Next Article in Journal
Frozen, Cold, or Cool? Chemical Assessment of the Effectiveness of Storage Conditions for Celluloid 3D Objects
Next Article in Special Issue
Increasing Bending Strength of Polycarbonate Reinforced by Carbon Fiber Irradiated by Electron Beam
Previous Article in Journal
A Poly-D-lysine-Coated Coralline Matrix Promotes Hippocampal Neural Precursor Cells’ Differentiation into GFAP-Positive Astrocytes
Previous Article in Special Issue
ZnO Treatment on Mechanical Behavior of Polyethylene/Yellow Birch Fiber Composites When Exposed to Fungal Wood Rot
 
 
Font Type:
Arial Georgia Verdana
Font Size:
Aa Aa Aa
Line Spacing:
Column Width:
Background:
Article

Analysis of Mechanical Properties and Structural Analysis According to the Multi-Layered Structure of Polyethylene-Based Self-Reinforced Composites

1
DYETEC (Dyeing & Finishing Technology Institute), Computer Aided Engineering (CAE) Center, Daegu 41706, Republic of Korea
2
Department of Energy Engineering, Shinhan University, 95, Hoam-ro, Uijeongbu-si 11644, Republic of Korea
3
KAIST Institute for Information Technology Convergence Intergrated Sensor Team, KAIST, Daejeon 34141, Republic of Korea
4
Department of Advanced Materials Engineering, Shinhan University, 95, Hoam-ro, Uijeongbu-si 11644, Republic of Korea
*
Authors to whom correspondence should be addressed.
Polymers 2023, 15(20), 4055; https://doi.org/10.3390/polym15204055
Submission received: 1 August 2023 / Revised: 4 October 2023 / Accepted: 8 October 2023 / Published: 11 October 2023

Abstract

:
In this research, a self-reinforced composite material was manufactured using a single polyethylene material, and this self-reinforced composite material has excellent recyclability and is environmentally friendly compared to composite materials composed of other types of material, such as glass fiber reinforced composites (GFRP) and carbon fiber reinforced composites (CFRP). In this research, the manufactured self-reinforced composite material consists of an outer layer and an inner layer. To manufacture the outer layer, low density polyethylene (LDPE) films were laminated on high density polyethylene (HDPE) fabrics and knitted fabrics, and composite materials were prepared at various temperatures using hot stamping. A 3D printing process was utilized to manufacture the inner layer. After designing a structure with a cross-sectional shape of a triangle, circle, or hexagon, the inner layer structure was manufactured by 3D printing high-density polyethylene material. As an adhesive film for bonding the outer layer and the inner layer, a polyethylene-based self-reinforced composite material was prepared using a low-density polyethylene material. Input data for simulation of self-reinforced composite materials were obtained through tensile property analysis using a universal testing machine (UTM, Shimadzu, Kyoto, Japan), and the physical property values derived as output data and actual experimental values were obtained. As a result of the comparison, the error rate between simulation data and experimental data was 5.4% when the shape of the inner layer of self-reinforced composite material was a hexagon, 3.6% when it was a circle, and 7.8% when a triangular shape showed the highest value. Simulation in a virtual space can reduce the time and cost required for actual research and can be important data for producing high-quality products.

1. Introduction

Self-reinforced composite (SRC) is a composite material manufactured by melting and recrystallizing the matrix at an appropriate temperature and pressure with the same polymeric reinforcement and matrix [1,2,3,4,5,6]. SRC is a composite material manufactured using the same polymer, and has excellent recyclability compared to composite materials composed of other types. It has the advantage of excellent compatibility [7,8,9,10,11]. in the research of Chandran and Padmanabhan, the interface of the self-reinforced composite material was observed, and it was confirmed that the interfacial bonding force was higher than that of the existing composite material, which is a heterogeneous material [12]. Accordingly, it is a product that can replace existing glass fiber reinforced plastics (GFRP) and carbon fiber reinforced plastics (CFRP) in some industrial fields [13,14,15,16,17,18].
As a study for manufacturing self-reinforced composite materials, Loos et al. developed a new technology to produce SRC using bi-component tape material [19]. In this research, a copolymer with a lower melting point than bi-component tape material was used as a matrix, and methods for manufacturing SRC included a powder impregnation method, solvent impregnation method, and film lamination method. The solution impregnation method has good impregnability because the resin is dissolved in a solvent, but it has the fatal disadvantage of poor productivity because the solvent volatilization time is long [20,21]. On the other hand, the film lamination method is a method that is widely used due to a simple manufacturing process. Since it is manufactured with a relatively simple process, it has excellent productivity and has the advantage that the physical properties of the manufactured product are uniform [22,23,24,25,26]. Santos has conducted research on several types of self-reinforced composite materials manufactured using a single polymer such as polypropylene, polyester, and polyamide [27]. The tensile strength, flexural strength, and impact strength of self-reinforced composites using a single material were analyzed. However, no research has been conducted on self-reinforced composite materials using polyethylene in any research.
Therefore, in this study, a polyethylene material-based self-reinforced composite material was manufactured using the film lamination method, and a physical property database was established according to the manufacturing process conditions. Through this, we tried to secure the reliability of the simulation value. The material property database was used as input data for simulation, and output data, which are the result of the simulation, were also derived. The self-reinforced composite material manufactured in this study consists of an outer layer and an inner layer. To manufacture the outer layer, low density polyethylene (LDPE) films were laminated on high density polyethylene (HDPE) fabrics and knitted fabrics, and composite materials were prepared at various temperatures using hot stamping. A 3D printing process was utilized to manufacture the inner layer [28,29,30]. First, after designing a structure with a cross-sectional shape of a triangle, circle, or hexagon, the inner layer structure was manufactured by 3D printing high-density polyethylene material. An inner layer with a thickness of 20 mm was manufactured using HDPE plastic for 3D printing. As an adhesive film for bonding the outer layer and the inner layer, a polyethylene-based self-reinforced composite material was prepared using a low-density polyethylene material. Input data for the simulation of self-reinforced composite materials were obtained through tensile property analysis using a Universal Testing Machine (UTM, Shimadzu, Kyoto Japan), and the physical property values derived as output data and actual experimental values were also obtained by proceeding with comparison, and we tried to confirm the reliability of the simulation values, which are the output data. We tried to secure the reliability of simulation values by comparing the similarity between experimental and simulated values, and reliable simulation data are innovative because they can reduce the time and cost required for research. The software used for 3D modeling was ABAQUS CAE (Simulia, version 6.6, New York, NY, USA). The unit cell was defined using two-dimensional beam elements, and the effective elastic modulus and Poisson’s ratio in each direction were derived. The simulation values of self-reinforced composite materials have meaningful results. By predicting the physical properties of self-reinforced composite materials through simulation, the cost and time required for product development can be reduced. This is because physical properties can be known without actually producing a sample. Composite materials used in the mobility industry or aerospace industry take a lot of time and money to manufacture. The technology of this study can be considered groundbreaking because the performance of these composite materials can be known in advance through simulation.

2. Materials and Methods

2.1. Materials and Manufacture of Composite Materials

The structure of the self-reinforced composite material to be manufactured is shown in Figure 1, and the self-reinforced composite material is composed of an outer layer and an inner layer. The outer layer of the self-reinforced composite material was prepared using HDPE fabric (woven, knitted) and LDPE film. The structures of HDPE fabrics and knitted fabrics are shown in Table 1. HDPE fabric (Kolon industry, Ulsan-si, Republic of Korea) used a total of three types of fabrics including plain weave, twill weave, and satin weave. Two types of HDPE knitted fabrics (Kolon industry, Ulsan-si, Republic of Korea) were used: circular knitting and warp knitting. The types and basic information of HDPE fabrics are shown in Table 1.
The LDPE film (SK chemical, Seongnam-si, Republic of Korea) used a material with a thickness of 0.03 mm and a melt index (M.I) of 3.1 g/10 min. The thickness of the HDPE fabric and knitted fabric was the same at 0.3 mm. HDPE fabric was set to 5 ply and LDPE film was set to 15 ply to produce an outer layer of self-reinforcing composite material composed of HDPE fabric and LDPE film. An outer layer of material was prepared. The film content of the outer layer of the self-reinforced composite material was derived using Equation (1)
R / C = R F + R × 100
In which,
  • R/C: LDPE film (resin) content, %;
  • R: Resin weight, kgf;
  • F: Fabric weight, kgf.
The melting point of the HDPE material is 143.6 °C and the melting point of LDPE material is 117.4 °C. Accordingly, the temperature and pressure conditions for manufacturing the outer layer of the self-reinforced composite material are shown in Figure 2.
In the case of the inner layer of the self-reinforced composite material, an inner layer with a thickness of 20 mm was prepared using HDPE plastic (SK chemical, Seongnam-si, Republic of Korea) for 3D printing, and the cross-sectional shape was set to triangle, circle, and hexagon. The designed shape is shown in Table 2, and 2-ply LDPE films were laminated on the upper and lower sides of the inner layer of the self-reinforced composite material, respectively, to combine the inner and outer layers. Since the HDPE material should not melt, the molding conditions for bonding the outer and inner layers of the self-reinforced composite material were carried out in the same way as in Figure 2.

2.2. Thermal Characterization

The thermal characteristics of the outer layer of the manufactured self-reinforced composite material were analyzed according to the manufacturing conditions to analyze the correlation between the constituent materials and structures constituting the outer layer and the thermal characteristics. To analyze the thermal characteristics, the thermal conductivity was derived according to the manufacturing conditions of the outer layer of the self-reinforced composite material, and the thermal conductivity was calculated according to Equation (2).
T h e r m a l   C o n d c t i v i t y = W × D A × T
In which,
  • W: Heat flow, J/s;
  • D: Thickness of specimen, m;
  • A: Heating plate area, m2;
  • ΔT: Temperature difference between the specimen stand and the hot plate, K.
Self-reinforced composite materials can be applied to various industrial fields depending on the characteristics of the material used. Products with high thermal conductivity can be used for the purpose of releasing heat, and products with low thermal conductivity can be used for insulation purposes.

2.3. Mechanical Characterization

The evaluation of mechanical properties such as tensile strength, flexural strength, and shear strength was conducted only for the outer layer of the manufactured self-reinforced composite material, and simulation was conducted based on the established data. In the case of the tensile strength of the outer layer of the self-reinforced composite material, the test was conducted with a universal testing machine (UTM, Shimadzu, Kyoto, Japan) in accordance with ASTM D3039 [31]. The size of the specimen was 175 × 25 mm2. Tensile strength and tensile modulus were measured at a tensile speed of 2 mm/min, five specimens were measured, and the average value was obtained. In the case of flexural strength, it was conducted in accordance with ASTM D790 [32], the thickness of the specimen and the length of the support span were set at a ratio of 16:1, and the flexural test was conducted. In the case of shear strength, after preparing a specimen in the form of a v-notch in accordance with ASTM D5379 [33], the test was conducted with a universal tensile tester. The size of the specimen was 80 × 10 mm2, and the shear strength was measured at the speed of the experiment at 2 mm/min. Five specimens were measured and the average value was obtained. Young’s modulus and Poisson’s ratio value for the HDPE material used to manufacture the inner layer of the self-reinforced composite material were provided by the material supplier (SK Chemicals, Seongnam-si, Republic of Korea).
The mechanical property evaluation data of the outer layer of the self-reinforced composite material and the material property data of the inner layer were used as input data for the simulation. The compression test was conducted with a universal testing machine by setting the compression speed to 2 mm/min.

2.4. 3D Modeling and Boundary/Load Condition

Based on the tensile property evaluation data of the outer layer of the self-reinforced composite material and the material data used to manufacture the inner layer of the self-reinforced composite material, the composite material was 3D modeled in a virtual space, and the external compressive load of the self-reinforced composite material in which the inner and outer layers were combined. After setting the boundary conditions, we tried to conduct a physical property prediction simulation according to the external load condition and the inner layer structure (hexagon, circle, triangle) of the self-reinforced composite material. For the input data of the outer layer of self-reinforced composite material, the resultant value of specimen #3 was used, and a simulation was conducted according to the structure of the inner layer of the self-reinforced composite material.
The software used for 3D modeling was ABAQUS CAE (Simulia, version 6.6, New York, NY, USA). A unit cell was defined using a two-dimensional order element, and the effective elastic modulus in each direction and the O′ distribution were obtained. The size or shape of the element was not significantly affected and the unusable isometric site was used. The element type was assumed to be C3D8R (An 8-node linear brick, reduce integration, hourglass control). The external consumption condition was set at a compression speed of 2 mm/min in the vertical direction on top of the self-reinforced composite material combined with the inner and outer layers. The boundary conditions were simulated by completely fixing the side and bottom surfaces of the self-defense reinforced composite material.

3. Results and Discussion

3.1. Thermal Characterization Results

Table 3 shows the thermal conductivity analysis results, which are the thermal characteristics of the outer layer of the manufactured self-reinforced composite material according to the manufacturing conditions. HDPE thermal conductivity values vary depending on factors such as the thickness and density of the fabric, and since the thermal conductivity of the air layer is 0.024 W/m·k, the thermal conductivity value varies depending on the content of the air layer [34,35,36]. The HDPE woven fabrics manufactured in this study have different structures such as plain weave, twill weave, satin weave, warp weave, and circular weave. In the case of the outer layer of the self-reinforced composite material made of HDPE fabric, the value increased by about 25.2% or more compared to the average value of the outer layer of the self-reinforced composite material to which the HDPE knitted fabric was applied. This is considered to be because the outer layer of the self-reinforced composite made of HDPE knitted fabric has a wider gap between materials and has a relatively larger number of air layers compared to the outer layer of the self-reinforced composite made of HDPE fabric.
On the other hand, the error rate between HDPE fabrics (plain, twill, satin) showed an approximate value within ±5%, and the thermal conductivity value of the outer layer of the self-reinforced composite made of HDPE satin weave was 7.1% higher than that of the self-reinforced composite made of HDPE plain weave, which showed a higher value. In the case of the outer layer of the self-reinforced composite material made of satin weave, it is judged that the thermal conductivity is high because the gap between materials is tighter than that of plain weave, and the air layer content is relatively small due to the high density of the woven fabric [37,38,39]. Heat transfer by convection can be calculated according to Formula (3), and the surface area where convection heat transfer occurs is relatively larger in the HDPE fabric, and among the fabrics, the satin weave has the largest surface area, so it is judged that the thermal conductivity is high.
Q c o n v = h A s T s T o o [ W ]
In which,
  • h: Convective heat transfer coefficient, W/m2·K;
  • As: Surface area where convective heat transfer occurs, m2;
  • Ts: Solid surface temperature, K;
  • Too: The temperature of a fluid that is not affected by the temperature of a solid, K.

3.2. Mechanical Characterization Result

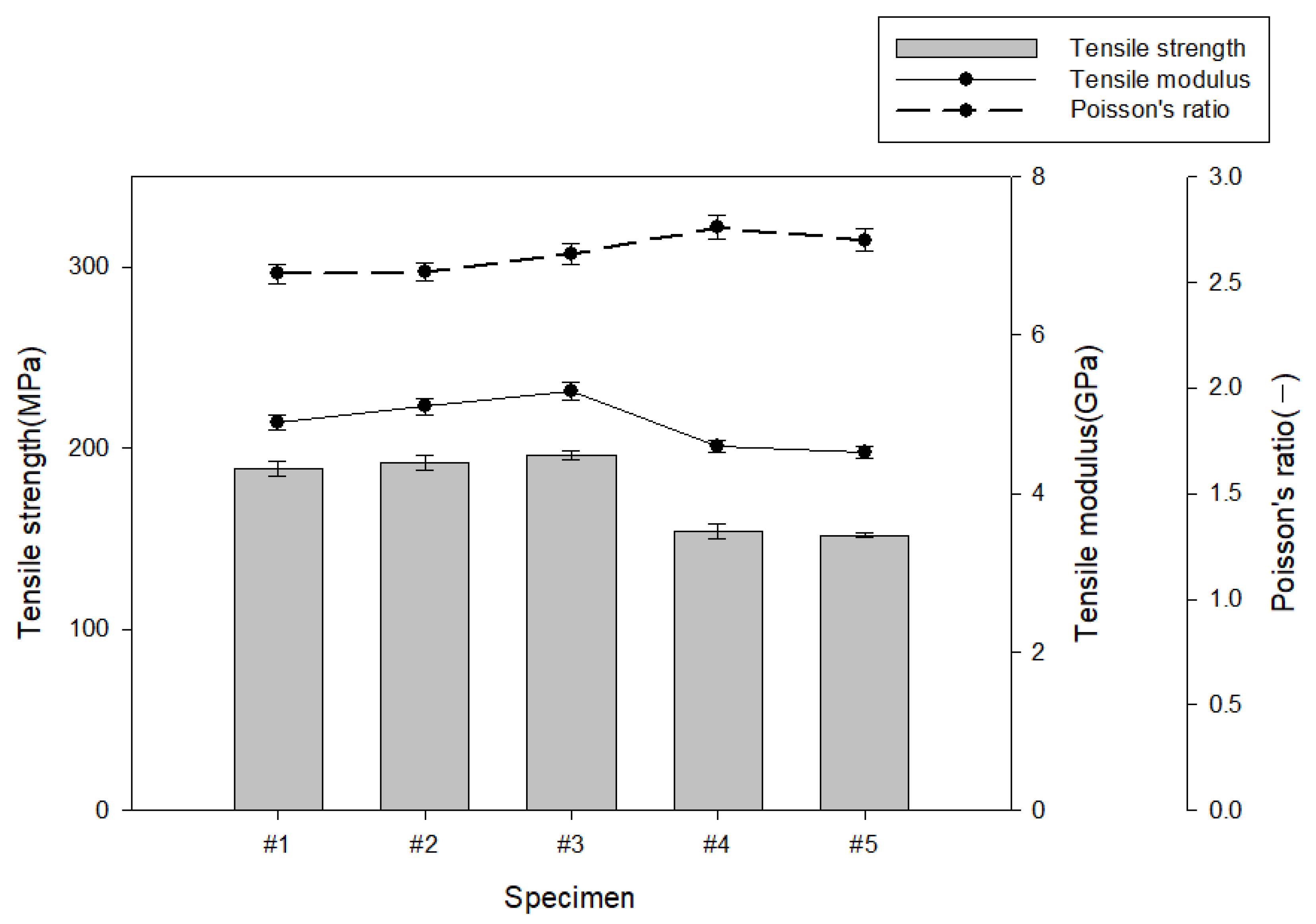
The film content calculated according to Equation (1) is shown in Table 4. Figure 3 shows the measurement results of tensile strength, tensile modulus, and Poisson’s ratio of the HDPE/LDPE self-reinforced composites. As a result of analyzing the film content for each manufacturing condition of the outer layer of the self-reinforced composite material, the average value of the HDPE knitted fabric was improved by more than 11.5% compared to the average value of the fabric. This is because, when preparing a specimen for mechanical property analysis, the specimen must be manufactured with a constant thickness, so the fabric having a relatively high reinforcing material content per unit area was measured to have a low reinforcing material content.
In the case of the result of analyzing the tensile properties of the outer layer of the self-reinforced composite material, the #3 specimen showed 196 MPa, a value improved by more than 28.9% in tensile strength compared to the #5 specimen. In the case of polyethylene-based self-reinforcing composites, since they are manufactured by applying the same polyethylene material, the thermal expansion coefficient between the base material and the reinforcing material is basically the same, so the interfacial bonding strength is excellent, but the tensile properties are also different because the structure of the reinforcing material is different. It is believed that the tensile strength and tensile modulus of elasticity are improved because the HDPE fabric has a denser structure compared to the HDPE knitted fabric and has a higher ratio of reinforcing materials oriented in the tensile direction. On the other hand, the poisson’s ratio value of the #3 specimen showed a value that improved by more than 3.7% compared to the #1 specimen, which is because the #3 specimen has relatively more intersections of warp and weft yarns in terms of fabric structure, so the frictional force is improved compared to the #1 specimen, and the tensile strength and tensile elasticity are judged to be such that that the coefficient increased slightly.
Figure 4 is the result of analyzing the flexural strength of the outer layer of the self-reinforced composite material. Similar to the tensile strength analysis result, the #3 sample woven with satin weave showed the highest value at 182.2 MPa, but the difference between the maximum and minimum values of the measured values was 8.2%, which was different from the tensile strength analysis results. When a bending load is applied in the vertical direction, the internal resistance of the #3 specimen, which has a relatively dense structure, is high, but the content of the reinforcing material is relatively low compared to the knitted fabric. Judging from these results, it is judged that the flexural strength of the outer layer of the self-reinforced composite material is influenced by the content of the base material as well as the structure of the reinforcing material. Flexural strength of the outer layer of the self-reinforced composite material shows significant results. Specimen #3 showed the highest measured flexural strength. This means that specimen #3 has a dense structure. Materials with high flexural strength are likely to be used in industrial products or structures that must withstand external pressure or load. However, because the absolute value is not high, there is a need to continuously conduct research and development to improve flexural strength.
Figure 5 is the shear strength analysis result of the outer layer of the self-reinforced composite material. The shear strength tends to be higher as the interfacial bonding force of the specimen is better, and the shear strength results showed an approximate value within ±5% for all specimens #1 to #5. Self-reinforced composites were manufactured using composite materials of the same series. Because the self-reinforced composite material was manufactured using the same series of composite materials, the thermal expansion coefficient is almost the same. Therefore, it is judged that the shear strength values were almost similar.
In the case of carbon composite materials manufactured using carbon fiber and thermosetting epoxy resin, the shear strength value decreases because the thermal expansion coefficients of carbon fiber and thermosetting epoxy resin are different [40,41]. On the other hand, because self-reinforced composites have excellent shear strength values, they can be used in various industrial fields by replacing carbon composite materials. If we continue to research self-reinforced composite materials, we can produce better results than the current self-reinforced composite materials.

3.3. Simulation Results

Table 5 shows the input data generation results of the outer and inner layers of the self-reinforced composite material for the prediction simulation of physical properties. As the input data, the result value of the #3 specimen derived from the analysis of tensile properties and the data value of the material used for manufacturing the inner layer of the self-reinforced composite material were used.
Simulation results for the compressive load values according to the inner layer structure (triangle, circle, hexagon) of the self-reinforced composite material were derived, and the results of generating the 3D model of the inner layer structure of the self-reinforced composite material are shown in Table 6.
The structural analysis results according to the inner layer structure of the self-reinforced composite material in which the outer and inner layers are combined are shown in Figure 6, and the comparison results between the actual compressive load test value and the simulation result value according to the inner layer structure are shown in Table 7.
The error rate between the simulation data and simulation data was 5.4% when the shape of the inner layer of the self-reinforced composite material was a hexagon, 3.6% when it was a circle, and 7.8% when it was a triangle, showing the highest value. The reason for the error between the actual compression test value and the simulation data due to the damage caused by thermal deformation during the molding process for manufacturing the outer layer of self-reinforced composite material and the occurrence of unlaminated parts during the 3D printing process for manufacturing the inner layer of self-reinforced composite material are judged [42,43,44,45,46].

4. Conclusions

In this study, after manufacturing a polyethylene material-based self-reinforced composite material, a physical property database was established according to manufacturing process conditions, and through a physical property database-based property prediction simulation, the reliability of the simulation value was secured by comparing the experimental value with the simulated value. The conclusion was as follows.
The self-reinforced composite material consists of an outer layer and an inner layer, and the outer layer of the self-reinforced composite material is composed of a woven fabric and a film layer. As a result of analyzing the thermal characteristics, the value increased by about 25.2% or more than the average value of the outer layer of the self-reinforced composite material to which the HDPE fabric was applied.
As a result of analyzing the mechanical properties of the outer layer of the self-reinforced composite material, the tensile value and the flexural strength value of the specimen made of HDPE fabric showed a maximum improvement of 28.9%. In the case of shear strength, an approximate value within ±5% was shown. Because they are manufactured by applying the same polyethylene material, the thermal expansion coefficients between the base material and the reinforcing material are basically the same, so the interfacial bonding strength is excellent, but it is judged that the tensile properties are also different because the structure of the reinforcing material is different.
As a result of analyzing the compressive strength of the specimen in which the outer and inner layers of the self-reinforced composite material were combined, the error rate between simulation data and simulation data was 5.4% when the shape of the inner layer of the self-reinforced composite material was a hexagon and 3.6% when the shape was a circle. The triangle showed the highest value at 7.8%. The reason for the error between the compression test value and the simulation data seems to be due to the damage mechanism due to thermal deformation generated during the molding process.
In this research, the thermal and mechanical properties of the self-reinforced composite material based on polyethylene were analyzed, and a correlation analysis between the experimental and simulated values was conducted through the simulation based on the physical property database. In the future, it is expected that various guidelines will be presented by changing the material and manufacturing process conditions according to the application field.

Author Contributions

Conceptualization, J.S.; Investigation, H.C.; Resources, J.L. and J.K.; Writing—original draft, S.Y.; Funding acquisition, C.K. All authors have read and agreed to the published version of the manuscript.

Funding

This research is supported by [Material Parts Technology Development Project (20017544)] through the Ministry of Trade, Industry and Energy (MOTIE) (N0002602).

Institutional Review Board Statement

Not applicable.

Data Availability Statement

The data presented in this study are available from the corresponding author upon reasonable request.

Conflicts of Interest

The authors declare no conflict of interest.

References

  1. González-Castillo, E.I.; Torres, Y.; González, F.J.; Aguilar-Rabiela, A.E.; Shuttleworth, P.S.; Ellis, G.J.; Boccaccini, A.R. Thermal and tribo-mechanical properties of high-performance poly(etheretherketone)/reduced graphene oxide nanocomposite coatings prepared by electrophoretic deposition. J. Mater. Sci. 2023, 58, 10370–10388. [Google Scholar] [CrossRef]
  2. Zhai, J.; Sun, Y.; Zhang, Q.; Qin, X. Research on mechanical characteristics of bulge formed joint based on plastic strain energy density. Int. J. Press. Vessel. Pip. 2023, 202, 104903. [Google Scholar] [CrossRef]
  3. Ortwein, R.; Hromadka, J.; Kovarik, K.; Havlicek, J.; Sestak, D.; Yanovskiy, V.; Panek, R. Dynamic analysis of the COMPASS-U tokamak for the design of foundation. Fusion Eng. Des. 2022, 182, 113221. [Google Scholar] [CrossRef]
  4. Cong, X.; Ren, J.; Xiang, C.; Gai, X.; Wang, G.; Yang, Y.; Wang, S.; Zhang, J.; Luan, J.; Yu, Z. Preparation of a novel poly (ether ether ketone) self-reinforced paper appropriate for harsh conditions. J. Mater. Sci. 2021, 56, 11174–11185. [Google Scholar] [CrossRef]
  5. Huang, H.; Yao, J.; Li, L.; Zhu, F.; Liu, Z.; Zeng, X.; Yu, X.; Huang, Z. Reinforced polyaniline/polyvinyl alcohol conducting hydrogel from a freezing–thawing method as self-supported electrode for supercapacitors. J. Mater. Sci. 2016, 51, 8728–8736. [Google Scholar] [CrossRef]
  6. Zherebtsov, D.; Chukov, D.; Royaud, I.; Ponçot, M.; Larin, I.; Statnik, E.S.; Drozdova, T.; Kirichenko, A.; Salimon, A.; Sherif, G.; et al. On the Structural Peculiarities of Self-Reinforced Composite Materials Based on UHMWPE Fibers. Polymers 2021, 13, 1408. [Google Scholar] [CrossRef] [PubMed]
  7. Sedayu, B.B.; Cran, M.J.; Bigger, S.W. Reinforcement of Refined and Semi-Refined Carrageenan Film with Nanocellulose. Polymers 2020, 12, 1145. [Google Scholar] [CrossRef]
  8. Khan, A.; Ubaid, F.; Fayyad, E.M.; Ahmad, Z.; Shakoor, R.A.; Montemor, M.F.; Kahraman, R.; Mansour, S.; Hassan, M.K.; Hasan, A.; et al. Synthesis and properties of polyelectrolyte multilayered microcapsules reinforced smart coatings. J. Mater. Sci. 2019, 54, 12079–12094. [Google Scholar] [CrossRef]
  9. López, A.M.; Miguel Sosa, P.F.; Bonet Senach, J.L.; Fernandez Prada, M.A. Experimental study of shear strength in continuous reinforced concrete beams with and without shear reinforcement. Eng. Struct. 2020, 220, 110967. [Google Scholar] [CrossRef]
  10. Kumar, R.; Malaval, B.; Antonov, M.; Zhao, G. Performance of polyimide and PTFE based composites under sliding, erosive and high stress abrasive conditions. Tribol. Int. 2020, 147, 106282. [Google Scholar] [CrossRef]
  11. Chiappone, A.; Nair, J.R.; Gerbaldi, C.; Bongiovanni, R.; Zeno, E. UV-cured Al2O3-laden cellulose reinforced polymer electrolyte membranes for Li-based batteries. Electrochim. Acta 2015, 153, 97–105. [Google Scholar] [CrossRef]
  12. Chandran, M.S.; Padmanabhan, K. A novel correlative formulation of interfacial, quasi-static and dynamic behavior of polyamide self reinforced polymer composites. Mater. Today Proc. 2021, 46, 9263–9269. [Google Scholar] [CrossRef]
  13. Zhang, Z.; Wu, X.; Zhang, J.; Sun, Q.; Tian, P.; Hu, G. Numerical investigation on the flexural behavior of GFRP reinforced concrete beams with CFRP grid-reinforced engineered cementitious composites. Eng. Struct. 2023, 288, 116163. [Google Scholar] [CrossRef]
  14. Tao, Y.; Hadigheh, S.A.; Wei, Y. Recycling of glass fibre reinforced polymer (GFRP) composite wastes in concrete: A critical review and cost benefit analysis. Structures 2023, 53, 1540–1556. [Google Scholar] [CrossRef]
  15. Abdullah, Q.N.; Abdulla, A.I. Flexural behavior of a box ferrocement beams consisting of self-compacted mortar reinforced by fiber glass mesh and GFRP bars after exposure to high temperatures. J. Build. Eng. 2023, 74, 106917. [Google Scholar] [CrossRef]
  16. Wang, T.; Yang, W.; Yin, C. Experimental studies on the axial compression behavior of hollow sandwich concrete GFRP-steel tube composite short columns. Constr. Build. Mater. 2023, 378, 131160. [Google Scholar] [CrossRef]
  17. Dong, S.; Li, C.; Xian, G. Environmental Impacts of Glass- and Carbon-Fiber-Reinforced Polymer Bar-Reinforced Seawater and Sea Sand Concrete Beams Used in Marine Environments: An LCA Case Study. Polymers 2021, 13, 154. [Google Scholar] [CrossRef] [PubMed]
  18. Striemann, P.; Hülsbusch, D.; Niedermeier, M.; Walther, F. Optimization and Quality Evaluation of the Interlayer Bonding Performance of Additively Manufactured Polymer Structures. Polymers 2020, 12, 1166. [Google Scholar] [CrossRef]
  19. Loos, J.; Schimanski, T.; Hofman, J.; Peijs, T.; Lemstra, P.J. Morphological Investigations of Polypropylene Single-fibre Reinforced Polypropylene Model Ccomposites. Polymer 2001, 42, 3827–3834. [Google Scholar] [CrossRef]
  20. Wang, H.; Cai, D.; Yang, Z.; Duan, X.; He, P.; Li, D.; Wang, B.; Jia, D.; Zhou, Y. Hot-press sintering studies of sol-gel-prepared composite powders: A novel preparation method to improve mechanical properties of BN-BAS composite ceramics. Ceram. Int. 2022, 48, 17539–17547. [Google Scholar] [CrossRef]
  21. Alizadeh, A.; Maleki, M.; Abdollahi, A. Preparation of super-high strength nanostructured B4C reinforced Al-2Cu aluminum alloy matrix composites by mechanical milling and hot press method: Microstructural, mechanical and tribological characterization. Adv. Powder Technol. 2017, 28, 3274–3287. [Google Scholar] [CrossRef]
  22. Kawagoe, Y.; Kawai, K.; Kumagai, Y.; Shirasu, K.; Kikugawa, G.; Okabe, T. Multiscale modeling of process-induced residual deformation on carbon-fiber-reinforced plastic laminate from quantum calculation to laminate scale finite-element analysis. Mech. Mater. 2022, 170, 104332. [Google Scholar] [CrossRef]
  23. Cao, M.; Chen, L.; Fang, Q. Penetration and perforation characteristics of the novel UHMWPE film laminates by the 7.62 mm standard bullet. Compos. Struct. 2023, 308, 116669. [Google Scholar] [CrossRef]
  24. Sharma, P.; Yadav, A.; Meena, M.; Roy, P.; Nebhani, L. Epoxy-based reflective adhesive for lamination of single-sided metallized film over glass fabric destined for its use as reflective layer in fire proximity clothing. Polym. Degrad. Stab. 2023, 213, 110365. [Google Scholar] [CrossRef]
  25. Mudzi, P.; Wu, R.; Firouzi, D.; Ching, C.Y.; Farncombe, T.H.; Selvaganapathy, P.R. Use of patterned thermoplastic hot film to create flexible ballistic composite laminates from UHMWPE fabric. Mater. Des. 2022, 214, 110403. [Google Scholar] [CrossRef]
  26. Erdene-Ochir, O.; Do, V.T.; Chun, D.M. Facile fabrication of durable and flexible superhydrophobic surface with polydimethylsiloxane and silica nanoparticle coating on a polyethylene terephthalate film by hot-roll lamination. Polymer 2022, 255, 125158. [Google Scholar] [CrossRef]
  27. Santos, R.A.M.; Gorbatikh, L.; Swolfs, Y. Commercial Self-reinforced composites: A Comparative study. Compos. Part B Eng. 2021, 223, 109108. [Google Scholar] [CrossRef]
  28. Mieloszyk, M.; Shafighfard, T.; Majewska, K.; Andrearczyk, A. An Influence of Temperature on Fiber Bragg Grating Sensor Embedded into Additive Manufactured Structure. Eur. Workshop Struct. Health Monit. 2022, 253, 495–501. [Google Scholar]
  29. Shafighfard, T.; Mieloszyk, M. Model of the Temperature Influence on Additively Manufactured Carbon Fibre Reinforced Polymer Samples with Embedded Fibre Bragg Grating Sensors. Materials 2022, 15, 222. [Google Scholar] [CrossRef]
  30. Wong, J.; Altassan, A.; Rosen, D.W. Additive manufacturing of fiber-reinforced polymer composites: A technical review and status of design methodologies. Compos. Part B Eng. 2023, 255, 110603. [Google Scholar] [CrossRef]
  31. ASTM D3039; Standard Test Method for Tensile Properties of Polymer Matrix Composite Materials. ASTM: West Conshohocken, PA, USA, 2022.
  32. ASTM D790; Standard Test Methods for Flexural Properties of Unreinforced and Reinforced Plastics and Electrical Insulating Materials. ASTM: West Conshohocken, PA, USA, 2017.
  33. ASTM D5379; Standard Test Method for Shear Properties of Composite Materials by the V-Notched Beam Method. ASTM: West Conshohocken, PA, USA, 2019.
  34. Wei, B.; Yang, N.; Tian, M.; Qu, L.; Zhu, S. Effect of coating methods on thermal conductivity of graphene-coated fabrics for welding protective clothing. Mater. Lett. 2022, 314, 131787. [Google Scholar] [CrossRef]
  35. Li, P.; Zhang, Z.; Yang, M.; Yuan, J.; Jiang, W. Synchronously improved thermal conductivity and tribological performance of self-lubricating fabric liner composites via integrated design method with copper yarn. Tribol. Int. 2021, 164, 107204. [Google Scholar] [CrossRef]
  36. Li, W.; Liang, H.; Zhang, Z.; Huang, J.; Huang, H.; Liang, J. Analysis of influence of fabric architecture and radiation characteristics on effective thermal conductivity of carbonized woven thermal protection composites. Acta Astronaut. 2021, 188, 387–399. [Google Scholar] [CrossRef]
  37. Schirmeister, C.G.; Hees, T.; Licht, E.H.; Mulhaupt, R. 3D printing of high density polyethylene by fused filament fabrication. Addit. Manuf. 2019, 28, 152–159. [Google Scholar] [CrossRef]
  38. Peijian, D.; Li, C.; Xiang, D.; Junbo, X.; Junling, L.; Wei, J.; Xu, D.; Yifan, Z.; Ziyue, G.; Xi, W. Multiscale analysis on the anisotropic thermal conduction of laminated fabrics by finite element method. Compos. Struct. 2022, 292, 115672. [Google Scholar] [CrossRef]
  39. Liang, B.; Zhao, Z.; Cheng, H.; Boisse, P.; Zhang, K.; Luo, B. A combined method for analyzing the effective thermal conductivity evolution of satin weave thermoset prepregs during preforming process. Int. J. Therm. Sci. 2022, 177, 107574. [Google Scholar] [CrossRef]
  40. Karami, Z.; Ganjali, M.R.; Dehaghani, M.Z.; Aghazadeh, M.; Jouyandeh, M.; Esmaeili, A.; Habibzadeh, S.; Mohaddespour, A.; Inamuddin Formela, K.; Haponiuk, J.T.; et al. Kinetics of Cross-Linking Reaction of Epoxy Resin with Hydroxyapatite-Functionalized Layered Double Hydroxides. Polymers 2020, 12, 1157. [Google Scholar] [CrossRef]
  41. Slobodian, P.; Riha, P.; Olejnik, R.; Matyas, J. Accelerated Shape Forming and Recovering, Induction, and Release of Adhesiveness of Conductive Carbon Nanotube/Epoxy Composites by Joule Heating. Polymers 2020, 12, 1030. [Google Scholar] [CrossRef]
  42. Kreiger, M.A.; Mulder, M.L.; Glover, A.G.; Pearce, J.M. Life cycle analysis of distributed recycling of post-consumer high density polyethylene for 3-D printing filament. J. Clean. Prod. 2014, 70, 90–96. [Google Scholar] [CrossRef]
  43. Zaccardi, F.; Toto, E.; Santonicola, M.G.; Laurenzi, S. 3D printing of radiation shielding polyethylene composites filled with Martian regolith simulant using fused filament fabrication. Acta Astronaut. 2022, 190, 1–13. [Google Scholar] [CrossRef]
  44. Ahmad, G.S.; Mohammed, A.S.; Tamer, M.E. The shear strength of existing non-seismic RC beam-column joints strengthened with CFRP Sheets: Numerical and analytical study. Eng. Structures. 2023, 291, 116497. [Google Scholar]
  45. Jager, B.D.; Moxham, T.; Besnard, C.; Salvati, E.; Chen, J.; Dolbnya, I.P.; Korsunsky, A.M. Synchrotron X-ray Scattering Analysis of Nylon-12 Crystallisation Variation Depending on 3D Printing Conditions. Polymers 2020, 12, 1169. [Google Scholar] [CrossRef] [PubMed]
  46. León, A.S.D.; Molina, S.I. Influence of the Degree of Cure in the Bulk Properties of Graphite Nanoplatelets Nanocomposites Printed via Stereolithography. Polymers 2020, 12, 1103. [Google Scholar] [CrossRef] [PubMed]
Figure 1. Self-reinforced composite structure (outer layer and inner layer).
Figure 1. Self-reinforced composite structure (outer layer and inner layer).
Polymers 15 04055 g001
Figure 2. Temperature and pressure conditions for manufacturing outer layer of self-reinforced composites.
Figure 2. Temperature and pressure conditions for manufacturing outer layer of self-reinforced composites.
Polymers 15 04055 g002
Figure 3. Tensile characteristic analysis results for each manufacturing condition of the outer layer of self-reinforced composites.
Figure 3. Tensile characteristic analysis results for each manufacturing condition of the outer layer of self-reinforced composites.
Polymers 15 04055 g003
Figure 4. Results of analysis of the flexural characteristics of the outer layer of self-reinforced composite materials according to manufacturing conditions.
Figure 4. Results of analysis of the flexural characteristics of the outer layer of self-reinforced composite materials according to manufacturing conditions.
Polymers 15 04055 g004
Figure 5. Results of analysis of shear characteristics for outer layer of self-reinforced composite material by manufacturing conditions.
Figure 5. Results of analysis of shear characteristics for outer layer of self-reinforced composite material by manufacturing conditions.
Polymers 15 04055 g005
Figure 6. Structural analysis results according to the inner layer structure of self-reinforced composite material.
Figure 6. Structural analysis results according to the inner layer structure of self-reinforced composite material.
Polymers 15 04055 g006
Table 1. HDPE fabric information for manufacturing outer layer of self-reinforced composites.
Table 1. HDPE fabric information for manufacturing outer layer of self-reinforced composites.
SampleDenier (−)Weight (g/m2)Thickness (mm)Structure
#1Plain20054.80.54Polymers 15 04055 i001
#2Twill20055.00.55Polymers 15 04055 i002
#3Satin20056.20.54Polymers 15 04055 i003
#4Warp knitting20052.10.54Polymers 15 04055 i004
#5Weft knitting20052.00.55Polymers 15 04055 i005
Table 2. Type of self-reinforced composite inner layer.
Table 2. Type of self-reinforced composite inner layer.
SampleMimetic Diagram
Inner layerHexagonPolymers 15 04055 i006Polymers 15 04055 i007
CirclePolymers 15 04055 i008Polymers 15 04055 i009
TrianglePolymers 15 04055 i010Polymers 15 04055 i011
Table 3. Result of analyzing the thermal properties of the outer layer of self-reinforced composites.
Table 3. Result of analyzing the thermal properties of the outer layer of self-reinforced composites.
SampleThermal Conductivity (W/m·k)Specimen
#1Plain0.331Polymers 15 04055 i012
#2Twill0.333Polymers 15 04055 i013
#3Satin0.346Polymers 15 04055 i014
#4Warp knitting0.441Polymers 15 04055 i015
#5Weft knitting0.443Polymers 15 04055 i016
Table 4. Result of analysis of reinforcing material content for each manufacturing condition of the outer layer of the self-reinforced composite material.
Table 4. Result of analysis of reinforcing material content for each manufacturing condition of the outer layer of the self-reinforced composite material.
Sample#1#2#3#4#5
Result39.67 (±0.03)39.22 (±0.04)38.73 (±0.02)42.61 (±0.08)42.82 (±0.09)
Table 5. Result of deriving input data for prediction simulation of self-reinforced composite material properties.
Table 5. Result of deriving input data for prediction simulation of self-reinforced composite material properties.
MaterialsInput Data
Young’s Modulus (GPa)Poisson’s Ratio
Self-Reinforced Composite Outer Layer5.21 (±0.07)0.25 (±0.02)
Self-Reinforced Composite inner Layer5.14 (±0.05)0.26 (±0.01)
Table 6. 3D modeling result of inner layer of self-reinforced composite material.
Table 6. 3D modeling result of inner layer of self-reinforced composite material.
SpecimenTriangleCircleHexagon
3D modeling of Outer LayerPolymers 15 04055 i017Polymers 15 04055 i018Polymers 15 04055 i019
Polymers 15 04055 i020Polymers 15 04055 i021Polymers 15 04055 i022
Table 7. Comparison of actual experimental values and simulation results according to self-reinforced composite materials.
Table 7. Comparison of actual experimental values and simulation results according to self-reinforced composite materials.
-ExpermentSimulationError Rate (%)
Max. Compressive Load (N) (at 2 mm)Max. Compressive Load (N) (at 2 mm)
Hexagon4027.54244.95.4
Circle10,857.711,248.53.6
Triangle8765.29448.87.8
graphPolymers 15 04055 i023Polymers 15 04055 i024-
Disclaimer/Publisher’s Note: The statements, opinions and data contained in all publications are solely those of the individual author(s) and contributor(s) and not of MDPI and/or the editor(s). MDPI and/or the editor(s) disclaim responsibility for any injury to people or property resulting from any ideas, methods, instructions or products referred to in the content.

Share and Cite

MDPI and ACS Style

Yu, S.; Lee, J.; Kim, J.; Chang, H.; Kang, C.; Sim, J. Analysis of Mechanical Properties and Structural Analysis According to the Multi-Layered Structure of Polyethylene-Based Self-Reinforced Composites. Polymers 2023, 15, 4055. https://doi.org/10.3390/polym15204055

AMA Style

Yu S, Lee J, Kim J, Chang H, Kang C, Sim J. Analysis of Mechanical Properties and Structural Analysis According to the Multi-Layered Structure of Polyethylene-Based Self-Reinforced Composites. Polymers. 2023; 15(20):4055. https://doi.org/10.3390/polym15204055

Chicago/Turabian Style

Yu, Seonghun, Junhee Lee, Jongkyu Kim, Hojong Chang, Chansol Kang, and Jeehyun Sim. 2023. "Analysis of Mechanical Properties and Structural Analysis According to the Multi-Layered Structure of Polyethylene-Based Self-Reinforced Composites" Polymers 15, no. 20: 4055. https://doi.org/10.3390/polym15204055

APA Style

Yu, S., Lee, J., Kim, J., Chang, H., Kang, C., & Sim, J. (2023). Analysis of Mechanical Properties and Structural Analysis According to the Multi-Layered Structure of Polyethylene-Based Self-Reinforced Composites. Polymers, 15(20), 4055. https://doi.org/10.3390/polym15204055

Note that from the first issue of 2016, this journal uses article numbers instead of page numbers. See further details here.

Article Metrics

Back to TopTop