Next Article in Journal
Effect of Surface Polishing on Physical Properties of an Occlusal Splint Material for Additive Manufacturing under Protection Gas Post-Curing Condition
Previous Article in Journal
Conformational Parameters and Hydrodynamic Behavior of Poly(2-Methyl-2-Oxazoline) in a Broad Molar Mass Range
Previous Article in Special Issue
Preparation and Properties of Fluorosilicone Fouling-Release Coatings
 
 
Font Type:
Arial Georgia Verdana
Font Size:
Aa Aa Aa
Line Spacing:
Column Width:
Background:
Article

Combined Effects from Dual Incorporation of ATBC as Plasticizer and Mesoporous MCM-41 as Nucleating Agent on the PLA Isothermal Crystallization in Environmentally-Friendly Ternary Composite Systems

by
Enrique Blázquez-Blázquez
,
Rosa Barranco-García
,
Tamara M. Díez-Rodríguez
,
María L. Cerrada
* and
Ernesto Pérez
Instituto de Ciencia y Tecnología de Polímeros (ICTP-CSIC), Juan de la Cierva 3, 28006 Madrid, Spain
*
Author to whom correspondence should be addressed.
Polymers 2023, 15(3), 624; https://doi.org/10.3390/polym15030624
Submission received: 14 December 2022 / Revised: 16 January 2023 / Accepted: 19 January 2023 / Published: 25 January 2023
(This article belongs to the Special Issue Organic-Inorganic Hybrid Materials II)

Abstract

Different materials, based on an L-rich polylactide (PLA) as matrix, acetyl tri-n-butyl citrate (ATBC) as plasticizer, and mesoporous Mobile Crystalline Material.41 (MCM-41) particles as nucleating agent, were attained by melt extrusion. These materials are constituted by (a) binary blends of PLA and ATBC with different contents of the latest; (b) a dual compound of PLA and a given amount of MCM-41 silica (5 wt.%); and (c) ternary composites that include PLA, ATBC at several compositions and mesoporous MCM-41 at 5 wt.%. Influence of the incorporation of the plasticizer and nucleating particles has been comprehensively analyzed on the different phase transitions: glass transition, cold crystallization, melt crystallization and melting processes. Presence of both additives moves down the temperature at which PLA phase transitions take place, while allowing the PLA crystallization from the melt at 10 °C/min in the composites. This tridimensional ordering is not noticeable in the pristine PLA matrix and, accordingly, PLA crystallization rate is considerably increased under dynamic conditions and also after isothermal crystallization from either the melt or the glassy state. An important synergistic effect of dual action of ATBC and MCM-41 has been, therefore, found.

1. Introduction

Poly(lactide) (PLA), a biodegradable aliphatic polyester with an excellent profile in properties, could play a major role in future polymers markets for numerous applications because its monomer comes from renewable resources. PLA shows, however, some shortcomings, such as its brittleness or its relatively reduced crystallization ability under common processing conditions [1]. The former is ascribed to location of its glass transition temperature (Tg), which appears at around 60 °C, and the latest is associated with its low crystallization rate. The position of Tg can be easily adjusted by adding plasticizers, while its three-dimensional ordering capacity can be modulated either by incorporating nucleating agents, since they contribute to lowering the activation energy of nucleation, or by adding plasticizers, due to the increase in the overall mobility of polymeric chains that their presence plays. Nevertheless, the joint incorporation of these additives, plasticizer and nucleanting agent, is an approach little explored in literature [2], although it can be quite attractive from academic and practical standpoints. On one hand, presence of the former can reduce the significant and negative impact that the physical aging, commonly observed in PLA, exerts in its behavior, which promotes a deficient dimensional stability and changes in other key parameters. On the other hand, addition of a nucleant agent will boost crystallization capability of PLA and its rate, inducing the enhancement of some important properties, such as overall strength, thermal resistance or gas barrier. Accordingly, a favorable dual action of both would lead to a balanced and improved response in either amorphous or crystalline phases within the PLA matrix and, subsequently, in the ultimate performance of the resultant ternary materials.
Plasticizers are widely used to enhance flexibility, processability and ductility of polymers. Nevertheless, different variables must be taken into consideration for achieving an efficient effect, which include the nature of matrix, the type and optimal percentage of plasticizer, its thermal stability at the processing temperature, among others. In semicrystalline polymers, such as PLA, incorporation of a plasticizer should reduce the Tg and, additionally, allow the shift to lower temperatures of the crystallization window. The plasticizer efficiency is also noticeable through a melting point depression of the corresponding crystalline phase [3,4]. Numerous types of plasticizers of low molecular weight have been studied for PLA, such as the bishydroxymethyl malonate (DBM) [5], the glucose monoesters and partial fatty acid esters, the citrates [6], among others. Nonetheless, they show often the problem of migration, due to their high mobility within the PLA macrochains. Thus, plasticizers with higher molecular weight and, accordingly, lower mobility have been also evaluated, such as the poly(ethylene glycol) (PEG) [6,7,8], the poly(propylene glycol) (PPG) [9], the atactic poly(3-hydroxybutyrate) (a-PHB) [10,11] and the oligoesteramide (DBM-oligoesteramide) [5,12,13]. Furthermore, the plasticizer selection for PLA is also restricted by the legislative or technical requirements of the final applications if these are, for instance, as food packaging or in the biomedical field. Therefore, the choice becomes even more complex [5,13]. The good solubility of PLA in the citrate plasticizers, owing to the polar interactions between the ester groups of PLA and the plasticizer [14], makes the acetyl tri-n-butyl citrate (ATBC), which is also biodegradable and non-toxic compound, a successful and common alternative to be added to PLA [1,4,13].
Global rates of the nucleation and the crystallization in the PLA under homogeneous conditions are, as aforementioned, relatively low. Accordingly, the addition of nucleating agents is a strategy to promote both processes. These additives allow increasing the number of primary nucleation sites and reducing the nucleation induction period. Different physical agents have been analyzed in PLA for this role, including organic, mineral and mineral-organic hybrids [15]. Talc has been commonly considered as a reference in PLA to evaluate the nucleation capacity of other agents [15,16]. Carbon nanotubes, either neat or modified, have been also employed [15] due to their high aspect ratio and excellent mechanical, thermal and electrical properties. Recently, the mesoporous silica has been used as well. In particular, the SBA-15 particles have been proved to play an important role in the PLA crystallization in composites prepared either by melt extrusion [17,18] or by solution mixing [19]. Mesoporous SBA-15 is constituted by ordered hexagonal arrangements within the particles, which are developed during the synthesis and consist in hollow channels with diameters from around 7 to 10 nm [20].
The aim of this research is to evaluate the joint influence of the dual incorporation of a plasticizer and a mesoporous silica in the crystallization process of PLA. Then, ATBC has been chosen for the former and MCM-41 as silica in the preparation of ternary systems. This plasticizer is selected because the good results, reported in literature, that its incorporation involves. The MCM-41 mesoporous silica has been chosen since it shows similar morphological characteristics [21] to those found in SBA-15, although its hexagonal arrangement displays lower pore size due to the template required for its preparation. Furthermore, its synthesis is also less expensive than that for the SBA-15 manufacture. Binary materials constituted, on one hand, by PLA and different contents of ATBC and, on the other hand, by PLA and a given amount of MCM-41 have been also prepared additionally to the ternary PLA/plasticizer/MCM-41 composites, in order to study the existence or lack of a synergistic effect of the two additives. A thorough analysis has been performed by differential scanning calorimetry (DSC) under isothermal conditions, from either the molten or the glassy states, at different temperatures to fully understand the role that both additives exerts on PLA crystallization.

2. Materials and Methods

A commercially available polylactide (PLA) from NatureWorks® (labeled as Ingeo™ Biopolymer 6202D, with a density of 1.24 g/cm3, and a content in L-isomer units of about 98 mol%) is used in this study. Its weight-average molecular weight (Mw) and molecular weight dispersity are 118,600 g/mol and 1.6, respectively, as determined from gel permeation chromatography (GPC) [22].
The ATBC (CAS 77-90-7) plasticizer was purchased from Sigma–Aldrich (Madrid, Spain) with purity equal or greater than 98.0%. Its chemical structure is shown in Scheme 1. It has a molecular weight of 402.5 g/mol and a boiling temperature of 331 °C.
The MCM-41 particles were purchased from Sigma-Aldrich (specific surface area, SBET = 966 m2/g; average mesopore diameter, Dp = 2.9 nm [23]) and were used as received.
PLA, PLA-ATBC binary blends at different plasticizer contents, binary composite of PLA and MCM-41, along with PLA/ATBC/MCM-41 ternary composites were prepared through melt processing in a micro-conical twin screw Thermo Scientific Haake Minilab miniextruder operating at 190 °C, with a screw speed of 100 rpm, using a mixing time of 4 min after the full feeding. Sample labeling and nominal composition are detailed in Table 1. PLA and MCM-41 were dried previous extrusion. The former was initially placed in an oven at 85 °C for 20 min followed by a drying under vacuum at 85 °C for 2 h. The MCM-41 silica was dried under vacuum at 100 °C for 24 h.
All of these materials were subsequently processed by compression molding in a hot-plate Collin press. Initially, the material was maintained at a temperature of 190 °C without pressure for 2 min and, then, a pressure of 25 bar was applied for 5 min. Afterward, a cooling process at the relatively rapid rate of around 80 °C/min and at a pressure of 25 bar was applied to the different composites from their molten state to room temperature. These original compression-molded films were totally amorphous, as shown below from the zero neat enthalpy involved in the first melting DSC curves.
Morphological details of the mesoporous MCM-41 were obtained by transmission electron microscopy (TEM). Measurements were performed at room temperature in a 200 kV JEM-2100 JEOL microscope. The particles were dispersed in acetone in an ultrasonic bath for 5 min and then deposited in a holder prior to observation.
Fracture surface in different sections of the films was evaluated by scanning electron microscopy (SEM) using a Philips XL30 microscope The samples were coated with a layer of 80:20 Au/Pd alloy and deposited in a holder before visualization.
Thermogravimetric analysis (TGA) was performed in a Q500 equipment of TA Instruments, under air atmosphere at a heating rate of 10 °C/min. Maximum degradation temperatures of the distinct materials are determined, as well as the actual amount of the two additives incorporated into the extruded materials prepared by extrusion.
Wide angle X-ray Diffraction (WAXD) patterns were recorded at room temperature in the reflection mode, by using a Bruker D8 Advance diffractometer provided with a PSD Vantec detector. Cu Kα radiation (λ = 0.15418 nm) was used, operating at 40 kV and 40 mA. The parallel beam optics was adjusted by a parabolic Göbel mirror with horizontal grazing incidence Soller slit of 0.12° and LiF monochromator. The equipment was calibrated with different standards. A step scanning mode was employed for the detector. The diffraction scans were collected with a 2θ step of 0.024° and 0.2 s per step.
Calorimetric analyses were carried out in a TA Instruments Q100 calorimeter connected to a cooling system and calibrated with different standards. The sample weights were around 3 mg. A temperature interval from −30 to 190 °C was studied at a heating rate of 10 °C/min in dynamic experiments. Isothermal measurements have been also performed either from the molten or the glassy state.
Details for isothermal experiments from the melt are the following: a rapid cooling, at 60 °C/min, was applied from 190 °C to the desired crystallization temperature, Tc, which was isothermally maintained for the required time. Subsequently, the heating curve at 10 °C/min is registered. The crystallization temperatures where extended to those values where the crystallization is complete after a reasonable time (total crystallization times requiring longer than around 100 min show already a very bad signal-to-noise ratio).
Details for isothermal experiments from the glassy state are the next: starting again at 190 °C, a rapid cooling is carried out at 60 °C/min, now until below the glass transition of the sample. Then, the desired crystallization temperature is reached by heating also at 60 °C/min, being isothermally maintained for the required time. Afterward, the subsequent heating curve is registered at 10 °C/min. The crystallization temperatures where extended up to those temperatures before the cold crystallization is observed in the heating ramp for reaching the crystallization temperature.
All the DSC curves presented throughout this work are actual curves without normalization for the real content of PLA in the sample. That normalization has been performed, however, for the enthalpies used to estimate crystallinity degree of the different sample experiments, i.e., the values achieved are then the normalized crystallinity. For the determination of the crystallinity, 93.1 J/g was used as the enthalpy of fusion of a perfectly crystalline material [24,25].

3. Results and Discussion

Figure 1a shows the ordered hexagonal arrangements that constitute the interior of the particles of the mesoporous MCM-41 silica. This inner part consists in a well-defined hollow channel structure with pore diameters of around 3 nm, where PLA chain segments and/or molecules of plasticizer can be embedded. Experimental conditions used during extrusion turn out appropriate, as deduced from the SEM fracture picture found in the PLAM5 composite depicted in Figure 1b, where a homogeneous distribution of silica within the matrix of PLA is exhibited together with the absence of inorganic domains of large size.
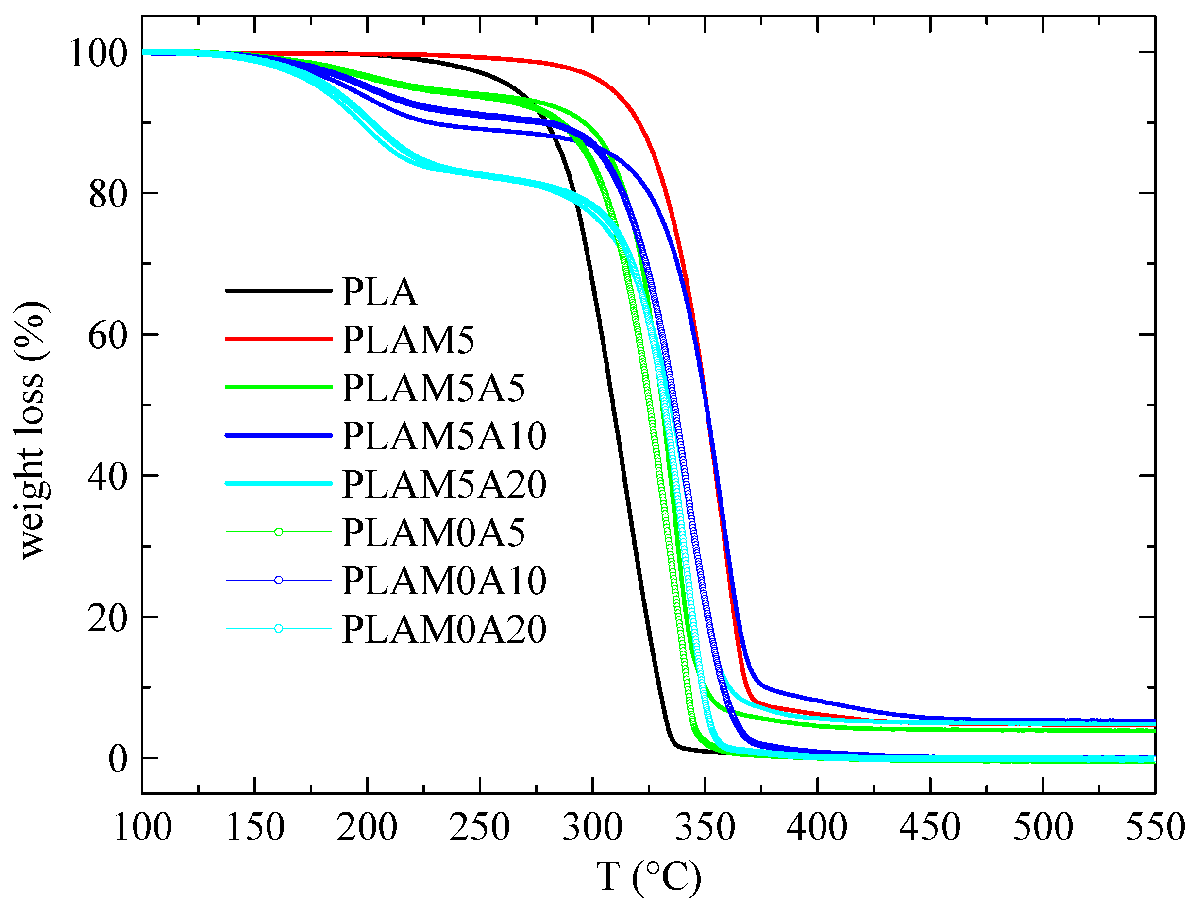
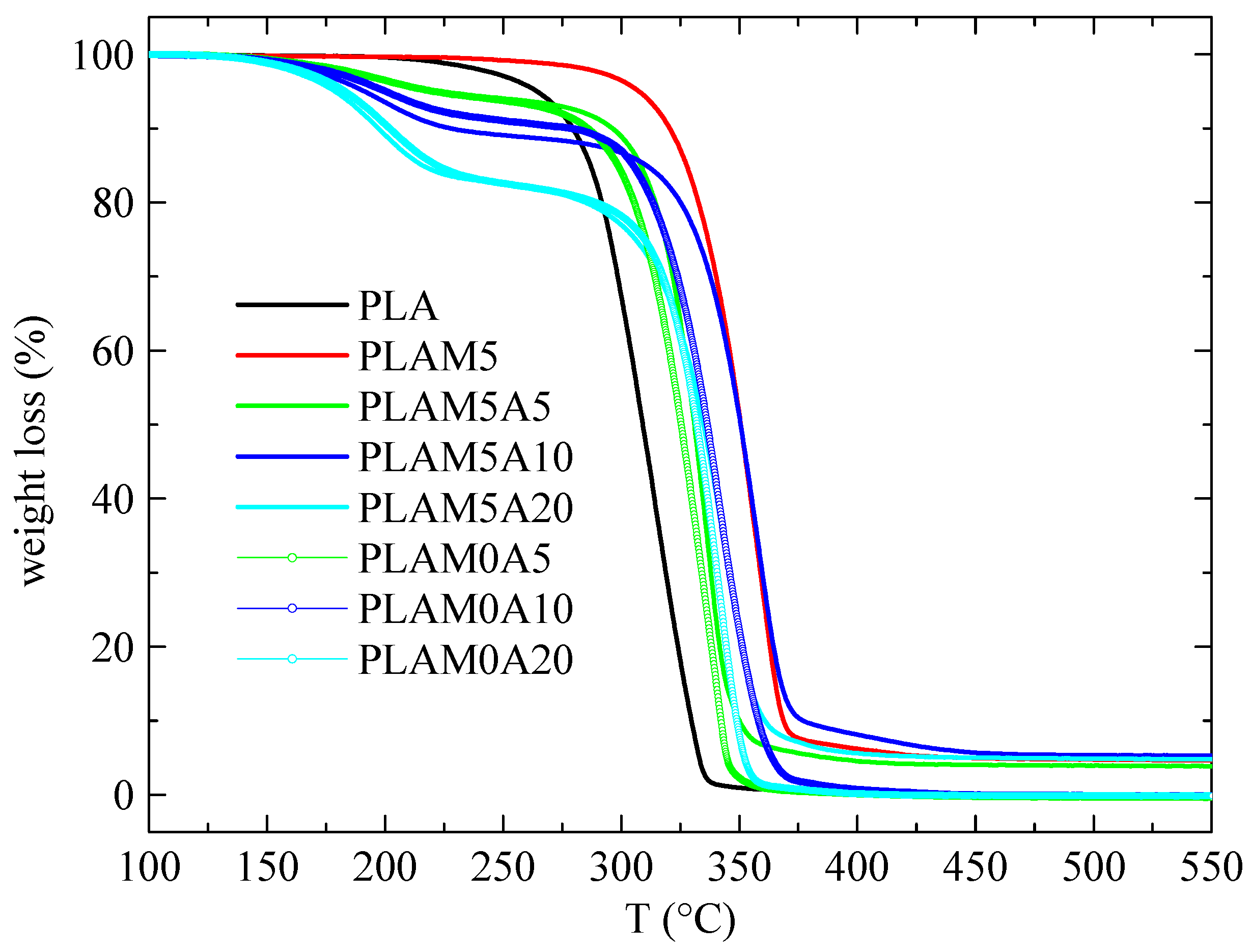
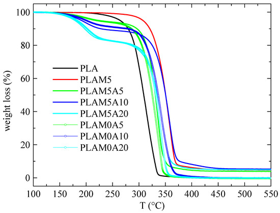
Thermogravimetry measurements are carried out in order to learn how presence of: (a) individual plasticizer in the PLA-ATBC blends, (b) MCM-41 in binary composites or (c) both additives in plasticized and filled PLA ternary materials, affects the thermal stability of this polymeric matrix. Furthermore, these TGA experiments allow estimating the actual material content for the different constituents (PLA, ATBC plasticizer and MCM-41 silica) in the several composites. Figure 2 shows the TGA curves under air atmosphere for the different samples, indicating that PLA maximum degradation temperature is shifted to higher temperatures (see Table 2) by incorporation of ATBC plasticizer in the binary blends.
At the lowest amount of ATBC, the increase is around 23 °C. This rise is even slightly larger for the two higher contents of ATBC used. A much important displacement is ob-served in the PLAM5 specimen, which is the binary composite of PLA and MCM-41 silica. Thus, inclusion of mesoporous MCM-41 into PLA by extrusion leads to a very remarkable improvement of PLA thermal stability. The shift of the maximum degradation temperature (TmaxPLA) to higher temperatures has been also previously described when adding talc to PLA [26] and in PLA composites incorporating modified clays [27]. The combined effect of ATBC plasticizer and MCM-41 silica leads to an increase of the PLA thermal stability compared with that exhibited by the neat polymeric matrix, showing an optimized TmaxPLA value in the sample PLAM5A10. This type of behavior of a maximum effect at intermediate plasticizer content has been already reported [4]. Nevertheless, a straightforward variation with the amount of the two additives is not noticed. Thus, the values found in PLAM5A5 and PLAM5A20 are analogous to those observed in PLAM0A5 and PLAM0A20, respectively, while that shown by PLAM5A10 is similar to that noted in PLAM5. A full understanding of the thermal stability of these ternary systems requires a more complete analysis, which is out of the scope of this investigation.
Table 2 also displays that the T1% in air is considerably smaller in the materials that contain the ATBC additive, since this plasticizer is the first compound that is lost through evaporation. Moreover, the actual content of the different constituents in the several materials are also collected in Table 2.
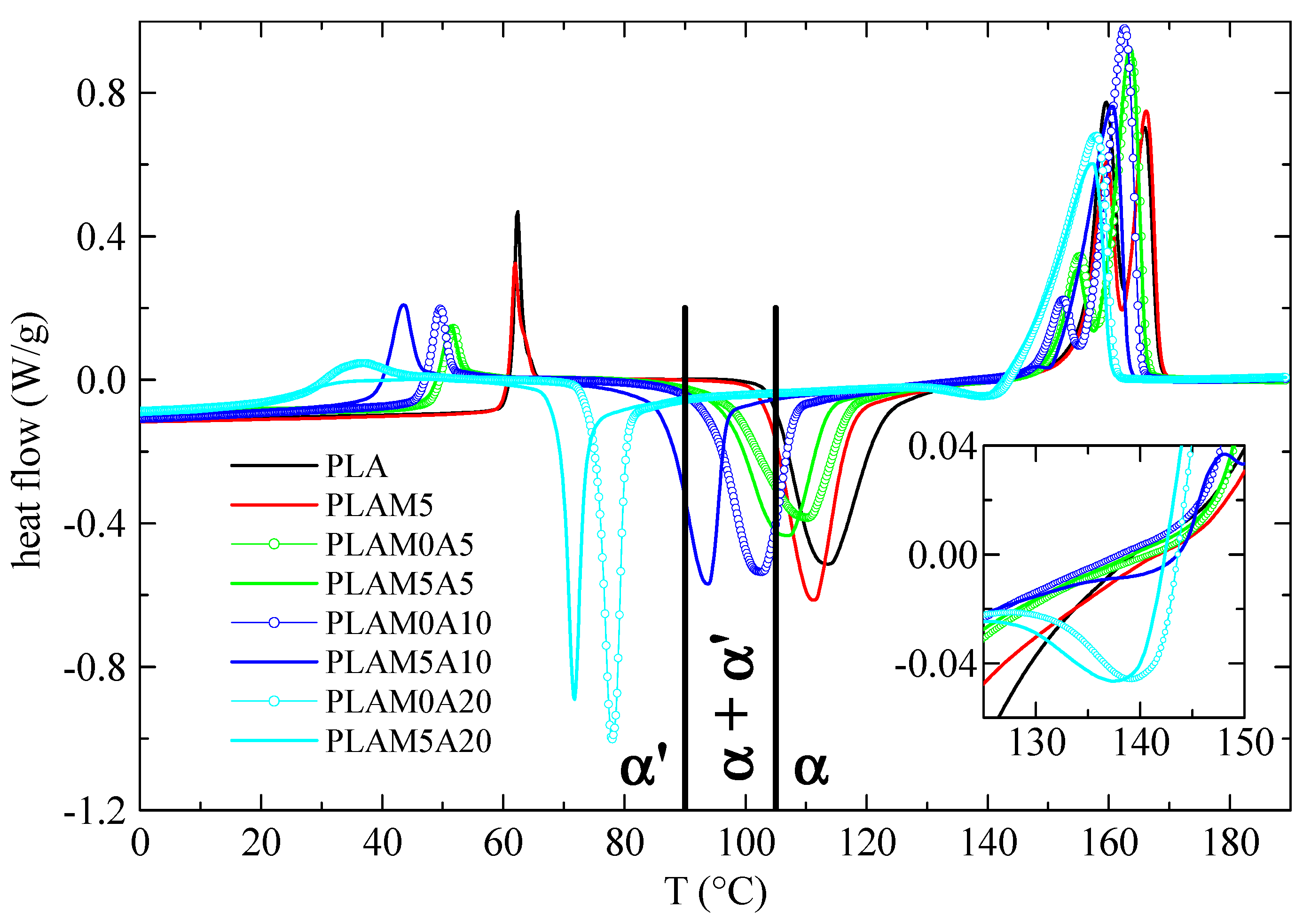
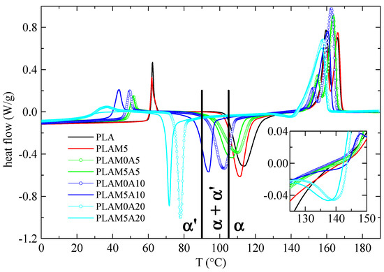
As commented in the Introduction, ternary systems based on PLA as a matrix together with both a plasticizer and a filler, as minor constituents, are not commonly analyzed. Therefore, an exhaustive analysis of the crystallization capability exhibited by these materials is mandatory before the evaluation of any type of properties. Figure 3 shows the DSC curves obtained for the first heating process in all of the examined samples. Several phase transitions are noticeable: glass transition, cold crystallization and melting processes in order of increasing temperatures. It is important to mention that the neat enthalpy involved in the entire DSC curves is negligible in all cases, indicating the absence of crystallinity in the initial extruded samples. That means that these specimens rapidly cooled from the melt show a complete amorphous nature.
Location of the glass transition moves very remarkably to lower temperatures as the ATBC content increases in the samples. In fact, Tg depression is around 34 °C, as seen in Figure 3 and quantified in Figure 4a. This reduction is similar to that previously reported in literature [4,28] and it is ascribed to the good compatibility of both PLA and ATBC. The position of Tg for the neat ATBC is about −81 °C [28] and, thus, a progressive decrease of the Tg in the PLA-ATBC blends is expected as the ATBC content increases if ATBC segregation does not take place.
Furthermore, the different curves show a rather prominent aging peak overlapped at the top of the glass transition. Intensity of this aging peak decreases with increasing ATBC content in the sample, being significantly small for sample PLAM0A20, and negligible for PLAM5A20. One of the reasons for this behavior is that the glass transition of these samples has been moved noticeably to a lower location compared with that for the neat PLA, taking place now at about room temperature (around 25–30 °C). Structural recovery is much faster [29] in these two specimens.
The cold crystallization (TccF1) appears at considerably lower temperatures as the ATBC amount rises regarding that shown in the pristine polymeric matrix, meaning that PLA is able to crystallize more rapidly induced by presence of plasticizer. An additional favorable contribution is observed by incorporation of the MCM-41 particles due to their nucleant effect, so that the sample with the smallest TccF1 is PLAM5A20 (see Figure 4b). Thus, this nucleating influence is noticed when pure PLA is compared with PLAM5 and when comparison is established between the other plasticized blends with their respective ternary composites, i.e., PLAM0A5 with PLAM5A5 and PLAM0A10 with PLAM5A10.
Reason behind this behavior is believed to be associated with the combined action of incorporation of ATBC and MCM-41 particles within the PLA matrix. On one hand, the MCM-41 silica acts as nucleating agent, similar to the effect observed by addition of mesoporous SBA-15 into PLA [17,18]. This feature allows enhancing crystal nucleation rate due to the reduction of the nucleation energy barrier of PLA via absorption of PLA chains on external and internal surface of MCM-41 [30,31] through the silanol groups existing in this silica [32]. Nevertheless, the crystal growth rate could be constrained by the PLA mobility. Therefore, the TccF1 in PLAM5 is expected to decrease due to the addition of MCM-41, as Figure 3 shows. On the other hand, the ATBC improves the mobility of PLA chains by plasticization, as confirmed by the shift of Tg values to lower temperatures with increasing ATBC content. Accordingly, the crystal growth rate of PLA should be enhanced when adding MCM-41 and ATBC, turning out in the decrease of the TccF1 of PLA, as seen in Figure 3 and Figure 4b.
Moreover, the enthalpy involved in the cold crystallization is also sensitive to the presence of MCM-41 and ATBC. Thus, the values deduced from Figure 3, after normalization to the actual PLA content at each sample, are the following: 38.1, 39.6, 41.9 and 43.8 J/g for the PLA, PLAM0A5, PLAM0A10 and PLAM0A20 specimens, respectively, and 39.2, 40.4, 42.7 and 44.6 J/g for the PLAM5, PLAM5A5, PLAM5A10 and PLAM5A20 materials, respectively. Two conclusions are derived from these values: first, in the two series of samples, PLAM0Ax and PLAM5Ax, the enthalpy increases with the ATBC content, and, second, a further increase is also noted when the MCM-41 is present, so that enthalpies of cold crystallization are in the PLAM5Ax composites higher than those in the PLAM0Ax samples.
On the other hand, according to previous findings [22] reported for this specific PLA, represented in Figure 3 by the vertical lines, the pure α’ modification is expected to be developed in samples PLAM0A20 and PLAM5A20, while the pure α form should be obtained for PLA and PLAM5, with mostly a mixture of the two modifications for the remaining samples. Those findings reported in literature for this specific PLA (with a content in D-isomer of about 2 mol%) were based on the dependence on crystallization temperatures of the location for the main reflections derived from X-ray diffraction measurements. The variation in the spacing position of the more intense diffractions was then related to the α′ to α transition [22]. Existence of only the α’ lattice, or of a large amount of this polymorph, can be also characterized by DSC through appearance of the transformation from the α’ to the α crystalline form during the heating process by means of a small exotherm prior the dominant melting process [24,25,33,34]. This transformation is only well noted in PLAM0A20 and PLAM5A20 (at around 130–140 °C), and somewhat in PLAM5A10, as shown in the inset of Figure 3. This observation is in agreement with the statements aforementioned about the expected modification to be obtained.
Figure 3 and Figure 4c show that location of the maximum of melting process also takes place at lower temperatures in these either only plasticized or plasticized and filled materials. The depression in Tm, of around 9 °C as seen in Figure 4c, is much smaller than the one for Tg. As a consequence, interval for the actual crystallization occurring at “normal” rates increases considerably on passing from the pristine PLA to PLAM0A20 or PLAM5A20, as noticed in Figure 4d.
The greater crystallization rate deduced from the results in Figure 3 for the samples plasticized with ATBC and/or filled with MCM-41 is also noted on the cooling curves from the melt represented in Figure 5a. Thus, the neat PLA sample does not show any crystallization at the cooling rate of 10 °C/min, contrary to the other samples, where the exotherm increases in intensity, especially in those materials containing both ATBC and MCM-41. This is also clearly deduced from Figure 5b, where the DSC crystallinity (normalized to the actual PLA content in the material) is represented as function of the ATBC content. A considerable increase in crystallinity is observed for the PLAM0Ax samples, which is even higher for the PLAM5Ax specimens, and, importantly, the difference between the two series is increasingly greater. It is deduced, therefore, that the simultaneous presence of ATBC and MCM-41 leads to an especially noticeable increase of the crystallization rate of PLA. It seems that there is a synergistic effect of mesoporous MCM-41 and ATBC plasticizer on the nucleation ability of PLA, leading not only to a higher crystallization rate, but also extending its crystallization capability.
Several experiments of isothermal crystallization have been performed in the different samples by DSC either from the glassy state or from the melt in order to ascertain the increase in crystallization rate. As an example, Figure 6a shows the crystallization isotherms, both from the glassy state or from the melt, and the subsequent heating curves at 10 °C/min (Figure 6b) for sample PLAM5A10.
Important differences are deduced between the isotherms attained from the glass or from melt. Crystallization rate is much faster when it is initiated from the glassy state, as expected, and it increases continuously with the crystallization temperature, in such a way that it is not possible to observe the isotherm above 100 °C, since the crystallization is so fast that it begins during the heating, at 60 °C/min, to reach the isothermal crystallization temperature.
On the contrary, the isotherms from the melt show a crystallization rate considerably much smaller, and the crystallization can be performed up to 120 °C in a reasonable time. Nevertheless, this much lower rate makes the crystallization range in the region of low Tcs shorter than when crystallization starts from the glass. Moreover, now the crystallization rate shows a maximum at around 100 °C, as expected from the well-known transport and free-energy terms in the crystallization rate [35,36]. A more detailed study of those crystallization rates is made below, extended also to all samples analyzed.
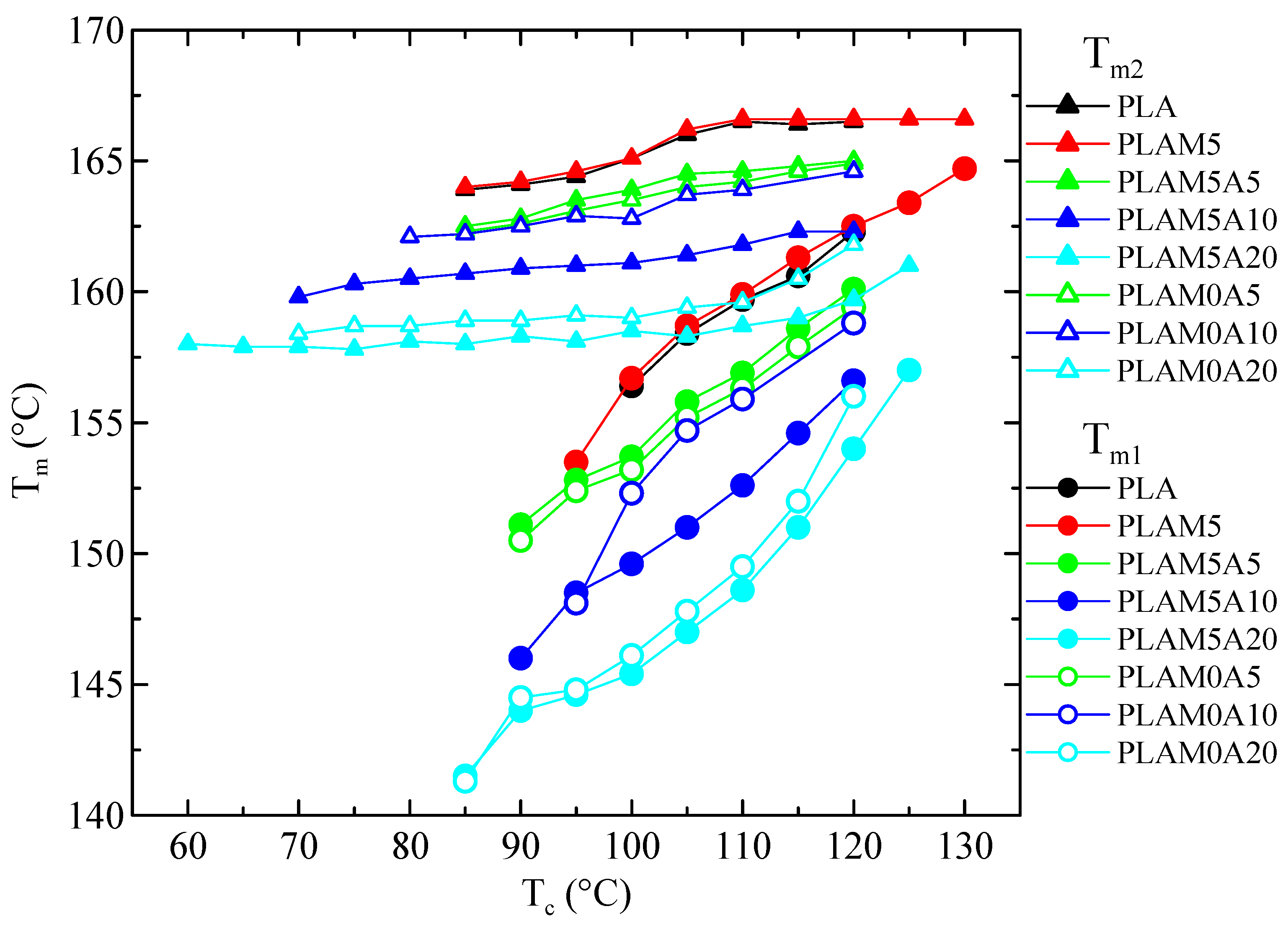
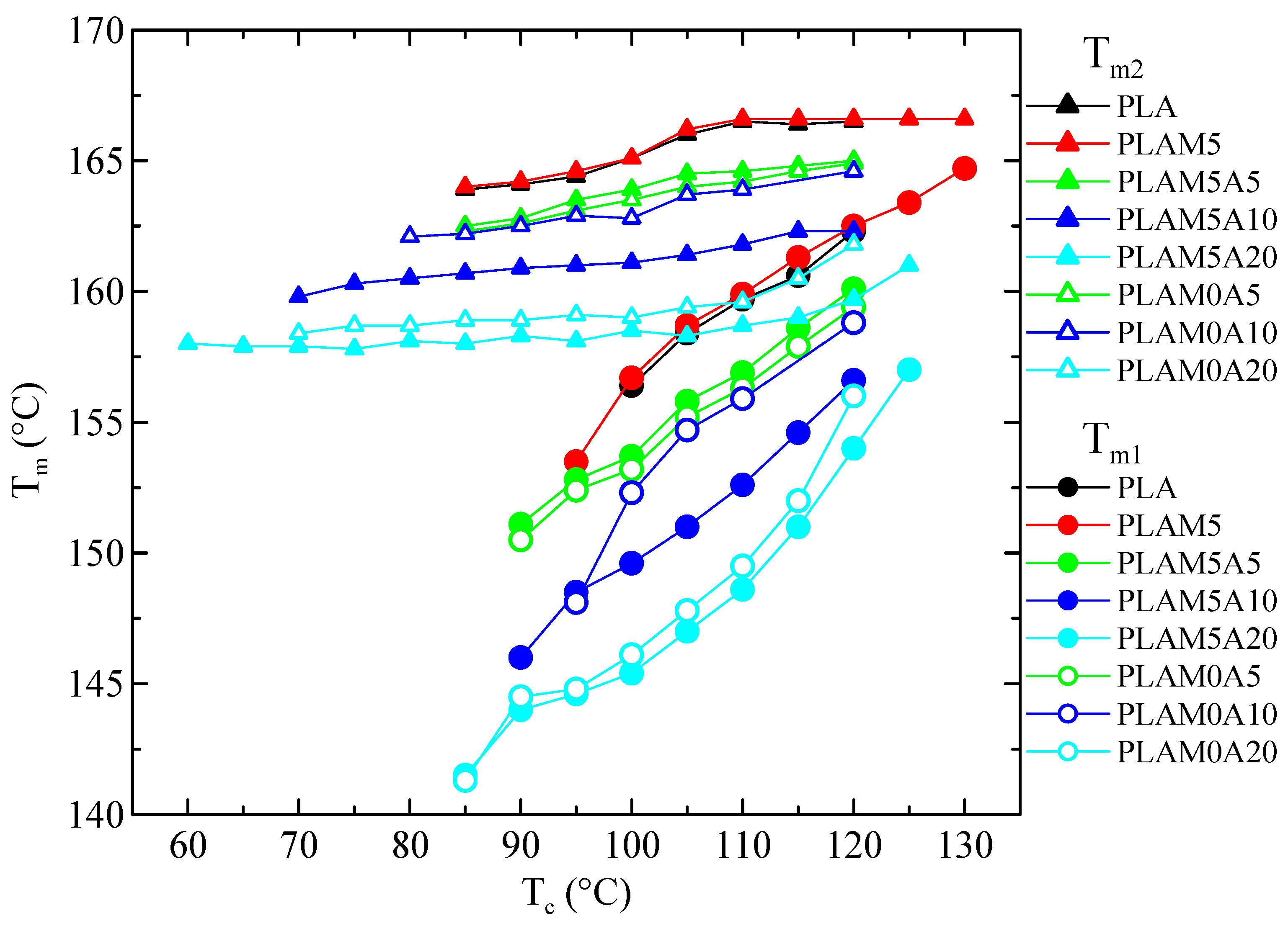
Regarding the subsequent heating, the melting curves for a particular Tc are rather similar for both crystallizations, from the glass or from the melt, as observed in Figure 6b. In both cases, the transformation from the α’ to α modification, which is characterized by a melting-recrystallization process [24,25,33,34], is clearly observed until an isothermal Tc of around 90 °C. Above that temperature, the melting curves show a bimodal melting endotherm, the low temperature component, termed as Tm1, supposedly arising from the melting of the real imperfect crystals initially formed at the crystallization temperature, while the second component, Tm2, is due to the final melting of the recrystallized imperfect crystals [22]. It is interesting to note that the upper limit for observing the transition from the α’ form to the α modification overlaps with the beginning of the observation Tm1, so that separation between these two processes (the transition α’ to α and Tm1) at the Tc of 90 °C is difficult to be resolved. Again, a more detailed study of these aspects is made below for the different samples.
Thus, crystallization rate has been estimated from the inverse of time for the 50% transformation in the isotherms, i.e., the half crystallization time, t0.5. The values of 1/t0.5 are represented in Figure 7 for the different samples and the two modes of crystallization. Crystallization rate is much faster for all the samples when crystallizing from the glass (note that the Y scale in the data from melt has been amplified 5 times in Figure 7b), as mentioned above for PLAM5A10 and as expected. It is observed that, when isothermal crystallization occurs from the glass, the upper limit of Tc for reasonable crystallization times occurs at progressively inferior temperatures as the ATBC + MCM41 content increases in the sample (according with the decrease in the cold crystallization temperature obtained in dynamic experiments represented in Figure 3 and Figure 4). And, therefore, the maximum in the crystallization rate is not observed in these specimens crystallized from the glass, since the crystallization is so fast that it begins, as mentioned, during the heating, at 60 °C/min, before reaching the isothermal crystallization temperature.
A maximum is, however, noticed for the crystallizations from the melt, as deduced from Figure 7b. This maximum arises from the well-known fact that there are two factors, the free-energy term and the transport one, which determine the crystallization rate of polymers [35,36], as mentioned above. And, these two terms show opposite temperature coefficients. It can be observed that the maximum increases in absolute rate and occurs at progressively lower temperatures as the content in ATBC and MCM-41 is raised. In fact, the coordinates of the maxima, i.e., 1/t0.5 and Tcmax, are represented in Figure 8 as a function of the ATBC content in the material.
It can be noted that for low contents in ATBC without and with MCM-41, the values of Tcmax are rather similar for the two series, but Tcmax is smaller in the PLAM5Ax specimens at high ATBC amounts. And more importantly, the values for 1/t0.5 (the crystallization rate) are significantly higher in the PLAM5Ax series. It follows that there is an important increase in rate when MCM-41 is present, but the increase is much more significant in the composites with both MCM-41 and ATBC. It appears evident again that a synergistic effect of mesoporous MCM-41 silica and plasticizer seems to occur on the nucleation ability of PLA, thus leading to significantly higher crystallization rates. In fact, this rate for PLAM5A20 is analogous to that for efficient nucleants for PLA [37], but now with the advantage that ATBC incorporation decreases significantly the Tg of PLA, what has two important implications: first, the crystallization window of PLA is enlarged, and, second, the lower values of Tg preclude the physical aging at room temperature, with the consequent influence on the dimensional stability as well as on the expected maintenance of properties with time in these PLA samples [29].
As a final aspect from Figure 7b, there is no clear indication of the possible presence of two different maxima in the crystallization rate: one for the disordered α’ modification and another for the ordered α form.
In order to compare the behavior of the different materials, two values of Tc have been chosen for the samples isothermally crystallized from the melt where there are experimental values for all of the samples. The lower isothermal Tc selected corresponds with one that allows formation of the neat disordered α’ modification, while the more ordered α form is developed at the other Tc, the highest one. These temperatures are 85 and 120 °C, respectively, and the results for the crystallization isotherms and for the subsequent heating ramps are shown in Figure 9 and Figure 10, respectively. Regarding the isotherms, Figure 9a indicates that for Tc = 85 °C there is a very important increase of the crystallization rate in materials containing MCM-41 with increasing ATBC amounts. The differences among the samples are, however, much smaller in the case of Tc = 120 °C (Figure 9b). Moreover, it is noteworthy that the isotherm for sample PLAM5 is considerably narrower than the one for PLA.
The subsequent melting curves show rather interesting features. Concerning the curves of materials isothermally crystallized at Tc = 85 °C (Figure 10a), the α’ to α transition occurs for samples PLA and PLAM5 at higher temperatures than for the other specimens. Moreover, this transformation is more clearly noticeable (the apparent heat flow change is higher) in those two samples, while the heat flow change is progressively decreasing in such a way that is rather small (but appreciable) for sample PLAM5A20. It is true, however, that the DSC curves in Figure 10 are the actual curves, not normalized to the real PLA content in the sample. Furthermore, there is continuous decrease of the main peak temperature on passing from PLA to PLAM5A20 (see below the corresponding values), in the melting endotherms.
Regarding the results for Tc = 120 °C, several features are deduced from Figure 10b. Firstly, the two constituents of the now bimodal melting endotherms also decrease in temperature from PLA to PLAM5A20 (see below). Secondly, the recrystallized component (Tm2) is increasing considerably its intensity in relation to Tm1 as the content in ATBC increases and MCM-41 is added. And, finally, the two melting peaks are getting wider as that content is raised. It seems, therefore, that the presence of ATBC leads to a wider distribution in the size of the crystallites.
The results for all the materials and crystallization temperatures regarding the α’ to α transition temperature together with the melting temperatures are represented in Figure 11 and Figure 12, respectively. The temperatures for the transition from the α’ to α modification, displayed in Figure 11, indicate, first, that rather similar values are obtained when crystallizing from the glass or from the melt. Moreover, a small, but appreciable, decrease of those temperatures is observed as the ATBC content increases, extending also continuously the interval of actual crystallization temperatures.
Regarding the melting temperatures (Figure 12), the values of Tm1 for the low Tc’s appear to decrease abnormally, since they are overlapped to the transition from the α’ form to the α polymorph, as commented. For higher Tc’s, however, a continuous increase in the values of Tm1 is observed for all materials, in such a way that they tend to those of Tm2, where the variation with Tc is much smaller. Moreover, and comparing the different samples, the presence of ATBC and MCM-41 leads to significantly smaller values for the two melting temperatures (although this decrease is not as high as the one for Tg, as seen in Figure 4).
The values of the PLA crystallinity developed in the different materials and crystallization conditions have been estimated from the enthalpies involved in the corresponding melting curves and after normalization to the actual PLA content in the sample. For instance, Figure 13a displays the values of the so determined DSC crystallinity as a function of the crystallization temperature in the experiments conducted from the melt. It can be observed that there is a more or less continuous increase of the crystallinity with the ATBC + MCM content in the sample. A more clear picture is deduced from Figure 13b, representing the variation with the ATBC content of the degrees of crystallinity after isothermal crystallization at 85 and 120 °C for the two series of samples. It is evident, firstly, that the presence of ATBC leads to an increase of the crystallinity of around 0.02–0.03 units at the maximum ATBC content compared with the neat PLA. Moreover, there is an additional increase of 0.01–0.02 units more when mesoporous MCM-41 particles are also present. Again, the simultaneous presence of ATBC and MCM-41 involves a beneficial effect, now in the crystallinity values, in these materials.
As a final aspect, some preliminary X-ray diffraction experiments have been performed in samples isothermally crystallized in the DSC and brought to room temperature at the end of the isotherm. Two representative materials (neat PLA and PLAM5A10) have been crystallized from the glass at two temperatures, and the corresponding X-ray diffractograms are shown in Figure 14. It is observed that the diffraction for the sample of PLA cold crystallized at 85 °C leads to a (110/200) diffraction peak centered very close to that reported for the pure α’ modification [33], while this reflection in the specimen isothermally crystallized at 120 °C is close to the characteristic for the α modification. Similar features apply for the (203) diffraction, shown in the inset of Figure 14. Concerning the PLAM5A10 material cold crystallized at 70 and 120 °C, these profiles are close to the α’ and α forms, respectively, but not as close as the PLA samples. Moreover, the PLAM5A10 profiles display a somewhat higher width. The reason for this behavior may be related to the fact that the DSC pans for performing these X-ray measurements were not hermetically close in order to facilitate the specimens removing prior X-ray experiments. That may lead to some uncertainty in the real temperatures inside the sample. Experiments are being planned to study the crystallization of the different samples under real-time variable-temperature X-ray conditions using synchrotron radiation, and thus analyze the possible differences of the crystalline modifications between PLA and the materials with ATBC and MCM-41. Furthermore, a complete evaluation of several mechanical properties is under progress in order to analyze and understand the influence of presence of the selected plasticizer and nucleant agent in the final performance of these, either fully amorphous or isothermally crystallized, plasticized and/or filled materials.

4. Conclusions

Binary blends and dual compounds, the former based on an L-rich PLA and ATBC as plasticizer and the latter on PLA and MCM-41 as nucleating agent, together with ternary composites consisting of PLA, ATBC at several compositions and MCM-41 silica at a given content, were processed by melt extrusion. An appropriate distribution of mesoporous particles was found in the different loaded materials along with the absence of bulky silica domains.
The combined effect of ATBC and MCM-41 silica leads to an increase of the PLA thermal stability, showing the optimized situation for the sample PLAM5A10
Several phase transitions are noticeable by DSC during the first heating process under dynamic conditions in all of the materials: glass transition, cold crystallization and melting processes in order of increasing temperatures. Location of the glass transition moves very remarkably to lower temperatures as the ATBC content increases in the samples. Motion capability of amorphous phase is not, however, affected at a given plasticizer amount by the incorporation of MCM-41 in the ternary systems.
The cold crystallization is also considerably shifted to lower temperatures as the ATBC amount rises, in relation to that shown in the pristine matrix. Thus, PLA is able to crystallize more rapidly boosted by presence of plasticizer. Furthermore, an additional favorable contribution is provided by inclusion of the MCM-41 particles in the ternary composites. Position of the maximum of melting process also takes place at lower temperatures in these either only plasticized or plasticized and loaded systems, this decrease being, however, much smaller than the one for Tg. As a consequence, the crystallization window is considerably enlarged by the presence of ATBC and MCM-41.
A higher crystallization rate is deduced by addition of the plasticizer and/or mesoporous silica under dynamic cooling at 10 °C/min. The neat PLA does not show any crystallization at that cooling rate, contrary to the other materials. Thus, a considerable increase in crystallinity is observed for the PLAM0Ax samples, which is even higher for the PLAM5Ax specimens.
PLA crystallization rate in isothermal experiments is much faster from the glassy state than from the melt, as expected. A maximum rate is found at around 90–105 °C in the experiments conducted from the melt, showing a very important rise of the crystallization rate as the content in ATBC and MCM-41 increases. That maximum in the rate is, however, not observed in the specimens crystallized from the glassy state, since the crystallization is so fast that it begins during the heating before reaching the isothermal crystallization temperature.
Summarizing, a synergistic effect of mesoporous MCM-41 silica and ATBC plasticizer seems to occur on the nucleation ability of PLA, thus leading to considerably higher crystallization rates and broadening the crystallization window of this PLA.

Author Contributions

Conceptualization, E.B.-B., M.L.C. and E.P.; methodology, E.B.-B., R.B.-G., M.L.C. and E.P.; software, E.P.; formal analysis, E.P. and E.B.-B.; investigation, E.B.-B., R.B.-G., T.M.D.-R., M.L.C. and E.P.; resources, E.P. and M.L.C.; writing—original draft preparation, E.P. and M.L.C.; writing—review and editing, E.B.-B., R.B.-G., T.M.D.-R., M.L.C. and E.P.; supervision, M.L.C. and E.P.; project administration, E.P. and M.L.C.; funding acquisition, E.P. and M.L.C. All authors have read and agreed to the published version of the manuscript.

Funding

This research was funded by MCIN/AEI/10.13039/501100011033, grant number PID2020-114930GB-I00. Grant BES-2017-082284 was also funded by MCIN/AEI/10.13039/501100011033 and, thus, TMDR is also thankful for this pre-doctoral funding.

Data Availability Statement

Data are contained within the article.

Acknowledgments

Authors are grateful to the Characterization Service for SEM, TGA, and X-ray Diffraction facilities and to the Service of Physicochemical Characterization of Polymers for DSC experiments, both services at ICTP-CSIC. Authors are also grateful to the personnel of these two Services for the support.

Conflicts of Interest

The authors declare no conflict of interest. The funders had no role in the design of the study; in the collection, analyses, or interpretation of data; in the writing of the manuscript; or in the decision to publish the results.

References

  1. Celebi, H.; Gunes, E. Combined effect of a plasticizer and carvacrol and thymol on the mechanical, thermal, morphological properties of poly(lactic acid). J. Appl. Polym. Sci. 2018, 135, 45895. [Google Scholar] [CrossRef]
  2. Scatto, M.; Salmini, E.; Castiello, S.; Coltelli, M.-B.; Conzatti, L.; Stagnaro, P.; Andreotti, L.; Bronco, S. Plasticized and Nanofilled Poly(lactic acid)-Based Cast Films: Effect of Plasticizer and Organoclay on Processability and Final Properties. J. Appl. Polym. Sci. 2013, 127, 4947–4956. [Google Scholar] [CrossRef]
  3. Loudin, D.; Bizot, H.; Colonna, P. “Antiplasticization” in starch-glycerol films? J. Appl. Polym. Sci. 1997, 63, 1047–1053. [Google Scholar] [CrossRef]
  4. Maiza, M.; Benaniba, M.T.; Massardier-Nageotte, V. Plasticizing effects of citrate esters on properties of poly(lactic acid). J. Polym. Eng. 2016, 36, 371–380. [Google Scholar] [CrossRef]
  5. Ljungberg, N.; Wesslén, B. Preparation and properties of plasticized poly(lactide) films. Biomacromolecules 2005, 6, 1789–1796. [Google Scholar] [CrossRef] [PubMed]
  6. Jacobsen, S.; Fritz, H.G. Plasticizing poly(lactide)-the effect of different plasticizers on the mechanical properties. Polym. Eng. Sci. 1999, 39, 1303–1310. [Google Scholar] [CrossRef]
  7. Hu, Y.; Hu, Y.S.; Topolkaraev, V.; Hiltner, A.; Baer, E. Crystallization and phase separation in blends of high stereoregular poly(lactide) with poly(ethene glycol). Polymer 2003, 44, 5681–5689. [Google Scholar] [CrossRef]
  8. Hu, Y.; Rogunova, M.; Topolkaraev, V.; Hiltner, A.; Baer, E. Ageing of poly(lactide)/poly(ethylene glycol) blends. Part 1.Poly(lactide) with low stereoregularity. Polymer 2003, 44, 5701–5710. [Google Scholar] [CrossRef]
  9. Kulinski, Z.; Piorkowska, E.; Gadzinowska, K.; Stasiak, M. Plasticizarion of poly(lactide) with poly(propylene glycol). Biomacromolecules 2006, 7, 2128–2135. [Google Scholar] [CrossRef]
  10. Focarete, M.L.; Dobrzynski, M.S.; Kowalczuk, M. Miscibility and Mechanical Properties of Blends of (l)-Lactide Copolymers with Atactic Poly(3-hydroxybutyrate). Macromolecules 2002, 35, 8472–8477. [Google Scholar] [CrossRef]
  11. Blümm, E.; Owen, A.J. Miscibility, crystallization and melting of poly (3-hydroxybutyrate)/poly (L-lactide) blends. Polymer 1995, 36, 4077–4081. [Google Scholar] [CrossRef]
  12. Ljungberg, N.; Andersson, T.; Wesslén, B. Film extrusion and film weldability of poly(lactide) plasticized with triacetine and tributyl citrate. J. Appl. Polym. Sci. 2003, 88, 3239–3247. [Google Scholar] [CrossRef]
  13. Ljungberg, N.; Wesslén, B. Tributyl citrate oligomers as plasticizers for poly(lactide): Thermo-mechanical film properties and aging. Polymer 2003, 44, 7679–7688. [Google Scholar] [CrossRef]
  14. Ren, Z.; Dong, L.; Yang, Y. Dynamic mechanical and thermal properties of plasticized poly (lactic acid). J. Appl. Polym. Sci. 2006, 101, 1583–1590. [Google Scholar] [CrossRef]
  15. Saeidlou, S.; Huneault, M.A.; Li, H.; Park, C.B. Poly(lactic acid) crystallization. Prog. Polym. Sci. 2012, 37, 1657–1677. [Google Scholar] [CrossRef]
  16. Petchwattana, N.; Narupai, B. Synergistic effect of talc and titanium dioxide on poly (lactic acid) crystallization: An investigation on the injection molding cycle time reduction. J. Polym. Environ. 2019, 27, 837–846. [Google Scholar] [CrossRef]
  17. Díez-Rodríguez, T.M.; Blázquez-Blázquez, E.; Pérez, E.; Cerrada, M.L. Composites Based on Poly(Lactic Acid) (PLA) and SBA-15: Effect of Mesoporous Silica on Thermal Stability and on Isothermal Crystallization from Either Glass or Molten State. Polymers 2020, 12, 2743. [Google Scholar] [CrossRef]
  18. Díez-Rodríguez, T.M.; Blázquez-Blázquez, E.; Martínez, J.C.; Pérez, E.; Cerrada, M.L. Composites of a PLA with SBA-15 mesoporous silica: Polymorphism and properties after isothermal cold crystallization. Polymer 2022, 241, 124515. [Google Scholar] [CrossRef]
  19. Díez-Rodríguez, T.M.; Blázquez-Blázquez, E.; Barranco-García, R.; Pérez, E.; Cerrada, M.L. Synergistic effect of mesoporous SBA-15 particles and processing strategy for improving PLA crystallization capability in their composites. Macromol. Mater. Eng. 2022, 307, 2200308. [Google Scholar] [CrossRef]
  20. Zhao, D.Y.; Feng, J.L.; Huo, Q.S.; Melosh, N.; Fredrickson, G.H.; Chmelka, B.F.; Stucky, G.D. Triblock copolymer syntheses of mesoporous silica with periodic 50 to 300 angstrom pores. Science 1998, 279, 548–552. [Google Scholar] [CrossRef]
  21. Beck, J.S.; Vartuli, J.C.; Roth, W.J.; Leonowicz, M.E.; Kresge, C.T.; Schmitt, K.D.; Chu, C.T.-W.; Olson, D.H.; Sheppard, E.W.; McCullen, S.B.; et al. A new family of mesoporous molecular sieves prepared with liquid crystal templates. J. Am. Chem. Soc. 1992, 114, 10834. [Google Scholar] [CrossRef]
  22. Díez-Rodríguez, T.M.; Blázquez-Blázquez, E.; Pérez, E.; Cerrada, M.L. Influence of content in D isomer and incorporation of SBA-15 silica on the crystallization ability and mechanical properties in PLLA based materials. Polymers 2022, 14, 1237. [Google Scholar] [CrossRef] [PubMed]
  23. Watanabe, R.; Hagihara, H.; Sato, H. Structure-property relationship of polypropylene-based nanocomposites by dispersing mesoporous silica in functionalized polypropylene containing hydroxyl groups. Part 1: Toughness, stiffness and transparency. Polym. J. 2018, 50, 1057–1065. [Google Scholar] [CrossRef]
  24. Zhang, J.; Tashiro, K.; Tsuji, H.; Domb, A.J. Disorder-to-order phase transition and multiple melting behavior of poly(l-lactide) investigated by simultaneous measurements of WAXD and DSC. Macromolecules 2008, 41, 1352–1357. [Google Scholar] [CrossRef]
  25. Beltrán, F.R.; de la Orden, M.U.; Lorenzo, V.; Pérez, E.; Cerrada, M.L.; Martínez-Urreaga, J. Water-induced structural changes in poly(lactic acid) and PLLA-clay nanocomposites. Polymer 2016, 107, 211–222. [Google Scholar] [CrossRef]
  26. Lee, C.; Pang, M.M.; Koay, S.C.; Choo, H.L.; Tshai, K.Y. Talc filled polylactic-acid biobased polymer composites: Tensile, thermal and morphological properties. SN Appl. Sci. 2020, 2, 354. [Google Scholar] [CrossRef]
  27. Zhou, Q.; Xanthos, M. Nanosize and microsize clay effects on the kinetics of the thermal degradation of polylactides. Polym. Degrad. Stab. 2009, 94, 327–338. [Google Scholar] [CrossRef]
  28. Baiardo, M.; Frisoni, G.; Scandola, M.; Rimelen, M.; Lips, D.; Ruffieux, K.; Wintermantel, E. Thermal and Mechanical Properties of Plasticized Poly(L-lactic acid). J. Appl. Polym. Sci. 2003, 90, 1731–1738. [Google Scholar] [CrossRef]
  29. Struik, L.C.E. Physical Aging in Amorphous Polymers and Other Materials; Elsevier: Amsterdam, The Netherlands, 1978. [Google Scholar]
  30. Barranco-García, R.; Gómez-Elvira, J.M.; Ressia, J.A.; Quinzani, L.; Vallés, E.M.; Pérez, E.; Cerrada, M.L. Variation of Ultimate Properties in Extruded iPP-Mesoporous Silica Nanocomposites by Effect of iPP Confinement within the Mesostructures. Polymers 2020, 12, 70. [Google Scholar] [CrossRef]
  31. Díez-Rodríguez, T.M.; Blázquez-Blázquez, E.; Antunes, N.L.C.; Ribeiro, M.R.; Pérez, E.; Cerrada, M.L. Confinement in Extruded Nanocomposites Based on PCL and Mesoporous Silicas: Effect of Pore Sizes and Their Influence in Ultimate Mechanical Response. J. Compos. Sci. 2021, 5, 321. [Google Scholar] [CrossRef]
  32. Lommerse, J.P.M.; Price, S.L.; Taylor, R. Hydrogen bonding of carbonyl, ether, and ester oxygen atoms with alkanol hydroxyl groups. J. Comput. Chem. 1997, 18, 757–774. [Google Scholar] [CrossRef]
  33. Pan, P.; Kai, W.; Zhu, B.; Dong, T.; Inoue, Y. Polymorphous Crystallization and Multiple Melting Behavior of Poly(L-lactide): Molecular Weight Dependence. Macromolecules 2007, 40, 6898–6905. [Google Scholar] [CrossRef]
  34. Kawai, T.; Rahman, N.; Matsuba, G.; Nishida, K.; Kanaya, T.; Nakano, M.; Okamoto, H.; Kawada, J.; Usuki, A.; Honma, N.; et al. Crystallization and melting behavior of poly (L-lactic acid). Macromolecules 2007, 40, 9463–9469. [Google Scholar] [CrossRef]
  35. Mandelkern, L. Crystallization of Polymers; McGraw-Hill: New York, NY, USA, 1964. [Google Scholar]
  36. Hoffman, J.D.; Davis, G.T.; Lauritzen, J.I. Treatise of Solid State Chemistry; Plenum: New York, NY, USA, 1976. [Google Scholar]
  37. Dobreva, T.; Pereña, J.M.; Pérez, E.; Benavente, R.; García, M. Crystallization behavior of poly(L-lactic acid) based eco-composites prepared with kenaf fiber and rice straw. Polym. Composite 2010, 31, 974–984. [Google Scholar] [CrossRef]
Scheme 1. Chemical structure of the ATBC plasticizer.
Scheme 1. Chemical structure of the ATBC plasticizer.
Polymers 15 00624 sch001
Figure 1. (a) TEM micrographs of MCM-41. (b) SEM fracture picture for the PLAM5 composite.
Figure 1. (a) TEM micrographs of MCM-41. (b) SEM fracture picture for the PLAM5 composite.
Polymers 15 00624 g001
Figure 2. TGA curves under air atmosphere for the different materials analyzed.
Figure 2. TGA curves under air atmosphere for the different materials analyzed.
Polymers 15 00624 g002
Figure 3. DSC first melting curves (endo up) at 10 °C/min of the different compression-molded materials. The vertical lines are the corresponding values reported in reference [22], showing the temperature intervals where the pure α’ or α modifications are expected to be observed (or the interval where both forms coexist) in this PLA under analysis.
Figure 3. DSC first melting curves (endo up) at 10 °C/min of the different compression-molded materials. The vertical lines are the corresponding values reported in reference [22], showing the temperature intervals where the pure α’ or α modifications are expected to be observed (or the interval where both forms coexist) in this PLA under analysis.
Polymers 15 00624 g003
Figure 4. Variation with the ATBC content for the two series of samples of: (a) the glass transition temperature; (b) the cold crystallization; (c) the second melting temperature; (d) and the difference between the second melting temperature and the glass transition. All of these magnitudes have been determined in the first heating run of the samples.
Figure 4. Variation with the ATBC content for the two series of samples of: (a) the glass transition temperature; (b) the cold crystallization; (c) the second melting temperature; (d) and the difference between the second melting temperature and the glass transition. All of these magnitudes have been determined in the first heating run of the samples.
Polymers 15 00624 g004
Figure 5. DSC cooling curves (exo down) at 10 °C/min of: (a) the different samples and (b) DSC crystallinity on cooling at that rate as function of the ATBC content in the sample.
Figure 5. DSC cooling curves (exo down) at 10 °C/min of: (a) the different samples and (b) DSC crystallinity on cooling at that rate as function of the ATBC content in the sample.
Polymers 15 00624 g005
Figure 6. (a) Crystallization isotherms (exo down) for sample PLAM5A10, either from the glassy state or from the melt, and (b) subsequent heating curves (endo up), at 10 °C/min.
Figure 6. (a) Crystallization isotherms (exo down) for sample PLAM5A10, either from the glassy state or from the melt, and (b) subsequent heating curves (endo up), at 10 °C/min.
Polymers 15 00624 g006
Figure 7. Variation with Tc of the inverse of the half crystallization time in the isotherms for the different samples, for isothermal crystallization: (a) from the glass and (b) from the melt. Note that the Y scale in the data from melt has been amplified 5 times.
Figure 7. Variation with Tc of the inverse of the half crystallization time in the isotherms for the different samples, for isothermal crystallization: (a) from the glass and (b) from the melt. Note that the Y scale in the data from melt has been amplified 5 times.
Polymers 15 00624 g007
Figure 8. Dependence on the ATBC content in the materials of the maximum rate coordinates in the isotherms from the melt for the two series of samples: (a) inverse half crystallization time and (b) crystallization temperature at the maximum.
Figure 8. Dependence on the ATBC content in the materials of the maximum rate coordinates in the isotherms from the melt for the two series of samples: (a) inverse half crystallization time and (b) crystallization temperature at the maximum.
Polymers 15 00624 g008
Figure 9. Crystallization isotherms (exo down) from the melt for the different samples at (a) Tc = 85 °C, and (b) 120 °C.
Figure 9. Crystallization isotherms (exo down) from the melt for the different samples at (a) Tc = 85 °C, and (b) 120 °C.
Polymers 15 00624 g009
Figure 10. DSC melting curves (endo up) at 10 °C/min for the different samples after crystallization from the melt at (a) Tc = 85 °C, and (b) 120 °C.
Figure 10. DSC melting curves (endo up) at 10 °C/min for the different samples after crystallization from the melt at (a) Tc = 85 °C, and (b) 120 °C.
Polymers 15 00624 g010
Figure 11. Variation with Tc of the temperature for transition from the α’ to α for the different samples, when crystallizing (a) from the glass, and (b) from the melt.
Figure 11. Variation with Tc of the temperature for transition from the α’ to α for the different samples, when crystallizing (a) from the glass, and (b) from the melt.
Polymers 15 00624 g011
Figure 12. Variation with Tc of the melting temperatures for the different samples, when crystallizing from the melt: Tm1 (circles) and Tm2 (triangles).
Figure 12. Variation with Tc of the melting temperatures for the different samples, when crystallizing from the melt: Tm1 (circles) and Tm2 (triangles).
Polymers 15 00624 g012
Figure 13. Variation of the DSC crystallinity, normalized to the actual PLA content, for the experiments conducted from the melt, as a function of Tc for the different samples (a), and of the ATBC content after isothermal crystallization at 85 and 120 °C for the two series of samples (b).
Figure 13. Variation of the DSC crystallinity, normalized to the actual PLA content, for the experiments conducted from the melt, as a function of Tc for the different samples (a), and of the ATBC content after isothermal crystallization at 85 and 120 °C for the two series of samples (b).
Polymers 15 00624 g013
Figure 14. Room-temperature X-ray diffractograms of different samples after cold crystallization from the amorphous glassy state at the indicated temperatures, showing the angular interval of the main (110/200) diffraction and that for the (203) reflection one in the inset. The vertical lines are the corresponding values reported in ref. [33] for the pure α’ and α modifications.
Figure 14. Room-temperature X-ray diffractograms of different samples after cold crystallization from the amorphous glassy state at the indicated temperatures, showing the angular interval of the main (110/200) diffraction and that for the (203) reflection one in the inset. The vertical lines are the corresponding values reported in ref. [33] for the pure α’ and α modifications.
Polymers 15 00624 g014
Table 1. Specimen labels and nominal composition for the different materials under study.
Table 1. Specimen labels and nominal composition for the different materials under study.
SampleNominal Material Composition (wt.%)
PLAMCM-41ATBC
PLA10000
PLAM0A59505
PLAM0A1090010
PLAM0A2080020
PLAM59550
PLAM5A59055
PLAM5A1085510
PLAM5A2075520
Table 2. Results derived from TGA experiments performed under air: temperature for 1% degradation (T1%), the maximum degradation temperature (TmaxPLA) and the actual material content based on TGA analysis for the different constituents: PLA, ATBC plasticizer and MCM-41 silica.
Table 2. Results derived from TGA experiments performed under air: temperature for 1% degradation (T1%), the maximum degradation temperature (TmaxPLA) and the actual material content based on TGA analysis for the different constituents: PLA, ATBC plasticizer and MCM-41 silica.
SpecimenT1% 
(°C)
TmaxPLA
(°C)
TGA Content (wt.%)
PLAMCM-41ATBC
PLA221.0315.510000
PLAM0A5159.0338.09406
PLAM0A10154.0341.59109
PLAM0A20148.0341.582018
PLAM5260.0358.595.34.70
PLAM5A5161.0337.090.13.96
PLAM5A10149.0358.083.75.311
PLAM5A20145.0344.077.24.818
Disclaimer/Publisher’s Note: The statements, opinions and data contained in all publications are solely those of the individual author(s) and contributor(s) and not of MDPI and/or the editor(s). MDPI and/or the editor(s) disclaim responsibility for any injury to people or property resulting from any ideas, methods, instructions or products referred to in the content.

Share and Cite

MDPI and ACS Style

Blázquez-Blázquez, E.; Barranco-García, R.; Díez-Rodríguez, T.M.; Cerrada, M.L.; Pérez, E. Combined Effects from Dual Incorporation of ATBC as Plasticizer and Mesoporous MCM-41 as Nucleating Agent on the PLA Isothermal Crystallization in Environmentally-Friendly Ternary Composite Systems. Polymers 2023, 15, 624. https://doi.org/10.3390/polym15030624

AMA Style

Blázquez-Blázquez E, Barranco-García R, Díez-Rodríguez TM, Cerrada ML, Pérez E. Combined Effects from Dual Incorporation of ATBC as Plasticizer and Mesoporous MCM-41 as Nucleating Agent on the PLA Isothermal Crystallization in Environmentally-Friendly Ternary Composite Systems. Polymers. 2023; 15(3):624. https://doi.org/10.3390/polym15030624

Chicago/Turabian Style

Blázquez-Blázquez, Enrique, Rosa Barranco-García, Tamara M. Díez-Rodríguez, María L. Cerrada, and Ernesto Pérez. 2023. "Combined Effects from Dual Incorporation of ATBC as Plasticizer and Mesoporous MCM-41 as Nucleating Agent on the PLA Isothermal Crystallization in Environmentally-Friendly Ternary Composite Systems" Polymers 15, no. 3: 624. https://doi.org/10.3390/polym15030624

APA Style

Blázquez-Blázquez, E., Barranco-García, R., Díez-Rodríguez, T. M., Cerrada, M. L., & Pérez, E. (2023). Combined Effects from Dual Incorporation of ATBC as Plasticizer and Mesoporous MCM-41 as Nucleating Agent on the PLA Isothermal Crystallization in Environmentally-Friendly Ternary Composite Systems. Polymers, 15(3), 624. https://doi.org/10.3390/polym15030624

Note that from the first issue of 2016, this journal uses article numbers instead of page numbers. See further details here.

Article Metrics

Back to TopTop