Smart Indicator Film Based on Sodium Alginate/Polyvinyl Alcohol/TiO2 Containing Purple Garlic Peel Extract for Visual Monitoring of Beef Freshness
Abstract
:1. Introduction
2. Materials and Methods
2.1. Materials
2.2. Preparation of Purslane Garlic Extract (PGE)
2.3. UV-Vis Spectral Analysis of PGE Solutions
2.4. Preparation of Composite Smart Indicator Packaging Film
2.5. Performance Testing of Films
2.5.1. Thicknesses
2.5.2. Moisture Content
2.5.3. Mechanical Properties
2.5.4. Scanning Electron Microscope (SEM)
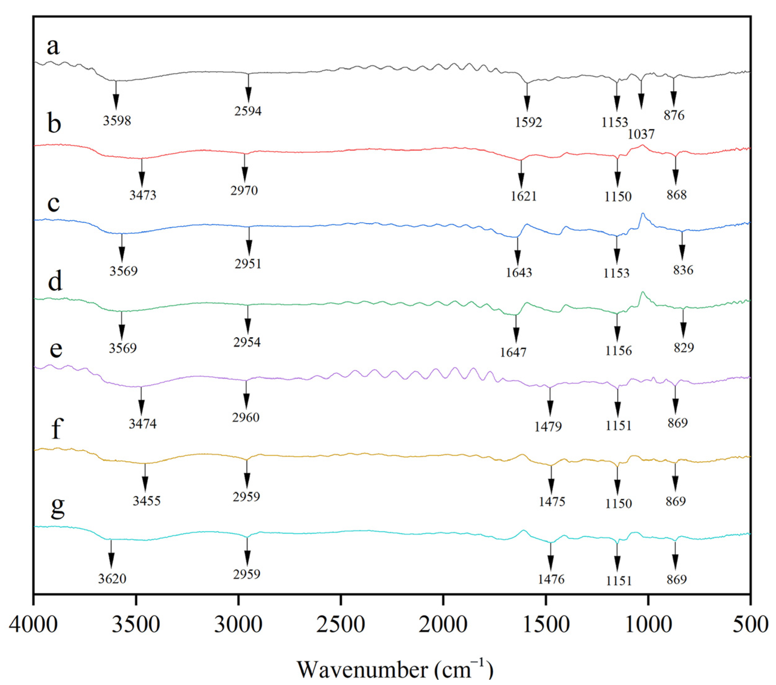
2.5.5. Fourier Transform Infrared Spectrogram (FTIR)
2.5.6. Color Difference in Film
2.5.7. UV Transmittance
2.5.8. Migration Experiments with PGE
2.5.9. Analysis of the Color Development Response of Films at Different pHs
2.6. Film Application Tests on Beef
2.6.1. Determination of pH in Beef
2.6.2. Determination of Volatile Salt Nitrogen Content in Beef (TVB-N)
2.7. Statistical Analysis
3. Results and Discussion
3.1. pH Sensitivity of PGE Solutions
3.2. Properties of Films
3.2.1. Thicknesses
3.2.2. Moisture Content
3.2.3. Mechanical Properties
3.2.4. Microstructure Analysis of Films
3.2.5. FTIR Spectra of Thin Films
3.2.6. Color Parameters
3.2.7. UV Transmission Rate
3.2.8. PGE Release Rate in Films
3.2.9. Analysis of the Color Development Response of Films at Different pHs
3.3. Film for Freshness in Beef
3.4. Correlation Analysis
4. Conclusions
Author Contributions
Funding
Institutional Review Board Statement
Data Availability Statement
Acknowledgments
Conflicts of Interest
References
- Mendes, C.G.; Martins, J.T.; Lüdtke, F.L.; Geraldo, A.; Pereira, A.; Vicente, A.A.; Vieira, J.M. Chitosan Coating Functionalized with Flaxseed Oil and Green Tea Extract as a Bio-Based Solution for Beef Preservation. Foods 2023, 12, 1447. [Google Scholar] [CrossRef] [PubMed]
- Prakoso, F.A.H.; Indiarto, R.; Utama, G.L. Edible Film Casting Techniques and Materials and Their Utilization for Meat-Based Product Packaging. Polymers 2023, 15, 2800. [Google Scholar] [CrossRef] [PubMed]
- He, Y.; Li, B.; Du, J.; Cao, S.; Liu, M.; Li, X.; Ren, D.; Wu, X.; Xu, D. Development of pH-Responsive Absorbent Pad Based on Polyvinyl Alcohol/Agarose/Anthocyanins for Meat Packaging and Freshness Indication. Int. J. Biol. Macromol. 2022, 201, 203–215. [Google Scholar] [CrossRef] [PubMed]
- Zeng, F.; Ye, Y.; Liu, J.; Fei, P. Intelligent pH Indicator Composite Film Based on Pectin/Chitosan Incorporated with Black Rice Anthocyanins for Meat Freshness Monitoring. Food Chem. X 2023, 17, 100531. [Google Scholar] [CrossRef] [PubMed]
- Bekhit, A.E.-D.A.; Holman, B.W.B.; Giteru, S.G.; Hopkins, D.L. Total Volatile Basic Nitrogen (TVB-N) and Its Role in Meat Spoilage: A Review. Trends Food Sci. Technol. 2021, 109, 280–302. [Google Scholar] [CrossRef]
- Kossyvaki, D.; Contardi, M.; Athanassiou, A.; Fragouli, D. Colorimetric Indicators Based on Anthocyanin Polymer Composites: A Review. Polymers 2022, 14, 4129. [Google Scholar] [CrossRef] [PubMed]
- Schlindweinn, E.B.; Chacon, W.D.C.; Koop, B.L.; de Matos Fonseca, J.; Monteiro, A.R.; Valencia, G.A. Starch-Based Materials Encapsulating Anthocyanins: A Review. J. Polym. Environ. 2022, 30, 3547–3565. [Google Scholar] [CrossRef]
- Yan, J.; Cui, R.; Qin, Y.; Li, L.; Yuan, M. A pH Indicator Film Based on Chitosan and Butterfly Pudding Extract for Monitoring Fish Freshness. Int. J. Biol. Macromol. 2021, 177, 328–336. [Google Scholar] [CrossRef]
- Xu, F.; Yan, Y.; Huang, X.; Yun, D.; Tang, C.; Liu, J. Modulating the Functionality of Black Wolfberry Anthocyanins-Based Freshness Indicators by Adjusting the pH Value of Film-Forming Solution. Food Biosci. 2023, 53, 102764. [Google Scholar] [CrossRef]
- Zhang, X.; Lu, S.; Chen, X. A Visual pH Sensing Film Using Natural Dyes from Bauhinia Blakeana Dunn. Sens. Actuators B Chem. 2014, 198, 268–273. [Google Scholar] [CrossRef]
- Sohany, M.; Tawakkal, I.S.M.A.; Ariffin, S.H.; Shah, N.N.A.K.; Yusof, Y.A. Characterization of Anthocyanin Associated Purple Sweet Potato Starch and Peel-Based pH Indicator Films. Foods 2021, 10, 2005. [Google Scholar] [CrossRef] [PubMed]
- Li, J.; Zhu, B.; Yu, H.; Yuan, M.; Chen, H.; Qin, Y. Application of pH-Indicating Film Containing Blue Corn Anthocyanins on Corn Starch/Polyvinyl Alcohol as Substrate for Preservation of Tilapia. Food Meas. 2022, 16, 4416–4424. [Google Scholar] [CrossRef]
- Kim, H.-J.; Roy, S.; Rhim, J.-W. Gelatin/Agar-Based Color-Indicator Film Integrated with Clitoria Ternatea Flower Anthocyanin and Zinc Oxide Nanoparticles for Monitoring Freshness of Shrimp. Food Hydrocoll. 2022, 124, 107294. [Google Scholar] [CrossRef]
- Chaudhary, B.U.; Lingayat, S.; Banerjee, A.N.; Kale, R.D. Development of Multifunctional Food Packaging Films Based on Waste Garlic Peel Extract and Chitosan. Int. J. Biol. Macromol. 2021, 192, 479–490. [Google Scholar] [CrossRef] [PubMed]
- Huang, G.; Wu, X.; Hou, Y.; Cai, J. Sustainable Porous Carbons from Garlic Peel Biowaste and KOH Activation with an Excellent CO2 Adsorption Performance. Biomass Conv. Bioref. 2020, 10, 267–276. [Google Scholar] [CrossRef]
- Kaczmarek, B. Improving Sodium Alginate Films Properties by Phenolic Acid Addition. Materials 2020, 13, 2895. [Google Scholar] [CrossRef] [PubMed]
- Chen, Q.; Zuo, W.; Xie, Z.; Liu, W.; Lu, M.; Qiu, X.; Habib, S.; Jing, Y.; Zhang, X.; Yu, N.; et al. Design of Sodium Alginate/PVA Based High-Efficiency Recycled Rewritten Film by Water-Soluble-Regeneration. Cellulose 2023, 30, 7865–7875. [Google Scholar] [CrossRef]
- Yang, Z.; Zhai, X.; Zhang, C.; Shi, J.; Huang, X.; Li, Z.; Zou, X.; Gong, Y.; Holmes, M.; Povey, M.; et al. Agar/TiO2/Radish Anthocyanin/Neem Essential Oil Bionanocomposite Bilayer Films with Improved Bioactive Capability and Electrochemical Writing Property for Banana Preservation. Food Hydrocoll. 2022, 123, 107187. [Google Scholar] [CrossRef]
- Zhang, X.; Liu, Y.; Yong, H.; Qin, Y.; Liu, J.; Liu, J. Development of Multifunctional Food Packaging Films Based on Chitosan, TiO2 Nanoparticles and Anthocyanin-Rich Black Plum Peel Extract. Food Hydrocoll. 2019, 94, 80–92. [Google Scholar] [CrossRef]
- Liu, C.; Xiong, H.; Chen, X.; Lin, S.; Tu, Y. Effects of Nano-TiO2 on the Performance of High-Amylose Starch Based Antibacterial Films. J. Appl. Polym. Sci. 2015, 132. [Google Scholar] [CrossRef]
- Matouk, Z.; Islam, M.; Gutiérrez, M.; Pireaux, J.-J.; Achour, A. X-Ray Photoelectron Spectroscopy (XPS) Analysis of Ultrafine Au Nanoparticles Supported over Reactively Sputtered TiO2 Films. Nanomaterials 2022, 12, 3692. [Google Scholar] [CrossRef] [PubMed]
- Choi, I.; Lee, J.Y.; Lacroix, M.; Han, J. Intelligent pH Indicator Film Composed of Agar/Potato Starch and Anthocyanin Extracts from Purple Sweet Potato. Food Chem. 2017, 218, 122–128. [Google Scholar] [CrossRef] [PubMed]
- Luchese, C.L.; Abdalla, V.F.; Spada, J.C.; Tessaro, I.C. Evaluation of Blueberry Residue Incorporated Cassava Starch Film as pH Indicator in Different Simulants and Foodstuffs. Food Hydrocoll. 2018, 82, 209–218. [Google Scholar] [CrossRef]
- Zhai, X.; Shi, J.; Zou, X.; Wang, S.; Jiang, C.; Zhang, J.; Huang, X.; Zhang, W.; Holmes, M. Novel Colorimetric Films Based on Starch/Polyvinyl Alcohol Incorporated with Roselle Anthocyanins for Fish Freshness Monitoring. Food Hydrocoll. 2017, 69, 308–317. [Google Scholar] [CrossRef]
- Shankar, S.; Rhim, J.-W. Preparation of Sulfur Nanoparticle-Incorporated Antimicrobial Chitosan Films. Food Hydrocoll. 2018, 82, 116–123. [Google Scholar] [CrossRef]
- GB/T 1040.3-2006; Determination of Tensile Properties of Plastics Part 3: Test Conditions for Films and Sheets. China Standard Press: Beijing, China, 2006.
- Wang, D.; Wang, X.; Sun, Z.; Liu, F.; Wang, D. A Fast-Response Visual Indicator Film Based on Polyvinyl Alcohol/Methylcellulose/Black Wolfberry Anthocyanin for Monitoring Chicken and Shrimp Freshness. Food Packag. Shelf Life 2022, 34, 100939. [Google Scholar] [CrossRef]
- Alizadeh-Sani, M.; Tavassoli, M.; McClements, D.J.; Hamishehkar, H. Multifunctional Halochromic Packaging Materials: Saffron Petal Anthocyanin Loaded-Chitosan Nanofiber/Methyl Cellulose Matrices. Food Hydrocoll. 2021, 111, 106237. [Google Scholar] [CrossRef]
- GB 5009.237-2016; National Standard for Food Safety Determination of pH Value of Food. China Standard Press: Beijing, China, 2016.
- Bao, Y.; Cui, H.; Tian, J.; Ding, Y.; Tian, Q.; Zhang, W.; Wang, M.; Zang, Z.; Sun, X.; Li, D.; et al. Novel pH Sensitivity and Colorimetry-Enhanced Anthocyanin Indicator Films by Chondroitin Sulfate Co-Pigmentation for Shrimp Freshness Monitoring. Food Control 2022, 131, 108441. [Google Scholar] [CrossRef]
- GB 5009.228-2016; National Standard for Food Safety Determination of Volatile Salt Nitrogen in Foods. China Standard Press: Beijing, China, 2016.
- Zhang, J.; Zhang, J.; Huang, X.; Shi, J.; Muhammad, A.; Zhai, X.; Xiao, J.; Li, Z.; Povey, M.; Zou, X. Study on Cinnamon Essential Oil Release Performance Based on pH-Triggered Dynamic Mechanism of Active Packaging for Meat Preservation. Food Chem. 2023, 400, 134030. [Google Scholar] [CrossRef]
- Esfahani, A.; Mohammadi Nafchi, A.; Baghaei, H.; Nouri, L. Fabrication and Characterization of a Smart Film Based on Cassava Starch and Pomegranate Peel Powder for Monitoring Lamb Meat Freshness. Food Sci. Nutr. 2022, 10, 3293–3301. [Google Scholar] [CrossRef]
- Bąkowska, A.; Kucharska, A.Z.; Oszmiański, J. The Effects of Heating, UV Irradiation, and Storage on Stability of the Anthocyanin–Polyphenol Copigment Complex. Food Chem. 2003, 81, 349–355. [Google Scholar] [CrossRef]
- Chen, K.; Li, J.; Li, L.; Wang, Y.; Qin, Y.; Chen, H. A pH Indicator Film Based on Sodium Alginate/Gelatin and Plum Peel Extract for Monitoring the Freshness of Chicken. Food Biosci. 2023, 53, 102584. [Google Scholar] [CrossRef]
- Ma, Q.; Wang, L. Preparation of a Visual pH-Sensing Film Based on Tara Gum Incorporating Cellulose and Extracts from Grape Skins. Sens. Actuators B Chem. 2016, 235, 401–407. [Google Scholar] [CrossRef]
- Zeng, P.; Chen, X.; Qin, Y.-R.; Zhang, Y.-H.; Wang, X.-P.; Wang, J.-Y.; Ning, Z.-X.; Ruan, Q.-J.; Zhang, Y.-S. Preparation and Characterization of a Novel Colorimetric Indicator Film Based on Gelatin/Polyvinyl Alcohol Incorporating Mulberry Anthocyanin Extracts for Monitoring Fish Freshness. Food Res. Int. 2019, 126, 108604. [Google Scholar] [CrossRef] [PubMed]
- Welch, C.R.; Wu, Q.; Simon, J.E. Recent Advances in Anthocyanin Analysis and Characterization. Curr. Anal. Chem. 2008, 4, 75–101. [Google Scholar] [CrossRef] [PubMed]
- Zepon, K.M.; Martins, M.M.; Marques, M.S.; Heckler, J.M.; Dal Pont Morisso, F.; Moreira, M.G.; Ziulkoski, A.L.; Kanis, L.A. Smart Wound Dressing Based on κ–Carrageenan/Locust Bean Gum/Cranberry Extract for Monitoring Bacterial Infections. Carbohydr. Polym. 2019, 206, 362–370. [Google Scholar] [CrossRef] [PubMed]
- Sani, M.A.; Tavassoli, M.; Hamishehkar, H.; McClements, D.J. Carbohydrate-Based Films Containing pH-Sensitive Red Barberry Anthocyanins: Application as Biodegradable Smart Food Packaging Materials. Carbohydr. Polym. 2021, 255, 117488. [Google Scholar] [CrossRef]
- Ma, N.; Wang, C.; Pei, F.; Han, P.; Su, A.; Ma, G.; Kimatu, B.M.; Hu, Q.; Fang, D. Polyethylene-Based Packaging Material Loaded with Nano-Ag/TiO2 Delays Quality Deterioration of Agaricus Bisporus via Membrane Lipid Metabolism Regulation. Postharvest Biol. Technol. 2022, 183, 111747. [Google Scholar] [CrossRef]
- Erna, K.H.; Felicia, W.X.L.; Vonnie, J.M.; Rovina, K.; Yin, K.W.; Nur’Aqilah, M.N. Synthesis and Physicochemical Characterization of Polymer Film-Based Anthocyanin and Starch. Biosensors 2022, 12, 211. [Google Scholar] [CrossRef]
- Koshy, R.R.; Reghunadhan, A.; Mary, S.K.; Thomas, K.; Ajish, K.R.; Thomas, S.; Pothen, L.A. Intelligent pH-Sensitive Films from Whole Arrowroot Powder and Soy Protein Isolate Incorporating Red Cabbage Anthocyanin: Monitoring Freshness of Shrimps and Ammonia in Fish Farming Ponds. New J. Chem. 2022, 46, 9036–9047. [Google Scholar] [CrossRef]
- Alnadari, F.; Al-Dalali, S.; Pan, F.; Abdin, M.; Frimpong, E.B.; Dai, Z.; AL-Dherasi, A.; Zeng, X. Physicochemical Characterization, Molecular Modeling, and Applications of Carboxymethyl Chitosan-Based Multifunctional Films Combined with Gum Arabic and Anthocyanins. Food Bioprocess Technol. 2023. [Google Scholar] [CrossRef]
- Kang, S.; Xiao, Y.; Guo, X.; Huang, A.; Xu, H. Development of Gum Arabic-Based Nanocomposite Films Reinforced with Cellulose Nanocrystals for Strawberry Preservation. Food Chem. 2021, 350, 129199. [Google Scholar] [CrossRef] [PubMed]
- Liu, Y.; Liu, Y.; Han, K.; Cai, Y.; Ma, M.; Tong, Q.; Sheng, L. Effect of Nano-TiO2 on the Physical, Mechanical and Optical Properties of Pullulan Film. Carbohydr. Polym. 2019, 218, 95–102. [Google Scholar] [CrossRef] [PubMed]
- Zendehzaban, M.; Ashjari, M.; Sharifnia, S. Preparation of Floatable TiO2/Poly(Vinyl Alcohol)-Alginate Composite for the Photodegradation of Ammonia Wastewater. Int. J. Energy Res. 2020, 44, 2150–2163. [Google Scholar] [CrossRef]
- Swamy, B.Y.; Chang, J.H.; Ahn, H.; Lee, W.-K.; Chung, I. Thermoresponsive N-Vinyl Caprolactam Grafted Sodium Alginate Hydrogel Beads for the Controlled Release of an Anticancer Drug. Cellulose 2013, 20, 1261–1273. [Google Scholar] [CrossRef]
- Li, H.; Liu, G.; Ye, K.; He, W.; Wei, H.; Dang, L. A Novel pH-Sensitive Antibacterial Bilayer Film for Intelligent Packaging. Biomass Conv. Bioref. 2022, 1–14. [Google Scholar] [CrossRef] [PubMed]
- Lan, W.; Wang, S.; Zhang, Z.; Liang, X.; Liu, X.; Zhang, J. Development of Red Apple Pomace Extract/Chitosan-Based Films Reinforced by TiO2 Nanoparticles as a Multifunctional Packaging Material. Int. J. Biol. Macromol. 2021, 168, 105–115. [Google Scholar] [CrossRef]
- Akhila, K.; Sultana, A.; Ramakanth, D.; Gaikwad, K.K. Monitoring Freshness of Chicken Using Intelligent pH Indicator Packaging Film Composed of Polyvinyl Alcohol/Guar Gum Integrated with Ipomoea Coccinea Extract. Food Biosci. 2023, 52, 102397. [Google Scholar] [CrossRef]
- Asadi, S.; Pirsa, S. Production of Biodegradable Film Based on Polylactic Acid, Modified with Lycopene Pigment and TiO2 and Studying Its Physicochemical Properties. J. Polym. Environ. 2020, 28, 433–444. [Google Scholar] [CrossRef]
- Labuto, G.; Sanches, S.; Crespo, J.G.; Pereira, V.J.; Huertas, R.M. Stability of Polymeric Membranes to UV Exposure before and after Coating with TiO2 Nanoparticles. Polymers 2022, 14, 124. [Google Scholar] [CrossRef]
- Karunarathne, W.A.H.M.; Molagoda, I.M.N.; Lee, K.T.; Choi, Y.H.; Yu, S.-M.; Kang, C.-H.; Kim, G.-Y. Protective Effect of Anthocyanin-Enriched Polyphenols from Hibiscus syriacus L. (Malvaceae) against Ultraviolet B-Induced Damage. Antioxidants 2021, 10, 584. [Google Scholar] [CrossRef] [PubMed]
- Ngamsuk, S.; Huang, T.-C.; Hsu, J.-L. Determination of Phenolic Compounds, Procyanidins, and Antioxidant Activity in Processed Coffea arabica L. Leaves. Foods 2019, 8, 389. [Google Scholar] [CrossRef] [PubMed]
- Vejdan, A.; Ojagh, S.M.; Adeli, A.; Abdollahi, M. Effect of TiO2 Nanoparticles on the Physico-Mechanical and Ultraviolet Light Barrier Properties of Fish Gelatin/Agar Bilayer Film. LWT Food Sci. Technol. 2016, 71, 88–95. [Google Scholar] [CrossRef]
- de Matos Fonseca, J.; Valencia, G.A.; Soares, L.S.; Dotto, M.E.R.; Campos, C.E.M.; de Matos Fonseca, J.; Fritz, A.R.M. Hydroxypropyl Methylcellulose-TiO2 and Gelatin-TiO2 Nanocomposite Films: Physicochemical and Structural Properties. Int. J. Biol. Macromol. 2020, 151, 944–956. [Google Scholar] [CrossRef] [PubMed]
- Yin, Y.; Wang, H.; Li, D.; Jing, W.; Fan, Y.; Xing, W. Fabrication of Mesoporous Titania–Zirconia Composite Membranes Based on Nanoparticles Improved Hydrosol. J. Colloid Interface Sci. 2016, 478, 136–144. [Google Scholar] [CrossRef] [PubMed]
- Koosha, M.; Hamedi, S. Intelligent Chitosan/PVA Nanocomposite Films Containing Black Carrot Anthocyanin and Bentonite Nanoclays with Improved Mechanical, Thermal and Antibacterial Properties. Prog. Org. Coat. 2019, 127, 338–347. [Google Scholar] [CrossRef]
- Ebrahimi, V.; Mohammadi Nafchi, A.; Bolandi, M.; Baghaei, H. Fabrication and Characterization of a pH-Sensitive Indicator Film by Purple Basil Leaves Extract to Monitor the Freshness of Chicken Fillets. Food Packag. Shelf Life 2022, 34, 100946. [Google Scholar] [CrossRef]
- GB 2707-2016; National Standard for Food Safety Fresh (Frozen) Livestock and Poultry Products. China Standard Press: Beijing, China, 2016.
- Sheng, X.; Shu, D.; Tang, X.; Zang, Y. Effects of Slightly Acidic Electrolyzed Water on the Microbial Quality and Shelf Life Extension of Beef during Refrigeration. Food Sci. Nutr. 2018, 6, 1975–1981. [Google Scholar] [CrossRef]








| Films | Thicknesses (μm) | Moisture Content (%) | Tensile Strength (MPa) | Elongation at Break (%) |
|---|---|---|---|---|
| SP | 63.02 ± 3.54 a | 19.97 ± 1.08 a | 23.84 ± 0.86 a | 15.26 ± 1.17 a |
| SPG10 | 68.81 ± 4.66 ab | 17.09 ± 0.51 b | 28.75 ± 0.57 b | 20.54 ± 0.74 c |
| SPG15 | 71.01 ± 6.28 b | 13.62 ± 0.52 c | 34.29 ± 0.94 d | 28.63 ± 0.48 f |
| SPG10T0.5 | 68.62 ± 3.51 ab | 17.64 ± 0.46 b | 31.83 ± 0.46 c | 19.56 ± 0.40 c |
| SPG10T1 | 68.04 ± 4.64 ab | 18.20 ± 0.42 b | 34.26 ± 0.36 d | 17.29 ± 0.86 b |
| SPG15T0.5 | 70.05 ± 1.58 b | 13.73 ± 0.49 c | 37.05 ± 0.61 e | 27.18 ± 0.49 e |
| SPG15T1 | 70.43 ± 4.67 b | 14.40 ± 0.59 c | 39.52 ± 0.60 f | 24.92 ± 0.20 d |
| Films | L | a | b | ΔE | The Color of Film |
|---|---|---|---|---|---|
| SP | 65.32 ± 1.18 e | 2.88 ± 0.35 f | 3.91 ± 0.22 c | 26.17 ± 1.17 a | ![]() |
| SPG10 | 46.49 ± 1.22 d | 0.46 ± 0.33 e | −1.50 ± 0.38 b | 44.77 ± 1.20 b | ![]() |
| SPG15 | 39.28 ± 1.89 b | −2.60 ± 0.47 cd | −2.71 ± 0.45 a | 51.99 ± 1.89 d | ![]() |
| SPG10T0.5 | 44.88 ± 0.92 cd | −1.89 ± 0.52 d | −1.36 ± 0.26 b | 46.39 ± 0.91 bc | ![]() |
| SPG10T1 | 43.92 ± 0.98 c | −3.76 ± 0.23 b | −1.42 ± 0.19 a | 54.76 ± 0.72 e | ![]() |
| SPG15T0.5 | 36.55 ± 0.74 a | −3.23 ± 0.37 bc | −2.02 ± 0.56 b | 47.37 ± 0.98 c | ![]() |
| SPG15T1 | 34.49 ± 1.09 a | −5.08 ± 0.57 a | −1.76 ± 0.38 a | 56.90 ± 1.13 f | ![]() |
Disclaimer/Publisher’s Note: The statements, opinions and data contained in all publications are solely those of the individual author(s) and contributor(s) and not of MDPI and/or the editor(s). MDPI and/or the editor(s) disclaim responsibility for any injury to people or property resulting from any ideas, methods, instructions or products referred to in the content. |
© 2023 by the authors. Licensee MDPI, Basel, Switzerland. This article is an open access article distributed under the terms and conditions of the Creative Commons Attribution (CC BY) license (https://creativecommons.org/licenses/by/4.0/).
Share and Cite
Jiang, K.; Li, J.; Brennan, M.; Brennan, C.; Chen, H.; Qin, Y.; Yuan, M. Smart Indicator Film Based on Sodium Alginate/Polyvinyl Alcohol/TiO2 Containing Purple Garlic Peel Extract for Visual Monitoring of Beef Freshness. Polymers 2023, 15, 4308. https://doi.org/10.3390/polym15214308
Jiang K, Li J, Brennan M, Brennan C, Chen H, Qin Y, Yuan M. Smart Indicator Film Based on Sodium Alginate/Polyvinyl Alcohol/TiO2 Containing Purple Garlic Peel Extract for Visual Monitoring of Beef Freshness. Polymers. 2023; 15(21):4308. https://doi.org/10.3390/polym15214308
Chicago/Turabian StyleJiang, Kai, Jiang Li, Margaret Brennan, Charles Brennan, Haiyan Chen, Yuyue Qin, and Mingwei Yuan. 2023. "Smart Indicator Film Based on Sodium Alginate/Polyvinyl Alcohol/TiO2 Containing Purple Garlic Peel Extract for Visual Monitoring of Beef Freshness" Polymers 15, no. 21: 4308. https://doi.org/10.3390/polym15214308
APA StyleJiang, K., Li, J., Brennan, M., Brennan, C., Chen, H., Qin, Y., & Yuan, M. (2023). Smart Indicator Film Based on Sodium Alginate/Polyvinyl Alcohol/TiO2 Containing Purple Garlic Peel Extract for Visual Monitoring of Beef Freshness. Polymers, 15(21), 4308. https://doi.org/10.3390/polym15214308








