Hybrid Epoxy Nanocomposites: Improvement in Mechanical Properties and Toughening Mechanisms—A Review
Abstract
1. Introduction
2. Hybrid Epoxy Nanocomposites
2.1. Hybrid Epoxy Nanocomposites Based on Liquid Rubbers
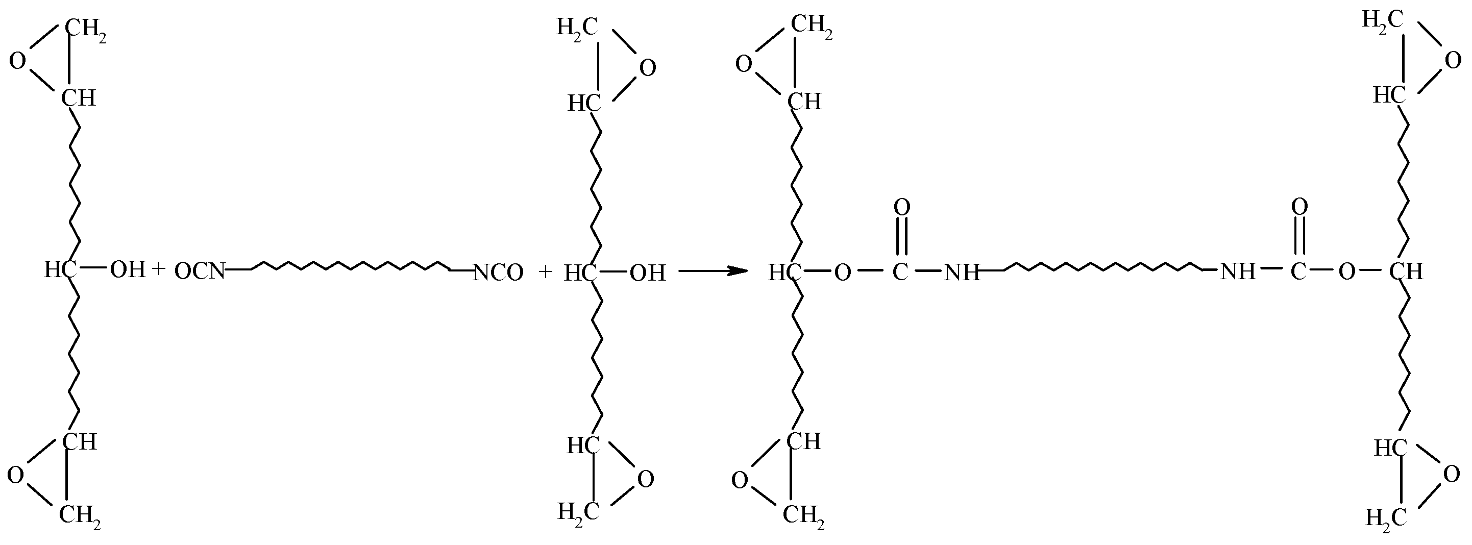
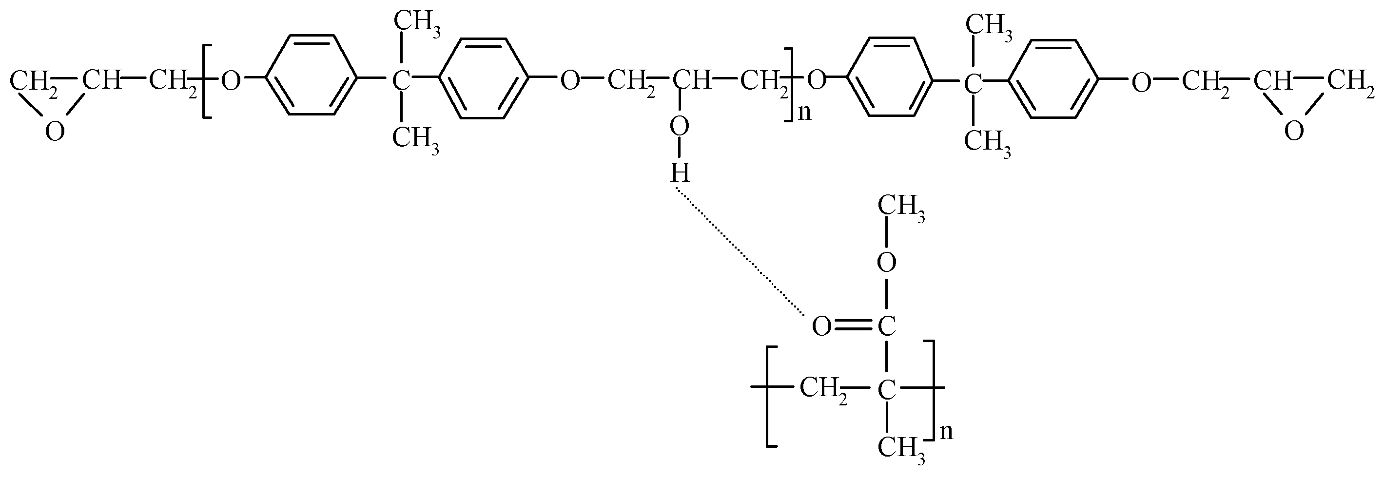
2.2. Hybrid Epoxy Nanocomposites Based on Polyurethanes
2.3. Hybrid Epoxy Nanocomposites Based on Thermoplastics
2.4. Hybrid Epoxy Nanocomposites Based on Block Copolymers
2.5. Hybrid Epoxy Nanocomposites Based on Diluents
2.6. Hybrid Epoxy Nanocomposites Based on Thermosets
3. Applications of Epoxy Hybrid Nanocomposites
4. Future Trends and Challenges
Author Contributions
Funding
Institutional Review Board Statement
Informed Consent Statement
Data Availability Statement
Conflicts of Interest
References
- May, C. (Ed.) Epoxy Resins: Chemistry and Technology, 2nd ed.; Routledge: New York, NY, USA, 2018. [Google Scholar]
- Jin, F.L.; Li, X.; Park, S.J. Synthesis and application of epoxy resins. A review. J. Ind. Eng. Chem. 2015, 29, 1–11. [Google Scholar] [CrossRef]
- Ellis, B. (Ed.) Chemistry and Technology of Epoxy Resins; Springer Science + Business Media: Dordrecht, The Netherlands, 1993. [Google Scholar]
- Kumar, S.; Krishnan, S.; Mohanty, S.; Nayak, S.K. Synthesis and characterization of petroleum and biobased epoxy resins: A review. Polym. Int. 2018, 67, 815–839. [Google Scholar] [CrossRef]
- Capricho, J.C.; Fox, B.; Hameed, N. Multifunctionality in epoxy resins. Polym. Rev. 2020, 60, 1–41. [Google Scholar] [CrossRef]
- Czub, P.; Bończa-Tomaszewski, Z.; Penczek, P.; Pielichowski, J. Chemia I Technologia Żywic Epoksydowych; Wydawnictwa Naukowo-Techniczne: Warsaw, Poland, 2002. (In Polish) [Google Scholar]
- Unnikrishnan, K.P.; Thachil, E.T. Toughening of epoxy resins. Des. Monomers Polym. 2006, 9, 129–152. [Google Scholar] [CrossRef]
- Mohan, P. A critical review: The modification, properties, and applications of epoxy resins. Polym.-Plast. Technol. 2013, 52, 107–125. [Google Scholar] [CrossRef]
- Paluvai, N.R.; Mohanty, S.; Nayak, S.K. Synthesis and modifications of epoxy resins and their composites: A review. Polym.-Plast. Technol. 2014, 53, 1723–1758. [Google Scholar] [CrossRef]
- Ratna, D. Modification of epoxy resins for improvement of adhesion: A critical review. J. Adhes. Sci. Technol. 2003, 17, 1655–1668. [Google Scholar] [CrossRef]
- Ligon-Auer, S.C.; Schwentenwein, M.; Gorsche, C.; Stampfl, J.; Liska, R. Toughening of photo-curable polymer networks: A review. Polym. Chem. 2016, 7, 257–286. [Google Scholar] [CrossRef]
- Auvergne, R.; Caillol, S.; David, G.; Boutevin, B.; Pascault, J.P. Biobased thermosetting epoxy: Present and future. Chem. Rev. 2014, 114, 1082–1115. [Google Scholar] [CrossRef]
- Mittal, V.; Saini, R.; Sinha, S. Natural fiber-mediated epoxy composites—A review. Compos. Part B—Eng. 2016, 99, 425–435. [Google Scholar] [CrossRef]
- Fiore, V.; Valenza, A. Epoxy resins as a matrix material in advanced fiber-reinforced polymer (FRP) composites. In Advanced Fibre-Reinforced Polymer (FRP) Composites for Structural Applications; Bai, J., Ed.; Woodhead Publishing: Cambridge, UK, 2013; pp. 88–121. [Google Scholar]
- Lu, T.; Jiang, M.; Jiang, Z.; Hui, D.; Wang, Z.; Zhou, Z. Effect of surface modification of bamboo cellulose fibers on mechanical properties of cellulose/epoxy composites. Compos. Part B—Eng. 2013, 51, 28–34. [Google Scholar] [CrossRef]
- Saba, N.; Jawaid, M.; Alothman, O.Y.; Paridah, M.T.; Hassan, A. Recent advances in epoxy resin, natural fiber-reinforced epoxy composites and their applications. J. Reinf. Plast. Compos. 2016, 35, 447–470. [Google Scholar] [CrossRef]
- Datta, J.; Włoch, M. Selected biotrends in development of epoxy resins and their composites. Polym. Bull. 2014, 71, 3035–3049. [Google Scholar] [CrossRef]
- Krishna, K.V.; Kanny, K. The effect of treatment on kenaf fiber using green approach and their reinforced epoxy composites. Compos. Part B—Eng. 2016, 104, 111–117. [Google Scholar] [CrossRef]
- del Borrello, M.; Mele, M.; Campana, G.; Secchi, M. Manufacturing and characterization of hemp-reinforced epoxy composites. Polym. Compos. 2020, 41, 2316–2329. [Google Scholar] [CrossRef]
- Hodgkin, J.H.; Simon, G.P.; Varley, R.J. Thermoplastic toughening of epoxy resins: A critical review. Polym. Adv. Technol. 1998, 9, 3–10. [Google Scholar] [CrossRef]
- Pearson, R.A. Toughening Epoxies Using Rigid Thermoplastic Particles: A Review. Adv. Chem. Ser. 1993, 233, 405–425. [Google Scholar]
- Bucknall, C.B.; Partridge, I.K. Phase separation in epoxy resins containing polyethersulphone. Polymer 1983, 24, 639–644. [Google Scholar] [CrossRef]
- Kinloch, A.J.; Yuen, M.L.; Jenkins, S.D. Thermoplastic-toughened epoxy polymers. J. Mater. Sci. 1994, 29, 3781–3790. [Google Scholar] [CrossRef]
- Bakar, M.; Wojtania, I.; Legocka, I.; Gospodarczyk, J. Property enhancement of epoxy resins by using a combination of polyamide and montmorillonite. Adv. Polym. Technol. 2007, 26, 223–231. [Google Scholar] [CrossRef]
- Gilbert, A.H.; Bucknall, C.B. Epoxy resin toughened with thermoplastic. Makromol. Chem. Macromol. Symp. 1991, 45, 289–298. [Google Scholar] [CrossRef]
- Hourston, D.J.; Lane, J.M.; Zhang, H.X. Toughening of epoxy resins with thermoplastics: 3. An investigation into the effects of composition on the properties of epoxy resin blends. Polym. Int. 1997, 42, 349–355. [Google Scholar] [CrossRef]
- Brooker, R.D.; Kinloch, A.J.; Taylor, A.C. The morphology and fracture properties of thermoplastic-toughened epoxy polymers. J. Adhes. 2010, 86, 726–741. [Google Scholar] [CrossRef]
- Frigione, M.E.; Mascia, L.; Acierno, D. Oligomeric and polymeric modifiers for toughening of epoxy resins. Eur. Polym. J. 1995, 31, 1021–1029. [Google Scholar] [CrossRef]
- Rong, M.; Zeng, H. Polycarbonate-epoxy semi-interpenetrating polymer network: 2. Phase separation and morphology. Polymer 1997, 38, 269–277. [Google Scholar] [CrossRef]
- Remiro, P.M.; Riccardi, C.C.; Corcuera, M.A.; Mondragon, I. Design of morphology in PMMA-modified epoxy resins by control of curing conditions. I. Phase behavior. J. Appl. Polym. Sci. 1999, 74, 772–780. [Google Scholar] [CrossRef]
- Bagheri, R.; Marouf, B.T.; Pearson, R.A. Rubber-toughened epoxies: A critical review. Polym. Rev. 2009, 49, 201–225. [Google Scholar] [CrossRef]
- Kong, J.; Ning, R.; Tang, Y. Study on modification of epoxy resins with acrylate liquid rubber containing pendant epoxy groups. J. Mater. Sci. 2006, 41, 1639–1641. [Google Scholar] [CrossRef]
- Saadati, P.; Baharvand, H.E.; Rahimi, A.; Morshedian, J. Effect of modified liquid rubber on increasing toughness of epoxy resins. Iran. Polym. J. 2005, 14, 637–646. [Google Scholar]
- Maazouz, A.; Sautereau, H.; Gerard, J.F. Toughening of epoxy networks using pre-formed core-shell particles or reactive rubbers. Polym. Bull. 1994, 33, 67–74. [Google Scholar] [CrossRef]
- Akbari, R.; Beheshty, M.H.; Shervin, M. Toughening of dicyandiamide-cured DGEBA-based epoxy resins by CTBN liquid rubber. Iran. Polym. J. 2013, 22, 313–324. [Google Scholar] [CrossRef]
- Wise, C.W.; Cook, W.D.; Goodwin, A.A. CTBN rubber phase precipitation in model epoxy resins. Polymer 2000, 41, 4625–4633. [Google Scholar] [CrossRef]
- Ratna, D.; Banthia, A.K. Rubber toughened epoxy. Macromol. Res. 2004, 12, 11–21. [Google Scholar] [CrossRef]
- Chikhi, N.; Fellahi, S.; Bakar, M. Modification of epoxy resin using reactive liquid (ATBN) rubber. Eur. Polym. J. 2002, 38, 251–264. [Google Scholar] [CrossRef]
- Ozturk, A.; Kaynak, C.; Tincer, T. Effects of liquid rubber modification on the behaviour of epoxy resin. Eur. Polym. J. 2001, 37, 2353–2363. [Google Scholar] [CrossRef]
- Grishchuk, S.; Sorochynska, L.; Vorster, O.C.; Karger-Kocsis, J. Structure, thermal, and mechanical properties of DDM-hardened epoxy/benzoxazine hybrids: Effects of epoxy resin functionality and ETBN toughening. J. Appl. Polym. Sci. 2013, 127, 5082–5093. [Google Scholar] [CrossRef]
- Mostovoy, A.S.; Nurtazina, A.S.; Kadykova, Y.A.; Bekeshev, A.Z. Highly efficient plasticizers-antipirenes for epoxy polymers. Inorg. Mater. Appl. Res. 2019, 10, 1135–1139. [Google Scholar] [CrossRef]
- Rodrıguez, M.T.; Gracenea, J.J.; Garcıa, S.J.; Saura, J.J.; Suay, J.J. Testing the influence of the plasticizers addition on the anticorrosive properties of an epoxy primer by means of electrochemical techniques. Prog. Org. Coat. 2004, 50, 123–131. [Google Scholar] [CrossRef]
- Rodríguez, M.T.; Garcia, S.J.; Cabello, R.; Suay, J.J.; Gracenea, J.J. Effect of plasticizer on the thermal, mechanical, and anticorrosion properties of an epoxy primer. J. Coat. Technol. Res. 2005, 2, 557–564. [Google Scholar] [CrossRef]
- Núñez-Regueira, L.; Villanueva, M.; Fraga-Rivas, I. Effect of a reactive diluent on the curing and dynamomechanical properties of an epoxy-diamine system. J. Therm. Anal. Calorim. 2006, 86, 463–468. [Google Scholar] [CrossRef]
- Sarwono, A.; Man, Z.; Bustam, M.A. Blending of epoxidised palm oil with epoxy resin: The effect on morphology, thermal and mechanical properties. J. Polym. Environ. 2012, 20, 540–549. [Google Scholar] [CrossRef]
- Fellahi, S.; Chikhi, N.; Bakar, M. Modification of epoxy resin with kaolin as a toughening agent. J. Appl. Polym. Sci. 2001, 82, 861–878. [Google Scholar] [CrossRef]
- Park, S.J.; Jin, F.L.; Lee, C. Preparation and physical properties of hollow glass microspheres-reinforced epoxy matrix resins. Mater. Sci. Eng. A 2005, 402, 335–340. [Google Scholar] [CrossRef]
- Ahmad, Z.; Ansell, M.P.; Smedley, D. Epoxy adhesives modified with nano-and micro-particles for in-situ timber bonding: Effect of microstructure on bond integrity. Int. J. Mech. Mater. Eng. 2010, 5, 59–67. [Google Scholar]
- Bello, S.A.; Agunsoye, J.O.; Adebisi, J.A.; Hassan, S.B. Effect of aluminium particles on mechanical and morphological properties of epoxy nanocomposites. Acta Period. Technol. 2017, 48, 25–38. [Google Scholar] [CrossRef]
- Lange, F.F.; Radford, K.C. Fracture energy of an epoxy composite system. J. Mater. Sci. 1971, 6, 1197–1203. [Google Scholar] [CrossRef]
- Spanoudakis, J.; Young, R.J. Crack propagation in a glass particle-filled epoxy resin. J. Mater. Sci. 1984, 19, 473–486. [Google Scholar] [CrossRef]
- Nakamura, Y.; Yamaguchi, M.; Okubo, M.; Matsumoto, T. Effect of particle size on the fracture toughness of epoxy resin filled with spherical silica. Polymer 1992, 33, 3415–3426. [Google Scholar] [CrossRef]
- Kochetov, R.; Andritsch, T.; Morshuis, P.H.; Smit, J.J. Thermal and electrical behaviour of epoxy-based microcomposites filled with Al2O3 and SiO2 particles. In Proceedings of the 2010 IEEE International Symposium on Electrical Insulation, San Diego, CA, USA, 6–9 June 2010; IEEE: Piscataway, NJ, USA, 2010; pp. 1–5. [Google Scholar]
- Liu, H.Y.; Wang, G.T.; Mai, Y.W.; Zeng, Y. On fracture toughness of nano-particle modified epoxy. Compos. Part B—Eng. 2011, 42, 2170–2175. [Google Scholar] [CrossRef]
- Al-Turaif, H.A. Effect of nano TiO2 particle size on mechanical properties of cured epoxy resin. Prog. Org. Coat. 2010, 69, 241–246. [Google Scholar] [CrossRef]
- Wetzel, B.; Rosso, P.; Haupert, F.; Friedrich, K. Epoxy nanocomposites–fracture and toughening mechanisms. Eng. Fract. Mech. 2006, 73, 2375–2398. [Google Scholar] [CrossRef]
- Messersmith, P.B.; Giannelis, E.P. Synthesis and characterization of layered silicate-epoxy nanocomposites. Chem. Mater. 1994, 6, 1719–1725. [Google Scholar] [CrossRef]
- LeBaron, P.C.; Wang, Z.; Pinnavaia, T.J. Polymer-Layered Silicate Nanocomposites: An Overview. Appl. Clay Sci. 1999, 15, 11–29. [Google Scholar] [CrossRef]
- Azeez, A.A.; Rhee, K.Y.; Park, S.J.; Hui, D. Epoxy clay nanocomposites–processing, properties and applications: A review. Compos. Part B—Eng. 2013, 45, 308–320. [Google Scholar] [CrossRef]
- Nigam, V.; Setua, D.K.; Mathur, G.N.; Kar, K.K. Epoxy-montmorillonite clay nanocomposites: Synthesis and characterization. J. Appl. Polym. Sci. 2004, 93, 2201–2210. [Google Scholar] [CrossRef]
- Zabihi, O.; Ahmadi, M.; Nikafshar, S.; Preyeswary, K.C.; Naebe, M. A technical review on epoxy-clay nanocomposites: Structure, properties, and their applications in fiber reinforced composites. Compos. Part B—Eng. 2018, 135, 1–24. [Google Scholar] [CrossRef]
- Rana, S.; Alagirusamy, R.; Joshi, M. A review on carbon epoxy nanocomposites. J. Reinf. Plast. Compos. 2009, 28, 461–487. [Google Scholar] [CrossRef]
- Wei, J.; Vo, T.; Inam, F. Epoxy/graphene nanocomposites–processing and properties: A review. RSC Adv. 2015, 5, 73510–73524. [Google Scholar] [CrossRef]
- Sarathi, R.; Sahu, R.K.; Rajeshkumar, P. Understanding the thermal, mechanical and electrical properties of epoxy nanocomposites. Mater. Sci. Eng. A 2007, 445, 567–578. [Google Scholar] [CrossRef]
- Neves, R.M.; Ornaghi, H.L., Jr.; Zattera, A.J.; Amico, S.C. Toughening epoxy resin with liquid rubber and its hybrid composites: A systematic review. J. Polym. Res. 2022, 29, 340. [Google Scholar] [CrossRef]
- Sasidharan, S.; Anand, A. Epoxy-based hybrid structural composites with nanofillers: A Review. Ind. Eng. Chem. Res. 2020, 59, 12617–12631. [Google Scholar] [CrossRef]
- Mi, X.; Liang, N.; Xu, H.; Wu, J.; Jiang, Y.; Nie, B.; Zhang, D. Toughness and mechanism of epoxy resins. Prog. Mater. Sci. 2022, 130, 100977. [Google Scholar] [CrossRef]
- Shukla, M.K.; Sharma, K. Effect of carbon nanofillers on the mechanical and interfacial properties of epoxy based nanocomposites: A review. Polym. Sci. Ser. A Polym. Phys. 2019, 61, 439–460. [Google Scholar] [CrossRef]
- Marouf, B.T.; Mai, Y.W.; Bagheri, R.; Pearson, R.A. Toughening of epoxy nanocomposites: Nano and hybrid effects. Polym. Rev. 2016, 56, 70–112. [Google Scholar] [CrossRef]
- Nanda, T.; Singh, K.; Shelly, D.; Mehta, R. Advancements in multi-scale filler reinforced epoxy nanocomposites for improved impact strength: A review. Crit. Rev. Solid State Mater. Sci. 2021, 46, 281–329. [Google Scholar] [CrossRef]
- Khan, I.; Saeed, K.; Khan, I. Nanoparticles: Properties, applications and toxicities. Arab. J. Chem. 2019, 12, 908–931. [Google Scholar] [CrossRef]
- Strambeanu, N.; Demetrovici, L.; Dragos, D.; Lungu, M. Nanoparticles: Definition, classification and general physical properties. In Nanoparticles’ Promises and Risks; Lungu, M., Neculae, A., Bunoiu, M., Biris, C., Eds.; Springer International Publishing: Wiesbaden, Germany, 2015; pp. 3–8. [Google Scholar]
- Mathew, V.S.; George, S.C.; Parameswaranpillai, J.; Thomas, S. Epoxidized natural rubber/epoxy blends: Phase morphology and thermomechanical properties. J. Appl. Polym. Sci. 2014, 131. [Google Scholar] [CrossRef]
- Kou, Y.; Zhou, W.; Li, B.; Dong, L.; Duan, Y.E.; Hou, Q.; Liu, X.; Cai, H.; Chen, Q.; Dang, Z.M. Enhanced mechanical and dielectric properties of an epoxy resin modified with hydroxyl-terminated polybutadiene. Compos. Part A Appl. Sci. Manuf. 2018, 114, 97–106. [Google Scholar] [CrossRef]
- Kar, S.; Banthia, A.K. Synthesis and evaluation of liquid amine-terminated polybutadiene rubber and its role in epoxy toughening. J. Appl. Polym. Sci. 2005, 96, 2446–2453. [Google Scholar] [CrossRef]
- Barcia, F.L.; Amaral, T.P.; Soares, B.G. Synthesis and properties of epoxy resin modified with epoxy-terminated liquid polybutadiene. Polymer 2003, 44, 5811–5819. [Google Scholar] [CrossRef]
- Dong, L.; Zhou, W.; Sui, X.; Wang, Z.; Wu, P.; Zuo, J.; Cai, H.; Liu, X. Thermal, mechanical, and dielectric properties of epoxy resin modified using carboxyl-terminated polybutadiene liquid rubber. J. Elastom. Plast. 2017, 49, 281–297. [Google Scholar] [CrossRef]
- Butta, E.; Levita, G.; Marchetti, A.; Lazzeri, A. Morphology and mechanical properties of amine-terminated butadiene-acrylonitrile/epoxy blends. Polym. Eng. Sci. 1986, 26, 63–73. [Google Scholar] [CrossRef]
- Yi, H.; Wei, T.; Lin, H.; Zhou, J. Preparation and properties of hybrid epoxy/hydro-terminated polybutadiene/modified MMT nanocomposites. J. Coat. Technol. Res. 2018, 15, 1413–1422. [Google Scholar] [CrossRef]
- Puglia, D.; Al-Maadeed, M.A.S.; Kenny, J.M.; Thomas, S. Elastomer/thermoplastic modified epoxy nanocomposites: The hybrid effect of ‘micro’and ‘nano’scale. Mater. Sci. Eng. R Rep. 2017, 116, 1–29. [Google Scholar]
- Balakrishnan, S.; Start, P.R.; Raghavan, D.; Hudson, S.D. The influence of clay and elastomer concentration on the morphology and fracture energy of preformed acrylic rubber dispersed clay filled epoxy nanocomposites. Polymer 2005, 46, 11255–11262. [Google Scholar] [CrossRef]
- Wang, L.; Shui, X.; Zheng, X.; You, J.; Li, Y. Investigations on the morphologies and properties of epoxy/acrylic rubber/nanoclay nanocomposites for adhesive films. Compos. Sci. Technol. 2014, 93, 46–53. [Google Scholar] [CrossRef]
- Fröhlich, J.; Thomann, R.; Mülhaupt, R. Toughened epoxy hybrid nanocomposites containing both an organophilic layered silicate filler and a compatibilized liquid rubber. Macromolecules 2003, 36, 7205–7211. [Google Scholar]
- Ahmed, M.A.; Kandil, U.F.; Shaker, N.O.; Hashem, A.I. The overall effect of reactive rubber nanoparticles and nano clay on the mechanical properties of epoxy resin. J. Radiat. Res. Appl. Sci. 2015, 8, 549–561. [Google Scholar] [CrossRef]
- Shayegan, M.; Bagheri, R. The simultaneous effect of silica nanoparticles and rubber particles on the toughness of epoxy polymer. Int. J. Nanomanuf. 2010, 5, 232–244. [Google Scholar] [CrossRef]
- Saberian, M.; Ghasemi, F.A.; Ghasemi, I.; Daneshpayeh, S. Investigation on tensile properties of epoxy/graphene nano-platelets/carboxylated nitrile butadiene rubber ternary nanocomposites using response surface methodology. Nanomater. Nanotechnol. 2019, 9, 1847980419855842. [Google Scholar] [CrossRef]
- King, J.A.; Klimek, D.R.; Miskioglu, I.; Odegard, G.M. Mechanical properties of graphene nanoplatelet/epoxy composites. J. Appl. Polym. Sci. 2013, 128, 4217–4223. [Google Scholar] [CrossRef]
- Wang, F.; Drzal, L.T.; Qin, Y.; Huang, Z. Enhancement of fracture toughness, mechanical and thermal properties of rubber/epoxy composites by incorporation of graphene nanoplatelets. Compos. Part A Appl. Sci. Manuf. 2016, 87, 10–22. [Google Scholar] [CrossRef]
- Lee, H.B.; Kim, H.G.; Yoon, K.B.; Lee, D.H.; Min, K.E. Preparation and properties of a carboxyl-terminated butadiene acrylonitrile toughened epoxy/montmorillonite nanocomposite. J. Appl. Polym. Sci. 2009, 113, 685–692. [Google Scholar] [CrossRef]
- Liu, W.; Hoa, S.V.; Pugh, M. Morphology and performance of epoxy nanocomposites modified with organoclay and rubber. Polym. Eng. Sci. 2004, 44, 1178–1186. [Google Scholar] [CrossRef]
- Chonkaew, W.; Sombatsompop, N.; Brostow, W. High impact strength and low wear of epoxy modified by a combination of liquid carboxyl terminated poly (butadiene-co-acrylonitrile) rubber and organoclay. Eur. Polym. J. 2013, 49, 1461–1470. [Google Scholar] [CrossRef]
- Vijayan, P.P.; Puglia, D.; Pionteck, J.; Kenny, J.M.; Thomas, S. Liquid-rubber-modified epoxy/clay nanocomposites: Effect of dispersion methods on morphology and ultimate properties. Polym. Bull. 2015, 72, 1703–1722. [Google Scholar] [CrossRef]
- Xu, S.A.; Wang, G.T.; Mai, Y.W. Effect of hybridization of liquid rubber and nanosilica particles on the morphology, mechanical properties, and fracture toughness of epoxy composites. J. Mater. Sci. 2013, 48, 3546–3556. [Google Scholar] [CrossRef]
- Poonpipat, Y.; Leelachai, K.; Pearson, R.A.; Dittanet, P. Fracture behavior of silica nanoparticles reinforced rubber/epoxy composite. J. Reinf. Plast. Compos. 2017, 36, 1156–1167. [Google Scholar] [CrossRef]
- Liang, Y.L.; Pearson, R.A. The toughening mechanism in hybrid epoxy-silica-rubber nanocomposites (HESRNs). Polymer 2010, 51, 4880–4890. [Google Scholar] [CrossRef]
- Wetzel, B.; Haupert, F.; Zhang, M.Q. Epoxy nanocomposites with high mechanical and tribological performance. Compos. Sci. Technol. 2003, 63, 2055–2067. [Google Scholar] [CrossRef]
- Hosseini, M.; Esfandeh, M.; Razavi-Nouri, M.; Rezadoust, A.M. Effect of Hybridization of Carboxyl-Terminated Acrylonitrile Butadiene Liquid Rubber and Alumina Nanoparticles on the Fracture Toughness of Epoxy Nanocomposites. Polym. Compos. 2019, 40, 2700–2711. [Google Scholar] [CrossRef]
- Kausar, A. Rubber toughened epoxy-based nanocomposite: A promising pathway toward advanced materials. J. Macromol. Sci. Part A Pure Appl. Chem. 2020, 57, 499–511. [Google Scholar] [CrossRef]
- Zewde, B.; Pitliya, P.; Karim, A.; Raghavan, D. Synergistic effect of functionalized carbon nanotubes and micron sized rubber particles on the mechanical properties of epoxy resin. Macromol. Mater. Eng. 2016, 301, 542–548. [Google Scholar] [CrossRef]
- Hsieh, T.H.; Kinloch, A.J.; Masania, K.; Lee, J.S.; Taylor, A.C.; Sprenger, S. The toughness of epoxy polymers and fibre composites modified with rubber microparticles and silica nanoparticles. J. Mater. Sci. 2010, 45, 1193–1210. [Google Scholar] [CrossRef]
- Kelnar, I.; Rotrekl, J.; Kaprálková, L.; Hromádková, J.; Strachota, A. Effect of amine-terminated butadiene-acrylonitrile/clay combinations on the structure and properties of epoxy nanocomposites. J. Appl. Polym. Sci. 2012, 125, 3477–3483. [Google Scholar] [CrossRef]
- Bakar, M.; Szymańska, J. Property enhancement of epoxy resin using a combination of amine-terminated butadiene-acrylonitrile copolymer and nanoclay. J. Thermoplast. Compos. Mater. 2014, 27, 1239–1255. [Google Scholar] [CrossRef]
- Szymańska, J.; Bakar, M.; Białkowska, A.; Kostrzewa, M. Study on the adhesive properties of reactive liquid rubber toughened epoxy-clay hybrid nanocomposites. J. Polym. Eng. 2018, 38, 231–238. [Google Scholar] [CrossRef]
- Kong, Y.; Huang, Q.; Mao, D.; Chen, Y.; Zou, H.; Liang, M. Preparation and properties of epoxy-terminated butadiene acrylonitrile rubber-intercalating organic montmorillonite nanocomposites. Polym. Bull. 2019, 76, 3989–4002. [Google Scholar] [CrossRef]
- Mao, D.; Zou, H.; Liang, M.; Zhou, S.; Chen, Y. Mechanical and damping properties of epoxy/liquid rubber intercalating organic montmorillonite integration nanocomposites. J. Appl. Polym. Sci. 2014, 131, 39797. [Google Scholar] [CrossRef]
- Wu, Y.; Gu, Z.; Chen, M.; Zhu, C.; Liao, H. Effect of functionalization of multi-walled carbon nanotube on mechanical and viscoelastic properties of polysulfide-modified epoxy nanocomposites. High Perform. Polym. 2017, 29, 151–160. [Google Scholar] [CrossRef]
- Nasab, M.G.; Kalaee, M. Epoxy/graphene oxide/liquid polysulfide ternary nano-composites: Rheological, thermal and mechanical, characterization. RSC Adv. 2016, 6, 45357–45368. [Google Scholar] [CrossRef]
- Tang, L.C.; Zhang, H.; Sprenger, S.; Ye, L.; Zhang, Z. Fracture mechanisms of epoxy-based ternary composites filled with rigid-soft particles. Compos. Sci. Technol. 2012, 72, 558–565. [Google Scholar] [CrossRef]
- Leelachai, K.; Kongkachuichay, P.; Dittanet, P. Toughening of epoxy hybrid nanocomposites modified with silica nanoparticles and epoxidized natural rubber. J. Polym. Res. 2017, 24, 41. [Google Scholar] [CrossRef]
- Kam, K.W.; Teh, P.L.; Osman, H.; Yeoh, C.K. Characterization of different forms of vulcanized natural rubbers as elastomer spacer and toughening agent in two-matrix filled epoxy/natural rubber/graphene nano-platelets system. J. Appl. Polym. Sci. 2019, 136, 47198. [Google Scholar] [CrossRef]
- Wei, K.K.; Leng, T.P.; Keat, Y.C.; Osman, H.; Rasidi, M.S.M. The potential of natural rubber (NR) in controlling morphology in two-matrix epoxy/NR/graphene nano-platelets (GNP) systems. Polym. Test. 2019, 77, 105905. [Google Scholar] [CrossRef]
- Gong, L.X.; Zhao, L.; Tang, L.C.; Liu, H.Y.; Mai, Y.W. Balanced electrical, thermal and mechanical properties of epoxy composites filled with chemically reduced graphene oxide and rubber nanoparticles. Compos. Sci. Technol. 2015, 121, 104–114. [Google Scholar] [CrossRef]
- Tsang, W.L.; Taylor, A.C. Fracture and toughening mechanisms of silica-and core-shell rubber-toughened epoxy at ambient and low temperature. J. Mater. Sci. 2019, 54, 13938–13958. [Google Scholar] [CrossRef]
- Liu, S.; Fan, X.; He, C. Improving the fracture toughness of epoxy with nanosilica-rubber core-shell nanoparticles. Compos. Sci. Technol. 2016, 125, 132–140. [Google Scholar] [CrossRef]
- Bajpai, A.; Carlotti, S. The effect of hybridized carbon nanotubes, silica nanoparticles, and core-shell rubber on tensile, fracture mechanics and electrical properties of epoxy nanocomposites. Nanomaterials 2019, 9, 1057. [Google Scholar] [CrossRef]
- Gharieh, A.; Seyed Dorraji, M.S. A systematic study on the synergistic effects of MWCNTs and core-shell particles on the physicomechanical properties of epoxy resin. Sci. Rep. 2021, 11, 20789. [Google Scholar] [CrossRef]
- Gam, K.T.; Miyamoto, M.; Nishimura, R.; Sue, H.J. Fracture behavior of core-shell rubber-modified clay-epoxy nanocomposites. Polym. Eng. Sci. 2003, 43, 1635–1645. [Google Scholar] [CrossRef]
- Zhu, Z.; Chen, H.; Chen, Q.; Liu, C.; Noh, K.; Yao, H.; Kotaki, M.; Sue, H.-J. Fracture behavior of hybrid epoxy nanocomposites based on multi-walled carbon nanotube and core-shell rubber. Nano Mater. Sci. 2022, 4, 251–258. [Google Scholar] [CrossRef]
- Mehrabi-Kooshki, M.; Jalali-Arani, A. Preparation of binary and hybrid epoxy nanocomposites containing graphene oxide and rubber nanoparticles: Fracture toughness and mechanical properties. J. Appl. Polym. Sci. 2019, 136, 46988. [Google Scholar] [CrossRef]
- Quan, D.; Pearson, R.A.; Ivankovic, A. Interaction of toughening mechanisms in ternary nanocomposites. Polym. Compos. 2018, 39, 3482–3496. [Google Scholar] [CrossRef]
- Jia, Q.M.; Zheng, M.S.; Chen, H.X.; Shen, R.J. Morphologies and properties of polyurethane/epoxy resin interpenetrating network nanocomposites modified with organoclay. Mater. Lett. 2006, 60, 1306–1309. [Google Scholar] [CrossRef]
- Jia, Q.M.; Zheng, M.; Zhu, Y.C.; Li, J.B.; Xu, C.Z. Effects of organophilic montmorillonite on hydrogen bonding, free volume and glass transition temperature of epoxy resin/polyurethane interpenetrating polymer networks. Eur. Polym. J. 2007, 43, 35–42. [Google Scholar] [CrossRef]
- Jia, Q.; Shan, S.; Wang, Y.; Gu, L.; Li, J. Tribological performance and thermal behavior of epoxy resin nanocomposites containing polyurethane and organoclay. Polym. Adv. Technol. 2008, 19, 859–864. [Google Scholar] [CrossRef]
- Bakar, M.; Kostrzewa, M.; Hausnerová, B.; Sar, K. Preparation and property evaluation of nanocomposites based on polyurethane-modified epoxy/montmorillonite systems. Adv. Polym. Technol. 2010, 29, 237–248. [Google Scholar] [CrossRef]
- Kostrzewa, M.; Hausnerova, B.; Bakar, M.; Pająk, K. Preparation and characterization of an epoxy resin modified by a combination of MDI-based polyurethane and montmorillonite. J. Appl. Polym. Sci. 2011, 122, 3237–3247. [Google Scholar] [CrossRef]
- Li, J. High performance epoxy resin nanocomposites containing both organic montmorillonite and castor oil-polyurethane. Polym. Bull. 2006, 56, 377–384. [Google Scholar] [CrossRef]
- Chen, S.; Wang, Q.; Wang, T. Damping, thermal, and mechanical properties of carbon nanotubes modified castor oil-based polyurethane/epoxy interpenetrating polymer network composites. Mater. Des. 2012, 38, 47–52. [Google Scholar] [CrossRef]
- Xu, K.; Chen, R.; Wang, C.; Sun, Y.; Zhang, J.; Liu, Y.; Xie, H.; Cheng, R. Organomontmorillonite-modified soybean oil-based polyurethane/epoxy resin interpenetrating polymer networks (IPNs). J. Therm. Anal. Calorim. 2016, 126, 1253–1260. [Google Scholar] [CrossRef]
- Dutta, S.; Karak, N.; Saikia, J.P.; Konwar, B.K. Biocompatible epoxy modified bio-based polyurethane nanocomposites: Mechanical property, cytotoxicity and biodegradation. Bioresour. Technol. 2009, 100, 6391–6397. [Google Scholar] [CrossRef]
- Białkowska, A.; Bakar, M.; Przybyłek, M. Effect of nonisocyanate polyurethane and nanoclay on the mechanical properties of an epoxy resin. Mech. Compos. Mater. Struct. 2018, 54, 665–674. [Google Scholar] [CrossRef]
- Doley, S.; Sarmah, A.; Sarkar, C.; Dolui, S.K. In situ development of bio-based polyurethane-blend-epoxy hybrid materials and their nanocomposites with modified graphene oxide via non-isocyanate route. Polym. Int. 2018, 67, 1062–1069. [Google Scholar] [CrossRef]
- Cheng, H.T.; Lee, Y.S.; Liu, H.C.; Lee, W.J. The effect of component addition order on the properties of epoxy resin/polyurethane resin interpenetrating polymer network structure. J. Appl. Polym. Sci. 2021, 138, 49833. [Google Scholar] [CrossRef]
- Isik-Gulsac, I.; Yilmazer, U.; Bayram, G. Effects of mixing sequence on epoxy/polyether polyol/organoclay ternary nanocomposites. Plast. Rubber Compos. 2020, 49, 368–377. [Google Scholar] [CrossRef]
- Bakar, M.; Lavorgna, M.; Szymańska, J.; Dętkowska, A. Epoxy/polyurethane/clay ternary nanocomposites–Effect of components mixing sequence on the composites properties. Polym.-Plast. Technol. 2012, 51, 675–681. [Google Scholar] [CrossRef]
- Park, J.H.; Jana, S.C. The relationship between nano-and micro-structures and mechanical properties in PMMA-epoxy-nanoclay composites. Polymer 2003, 44, 2091–2100. [Google Scholar] [CrossRef]
- Hernandez, M.; Duchet-Rumeau, J.; Sautereau, H. Influence of processing conditions and physicochemical interactions on morphology and fracture behavior of a clay/thermoplastic/thermosetting ternary blend. J. Appl. Polym. Sci. 2010, 118, 3632–3642. [Google Scholar] [CrossRef]
- Bakar, M.; Białkowska, A.; Kuřitka, I.; Hanuliková, B.; Masař, M. Synergistic effects of thermoplastic and nanoclay on the performance properties and morphology of epoxy resin. Polym. Compos. 2018, 39, E2540–E2551. [Google Scholar] [CrossRef]
- Bakar, M.; Białkowska, A.; Molenda, J.; Piasek, J. Preparation and properties evaluation of thermoplastic modified epoxy nanocomposites. J. Macromol. Sci. Part B Phys. 2012, 51, 1159–1171. [Google Scholar] [CrossRef]
- Rudresh, M.; Maruthi, B.H.; Channakeshavalu, K.; Nagaswarupa, H.P. Mechanical and thermal behavior of epoxy based halloysite nano clay/PMMA hybrid nanocomposites. SN Appl. Sci. 2019, 1, 687. [Google Scholar] [CrossRef]
- Kaushal, P.; Singh, P.; Verma, V.; Pandey, K.N.; Kumar, V. Mechanical and thermal properties of epoxy/PVC/organo-modified clay nanocomposite. Appl. Polym. Compos. 2013, 1, 93–102. [Google Scholar]
- Wang, T.T.; Huang, P.; Li, Y.Q.; Hu, N.; Fu, S.Y. Epoxy nanocomposites significantly toughened by both poly (sulfone) and graphene oxide. Compos. Commun. 2019, 14, 55–60. [Google Scholar] [CrossRef]
- Rajasekaran, R.; Karikalchozhan, C.; Alagar, M. Synthesis, characterization and properties of organoclay-modified polysulfone/epoxy interpenetrating polymer network nanocomposites. Chin. J. Polym. Sci. 2008, 26, 669–678. [Google Scholar] [CrossRef]
- Wang, Y.; Ma, X.; Zhang, B. Preparation and properties of organoclay/polyethersulphone/epoxy hybrid nanocomposites. Polym. Compos. 2015, 36, 767–774. [Google Scholar] [CrossRef]
- Wang, Y.; Zhang, B.; Ye, J. Microstructures and toughening mechanisms of organoclay/polyethersulphone/epoxy hybrid nanocomposites. Mater. Sci. Eng. A 2011, 528, 7999–8005. [Google Scholar] [CrossRef]
- Tangthana-umrung, K.; Zhang, X.; Gresil, M. Synergistic toughening on hybrid epoxy nanocomposites by introducing engineering thermoplastic and carbon-based nanomaterials. Polymer 2022, 245, 124703. [Google Scholar] [CrossRef]
- Chen, Z.; Luo, J.; Huang, Z.; Cai, C.; Tusiime, R.; Li, Z.; Wang, H.; Cheng, C.; Liu, Y.; Sun, Z.; et al. Synergistic toughen epoxy resin by incorporation of polyetherimide and amino groups grafted MWCNTs. Compos. Commun. 2020, 21, 100377. [Google Scholar] [CrossRef]
- Ma, H.; Aravand, M.A.; Falzon, B.G. Synergistic enhancement of fracture toughness in multiphase epoxy matrices modified by thermoplastic and carbon nanotubes. Compos. Sci. Technol. 2021, 201, 108523. [Google Scholar] [CrossRef]
- Asif, A.; Rao, V.L.; Saseendran, V.; Ninan, K.N. Thermoplastic toughened layered silicate epoxy ternary nanocomposites—Preparation, morphology, and thermomechanical properties. Polym. Eng. Sci. 2009, 49, 756–767. [Google Scholar] [CrossRef]
- Mirmohseni, A.; Zavareh, S. Epoxy/acrylonitrile-butadiene-styrene copolymer/clay ternary nanocomposite as impact toughened epoxy. J. Polym. Res. 2010, 17, 191–201. [Google Scholar] [CrossRef]
- Jyotishkumar, P.; Abraham, E.; George, S.M.; Elias, E.; Pionteck, J.; Moldenaers, P.; Thomas, S. Preparation and properties of MWCNTs/poly (acrylonitrile-styrene-butadiene)/epoxy hybrid composites. J. Appl. Polym. Sci. 2013, 127, 3093–3103. [Google Scholar] [CrossRef]
- Gholinezhad, F.; Golhosseini, R.; Moini Jazani, O. Synthesis, characterization, and properties of silicone grafted epoxy/acrylonitrile butadiene styrene/graphene oxide nanocomposite with high adhesion strength and thermal stability. Polym. Compos. 2022, 43, 1665–1684. [Google Scholar] [CrossRef]
- Bakar, M.; Kostrzewa, M.; Okulska-Bożek, M.; Jacewicz, E. Mechanical and morphological properties of polycarbonate and montmorillonite filled epoxy hybrid composites. J. Appl. Polym. Sci. 2011, 119, 752–759. [Google Scholar] [CrossRef]
- Gul, S.; Kausar, A.; Mehmood, M.; Muhammad, B.; Jabeen, S. Progress on epoxy/polyamide and inorganic nanofiller-based hybrids: Introduction, application, and future potential. Polym.-Plast. Technol. 2016, 55, 1842–1862. [Google Scholar] [CrossRef]
- White, K.L.; Sue, H.J. Electrical conductivity and fracture behavior of epoxy/polyamide-12/multiwalled carbon nanotube composites. Polym. Eng. Sci. 2011, 51, 2245–2253. [Google Scholar] [CrossRef]
- Zhao, X.; Li, Y.; Chen, W.; Li, S.; Zhao, Y.; Du, S. Improved fracture toughness of epoxy resin reinforced with polyamide 6/graphene oxide nanocomposites prepared via in situ polymerization. Compos. Sci. Technol. 2019, 171, 180–189. [Google Scholar] [CrossRef]
- Surendran, A.; Geethamma, V.G.; Kalarikkal, N.; Thomas, S. Mechanical and Thermal Properties of Epoxy/Poly (Styrene-co-Acrylonitrile)(SAN)/Organoclay Nanocomposites. Macromol. Symp. 2021, 398, 2000184. [Google Scholar] [CrossRef]
- Rostamiyan, Y.; Fereidoon, A.B.; Mashhadzadeh, A.H.; Khalili, M.A. Augmenting epoxy toughness by combination of both thermoplastic and nanolayered materials and using artificial intelligence techniques for modeling and optimization. J. Polym. Res. 2013, 20, 135. [Google Scholar] [CrossRef]
- Fereidoon, A.; Mashhadzadeh, A.H.; Rostamiyan, Y. Experimental, modeling and optimization study on the mechanical properties of epoxy/high-impact polystyrene/multi-walled carbon nanotube ternary nanocomposite using artificial neural network and genetic algorithm. Sci. Eng. Compos. Mater. 2013, 20, 265–276. [Google Scholar] [CrossRef]
- Cao, Y.M.; Sun, J.; Yu, D.H. Preparation and properties of nano-Al2O3 particles/polyester/epoxy resin ternary composites. J. Appl. Polym. Sci. 2002, 83, 70–77. [Google Scholar] [CrossRef]
- Sánchez-Cabezudo, M.; Prolongo, M.G.; Salom, C.; García del Cid, M.A.; Masegosa, R.M. Ternary nanocomposites: Curing, morphology, and mechanical properties of epoxy/thermoplastic/organoclay systems. Polym. Compos. 2016, 37, 2184–2195. [Google Scholar] [CrossRef]
- Hydro, R.M.; Pearson, R.A. Epoxies toughened with triblock copolymers. J. Polym. Sci. Part B Polym. Phys. 2007, 45, 1470–1481. [Google Scholar] [CrossRef]
- Tao, L.; Sun, Z.; Min, W.; Ou, H.; Qi, L.; Yu, M. Improving the toughness of thermosetting epoxy resins via blending triblock copolymers. RSC Adv. 2020, 10, 1603–1612. [Google Scholar] [CrossRef]
- Liu, J.; Thompson, Z.J.; Sue, H.-J.; Bates, F.S.; Hillmyer, M.A.; Dettloff, M.; Jacob, G.; Verghese, N.; Pham, H. Toughening of epoxies with block copolymer micelles of wormlike morphology. Macromolecules 2010, 43, 7238–7243. [Google Scholar] [CrossRef]
- Pang, V.; Thompson, Z.J.; Joly, G.D.; Francis, L.F.; Bates, F.S. Block Copolymer and Nanosilica-Modified Epoxy Nanocomposites. ACS Appl. Polym. Mater. 2021, 3, 4156–4167. [Google Scholar] [CrossRef]
- Jojibabu, P.; Zhang, Y.X.; Rider, A.N.; Wang, J.; Prusty, B.G. Synergetic effects of carbon nanotubes and triblock copolymer on the lap shear strength of epoxy adhesive joints. Compos. Part B—Eng. 2019, 178, 107457. [Google Scholar] [CrossRef]
- Gómez-del Río, T.; Salazar, A.; Pearson, R.A.; Rodríguez, J. Fracture behaviour of epoxy nanocomposites modified with triblock copolymers and carbon nanotubes. Compos. Part B—Eng. 2016, 87, 343–349. [Google Scholar] [CrossRef]
- Schuster, M.B.; Coelho, L.A. Toughness and roughness in hybrid nanocomposites of an epoxy matrix. Polym. Eng. Sci. 2019, 59, 1258–1269. [Google Scholar] [CrossRef]
- Bajpai, A.; Alapati, A.K.; Wetzel, B. Toughening and mechanical properties of epoxy modified with block co-polymers and MWCNTs. Procedia Struct. Integr. 2016, 2, 104–111. [Google Scholar] [CrossRef]
- Zhang, W.; Cui, H.; Lv, Y.; Yang, Q.; Huang, Y.; Li, G.; Kong, M. Synergistically enhanced performance of epoxy resin by block copolymer and multi-walled carbon nanotubes. J. Appl. Polym. Sci. 2022, 139, e52457. [Google Scholar] [CrossRef]
- Li, T.; He, S.; Stein, A.; Francis, L.F.; Bates, F.S. Synergistic toughening of epoxy modified by graphene and block copolymer micelles. Macromolecules 2016, 49, 9507–9520. [Google Scholar] [CrossRef]
- Wang, J.; Xue, Z.; Li, Y.; Li, G.; Wang, Y.; Zhong, W.H.; Yang, X. Synergistically effects of copolymer and core-shell particles for toughening epoxy. Polymer 2018, 140, 39–46. [Google Scholar] [CrossRef]
- Rahman, M.M.; Hosur, M.; Zainuddin, S.; Jajam, K.C.; Tippur, H.V.; Jeelani, S. Mechanical characterization of epoxy composites modified with reactive polyol diluent and randomly-oriented amino-functionalized MWCNTs. Polym. Test. 2012, 31, 1083–1093. [Google Scholar] [CrossRef]
- Jajam, K.C.; Rahman, M.M.; Hosur, M.V.; Tippur, H.V. Fracture behavior of epoxy nanocomposites modified with polyol diluent and amino-functionalized multi-walled carbon nanotubes: A loading rate study. Compos. Part A Appl. Sci. Manuf. 2014, 59, 57–69. [Google Scholar] [CrossRef]
- Yi, X.F.; Mishra, A.K.; Kim, N.H.; Ku, B.C.; Lee, J.H. Synergistic effects of oxidized CNTs and reactive oligomer on the fracture toughness and mechanical properties of epoxy. Compos. Part A Appl. Sci. Manuf. 2013, 49, 58–67. [Google Scholar] [CrossRef]
- da Silva, W.M.; Ribeiro, H.; Neves, J.C.; Sousa, A.R.; Silva, G.G. Improved impact strength of epoxy by the addition of functionalized multiwalled carbon nanotubes and dipropylene glycol diglycidyl ether-reactive diluent. J. Appl. Polym. Sci. 2015, 132, 42587. [Google Scholar] [CrossRef]
- Isik, I.; Yilmazer, U.; Bayram, G. Impact modified epoxy/montmorillonite nanocomposites: Synthesis and characterization. Polymer 2003, 44, 6371–6377. [Google Scholar] [CrossRef]
- Chozhan, C.K.; Elumalai, P.; Alagar, M. Studies on morphology and thermomechanical behavior of polyethylene glycol/1, 8-octanediol-modified epoxy-organoclay hybrid nanocomposites. J. Compos. Mater. 2009, 43, 2753–2770. [Google Scholar] [CrossRef]
- Jayan, J.S.; Saritha, A.; Deeraj, B.D.S.; Joseph, K. Graphene oxide as a prospective graft in polyethylene glycol for enhancing the toughness of epoxy nanocomposites. Polym. Eng. Sci. 2020, 60, 773–781. [Google Scholar] [CrossRef]
- Chang, H.L.; Chen, C.M.; Chen, C.H. Influences of nano-silica addition on diluent/epoxy mechanical properties. Adv. Mater. Res. 2014, 853, 34–39. [Google Scholar] [CrossRef]
- Halder, S.; Goyat, M.S.; Ghosh, P.K. Morphological, structural, and thermophysical properties of zirconium dioxide-epoxy nanocomposites. High Perform. Polym. 2016, 28, 697–708. [Google Scholar] [CrossRef]
- Carolan, D.; Ivankovic, A.; Kinloch, A.J.; Sprenger, S.; Taylor, A.C. Toughening of epoxy-based hybrid nanocomposites. Polymer 2016, 97, 179–190. [Google Scholar] [CrossRef]
- Lim, Y.J.; Carolan, D.; Taylor, A.C. Simultaneously tough and conductive rubber-graphene-epoxy nanocomposites. J. Mater. Sci. 2016, 51, 8631–8644. [Google Scholar] [CrossRef]
- Sarafrazi, M.; Ghasemi, A.R.; Hamadanian, M. Synergistic effect between CuCr2O4 nanoparticles and plasticizer on mechanical properties of EP/PU/CuCr2O4 nanocomposites: Experimental approach and molecular dynamics simulation. J. Appl. Polym. Sci. 2020, 137, 49425. [Google Scholar] [CrossRef]
- Das, G.; Karak, N. Epoxidized Mesua ferrea L. seed oil-based reactive diluent for BPA epoxy resin and their green nanocomposites. Prog. Org. Coat. 2009, 66, 59–64. [Google Scholar] [CrossRef]
- Dinakaran, K.; Alagar, M. Preparation and characterization of bismaleimide (N, N′-bismaleimido-4, 4′-diphenyl methane)—Unsaturated polyester modified epoxy intercrosslinked matrices. J. Appl. Polym. Sci. 2002, 85, 2853–2861. [Google Scholar] [CrossRef]
- Chozhan, C.K.; Alagar, M.; Sharmila, R.J.; Gnanasundaram, P. Thermomechanical behaviour of unsaturated polyester toughened epoxy-clay hybrid nanocomposites. J. Polym. Res. 2007, 14, 319–328. [Google Scholar] [CrossRef]
- Paluvai, N.R.; Mohanty, S.; Nayak, S.K. Effect of nanoclay on the mechanical, thermal, and water absorption properties of an UP-toughened epoxy network. J. Adhes. 2016, 92, 840–861. [Google Scholar] [CrossRef]
- Chakradhar, K.V.P.; Subbaiah, K.V.; Kumar, M.A.; Reddy, G.R. Blended epoxy/polyester polymer nanocomposites: Effect of “nano” on mechanical properties. Polym.-Plast. Technol. 2012, 51, 92–96. [Google Scholar] [CrossRef]
- Sabu, M.; Ruban, Y.J.V.; Ginil, M.S. Effect of organoclay on contact angle, thermal and mechanical properties of filled epoxy composites. Mater. Today Proc. 2021, 41, 549–556. [Google Scholar] [CrossRef]
- Jaya Vinse Ruban, Y.; Ginil Mon, S.; Vetha Roy, D. Mechanical and thermal studies of unsaturated polyester-toughened epoxy composites filled with amine-functionalized nanosilica. Appl. Nanosci. 2013, 3, 7–12. [Google Scholar] [CrossRef]
- Ruban, Y.J.V.M.; Mon, S.G.; Roy, D.V. Processing and thermal/mechanical studies of unsaturated polyester toughened epoxy composites filled with amine functionalized carbon nanotubes. Int. J. Plast. Technol. 2011, 15, 133–149. [Google Scholar] [CrossRef]
- Le, M.T.; Huang, S.C. Effect of nano-fillers on the strength reinforcement of novel hybrid polymer nanocomposites. Mater. Manuf. Process. 2016, 31, 1066–1072. [Google Scholar]
- Chozhan, C.K.; Rajasekaran, R.; Alagar, M.; Gnanasundaram, P. Thermomechanical behavior of vinyl ester oligomer-toughened epoxy-clay hybrid nanocomposites. Int. J. Polym. Mater. 2008, 57, 319–337. [Google Scholar] [CrossRef]
- Tyberg, C.S.; Bergeron, K.; Sankarapandian, M.; Shih, P.; Loos, A.C.; Dillard, D.A.; McGrath, J.E.; Riffle, J.S.; Sorathia, U. Structure-property relationships of void-free phenolic-epoxy matrix materials. Polymer 2000, 41, 5053–5062. [Google Scholar] [CrossRef]
- Auad, M.L.; Nutt, S.R.; Pettarin, V.; Frontini, P.M. Synthesis and properties of epoxy-phenolic clay nanocomposites. Express Polym. Lett. 2007, 9, 629–639. [Google Scholar] [CrossRef]
- Li, J.; Wu, Z.; Huang, C.; Liu, H.; Huang, R.; Li, L. Mechanical properties of cyanate ester/epoxy nanocomposites modified with plasma functionalized MWCNTs. Compos. Sci. Technol. 2014, 90, 166–173. [Google Scholar] [CrossRef]
- Raja Othman, R.N.; Subramaniam, D.K.; Ezani, N.A.; Abdullah, M.F.; Ku Ahmad, K.Z. The synergistic effects of hybrid micro and nano silica in influencing the mechanical properties of epoxy composites—A new model. Polymers 2022, 14, 3969. [Google Scholar] [CrossRef] [PubMed]
- de Oliveira, M.M.; Forsberg, S.; Selegård, L.; Carastan, D.J. The influence of sonication processing conditions on electrical and mechanical properties of single and hybrid epoxy nanocomposites filled with carbon nanoparticles. Polymers 2021, 13, 4128. [Google Scholar] [CrossRef] [PubMed]
- Alsuwait, R.B.; Souiyah, M.; Momohjimoh, I.; Ganiyu, S.A.; Bakare, A.O. Recent development in the processing, properties, and applications of epoxy-based natural fiber polymer biocomposites. Polymers 2023, 15, 145. [Google Scholar] [CrossRef] [PubMed]
- Zhang, M.; Zhai, Z.; Li, M.; Cheng, T.; Wang, C.; Jiang, D.; Chen, L.; Wu, Z.; Guo, Z. Epoxy nanocomposites with carbon nanotubes and montmorillonite: Mechanical properties and electrical insulation. J. Compos. Mater. 2016, 50, 3363–3372. [Google Scholar] [CrossRef]
- Yang, S.Y.; Lin, W.N.; Huang, Y.L.; Tien, H.W.; Wang, J.Y.; Ma, C.C.M.; Li, S.M.; Wang, Y.S. Synergetic effects of graphene platelets and carbon nanotubes on the mechanical and thermal properties of epoxy composites. Carbon 2011, 49, 793–803. [Google Scholar] [CrossRef]
- Bahari-Sambran, F.; Kazemi-Khasragh, E.; Orozco-Caballero, A.; Eslami-Farsani, R. Synergetic effects of graphene nanoplatelets/montmorillonite on their dispersion and mechanical properties of the epoxy-based nanocomposite: Modeling and experiments. Polym. Compos. 2022, 43, 6897–6911. [Google Scholar] [CrossRef]
- Zhang, L.; Zhang, G.; Chang, L.; Wetzel, B.; Jim, B.; Wang, Q. Distinct tribological mechanisms of silica nanoparticles in epoxy composites reinforced with carbon nanotubes, carbon fibers and glass fibers. Tribol. Int. 2016, 104, 225–236. [Google Scholar]












| Modifiers | Improved Properties | References |
|---|---|---|
| CNT/rubber nanoparticles | GC | [69] |
| HTPB/MMT | Tensile strength, strain break | [79] |
| Rubber/MMT | Tensile modulus | [82] |
| Rubber/SN | KC | [85] |
| ATBN/Nanobent | Tensile adhesive strength | [103] |
| CTBN/Nanomer 130.E | Gc, KC | [90] |
| CTBN/SN | Gc, KC | [94] |
| fCNT/CTBNTE | Tensile fracture energy | [99] |
| ENR/SN | KC | [110] |
| ZnO-MWCNT/CSR | KC | [118] |
| GO/CSR | Tensile strain break | [119] |
| Nanoparticles | Improved Properties | References |
|---|---|---|
| oMMT | Wear loss, friction coefficient | [123] |
| oMMT | Flexural strain at break | [125] |
| Modified sodium bentonite | Tensile strength, Kc | [126] |
| oMMT Na+ | Tensile strength, tensile modulus | [127] |
| oMMT—Cloisite 30B | Tensile strength, flexural strain at break | [134] |
| Thermoplastics | Nanoparticles | Improved Properties | References |
|---|---|---|---|
| PMMA | Nanobent ZS1 | Flexural energy at break, flexural strain at break, impact strength, fracture energy | [137] |
| PMMA | HNT | Tensile strength, Young’s modulus | [139] |
| PES | Nanocor 1.30E | KC | [143,144] |
| PES | CNTs, GNTs | KC | [145] |
| PEI | COOH-CNTs | GC | [146] |
| PEI | NH2-MWCNTs | KC | [147] |
| ABS | Cloisite 30B | Impact strength, tensile strength | [149] |
| ABS | MWCNT | Impact strength, tensile strength | [150] |
| PA | MWCNT | Tensile strain at break, KC, GC | [154] |
| HIPS | MWCNT | Tensile strength, tensile and flexural strain at break | [158] |
| PET | Nano-Al2O3 | Impact strength, tensile strength | [159] |
| PC | Bentone 34 | Fracture energy | [24] |
| Nanoparticles | Improved Properties | References |
|---|---|---|
| Nanosilica | KC | [164] |
| fCNT | Lap shear strength | [165] |
| MWCNT | KC | [169] |
| fGO | GC | [170] |
| CSP | Flexural strength, KC | [171] |
| Diluent | Nanoparticles | Improved Properties | References |
|---|---|---|---|
| polyether polyol | NH2-MWCNT | KC, flexural energy to break | [172] |
| NCO terminated reactive oligomer | Oxidized CNTs | Impact strength | [174] |
| Reactive diluent | CSR | GC | [181] |
| Castor oil | Cloisite 30B | KC, GC | [183] |
Disclaimer/Publisher’s Note: The statements, opinions and data contained in all publications are solely those of the individual author(s) and contributor(s) and not of MDPI and/or the editor(s). MDPI and/or the editor(s) disclaim responsibility for any injury to people or property resulting from any ideas, methods, instructions or products referred to in the content. |
© 2023 by the authors. Licensee MDPI, Basel, Switzerland. This article is an open access article distributed under the terms and conditions of the Creative Commons Attribution (CC BY) license (https://creativecommons.org/licenses/by/4.0/).
Share and Cite
Białkowska, A.; Bakar, M.; Kucharczyk, W.; Zarzyka, I. Hybrid Epoxy Nanocomposites: Improvement in Mechanical Properties and Toughening Mechanisms—A Review. Polymers 2023, 15, 1398. https://doi.org/10.3390/polym15061398
Białkowska A, Bakar M, Kucharczyk W, Zarzyka I. Hybrid Epoxy Nanocomposites: Improvement in Mechanical Properties and Toughening Mechanisms—A Review. Polymers. 2023; 15(6):1398. https://doi.org/10.3390/polym15061398
Chicago/Turabian StyleBiałkowska, Anita, Mohamed Bakar, Wojciech Kucharczyk, and Iwona Zarzyka. 2023. "Hybrid Epoxy Nanocomposites: Improvement in Mechanical Properties and Toughening Mechanisms—A Review" Polymers 15, no. 6: 1398. https://doi.org/10.3390/polym15061398
APA StyleBiałkowska, A., Bakar, M., Kucharczyk, W., & Zarzyka, I. (2023). Hybrid Epoxy Nanocomposites: Improvement in Mechanical Properties and Toughening Mechanisms—A Review. Polymers, 15(6), 1398. https://doi.org/10.3390/polym15061398

