Titanium Dioxide/Chromium Oxide/Graphene Oxide Doped into Cellulose Acetate for Medical Applications
Abstract
1. Introduction
2. Materials and Methods
2.1. Materials
2.2. Preparation of Scaffold with Different Contents of Oxides
2.3. Characterizations
2.3.1. XRD Measurements
2.3.2. FTIR Measurements
2.3.3. Examination of Films Morphology
2.3.4. Thermogravimetric Analysis
2.3.5. UV Measurements
2.3.6. Contact Angle
2.3.7. In Vitro Cell Viability Tests
3. Results and Discussion
3.1. Structural Investigation
3.2. Morphological Investigation
3.3. Wettability Study via Contact Angle Detection
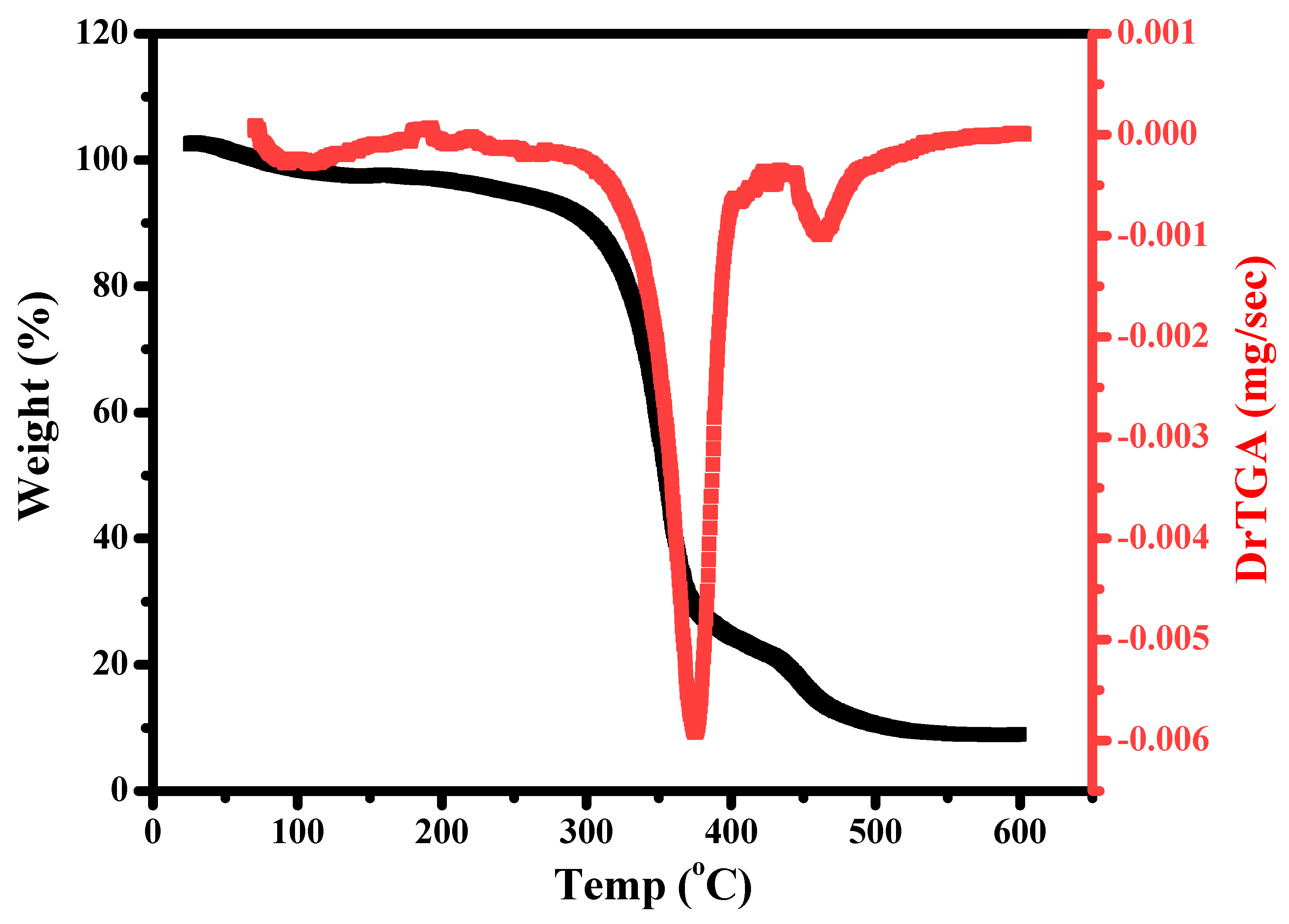
3.4. Thermal Study Using a Thermo-Gravimetric Analysis Technique
3.5. Optical Study
3.6. Cell Viability (Normal)
4. Conclusions
Author Contributions
Funding
Institutional Review Board Statement
Informed Consent Statement
Data Availability Statement
Acknowledgments
Conflicts of Interest
References
- Alharthi, A.F.; Gouda, M.; Khalaf, M.M.; Elmushyakhi, A.; Abou Taleb, M.F.; Abd El-Lateef, H.M. Cellulose-Acetate-Based Films Modified with Ag2O and ZnS as Nanocomposites for Highly Controlling Biological Behavior for Wound Healing Applications. Materials 2023, 16, 777. [Google Scholar] [CrossRef]
- Kołodziej, A.; Długoń, E.; Świętek, M.; Ziąbka, M.; Dawiec, E.; Gubernat, M.; Michalec, M.; Wesełucha-Birczyńska, A. A Raman Spectroscopic Analysis of Polymer Membranes with Graphene Oxide and Reduced Graphene Oxide. J. Compos. Sci. 2021, 5, 20. [Google Scholar] [CrossRef]
- Murphy, C.A.; Costa, J.B.; Silva-Correia, J.; Oliveira, J.M.; Reis, R.L.; Collins, M.N. Bi-opolymers and polymers in the search of alternative treatments for meniscal regeneration: State of the art and future trends. Appl. Mater. Today 2018, 12, 51–71. [Google Scholar] [CrossRef]
- Kucharzewski, M.; Rojczyk, E.; Wilemska-Kucharzewska, K.; Wilk, R.; Hudecki, J.; Los, M.J. Novel trends in application of stem cells in skin wound healing. Eur. J. Pharmacol. 2019, 843, 307–315. [Google Scholar] [CrossRef]
- Abdelhamid, H.N.; Mathew, A.P. Cellulose-Based Nanomaterials Advance Biomedicine: A Review. Int. J. Mol. Sci. 2022, 23, 5405. [Google Scholar] [CrossRef]
- Ambekar, R.S.; Kandasubramanian, B. Advancements in nanofibers for wound dressing: A review. Eur. Polym. J. 2019, 117, 304–336. [Google Scholar] [CrossRef]
- Alavi, M.; Karimi, N. Ultrasound assisted-phytofabricated Fe3O4 NPs with antioxidant properties and antibacterial effects on growth, biofilm formation, and spreading ability of multidrug resistant bacteria. Artif. Cells Nanomed. Biotechnol. 2019, 47, 2405–2423. [Google Scholar] [CrossRef]
- Pinto, C.E.; da Silva, D.D.; Gomes, A.L.A.; Leite, V.; Fialho, E.M.A.R.; de Novais, R.F.; Tronto, J.; Pinto, F.G. Film based on magnesium impregnated biochar/cellulose acetate for phosphorus adsorption from aqueous solution. RSC Adv. 2019, 9, 5620–5627. [Google Scholar] [CrossRef]
- Horie, M.; Nishio, K.; Endoh, S.; Kato, H.; Fujita, K.; Miyauchi, A.; Nakamura, A.; Kinugasa, S.; Yamamoto, K.; Niki, E.; et al. Chromium(III) oxide nanoparticles induced remarkable oxidative stress and apoptosis on culture cells. Environ. Toxicol. 2013, 28, 61–75. [Google Scholar] [CrossRef]
- Ghotekar, S.; Pansambal, S.; Bilal, M.; Pingale, S.S.; Oza, R. Environmentally friendly synthesis of Cr2O3 nanoparticles: Characterization, applications and future perspective—A review. Case Stud. Chem. Environ. Eng. 2021, 3, 100089. [Google Scholar] [CrossRef]
- Soliman, M.; Sadek, A.A.; Abdelhamid, H.N.; Hussein, K. Graphene oxide-cellulose nanocomposite accelerates skin wound healing. Res. Vet. Sci. 2021, 137, 262–273. [Google Scholar] [CrossRef]
- Wu, M.; Qi, X.; Xie, R.; Bai, Z.; Qin, S.; Zhong, W.; Deng, C. Graphene oxide/carbon nanotubes/CoxFe3−xO4 ternary nanocomposites: Controllable synthesis and their excellent microwave absorption capabilities. J. Alloys Compd. 2020, 813, 151996. [Google Scholar] [CrossRef]
- Wang, S.-D.; Wang, K.; Ma, Q.; Qu, C.-X. Fabrication of the multifunctional durable silk fabric with synthesized graphene oxide nanosheets. Mater. Today Commun. 2020, 23, 100893. [Google Scholar] [CrossRef]
- Qiao, W.; Tian, W.; Tian, Y.; Yang, Q.; Wang, Y.; Zhang, J. The Forecasting of PM2.5 Using a Hybrid Model Based on Wavelet Transform and an Improved Deep Learning Algorithm. IEEE Access 2019, 7, 12. [Google Scholar] [CrossRef]
- Selvi, K.T.; Alamelumangai, K.; Priya, M.; Rathnakumari, M.; Kumar, P.S.; Sagadevan, S. Studies on electrical properties of MgO/Pr6O11 nanocomposite. Nanomater. Nanotechnol. 2016, 6. [Google Scholar] [CrossRef]
- Khalid, A.; Ullah, H.; Ul-Islam, M.; Khan, R.; Khan, S.; Ahmad, F.; Khan, T.; Wahid, F. Bacterial cellulose–TiO2 nanocomposites promote healing and tissue regeneration in burn mice model. RSC Adv. 2017, 7, 47662–47668. [Google Scholar] [CrossRef]
- Prakash, J.; Venkataprasanna, K.S.K.; Prema, D.; Sahabudeen, S.M.; Banita, S.D.; Venkatasubbu, G.D. Investigation on photo-induced mechanistic activity of GO/TiO2 hybrid nanocomposite against wound pathogens. Toxicol. Mech. Methods 2020, 30, 508–525. [Google Scholar] [CrossRef]
- Zou, R.; Xu, T.; Lei, X.; Wu, Q.; Xue, S. Novel design of porous hollow hydroxyapatite microspheres decorated by reduced graphene oxides with superior photocatalytic performance for tetracycline removal. Solid State Sci. 2020, 99, 106067. [Google Scholar] [CrossRef]
- Xie, Y.Y.; Hu, X.H.; Zhang, Y.W.; Wahid, F.; Chu, L.Q.; Jia, S.R.; Zhong, C. Development and antibacterial activities of bacterial cellulose/graphene oxide-CuO nanocomposite films. Carbohydr. Polym. 2020, 229, 115456. [Google Scholar] [CrossRef]
- Kanikireddy, V.; Varaprasad, K.; Jayaramudu, T.; Karthikeyan, C.; Sadiku, R. Carboxymethyl cellulose-based materials for infection control and wound healing: A review. Int. J. Biol. Macromol. 2020, 164, 963–975. [Google Scholar] [CrossRef]
- Isacfranklin, M.; Ameen, F.; Ravi, G.; Yuvakkumar, R.; Hong, S.; Velauthapillai, D.; Thambidurai, M.; Dang, C. Single-phase Cr2O3 nanoparticles for biomedical applications. Ceram. Int. 2020, 46, 19890–19895. [Google Scholar] [CrossRef]
- Kaviyarasu, K.; Mariappan, A.; Neyvasagam, K.; Ayeshamariam, A.; Pandi, P.; Palanichamy, R.R.; Gopinathan, C.; Mola, G.T.; Maaza, M. Photocatalytic performance and antimicrobial activities of HAp-TiO2 nanocomposite thin films by sol-gel method. Surf. Interfaces 2017, 6, 247–255. [Google Scholar] [CrossRef]
- Tudoroiu, E.-E.; Dinu-Pîrvu, C.-E.; Kaya, M.G.A.; Popa, L.; Anuța, V.; Prisada, R.M.; Ghica, M.V. An Overview of Cellulose Derivatives-Based Dressings for Wound-Healing Management. Pharmaceuticals 2021, 14, 1215. [Google Scholar] [CrossRef]
- Kuila, T.; Mishra, A.K.; Khanra, P.; Kim, N.H.; Lee, J.H. Recent advances in the efficient reduction of graphene oxide and its application as energy storage electrode materials. Nanoscale 2013, 5, 52–71. [Google Scholar] [CrossRef]
- Attasgah, R.B.; Velasco-Rodríguez, B.; Pardo, A.; Fernández-Vega, J.; Arellano-Galindo, L.; Rosales-Rivera, L.C.; Prieto, G.; Barbosa, S.; Soltero, J.F.A.; Mahmoudi, M.; et al. Development of functional hybrid scaffolds for wound healing applications. Iscience 2022, 25, 104019. [Google Scholar] [CrossRef]
- Orelma, H.; Hokkanen, A.; Leppänen, I.; Kammiovirta, K.; Kapulainen, M.; Harlin, A. Optical cellulose fiber made from regenerated cellulose and cellulose acetate for water sensor applications. Cellulose 2019, 27, 1543–1553. [Google Scholar] [CrossRef]
- Subha, V.; Ranu, A.; Shankar, A.; Kirubanandan, S.; Satheeshkumar, E.; Suresh, S.; Pugazhendhi, A.; Ilangovan, R. Functionalization of spray coated cellulose nanofiber sheet with montmorillonite (MMT) and silver nanoparticles (AgNPs) to biomedical nanocomposite as wound regeneration scaffold. Prog. Org. Coat. 2022, 166, 106782. [Google Scholar] [CrossRef]
- Chen, R.; Zhao, C.; Chen, Z.; Shi, X.; Zhu, H.; Bu, Q.; Wang, L.; Wang, C.; He, H. A bionic cellulose nanofiber-based nanocage wound dressing for NIR-triggered multiple synergistic therapy of tumors and infected wounds. Biomaterials 2022, 281, 121330. [Google Scholar] [CrossRef]
- Prakash, J.; Venkataprasanna, K.; Bharath, G.; Banat, F.; Niranjan, R.; Venkatasubbu, G. In-vitro evaluation of electrospun cellulose acetate nanofiber containing Graphene oxide/TiO2/Curcumin for wound healing application. Colloids Surf. A Physicochem. Eng. Asp. 2021, 627, 127166. [Google Scholar] [CrossRef]
- Haider, K.; Ullah, A.; Sarwar, M.N.; Saito, Y.; Sun, L.; Park, S.; Kim, I.S. Lignin-mediated in-situ synthesis of CuO nanoparticles on cellulose nanofibers: A potential wound dressing material. Int. J. Biol. Macromol. 2021, 173, 315–326. [Google Scholar] [CrossRef]
- Ullah, A.; Ullah, S.; Khan, M.Q.; Hashmi, M.; Nam, P.D.; Kato, Y.; Tamada, Y.; Kim, I.S. Manuka honey incorporated cellulose acetate nanofibrous mats: Fabrication and in vitro evaluation as a potential wound dressing. Int. J. Biol. Macromol. 2020, 155, 479–489. [Google Scholar] [CrossRef]
- Khan, M.Q.; Kharaghani, D.; Sanaullah; Shahzad, A.; Saito, Y.; Yamamoto, T.; Ogasawara, H.; Kim, I.S. Fabrication of antibacterial electrospun cellulose acetate/silver-sulfadiazine nanofibers composites for wound dressings applications. Polym. Test. 2019, 74, 39–44. [Google Scholar] [CrossRef]








| Composition | Oxides | Polymeric Constituent | Amount (g) | Polymeric Concentration | ||||
|---|---|---|---|---|---|---|---|---|
| CA | CA | 0 | 0 | 0 | 10% | |||
| Cr2O3@CA | Cr2O3 | CA | 0.25 | 0 | 0 | 10% | ||
| TiO2@CA | TiO2 | CA | 0 | 0.25 | 0 | 10% | ||
| Cr2O3/TiO2@CA | Cr2O3 | TiO2 | CA | 0.125 | 0.125 | 0 | 10% | |
| Cr2O3/TiO2/GO@CA | Cr2O3 | TiO2 | GO | CA | 0.1 | 0.1 | 0.05 | 10% |
| Composition | Absorption Edge (eV) | Band Gap (eV) | N | |
|---|---|---|---|---|
| Direct | Indirect | |||
| CA | 4.9 | 4.9 | 4.9 | 1.76 |
| Cr2O3@CA | 3.2 | 3.4 | 4.4 | 1.8 |
| TiO2@CA | 2.2 | 1.0 | 2.65 | 2.14 |
| Cr2O3/TiO2@CA | 2.4 | 1.1 | 2.7 | 2.12 |
| Cr2O3/TiO2/GO@CA | 2.5 | 1.2 | 2.75 | 2.09 |
| Composition | Application | Main Results | Ref. |
|---|---|---|---|
| Cellulose nanofiber (CNF)/Ag nanoparticles | Wound healing | The AgNPs show antioxidant and antimicrobial activity. The anti-diabetic AgNPs were observed to be 56% and 61%. | [27] |
| CNF/Doxorubicin | Tumor/infection-induced wound healing | High effectiveness against both tumor cells and bacterial invasion. | [28] |
| CA nanofiber/GO/TiO2/Curcumin | Wound healing | High hemocompatibility and promoted cell proliferation and migration. | [29] |
| Lignin/CuO/CA nanofiber | Wound healing | The Cu/CA showed faster release (80%) of copper ions within 24 h. | [30] |
| Manuka honey/CA nanofiber | Wound healing | High efficacy to prevent bacterial growth, high porosity suitable for wound breathability, and high cytocompatibility. | [31] |
| Ag-sulfadiazine/CA nanofiber | Wound healing | Appreciable antimicrobial activity against E. Coli and Bacillus Subtilis. | [32] |
Disclaimer/Publisher’s Note: The statements, opinions and data contained in all publications are solely those of the individual author(s) and contributor(s) and not of MDPI and/or the editor(s). MDPI and/or the editor(s) disclaim responsibility for any injury to people or property resulting from any ideas, methods, instructions or products referred to in the content. |
© 2023 by the authors. Licensee MDPI, Basel, Switzerland. This article is an open access article distributed under the terms and conditions of the Creative Commons Attribution (CC BY) license (https://creativecommons.org/licenses/by/4.0/).
Share and Cite
Almaieli, L.M.A.; Khalaf, M.M.; Gouda, M.; Alhayyani, S.; Abou Taleb, M.F.; Abd El-Lateef, H.M. Titanium Dioxide/Chromium Oxide/Graphene Oxide Doped into Cellulose Acetate for Medical Applications. Polymers 2023, 15, 485. https://doi.org/10.3390/polym15030485
Almaieli LMA, Khalaf MM, Gouda M, Alhayyani S, Abou Taleb MF, Abd El-Lateef HM. Titanium Dioxide/Chromium Oxide/Graphene Oxide Doped into Cellulose Acetate for Medical Applications. Polymers. 2023; 15(3):485. https://doi.org/10.3390/polym15030485
Chicago/Turabian StyleAlmaieli, Latifah Mohammed Ali, Mai M. Khalaf, Mohamed Gouda, Sultan Alhayyani, Manal F. Abou Taleb, and Hany M. Abd El-Lateef. 2023. "Titanium Dioxide/Chromium Oxide/Graphene Oxide Doped into Cellulose Acetate for Medical Applications" Polymers 15, no. 3: 485. https://doi.org/10.3390/polym15030485
APA StyleAlmaieli, L. M. A., Khalaf, M. M., Gouda, M., Alhayyani, S., Abou Taleb, M. F., & Abd El-Lateef, H. M. (2023). Titanium Dioxide/Chromium Oxide/Graphene Oxide Doped into Cellulose Acetate for Medical Applications. Polymers, 15(3), 485. https://doi.org/10.3390/polym15030485

