The Design, Synthesis, and Characterization of Epoxy Vitrimers with Enhanced Glass Transition Temperatures
Abstract
:1. Introduction
2. Materials and Methods
2.1. Chemicals
2.2. Synthesis
2.3. Characterization
3. Results and Discussion
3.1. Proposed Mechanisms of the Curing Reactions
3.2. Tgs of EV Materials
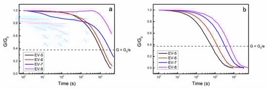
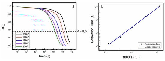
3.3. Rheological Properties of EV Materials
3.4. Mechanical Properties of EV-5.5
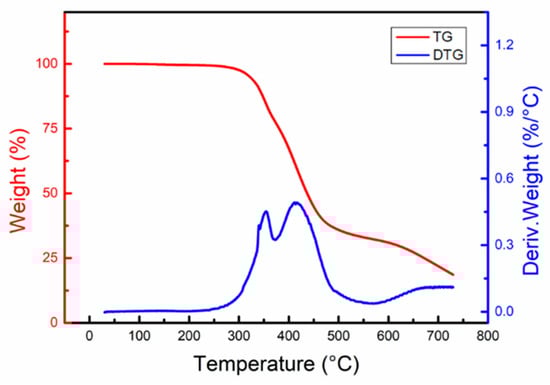
3.5. Thermal Stabilities of EV-5.5
4. Conclusions
Author Contributions
Funding
Institutional Review Board Statement
Data Availability Statement
Conflicts of Interest
References
- Chen, P.; Liu, S.; Wang, D. Epoxy Resin and Its Application; Chemical Industry Press: Beijing, China, 2011. [Google Scholar]
- Yang, S.; Huo, S.; Wang, J.; Zhang, B.; Wang, H. A highly fire-safe and smoke-suppressive single-component epoxy resin with switchable curing temperature and rapid curing rate. Compos. Part B-Eng. 2021, 207, 108601. [Google Scholar] [CrossRef]
- Yang, Y. Epoxy Based Vitrimer Composites. Ph.D. Dissertation, Tsinghua University, Beijing, China, 2017. [Google Scholar]
- Montarnal, D.; Capelot, M.; Tournilhac, F.; Leibler, L. Silica-like malleable materials from permanent organic networks. Science 2011, 334, 965–968. [Google Scholar] [CrossRef] [PubMed]
- Denissen, W.; Winne, J.M.; Du Prez, F.E. Vitrimers: Permanent organic networks with glass-like fluidity. Chem. Sci. 2016, 7, 30–38. [Google Scholar] [CrossRef] [PubMed]
- Martin, R.; Rekondo, A.; de Luzuriaga, A.R.; Cabañero, G.; Grande, H.J.; Odriozola, I. The processability of a poly(urea-urethane) elastomer reversibly crosslinked with aromatic disulfide bridges. J. Mater. Chem. A 2014, 2, 5710–5715. [Google Scholar] [CrossRef]
- Tsarevsky, N.V.; Matyjaszewski, K. Reversible redox cleavage/coupling of polystyrene with disulfide or thiol groups prepared by atom transfer radical polymerization. Macromolecules 2002, 35, 9009–9014. [Google Scholar] [CrossRef]
- Michal, B.T.; Jaye, C.A.; Spencer, E.J.; Rowan, S.J. Inherently photohealable and thermal shape-memory polydisulfide networks. ACS Macro Lett. 2013, 2, 694–699. [Google Scholar] [CrossRef]
- Pepels, M.; Filot, I.; Klumperman, B.; Goossens, H. Self-healing systems based on disulfide-thiol exchange reactions. Polym. Chem. 2013, 4, 4955–4965. [Google Scholar] [CrossRef]
- Canadell, J.; Goossens, H.; Klumperman, B. Self-healing materials based on disulfide links. Macromolecules 2011, 44, 2536–2541. [Google Scholar] [CrossRef]
- Stefani, H.A.; Costa, I.M.; Silva, D.D.O. ChemInform abstract: An easy synthesis of enaminones in water as solvent. ChemInform 2000, 32, 1526–1528. [Google Scholar] [CrossRef]
- Denissen, W.; Rivero, G.; Nicolaÿ, R.; Leibler, L.; Winne, J.M.; Du Prez, F.E. Vinylogous urethane vitrimers. Adv. Funct. Mater. 2015, 25, 2451–2457. [Google Scholar] [CrossRef]
- Lu, Y.; Guan, Z. Olefin metathesis for effective polymer healing via dynamic exchange of strong carbon-carbon double bonds. J. Am. Chem. Soc. 2012, 134, 14226–14231. [Google Scholar] [CrossRef] [PubMed]
- Vougioukalakis, G.C.; Grubbs, R.H. Ruthenium-based heterocyclic carbene-coordinated olefin metathesis catalysts. Chem. Rev. 2010, 110, 1746–1787. [Google Scholar] [CrossRef] [PubMed]
- Taynton, P.; Yu, K.; Shoemaker, R.K.; Jin, Y.; Qi, H.J.; Zhang, W. Heat- or water-driven malleability in a highly recyclable covalent network polymer. Adv. Mater. 2014, 26, 3938–3942. [Google Scholar] [CrossRef] [PubMed]
- Yang, B.; Zhang, Y.; Zhang, X.; Tao, L.; Li, S.; Wei, Y. Facilely prepared inexpensive and biocompatible self-healing hydrogel: A new injectable cell therapy carrier. Polym. Chem. 2012, 3, 3235–3238. [Google Scholar] [CrossRef]
- Deng, G.; Li, F.; Yu, H.; Liu, F.; Liu, C.; Sun, W.; Jiang, H.; Chen, Y. Dynamic hydrogels with an environmental adaptive self-healing ability and dual responsive sol-gel transitions. ACS Macro Lett. 2012, 1, 275–279. [Google Scholar] [CrossRef]
- Zhou, L.; Liu, J.; Wu, S.; Chen, G.; Yang, S.; Yang, L. Research Progress of Vitrimer Materials. Mater. Rep. 2020, 34, 585–591. [Google Scholar]
- Liu, H.; Wei, L.; Sun, Z.; Liu, C.; Liu, Y. Effect of Catalysts on the Performance of Vitrimers Based on Dynamic Ester Exchange. Trans. China Electrotech. Soc. 2023, in press.
- Liu, H.; Wei, L.; Sun, Z.; Liu, C.; Liu, Y. Preparation and Properties of Recyclable Vitrified Epoxy Resin Based on Transesterification. Trans. China Electrotech. Soc. 2023, 38, 4019–4029. [Google Scholar]
- Wang, Y.; Liu, X.; Jing, X.; Li, Y. Research Progress in Epoxy Vitrimer. Chem. Bull. 2021, 84, 313–321. [Google Scholar]
- Liu, L.; Ju, B. Research progress of bio-based vitrimer materials. Eng. Plast. Appl. 2021, 49, 135–140. [Google Scholar]
- Yang, X.; Guo, L.; Xu, X.; Shang, S.; Liu, H. A fully bio-based epoxy vitrimer: Self-healing, triple-shape memory and reprocessing triggered by dynamic covalent bond exchange. Mater. Des. 2019, 186, 108248. [Google Scholar] [CrossRef]
- Zheng, N.; Xu, Y.; Zhao, Q.; Xie, T. Dynamic covalent polymer networks: A molecular platform for designing functions beyond chemical recycling and self-healing. Chem. Rev. 2021, 121, 1716–1745. [Google Scholar] [CrossRef] [PubMed]
- Obadia, M.M.; Mudraboyina, B.P.; Serghei, A.; Montarnal, D.; Drockenmuller, E. Reprocessing and recycling of highly cross-linked ion-conducting networks through transalkylation exchanges of C–N bonds. J. Am. Chem. Soc. 2015, 137, 6078–6083. [Google Scholar] [CrossRef] [PubMed]
- Zheng, N.; Fang, Z.; Zou, W.; Zhao, Q.; Xie, T. Thermoset shape-memory polyurethane with intrinsic plasticity enabled by transcarbamoylation. Angew. Chem. Int. Ed. 2016, 128, 11593–11597. [Google Scholar] [CrossRef]
- Yan, P.; Zhao, W.; Jiang, L.; Wu, B.; Hu, K.; Yuan, Y.; Lei, J. Reconfiguration and shape memory triggered by heat and light of carbon nanotube–polyurethane vitrimer composites. J. Appl. Polym. Sci. 2018, 135, 45784. [Google Scholar] [CrossRef]
- Huang, X.; Liu, H.; Fan, Z.; Wang, H.; Huang, G.; Wu, J. Hyperbranched polymer toughened and reinforced self-healing epoxy vitrimer. Polym. J. 2019, 50, 535–542. [Google Scholar]
- Huang, L.; Yang, Y.; Niu, Z.; Wu, R.; Fan, W.; Dai, Q.; He, J.; Bai, C. Catalyst-free vitrimer cross-linked by biomass-derived compounds with mechanical robustness, reprocessability and multi-shape memory effects. Macromol. Rapid Commun. 2021, 42, 2100432. [Google Scholar] [CrossRef] [PubMed]
- Capelot, M.; Unterlass, M.M.; Tournilhac, F.; Leibler, L. Catalytic control of the vitrimer glass transition. ACS Macro Lett. 2012, 1, 789–792. [Google Scholar] [CrossRef]
- Dao, T.D.; Ha, N.S.; Goo, N.S.; Yu, W.R. Design, fabrication, and bending test of shape memory polymer composite hinges for space deployable structures. J. Intell. Mater. Syst. Struct. 2018, 29, 1560–1574. [Google Scholar] [CrossRef]
- Cao, X.; Jiang, C.; Feng, H.; Kong, J.; Xu, Y.; Wang, L.; Wu, S. Design and Implementation of the Deployable Sunshield on GF-7 Satellite Remote Sensing Camera. Spacecr. Recovery Remote Sens. 2020, 41, 67–77. [Google Scholar]
- Ren, H.; Sun, J.; Wu, B.; Zhou, Q. Synthesis and characterization of a novel epoxy resin containing naphthyl/dicyclopentadiene moieties and its cured polymer. Polymer 2006, 47, 8309–8316. [Google Scholar] [CrossRef]
- Ren, H.; Sun, J.; Zhao, Q.; Zhou, Q.; Ling, Q. Synthesis and characterization of a novel heat resistant epoxy resin based on N, N′-bis (5-hydroxy-1-naphthyl) pyromellitic diimide. Polymer 2008, 49, 5249–5253. [Google Scholar] [CrossRef]
- Park, S.; Jin, F.; Lee, J. Thermal and mechanical properties of tetrafunctional epoxy resin toughened with epoxidized soybean oil. Mater. Sci. Eng. A Struct. 2004, 374, 109–114. [Google Scholar] [CrossRef]
- Lin, C.H.; Feng, Y.R.; Dai, K.H.; Chang, H.C.; Juang, T.Y. Synthesis of a benzoxazine with precisely two phenolic OH linkages and the properties of its high-performance copolymers. J. Polym. Sci. Polym. Chem. 2013, 51, 2686–2694. [Google Scholar]
- Wu, J.; Gao, L.; Guo, Z.; Zhang, H.; Zhang, B.; Hu, J.; Li, M.H. Natural glycyrrhizic acid: Improving stress relaxation rate and glass transition temperature simultaneously in epoxy vitrimers. Green Chem. 2021, 23, 5647–5655. [Google Scholar] [CrossRef]
- Tanpitaksit, T.; Jubsilp, C.; Rimdusit, S. Effects of benzoxazine resin on property enhancement of shape memory epoxy: A dual function of benzoxazine resin as a curing agent and a stable network segment. Express Polym. Lett. 2015, 9, 824–837. [Google Scholar] [CrossRef]
- Ariraman, M.; Sasikumar, R.; Alagar, M. Shape memory effect on the formation of oxazoline and triazine rings of BCC/DGEBA copolymer. RSC Adv. 2015, 5, 69720–69727. [Google Scholar] [CrossRef]
- Giebler, M.; Sperling, C.; Kaiser, S.; Duretek, I.; Schlögl, S. Epoxy-Anhydride Vitrimers from Aminoglycidyl Resins with High Glass Transition Temperature and Efficient Stress Relaxation. Polymers 2020, 12, 1148. [Google Scholar] [CrossRef]
- Liu, Y.; Zhao, J.; Zhao, L.; Li, W.; Zhang, H.; Yu, X.; Zhang, Z. High performance shape memory epoxy/carbon nanotube nanocomposites. ACS Appl. Mater. Interfaces 2016, 8, 311–320. [Google Scholar] [CrossRef]
- Liu, S.; Cao, X.; Zhang, J.; Han, Y.; Zhao, X.; Chen, Q. Toward Correct Measurements of Shear Rheometry. Acta Polym. Sin. 2021, 52, 406–422. [Google Scholar]







| Label | Epoxy Group (E51) | Anhydride Group (PA) | Carboxyl Group (SA) | TBD |
|---|---|---|---|---|
| EV-4 | 10 | 4 | 6 | 1 |
| EV-5 | 10 | 5 | 5 | 1 |
| EV-5.5 | 10 | 5.5 | 4.5 | 1 |
| EV-6 | 10 | 6 | 4 | 1 |
| EV-7 | 10 | 7 | 3 | 1 |
| EV-8 | 10 | 8 | 2 | 1 |
| EV-9 | 10 | 9 | 1 | 1 |
| Test Temperature (°C) | Relaxation Time (s) | |||
|---|---|---|---|---|
| EV-5 | EV-6 | EV-7 | EV-8 | |
| 150 | 10,872 | 15,170 | 32,800 | >40,000 |
| 180 | 660 | 1334 | 3460 | 6170 |
| Test temperature (°C) | 160 | 170 | 180 | 190 | 200 |
| Relaxation time, τ (s) | 23,354 | 10,536 | 4664 | 2231 | 1350 |
Disclaimer/Publisher’s Note: The statements, opinions and data contained in all publications are solely those of the individual author(s) and contributor(s) and not of MDPI and/or the editor(s). MDPI and/or the editor(s) disclaim responsibility for any injury to people or property resulting from any ideas, methods, instructions or products referred to in the content. |
© 2023 by the authors. Licensee MDPI, Basel, Switzerland. This article is an open access article distributed under the terms and conditions of the Creative Commons Attribution (CC BY) license (https://creativecommons.org/licenses/by/4.0/).
Share and Cite
Dai, C.; Shi, Y.; Li, Z.; Hu, T.; Wang, X.; Ding, Y.; Yan, L.; Liang, Y.; Cao, Y.; Wang, P. The Design, Synthesis, and Characterization of Epoxy Vitrimers with Enhanced Glass Transition Temperatures. Polymers 2023, 15, 4346. https://doi.org/10.3390/polym15224346
Dai C, Shi Y, Li Z, Hu T, Wang X, Ding Y, Yan L, Liang Y, Cao Y, Wang P. The Design, Synthesis, and Characterization of Epoxy Vitrimers with Enhanced Glass Transition Temperatures. Polymers. 2023; 15(22):4346. https://doi.org/10.3390/polym15224346
Chicago/Turabian StyleDai, Chunai, Yang Shi, Zhen Li, Tingting Hu, Xiao Wang, Yi Ding, Luting Yan, Yaohua Liang, Yingze Cao, and Pengfei Wang. 2023. "The Design, Synthesis, and Characterization of Epoxy Vitrimers with Enhanced Glass Transition Temperatures" Polymers 15, no. 22: 4346. https://doi.org/10.3390/polym15224346
APA StyleDai, C., Shi, Y., Li, Z., Hu, T., Wang, X., Ding, Y., Yan, L., Liang, Y., Cao, Y., & Wang, P. (2023). The Design, Synthesis, and Characterization of Epoxy Vitrimers with Enhanced Glass Transition Temperatures. Polymers, 15(22), 4346. https://doi.org/10.3390/polym15224346

