Highly Sensitive Temperature Sensor Based on Vernier Effect Using a Sturdy Double-cavity Fiber Fabry-Perot Interferometer
Abstract
:1. Introduction
2. Fundamentals
3. Experimental Results
3.1. Fabrication of the PCFPI and the Temperature Characterization
3.2. Simulation of the DCFPI and the Response to Temperature Changes
3.3. Fabrication of DCFPI
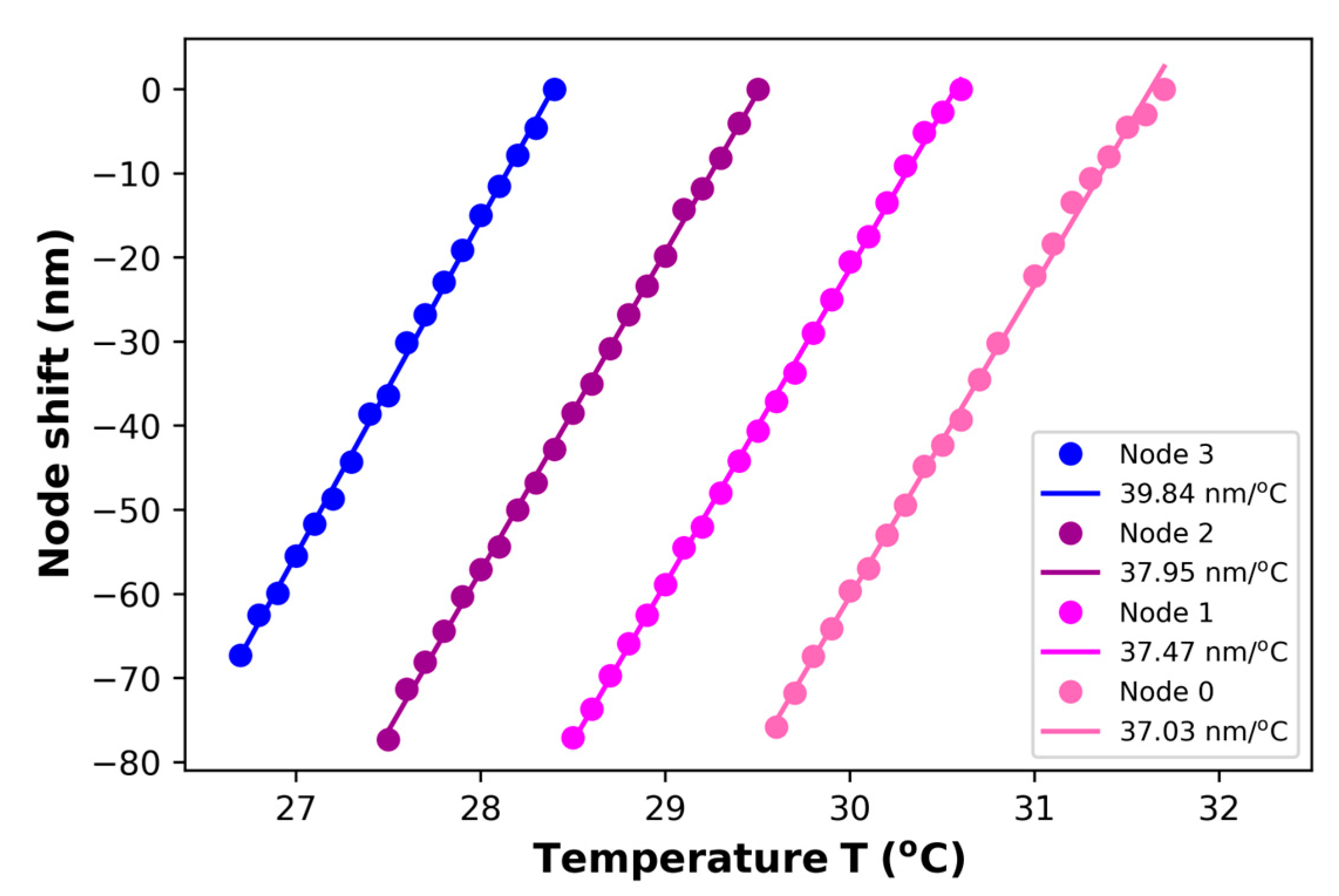
3.4. Temperature Characterization of the DCFPI
4. Conclusions
Author Contributions
Funding
Institutional Review Board Statement
Data Availability Statement
Conflicts of Interest
References
- Liu, Y.; Li, X.; Zhang, Y.N.; Zhao, Y. Fiber-optic sensors based on Vernier effect. Measurement 2021, 167, 108451. [Google Scholar] [CrossRef]
- Starodumov, A.N.; Zenteno, L.A.; Monzon, D.; De La Rosa, E. Fiber Sagnac interferometer temperature sensor. Appl. Phys. Lett. 1997, 70, 19–21. [Google Scholar] [CrossRef]
- Velázquez-González, J.S.; Monzón-Hernández, D.; Moreno-Hernández, D.; Martínez-Piñón, F.; Hernández-Romano, I. Simultaneous measurement of refractive index and temperature using a SPR-based fiber optic sensor. Sens. Actuators B Chem. 2017, 242, 912–920. [Google Scholar] [CrossRef]
- Wang, Y.; Huang, Q.; Zhu, W.; Yang, M.; Lewis, E. Novel optical fiber SPR temperature sensor based on MMF-PCF-MMF structure and gold-PDMS film. Opt. Express 2018, 26, 1910–1917. [Google Scholar] [CrossRef] [PubMed]
- Hernandez-Romano, I.; Monzon-Hernandez, D.; Moreno-Hernandez, C.; Moreno-Hernandez, D.; Villatoro, J. Highly Sensitive Temperature Sensor Based on a Polymer-Coated Microfiber Interferometer. IEEE Photonics Technol. Lett. 2015, 27, 2591–2594. [Google Scholar] [CrossRef]
- Hernández-Romano, I.; Cruz-Garcia, M.A.; Moreno-Hernández, C.; Monzón-Hernández, D.; López-Figueroa, E.O.; Paredes-Gallardo, O.E.; Torres-Cisneros, M.; Villatoro, J. Optical fiber temperature sensor based on a microcavity with polymer overlay. Opt. Express 2016, 24, 5654–5661. [Google Scholar] [CrossRef] [PubMed]
- Liu, L.; Shen, Z.; Yu, R.; Chen, Y.; Wang, C.; Chen, W.; Xu, L.; Xiao, L. Dual Self-Growing Polymer Microtips on a Multicore Fiber for Humidity and Temperature Discriminative Sensing. J. Light. Technol. 2023, 41, 4322–4330. [Google Scholar] [CrossRef]
- Yang, Y.; Wang, Y.; Zhao, Y.; Jiang, J.; He, X.; Yang, W.; Zhu, Z.; Gao, W.; Li, L. Sensitivity-enhanced temperature sensor by hybrid cascaded configuration of a Sagnac loop and a F-P cavity. Opt. Express 2017, 25, 33290–33296. [Google Scholar] [CrossRef]
- Liu, X.; Zhao, Y.; Dai, M.; Chen, Z.; Gandhi, M.S.A.; Li, Q.; Fu, H.Y. Ultrasensitive temperature sensor with Vernier-effect improved fiber Michelson interferometer. Opt. Express 2021, 29, 1090–1101. [Google Scholar] [CrossRef]
- Shen, C.; Mao, B.; Wang, D.N.; Zhao, C.; Xu, B.; Hou, L. Highly sensitive PDMS-filled Fabry–Perot interferometer temperature sensor based on the Vernier effect. Appl. Opt. 2019, 58, 4858–4865. [Google Scholar] [CrossRef]
- Zhang, X.-Y.; Yu, Y.-S.; Zhu, C.-C.; Chen, C.; Yang, R.; Xue, Y.; Chen, Q.-D.; Sun, H.-B. Miniature end-capped fiber sensor for refractive index and temperature measurement. IEEE Photonics Technol. Lett. 2014, 26, 7–10. [Google Scholar] [CrossRef]
- Sun, B.; Wang, Y.; Qu, J.; Liao, C.; Yin, G.; He, J.; Zhou, J.; Tang, J.; Liu, S.; Li, Z.; et al. Simultaneous measurement of pressure and temperature by employing Fabry-Perot interferometer based on pendant polymer droplet. Opt. Express 2015, 23, 1906–1911. [Google Scholar] [CrossRef] [PubMed]
- Arrizabalaga, O.; Durana, G.; Zubia, J.; Villatoro, J. Accurate microthermometer based on off center polymer caps onto optical fiber tips. Sens. Actuators B Chem. 2018, 272, 612–617. [Google Scholar] [CrossRef]
- Velázquez-Benítez, A.M.; Hernández-Cordero, J.; Defas-Brucil, R.; Cano-Velázquez, M.S. Microbubble end-capped fiber-optic Fabry–Perot sensors. Opt. Lett. 2022, 47, 5569–5572. [Google Scholar] [CrossRef]
- Liang, J.; Qu, J.; Ye, J.; Liu, Y.; Qu, S. Ultra-Sensitive Temperature Sensor of Cascaded Dual PDMS-Cavity Based on Enhanced Vernier Effect. IEEE Sens. J. 2023, 23, 2264–2269. [Google Scholar] [CrossRef]
- Liu, Y.; Wen, J.; Feng, Y.; Huang, L.; Dong, J. Miniaturized High-Sensitivity Temperature Sensor Based on Cascaded Fiber-Optic FPI. IEEE Photonics Technol. Lett. 2023, 35, 430–433. [Google Scholar] [CrossRef]
- Yang, W.; Pan, R.; Zhang, L.; Yang, Y.; Li, L.; Yu, S.; Sun, X.; Yu, X. Highly sensitive fiber-optic temperature sensor with compact hybrid interferometers enhanced by the harmonic Vernier effect. Opt. Express 2023, 31, 14570–14582. [Google Scholar] [CrossRef] [PubMed]
- Bang, O.; Korganbayev, S.; Min, R.; Jelbuldina, M.; Hu, X.; Caucheteur, C.; Ortega, B.; Marques, C.; Tosi, D. Thermal Profile Detection Through High-Sensitivity Fiber Optic Chirped Bragg Grating on Microstructured PMMA Fiber. J. Light. Technol. 2018, 36, 4723–4729. Available online: https://opg.optica.org/abstract.cfm?uri=jlt-36-20-4723 (accessed on 15 November 2023).
- López-Higuera, J.M.; Cobo, L.R.; Incera, A.Q.; Cobo, A. Fiber optic sensors in structural health monitoring. J. Light. Technol. 2011, 29, 587–608. [Google Scholar] [CrossRef]
- Min, R.; Liu, Z.; Pereira, L.; Yang, C.; Sui, Q.; Marques, C. Optical fiber sensing for marine environment and marine structural health monitoring: A review. Opt. Laser Technol. 2021, 140, 107082. [Google Scholar] [CrossRef]
- Ushakov, N.; Liokumovich, L. Resolution limits of extrinsic Fabry-Perot interferometric displacement sensors utilizing wavelength scanning interrogation. Appl. Opt. 2014, 53, 5092–5099. [Google Scholar] [CrossRef] [PubMed]
- Kogelnik, H. On the Propagation of Gaussian Beams of Light Through Lenslike Media Including those with a Loss or Gain Variation. Appl. Opt. 1965, 4, 1562–1569. [Google Scholar] [CrossRef]
- Sabry, Y.M.; Khalil, D.; Saadany, B.; Bourouina, T. In-plane external fiber Fabry–Perot cavity comprising silicon micromachined concave mirror. J. Micro/Nanolithogr. MEMS MOEMS 2013, 13, 011110. [Google Scholar] [CrossRef]
- Zubia, J.; Villatoro, J.; Arrizabalaga, O. Microrefractometer Based on Off-Center Polymer Caps Bonded Onto Optical Fiber Tips. J. Light. Technol. 2018, 36, 3573–3579. [Google Scholar] [CrossRef]
- Gao, H.; Hu, H.; Zhao, Y.; Li, J.; Lei, M.; Zhang, Y. Highly-sensitive optical fiber temperature sensors based on PDMS/silica hybrid fiber structures. Sens. Actuators A Phys. 2018, 284, 22–27. [Google Scholar] [CrossRef]
- Velazquez-Gonzalez, J.S.; Monzon-Hernandez, D.; Martinez-Pinon, F.; May-Arrioja, D.A.; Hernandez-Romano, I. Surface Plasmon Resonance-Based Optical Fiber Embedded in PDMS for Temperature Sensing. IEEE J. Sel. Top. Quantum Electron. 2017, 23, 126–131. [Google Scholar] [CrossRef]
- Yang, Y.; Wang, Y.; Zhao, Y.; Jiang, J. Ultrasensitive Temperature Sensor Based on Fiber-Optic Fabry–Pérot Interferometer with Vernier Effect. J. Russ. Laser Res. 2019, 40, 243–248. [Google Scholar] [CrossRef]
- Chen, M.Q.; Zhao, Y.; Xia, F.; Peng, Y.; Tong, R.J. High sensitivity temperature sensor based on fiber air-microbubble Fabry-Perot interferometer with PDMS-filled hollow-core fiber. Sens. Actuators A Phys. 2018, 275, 60–66. [Google Scholar] [CrossRef]
- Pan, R.; Liu, M.; Bian, Y.; Xu, T.; Yang, W.; Yang, Y.; Wang, J.; Mu, X.; Bi, L. High-sensitive temperature sensor with parallel PDMS-filled FPIs based on dual Vernier effect. Opt. Commun. 2022, 518, 128284. [Google Scholar] [CrossRef]
- Dai, M.; Chen, Z.; Zhao, Y.; Mu, X.; Liu, X.; Gandhi, M.S.A.; Li, Q.; Lu, S.; Liu, S.; Fu, H.Y. Fiber Optic Temperature Sensor with Online Controllable Sensitivity Based on Vernier Effect. IEEE Sens. J. 2021, 21, 21555–21563. [Google Scholar] [CrossRef]
- He, J.; Zhang, F.; Xu, X.; Du, B.; Wu, J.; Li, Z.; Bai, Z.; Guo, J.; Wang, Y.; He, J. Highly Sensitive Temperature Sensor Based on Cascaded Polymer-Infiltrated Fiber Mach–Zehnder Interferometers Operating near the Dispersion Turning Point. Polymers 2022, 14, 3617. [Google Scholar] [CrossRef] [PubMed]












| Type | Sensitivity (nm/°C) | Dynamic Range (°C) | Reference |
|---|---|---|---|
| Fiber-optic sensor based on cascaded FPIs | 0.18 | 38–100 | [27] |
| PDMS-filled air microbubble FPI | 2.70 | 51.2–70.5 | [28] |
| Parallel FPIs based on dual Vernier effect | 7.61 | 34–39 | [29] |
| Cascaded FPI and a fixed reflective Lyot filter based on the Vernier effect | −14.63 | 30–32 | [30] |
| Hybrid interferometers with harmonic Vernier effect | −19.22 | 41–44 | [17] |
| Cascaded polymer-infiltrated fiber Mach-Zehnder interferometers | −24.86 | 22–29 | [31] |
| Polymer-capped FFPI by Vernier effect (our work) | 39.84 | 26.7–31.7 |
Disclaimer/Publisher’s Note: The statements, opinions and data contained in all publications are solely those of the individual author(s) and contributor(s) and not of MDPI and/or the editor(s). MDPI and/or the editor(s) disclaim responsibility for any injury to people or property resulting from any ideas, methods, instructions or products referred to in the content. |
© 2023 by the authors. Licensee MDPI, Basel, Switzerland. This article is an open access article distributed under the terms and conditions of the Creative Commons Attribution (CC BY) license (https://creativecommons.org/licenses/by/4.0/).
Share and Cite
Ramírez-Hernández, M.Á.; Alonso-Murias, M.; Monzón-Hernández, D. Highly Sensitive Temperature Sensor Based on Vernier Effect Using a Sturdy Double-cavity Fiber Fabry-Perot Interferometer. Polymers 2023, 15, 4567. https://doi.org/10.3390/polym15234567
Ramírez-Hernández MÁ, Alonso-Murias M, Monzón-Hernández D. Highly Sensitive Temperature Sensor Based on Vernier Effect Using a Sturdy Double-cavity Fiber Fabry-Perot Interferometer. Polymers. 2023; 15(23):4567. https://doi.org/10.3390/polym15234567
Chicago/Turabian StyleRamírez-Hernández, Miguel Á., Monserrat Alonso-Murias, and David Monzón-Hernández. 2023. "Highly Sensitive Temperature Sensor Based on Vernier Effect Using a Sturdy Double-cavity Fiber Fabry-Perot Interferometer" Polymers 15, no. 23: 4567. https://doi.org/10.3390/polym15234567
APA StyleRamírez-Hernández, M. Á., Alonso-Murias, M., & Monzón-Hernández, D. (2023). Highly Sensitive Temperature Sensor Based on Vernier Effect Using a Sturdy Double-cavity Fiber Fabry-Perot Interferometer. Polymers, 15(23), 4567. https://doi.org/10.3390/polym15234567

