Enzyme-Catalyzed Polymerization of Kraft Lignin from Eucalyptus globulus: Comparison of Bacterial and Fungal Laccases Efficacy
Abstract
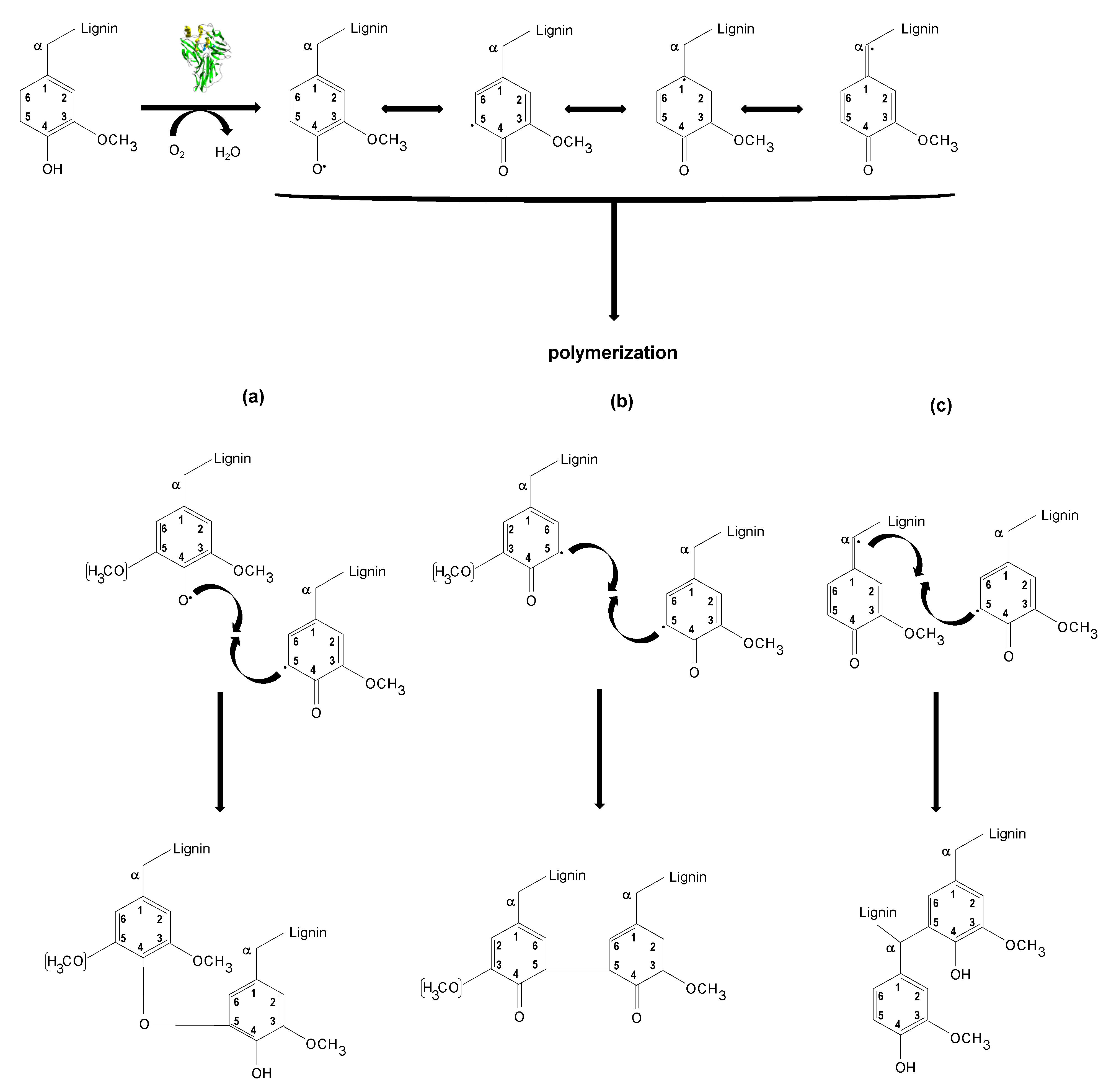
1. Introduction
2. Materials and Methods
2.1. Raw Material, Enzymes and Chemicals
2.2. Kraft Lignin Enzymatic Polymerization
2.3. Enzyme-Treated Lignins Characterization
2.3.1. Total Phenolic Content
2.3.2. Size Exclusion Chromatography (SEC)
2.3.3. Fourier-Transform Infrared (FTIR) and Ultraviolet–Visible (UV–Vis) Spectroscopy
2.3.4. Nuclear Magnetic Resonance Spectroscopy (NMR)
2.3.5. Antioxidant Activity of Kraft Enzyme-Treated Lignins
3. Results and Discussion
3.1. Effect of Laccase Dosage and Reaction Time on Total Phenolic Content
3.2. Effect of Laccase Dosage and Reaction Time on Molecular Weight
3.3. Antioxidant Activity
3.4. FTIR Characterization
3.5. NMR Characterization
4. Conclusions
Supplementary Materials
Author Contributions
Funding
Institutional Review Board Statement
Informed Consent Statement
Data Availability Statement
Acknowledgments
Conflicts of Interest
References
- Ralph, J.; Lapierre, C.; Boerjan, W. Lignin structure and its engineering. Curr. Opin. Biotechnol. 2019, 56, 240–249. [Google Scholar] [CrossRef] [PubMed]
- Tobimatsu, Y.; Schuetz, M. Lignin polymerization: How do plants manage the chemistry so well? Curr. Opin. Biotechnol. 2019, 56, 75–81. [Google Scholar] [CrossRef] [PubMed]
- Lourenço, A.; Pereira, H. Compositional Variability of Lignin in Biomass. In Lignin—Trends and Applications; InTech: Rang-Du-Fliers, France, 2018. [Google Scholar]
- Sun, R. Lignin Source and Structural Characterization. ChemSusChem 2020, 13, 4385–4393. [Google Scholar] [CrossRef] [PubMed]
- Rodrigues, A.E.; de Oliveira Rodrigues Pinto, P.C.; Barreiro, M.F.; Esteves da Costa, C.A.; Ferreira da Mota, M.I.; Fernandes, I. An Integrated Approach for Added-Value Products from Lignocellulosic Biorefineries; Springer International Publishing: Cham, Switzerland, 2018; ISBN 978-3-319-99312-6. [Google Scholar]
- Liao, J.J.; Latif, N.H.A.; Trache, D.; Brosse, N.; Hussin, M.H. Current advancement on the isolation, characterization and application of lignin. Int. J. Biol. Macromol. 2020, 162, 985–1024. [Google Scholar] [CrossRef] [PubMed]
- Sethupathy, S.; Murillo Morales, G.; Gao, L.; Wang, H.; Yang, B.; Jiang, J.; Sun, J.; Zhu, D. Lignin valorization: Status, challenges and opportunities. Bioresour. Technol. 2022, 347, 126696. [Google Scholar] [CrossRef]
- Glasser, W.G. About Making Lignin Great Again—Some Lessons from the Past. Front. Chem. 2019, 7, 565. [Google Scholar] [CrossRef]
- Munk, L.; Sitarz, A.K.; Kalyani, D.C.; Mikkelsen, J.D.; Meyer, A.S. Can laccases catalyze bond cleavage in lignin? Biotechnol. Adv. 2015, 33, 13–24. [Google Scholar] [CrossRef]
- Janusz, G.; Pawlik, A.; Świderska-Burek, U.; Polak, J.; Sulej, J.; Jarosz-Wilkołazka, A.; Paszczyński, A. Laccase Properties, Physiological Functions, and Evolution. Int. J. Mol. Sci. 2020, 21, 966. [Google Scholar] [CrossRef] [PubMed]
- Mate, D.M.; Alcalde, M. Laccase: A multi-purpose biocatalyst at the forefront of biotechnology. Microb. Biotechnol. 2017, 10, 1457–1467. [Google Scholar] [CrossRef]
- Khatami, S.H.; Vakili, O.; Movahedpour, A.; Ghesmati, Z.; Ghasemi, H.; Taheri-Anganeh, M. Laccase: Various types and applications. Biotechnol. Appl. Biochem. 2022, 69, 2658–2672. [Google Scholar] [CrossRef]
- Moreno, A.D.; Ibarra, D.; Eugenio, M.E.; Tomás-Pejó, E. Laccases as versatile enzymes: From industrial uses to novel applications. J. Chem. Technol. Biotechnol. 2020, 95, 481–494. [Google Scholar] [CrossRef]
- Agustin, M.B.; Carvalho, D.M.; Lahtinen, M.H.; Hilden, K.; Lundell, T.; Mikkonen, K.S. Laccase as a Tool in Building Advanced Lignin-Based Materials. ChemSusChem 2021, 14, 4615–4635. [Google Scholar] [CrossRef] [PubMed]
- Gouveia, S.; Otero, L.; Fernández-Costas, C.; Filgueira, D.; Sanromán, Á.; Moldes, D. Green Binder Based on Enzymatically Polymerized Eucalypt Kraft Lignin for Fiberboard Manufacturing: A Preliminary Study. Polymers 2018, 10, 642. [Google Scholar] [CrossRef]
- Wang, L.; Tan, L.; Hu, L.; Wang, X.; Koppolu, R.; Tirri, T.; van Bochove, B.; Ihalainen, P.; Seleenmary Sobhanadhas, L.S.; Seppälä, J.V.; et al. On Laccase-Catalyzed Polymerization of Biorefinery Lignin Fractions and Alignment of Lignin Nanoparticles on the Nanocellulose Surface via One-Pot Water-Phase Synthesis. ACS Sustain. Chem. Eng. 2021, 9, 8770–8782. [Google Scholar] [CrossRef]
- Legras-Lecarpentier, D.; Stadler, K.; Weiss, R.; Guebitz, G.M.; Nyanhongo, G.S. Enzymatic Synthesis of 100% Lignin Biobased Granules as Fertilizer Storage and Controlled Slow Release Systems. ACS Sustain. Chem. Eng. 2019, 7, 12621–12628. [Google Scholar] [CrossRef]
- Weiss, R.; Ghitti, E.; Sumetzberger-Hasinger, M.; Guebitz, G.M.; Nyanhongo, G.S. Lignin-Based Pesticide Delivery System. ACS Omega 2020, 5, 4322–4329. [Google Scholar] [CrossRef]
- Gillgren, T.; Hedenström, M.; Jönsson, L.J. Comparison of laccase-catalyzed cross-linking of organosolv lignin and lignosulfonates. Int. J. Biol. Macromol. 2017, 105, 438–446. [Google Scholar] [CrossRef]
- Gouveia, S.; Fernández-Costas, C.; Sanromán, M.A.; Moldes, D. Enzymatic polymerisation and effect of fractionation of dissolved lignin from Eucalyptus globulus Kraft liquor. Bioresour. Technol. 2012, 121, 131–138. [Google Scholar] [CrossRef]
- Gouveia, S.; Fernández-Costas, C.; Sanromán, M.A.; Moldes, D. Polymerisation of Kraft lignin from black liquors by laccase from Myceliophthora thermophila: Effect of operational conditions and black liquor origin. Bioresour. Technol. 2013, 131, 288–294. [Google Scholar] [CrossRef]
- Mattinen, M.-L.; Tapani, S.; Gosselink, R.; Argyropoulos, D.; Evtuguin, D.; Suurnäkki, A.; de Jong, E.; Tamminen, T. Polymerization of different lignins by laccase. Bioresources 2008, 32, 549–555. [Google Scholar]
- Nugroho Prasetyo, E.; Kudanga, T.; Østergaard, L.; Rencoret, J.; Gutiérrez, A.; del Río, J.C.; Ignacio Santos, J.; Nieto, L.; Jiménez-Barbero, J.; Martínez, A.T. Polymerization of lignosulfonates by the laccase-HBT (1-hydroxybenzotriazole) system improves dispersibility. Bioresour. Technol. 2010, 101, 5054–5062. [Google Scholar] [CrossRef] [PubMed]
- Braunschmid, V.; Binder, K.; Fuerst, S.; Subagia, R.; Danner, C.; Weber, H.; Schwaiger, N.; Nyanhongo, G.S.; Ribitsch, D.; Guebitz, G.M. Comparison of a fungal and a bacterial laccase for lignosulfonate polymerization. Process Biochem. 2021, 109, 207–213. [Google Scholar] [CrossRef]
- Mayr, S.A.; Subagia, R.; Weiss, R.; Schwaiger, N.; Weber, H.K.; Leitner, J.; Ribitsch, D.; Nyanhongo, G.S.; Guebitz, G.M. Oxidation of Various Kraft Lignins with a Bacterial Laccase Enzyme. Int. J. Mol. Sci. 2021, 22, 13161. [Google Scholar] [CrossRef]
- Molina-Guijarro, J.M.; Pérez, J.; Muñoz-Dorado, J.; Guillén, F.; Moya, R.; Hernández, M.; Arias, M.E. Detoxification of azo dyes by a novel pH-versatile, salt-resistant laccase from Streptomyces ipomoea. Int. Microbiol. 2009, 12, 13–21. [Google Scholar]
- Ibarra, D.; Romero, J.; Martínez, M.J.; Martínez, A.T.; Camarero, S. Exploring the enzymatic parameters for optimal delignification of eucalypt pulp by laccase-mediator. Enzyme Microb. Technol. 2006, 39, 1319–1327. [Google Scholar] [CrossRef]
- Antúnez-Argüelles, E.; Herrera-Bulnes, M.; Torres-Ariño, A.; Mirón-Enríquez, C.; Soriano-García, M.; Robles-Gómez, E. Enzymatic-assisted polymerization of the lignin obtained from a macroalgae consortium, using an extracellular laccase-like enzyme (Tg-laccase) from Tetraselmis gracilis. J. Environ. Sci. Health Part A 2020, 55, 739–747. [Google Scholar] [CrossRef]
- Pardo, I.; Rodríguez-Escribano, D.; Aza, P.; de Salas, F.; Martínez, A.T.; Camarero, S. A highly stable laccase obtained by swapping the second cupredoxin domain. Sci. Rep. 2018, 8, 15669. [Google Scholar] [CrossRef] [PubMed]
- Jiménez-López, L.; Martín-Sampedro, R.; Eugenio, M.E.; Santos, J.I.; Sixto, H.; Cañellas, I.; Ibarra, D. Co-production of soluble sugars and lignin from short rotation white poplar and black locust crops. Wood Sci. Technol. 2020, 54, 1617–1643. [Google Scholar] [CrossRef]
- Martín-Sampedro, R.; Santos, J.I.; Eugenio, M.E.; Wicklein, B.; Jiménez-López, L.; Ibarra, D. Chemical and thermal analysis of lignin streams from Robinia pseudoacacia L. generated during organosolv and acid hydrolysis pre-treatments and subsequent enzymatic hydrolysis. Int. J. Biol. Macromol. 2019, 140, 311–322. [Google Scholar] [CrossRef]
- Eugenio, M.E.; Martín-Sampedro, R.; Santos, J.I.; Wicklein, B.; Martín, J.A.; Ibarra, D. Properties versus application requirements of solubilized lignins from an elm clone during different pre-treatments. Int. J. Biol. Macromol. 2021, 181, 99–111. [Google Scholar] [CrossRef]
- Re, R.; Pellegrini, N.; Proteggente, A.; Pannala, A.; Yang, M.; Rice-Evans, C. Antioxidant activity applying an improved ABTS radical cation decolorization assay. Free Radic. Biol. Med. 1999, 26, 1231–1237. [Google Scholar] [CrossRef] [PubMed]
- Ratanasumarn, N.; Chitprasert, P. Cosmetic potential of lignin extracts from alkaline-treated sugarcane bagasse: Optimization of extraction conditions using response surface methodology. Int. J. Biol. Macromol. 2020, 153, 138–145. [Google Scholar] [CrossRef] [PubMed]
- Huber, D.; Pellis, A.; Daxbacher, A.; Nyanhongo, G.; Guebitz, G. Polymerization of Various Lignins via Immobilized Myceliophthora thermophila Laccase (MtL). Polymers 2016, 8, 280. [Google Scholar] [CrossRef] [PubMed]
- Domínguez, G.; Blánquez, A.; Borrero-López, A.M.; Valencia, C.; Eugenio, M.E.; Arias, M.E.; Rodríguez, J.; Hernández, M. Eco-Friendly Oleogels from Functionalized Kraft Lignin with Laccase SilA from Streptomyces ipomoeae: An Opportunity to Replace Commercial Lubricants. ACS Sustain. Chem. Eng. 2021, 9, 4611–4616. [Google Scholar] [CrossRef]
- De La Torre, M.; Martín-Sampedro, R.; Fillat, Ú.; Eugenio, M.E.; Blánquez, A.; Hernández, M.; Arias, M.E.; Ibarra, D. Comparison of the efficiency of bacterial and fungal laccases in delignification and detoxification of steam-pretreated lignocellulosic biomass for bioethanol production. J. Ind. Microb. Biotechnol. 2017, 44, 1561–1573. [Google Scholar] [CrossRef] [PubMed]
- Fillat, Ú.; Ibarra, D.; Eugenio, M.E.; Moreno, A.D.; Tomás-Pejó, E.; Martín-Sampedro, R. Laccases as a Potential Tool for the Efficient Conversion of Lignocellulosic Biomass: A Review. Fermentation 2017, 3, 17. [Google Scholar] [CrossRef]
- Areskogh, D.; Li, J.; Gellerstedt, G.; Henriksson, G. Investigation of the Molecular Weight Increase of Commercial Lignosulfonates by Laccase Catalysis. Biomacromolecules 2010, 11, 904–910. [Google Scholar] [CrossRef]
- Espinoza-Acosta, J.L.; Torres-Chávez, P.I.; Ramírez-Wong, B.; López-Saiz, C.M.; Montaño-Leyva, B. Antioxidant, antimicrobial, and antimutagenic properties of technical lignins and their applications. BioResources 2016, 11, 5452–5481. [Google Scholar] [CrossRef]
- Fodil Cherif, M.; Trache, D.; Brosse, N.; Benaliouche, F.; Tarchoun, A.F. Comparison of the Physicochemical Properties and Thermal Stability of Organosolv and Kraft Lignins from Hardwood and Softwood Biomass for Their Potential Valorization. Waste Biomass Valoriz. 2020, 11, 6541–6553. [Google Scholar] [CrossRef]
- García-Fuentevilla, L.; Rubio-Valle, J.F.; Martín-Sampedro, R.; Valencia, C.; Eugenio, M.E.; Ibarra, D. Different Kraft lignin sources for electrospun nanostructures production: Influence of chemical structure and composition. Int. J. Biol. Macromol. 2022, 214, 554–567. [Google Scholar] [CrossRef]
- Areskogh, D.; Li, J.; Gellerstedt, G.; Henriksson, G. Structural modification of commercial lignosulphonates through laccase catalysis and ozonolysis. Ind. Crops Prod. 2010, 32, 458–466. [Google Scholar] [CrossRef]
- Wang, J.; Zhao, C.; Zhang, T.; Yang, L.; Chen, H.; Yue, F. In-Depth Identification of Phenolics Fractionated from Eucalyptus Kraft Lignin. Adv. Sustain. Syst. 2022, 6, 2100406. [Google Scholar] [CrossRef]
- Giummarella, N.; Lindén, P.A.; Areskogh, D.; Lawoko, M. Fractional Profiling of Kraft Lignin Structure: Unravelling Insights on Lignin Reaction Mechanisms. ACS Sustain. Chem. Eng. 2020, 8, 1112–1120. [Google Scholar] [CrossRef]
- Giummarella, N.; Pylypchuk, I.V.; Sevastyanova, O.; Lawoko, M. New Structures in Eucalyptus Kraft Lignin with Complex Mechanistic Implications. ACS Sustain. Chem. Eng. 2020, 8, 10983–10994. [Google Scholar] [CrossRef]
- Lancefield, C.S.; Wienk, H.L.J.; Boelens, R.; Weckhuysen, B.M.; Bruijnincx, P.C.A. Identification of a diagnostic structural motif reveals a new reaction intermediate and condensation pathway in kraft lignin formation. Chem. Sci. 2018, 9, 6348–6360. [Google Scholar] [CrossRef]
- Jardim, J.M.; Hart, P.W.; Lucia, L.; Jameel, H. Insights into the Potential of Hardwood Kraft Lignin to Be a Green Platform Material for Emergence of the Biorefinery. Polymers 2020, 12, 1795. [Google Scholar] [CrossRef]
- Zhao, C.; Hu, Z.; Shi, L.; Wang, C.; Yue, F.; Li, S.; Zhang, H.; Lu, F. Profiling of the formation of lignin-derived monomers and dimers from Eucalyptus alkali lignin. Green Chem. 2020, 22, 7366–7375. [Google Scholar] [CrossRef]
- Zhao, C.; Huang, J.; Yang, L.; Yue, F.; Lu, F. Revealing Structural Differences between Alkaline and Kraft Lignins by HSQC NMR. Ind. Eng. Chem. Res. 2019, 58, 5707–5714. [Google Scholar] [CrossRef]
- Suota, M.J.; da Silva, T.A.; Zawadzki, S.F.; Sassaki, G.L.; Hansel, F.A.; Paleologou, M.; Pereira, L.R. Chemical and structural characterization of hardwood and softwood LignoForce™ lignins. Ind. Crops Prod. 2021, 173, 114138. [Google Scholar] [CrossRef]
- Santos, J.I.; Nieto, L.; Jiménez-Barbero, J.; Rencoret, J.; Suárez, A.G.; del Río Andrade, J.C.; Martínez, Á.T. NMR study on enzymatic polymerization of spruce lignosulfonate. In Proceedings of the Oxidative Enzymes as Sustainable Industrial Biocatalyst, Santiago de Compostela, Spain, 14–15 September 2010. [Google Scholar]
- Magina, S.; Barros-Timmons, A.; Evtuguin, D.V. Laccase-catalyzed oxidative modification of lignosulfonates from acidic sulfite pulping of eucalyptus wood. Holzforschung 2020, 74, 589–596. [Google Scholar] [CrossRef]









| Coded Levels | Experimental Values | |||
|---|---|---|---|---|
| Run | Reaction Time | Laccase Dosage | Reaction Time (Min) | Laccase Dosage (IU/g) |
| 1 | −1 | −1 | 90.0 | 40.0 |
| 2 | 1 | −1 | 390.0 | 40.0 |
| 3 | −1 | 1 | 90.0 | 160.0 |
| 4 | 1 | 1 | 390.0 | 160.0 |
| 5 | −1.414 | 0 | 27.87 | 100.0 |
| 6 | 1.414 | 0 | 452.13 | 100.0 |
| 7 | 0 | −1.414 | 240.0 | 15.15 |
| 8 | 0 | 1.414 | 240.0 | 184.85 |
| 9 | 0 | 0 | 240.0 | 100.0 |
| 10 | 0 | 0 | 240.0 | 100.0 |
| 11 | 0 | 0 | 240.0 | 100.0 |
| 12 | 0 | 0 | 240.0 | 100.0 |
| 13 | 0 | 0 | 240.0 | 100.0 |
Disclaimer/Publisher’s Note: The statements, opinions and data contained in all publications are solely those of the individual author(s) and contributor(s) and not of MDPI and/or the editor(s). MDPI and/or the editor(s) disclaim responsibility for any injury to people or property resulting from any ideas, methods, instructions or products referred to in the content. |
© 2023 by the authors. Licensee MDPI, Basel, Switzerland. This article is an open access article distributed under the terms and conditions of the Creative Commons Attribution (CC BY) license (https://creativecommons.org/licenses/by/4.0/).
Share and Cite
García-Fuentevilla, L.; Domínguez, G.; Martín-Sampedro, R.; Hernández, M.; Arias, M.E.; Santos, J.I.; Ibarra, D.; Eugenio, M.E. Enzyme-Catalyzed Polymerization of Kraft Lignin from Eucalyptus globulus: Comparison of Bacterial and Fungal Laccases Efficacy. Polymers 2023, 15, 513. https://doi.org/10.3390/polym15030513
García-Fuentevilla L, Domínguez G, Martín-Sampedro R, Hernández M, Arias ME, Santos JI, Ibarra D, Eugenio ME. Enzyme-Catalyzed Polymerization of Kraft Lignin from Eucalyptus globulus: Comparison of Bacterial and Fungal Laccases Efficacy. Polymers. 2023; 15(3):513. https://doi.org/10.3390/polym15030513
Chicago/Turabian StyleGarcía-Fuentevilla, Luisa, Gabriela Domínguez, Raquel Martín-Sampedro, Manuel Hernández, María E. Arias, José I. Santos, David Ibarra, and María E. Eugenio. 2023. "Enzyme-Catalyzed Polymerization of Kraft Lignin from Eucalyptus globulus: Comparison of Bacterial and Fungal Laccases Efficacy" Polymers 15, no. 3: 513. https://doi.org/10.3390/polym15030513
APA StyleGarcía-Fuentevilla, L., Domínguez, G., Martín-Sampedro, R., Hernández, M., Arias, M. E., Santos, J. I., Ibarra, D., & Eugenio, M. E. (2023). Enzyme-Catalyzed Polymerization of Kraft Lignin from Eucalyptus globulus: Comparison of Bacterial and Fungal Laccases Efficacy. Polymers, 15(3), 513. https://doi.org/10.3390/polym15030513

