switzerland. This article is an open access article distributed under the terms and conditions of the Creative Commons Attribution (CC BY) license (https://creativecommons.org/licenses/by/4.0/).
Share and Cite
Li, D.; Luo, C.; Zhou, J.; Dong, L.; Chen, Y.; Liu, G.; Qiao, S. The Role of the Interface of PLA with Thermoplastic Starch in the Nonisothermal Crystallization Behavior of PLA in PLA/Thermoplastic Starch/SiO2 Composites. Polymers 2023, 15, 1579. https://doi.org/10.3390/polym15061579
Li D, Luo C, Zhou J, Dong L, Chen Y, Liu G, Qiao S. The Role of the Interface of PLA with Thermoplastic Starch in the Nonisothermal Crystallization Behavior of PLA in PLA/Thermoplastic Starch/SiO2 Composites. Polymers. 2023; 15(6):1579. https://doi.org/10.3390/polym15061579
Chicago/Turabian StyleLi, Deling, Congcong Luo, Jun Zhou, Liming Dong, Ying Chen, Guangtian Liu, and Shuyun Qiao. 2023. "The Role of the Interface of PLA with Thermoplastic Starch in the Nonisothermal Crystallization Behavior of PLA in PLA/Thermoplastic Starch/SiO2 Composites" Polymers 15, no. 6: 1579. https://doi.org/10.3390/polym15061579
APA StyleLi, D., Luo, C., Zhou, J., Dong, L., Chen, Y., Liu, G., & Qiao, S. (2023). The Role of the Interface of PLA with Thermoplastic Starch in the Nonisothermal Crystallization Behavior of PLA in PLA/Thermoplastic Starch/SiO2 Composites. Polymers, 15(6), 1579. https://doi.org/10.3390/polym15061579
