Influence of Poly (benzyl oleate-co-maleic anhydride) Pour Point Depressant with Di-Stearyl Amine on Waxy Crude Oil
Abstract
1. Introduction
2. Materials and Methods
2.1. Materials
2.2. Petroleum Crude Oil
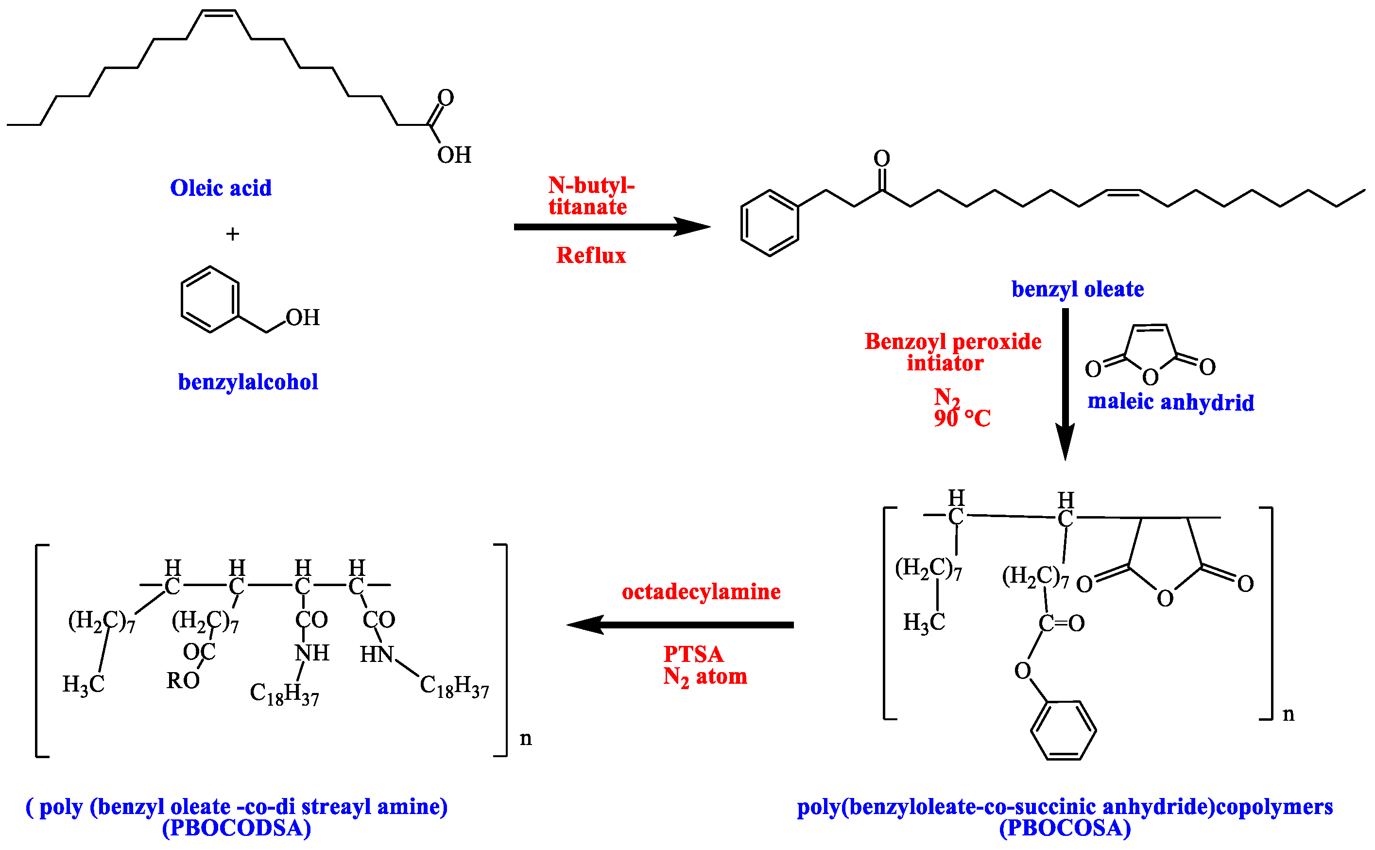
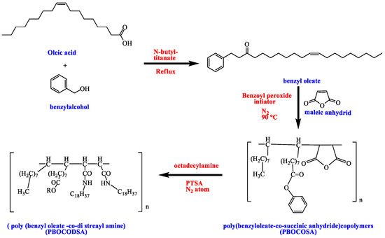
2.3. Esterification of Oleic Acid and Benzyl Alcohol
2.4. Preparation of Poly (benzyl oleate-co-succinic anhydride) Copolymer (PBOCOSA)
2.5. Preparation of Poly (benzyl oleate-co-distearyl amine) (PBOCODSA)
2.6. Characterization of Structural Properties of Polymeric Additives
2.7. Performance Evaluation of the Synthesized Polymeric Additives
2.7.1. Pour Point (PP) Measurements (ASTM D97)
2.7.2. Rheological Measurements
2.7.3. Crystallization Behaviour and Morphological Features Examination
DSC
XRD
Photomicrography
3. Results and Discussion
3.1. Structural Characterization of Copolymer and Its Derived Structure
3.1.1. FTIR
3.1.2. SEM Microscopy
3.1.3. XRD
3.1.4. Thermogravimetric Analysis (TGA) and Stability of Copolymers
3.1.5. Evaluation of PPD
3.1.6. Rheological Behaviour
3.1.7. Crystallization Behaviour
Thermal Analysis (DSC)
XRD
Microscopic Observations of Wax Structure Modification
4. Conclusions
Author Contributions
Funding
Institutional Review Board Statement
Data Availability Statement
Acknowledgments
Conflicts of Interest
References
- Soliman, E.A.; Elkatory, M.R.; Hashem, A.I.; Ibrahim, H.S. Synthesis and performance of maleic anhydride copolymers with alkyl linoleate or tetra-esters as pour point depressants for waxy crude oil. Fuel 2018, 211, 535–547. [Google Scholar] [CrossRef]
- Elkatory, M.; Soliman, E.; Hassaan, M.; Ali, R.; Hafez, E.; Ibrahim, H.S.; Hashem, A. Chemical mitigation technology for wax deposition in submarine oil pipeline systems. Egypt. J. Chem. 2021, 64, 5989–5997. [Google Scholar] [CrossRef]
- Elkatory, M.R.; Soliman, E.A.; El Nemr, A.; Hassaan, M.A.; Ragab, S.; El-Nemr, M.A.; Pantaleo, A. Mitigation and Remediation Technologies of Waxy Crude Oils’ Deposition within Transportation Pipelines: A Review. Polymers 2022, 14, 3231. [Google Scholar] [CrossRef] [PubMed]
- Ashmawy, A.M.; Elnaggar, E.-S.M.; Mohamed, M.G.; Hamam, M.F. Novel allyl-ester-based polymers as flow improvers for waxy crude oil. Chem. Ind. Chem. Eng. Q. 2021, 27, 395–402. [Google Scholar] [CrossRef]
- Al-Sabagh, A.M.; El-Hamouly, S.H.; Khidr, T.T.; El-Ghazawy, R.A.; Higazy, S.A. Synthesis of phthalimide and succinimide copolymers and their evaluation as flow improvers for an Egyptian waxy crude oil. Egypt. J. Pet. 2013, 22, 381–393. [Google Scholar] [CrossRef]
- Ghosh, P.; Das, M.; Das, T. Polyacrylates and acrylate-α;-olefin copolymers: Synthesis, characterization, viscosity studies, and performance evaluation in lube oil. Petr. Sci. Technol. 2014, 32, 804–812. [Google Scholar] [CrossRef]
- Joonaki, E.; Hassanpouryouzband, A.; Burgass, R.; Hase, A.; Tohidi, B. Effects of Waxes and the Related Chemicals on Asphaltene Aggregation and Deposition Phenomena: Experimental and Modeling Studies. ACS Omega 2020, 5, 7124–7134. [Google Scholar] [CrossRef] [PubMed]
- Mun, G.A.; Bekbassov, T.; Beksultanov, Z.; Yermukhambetova, B.B.; Azhgaliyev, B.; Azhgaliyev, N.; Dergunov, S.A. Modified graft copolymers based on ethylene vinyl acetate as depressants for waxy crude oil and their effect on the rheological properties of oil. J. Pet. Sci. Eng. 2022, 213, 110298. [Google Scholar] [CrossRef]
- Li, N.; Mao, G.; Shi, X.; Tian, S.; Liu, Y. Advances in the research of polymeric pour point depressants for waxy crude oils. J. Dispers. Sci. Technol. 2018, 39, 1165–1171. [Google Scholar] [CrossRef]
- Ning, X.; Song, X.; Zhang, S.; Wang, Y.; Feng, Y. Insights into Flow Improving for Waxy Crude Oil Doped with EVA/SiO2 Nanohybrids. ACS Omega 2022, 7, 5853–5863. [Google Scholar] [CrossRef]
- Holder, G.A.; Winkler, J. Crystal-Growth Poisoning of n-Paraffin Wax By Polymeric Additives and its Relevance to Polymer Crystallization Mechanisms. Nature 1965, 207, 719–721. [Google Scholar] [CrossRef]
- Kim, Y.W.; Eom, G.T.; Hong, J.S.; Chung, K.W. Fatty Acid Alkyl Esters as Feedstocks for the Enzymatic Synthesis of Alkyl Methacrylates and Polystyrene- co -alkyl Methacrylates for use as Cold Flow Improvers in Diesel Fuels. J. Am. Oil Chem. Soc. 2011, 88, 1727–1736. [Google Scholar] [CrossRef]
- Liu, D.; Zhang, H.; Li, C.; Yang, F.; Sun, G.; Yao, B. Experimental Investigation on the Interactions between Asphaltenes and Comb-like Octadecyl Acrylate (OA) Polymeric Flow Improvers at the Model Oil/Water Interface. Energy Fuels 2020, 34, 2693–2702. [Google Scholar] [CrossRef]
- Xu, J.; Xing, S.; Qian, H.; Chen, S.; Wei, X.; Zhang, R.; Li, L.; Guo, X. Effect of polar/nonpolar groups in comb-type copolymers on cold flowability and paraffin crystallization of waxy oils. Fuel 2013, 103, 600–605. [Google Scholar] [CrossRef]
- Yao, B.; Chen, W.; Li, C.; Yang, F.; Sun, G.; Wang, G.; Xu, H. Polar asphaltenes facilitate the flow improving performance of polyethylene-vinyl acetate. Fuel Process. Technol. 2020, 207, 106481. [Google Scholar] [CrossRef]
- Xu, J.; Jiang, H.; Li, T.; Wei, X.; Wang, T.; Huang, J.; Wang, W.; Smith, A.L.; Wang, J.; Zhang, R.; et al. Effect of Comb-type Copolymers with Various Pendants on Flow Ability of Heavy Crude Oil. Ind. Eng. Chem. Res. 2015, 54, 5204–5212. [Google Scholar] [CrossRef]
- Oliveira, L.M.S.L.; Nunes, R.C.P.; Melo, I.C.; Ribeiro, Y.L.L.; Reis, L.G.; Dias, J.C.M.; Guimaraes, R.C.L.; Lucas, E.F. Evaluation of the correlation between wax type and structure/behavior of pour point depressant. Fuel Process. Technol. 2016, 149, 268–274. [Google Scholar] [CrossRef]
- Zhou, M.; He, Y.; Chen, Y.; Yang, Y.; Lin, H.; Han, S. Synthesis and evaluation of terpolymers consist of methacrylates with maleic anhydride and methacrylic morpholine and their amine compound as pour point pepressants in diesel fuels. Energy Fuels 2015, 29, 5618–5624. [Google Scholar] [CrossRef]
- Ahmed, S.M.; Khidr, T.T.; Ali, E.S. Preparation and evaluation of polymeric additives based on poly(styrene-co-acrylic acid) as pour point depressant for crude oil. J. Dispers. Sci. Technol. 2021, 43, 1634–1641. [Google Scholar] [CrossRef]
- Al-Sabagh, A.M.; Khidr, T.T.; Moustafa, H.M.; Mishrif, M.R.; Al-Damasy, M.H. Investigating the synergistic effect between oil soluble surfactants and styrene–maleic anhydride copolymers to enhance the flow properties of waxy crude oil. Pet. Sci. Technol. 2017, 35, 1381–1388. [Google Scholar] [CrossRef]
- Huang, R.; Long, Y.; Feng, K.; Pan, Q.; Chen, Z. Fatty acid benzyl esters as bio-based plasticizers in silica-filled solution-polymerized styrene-butadiene rubber/butadiene rubber composites. J. Vinyl Addit. Technol. 2021, 27, 68–76. [Google Scholar] [CrossRef]
- Speight, J.G. Handbook of Petroleum Analysis; John Wiley and Sons Inc.: Hoboken, NJ, USA, 2001. [Google Scholar]
- Machado, A.L.C.; Lucas, E.F.; Gonzalez, G. Poly (ethylene-co-vinyl acetate) (EVA) as wax inhibitor of a Brazilian crude oil: Oil viscosity, pour point and phase behavior of organic solutions. J. Pet. Sci. Eng. 2001, 32, 159–165. [Google Scholar] [CrossRef]
- Al-Sabagh, A.M.; El-Hamouly, S.H.; Khidr, T.T.; El-Ghazawy, R.A.; Higazy, S.A. Synthesis of polymeric additives based on itaconic acid and their evaluation as pour point depressants for lube oil in relation to rheological flow properties. Egypt. J. Pet. 2012, 21, 19–30. [Google Scholar] [CrossRef]
- Chen, W.; Zhao, Z.; Yin, C. The interaction of waxes with pour point depressants. Fuel 2010, 89, 1127–1132. [Google Scholar] [CrossRef]
- Hassaan, M.; Hosny, S.; ElKatory, M.; Ali, R.; Rangreez, T.; El Nemr, A. Dual action of both green and chemically synthesized zinc oxide nanoparticles: Antibacterial activity and removal of Congo red dye. Desalination Water Treat. 2021, 218, 423–435. [Google Scholar] [CrossRef]
- Salah, H.; Elkatory, M.R.; Fattah, M.A. Novel zinc-polymer complex with antioxidant activity for industrial lubricating oil. Fuel 2021, 305, 121536. [Google Scholar] [CrossRef]
- Hassaan, M.A.; Pantaleo, A.; Santoro, F.; Elkatory, M.R.; De Mastro, G.; El Sikaily, A.; Ragab, S.; El Nemr, A. Techno-Economic Analysis of ZnO Nanoparticles Pretreatments for Biogas Production from Barley Straw. Energies 2020, 13, 5001. [Google Scholar] [CrossRef]
- El Nemr, A.; Hassaan, M.A.; Elkatory, M.R.; Ragab, S.; Pantaleo, A. Efficiency of Fe3O4 Nanoparticles with Different Pretreatments for Enhancing Biogas Yield of Macroalgae Ulva intestinalis Linnaeus. Molecules 2021, 26, 5105. [Google Scholar] [CrossRef]
- Atta, A.M.; El-Ghazawy, R.A.; Fatma, A.M.; Ali, M.S.A.; Abdullah, E. Synthesis and characterization of polymeric additives and their effect on flow properties of waxy Egyptian crude oil. Global J. Sci. Front. Res. 2013, 13, 21–27. [Google Scholar]
- Li, H.; Zhang, J. A generalized model for predicting non-Newtonian viscosity of waxy crudes as a function of temperature and precipitated wax. Fuel 2003, 82, 1387–1397. [Google Scholar] [CrossRef]
- Al-Sabagh, A.M.; El-Din, M.R.N.; Morsi, R.; Elsabee, M. Styrene-maleic anhydride copolymer esters as flow improvers of waxy crude oil. J. Pet. Sci. Eng. 2009, 65, 139–146. [Google Scholar] [CrossRef]
- Japper-Jaafar, A.; Bhaskoro, P.T.; Mior, Z.S.A. A new perspective on the measurements of wax appearance temperature: Comparison between DSC, thermomicroscopy and rheometry and the cooling rate effects. J. Pet. Sci. Eng. 2016, 147, 672–681. [Google Scholar] [CrossRef]
- Han, S.; Huang, Z.; Senra, M.; Hoffmann, R.; Fogler, H.S. Method to Determine the Wax Solubility Curve in Crude Oil from Centrifugation and High Temperature Gas Chromatography Measurements. Energy Fuels 2010, 24, 1753–1761. [Google Scholar] [CrossRef]
- Patel, M.R.; Chitte, P.S.; Bharambe, D. Oleic acid based polymeric flow improvers for Langhnaj (North Gujarat, India) crude oil. Egypt. J. Pet. 2017, 26, 895–903. [Google Scholar] [CrossRef]
- Li, Q.; Deng, X.; Liu, Y.; Cheng, Q.; Liu, C. Gelation of waxy crude oil system with ethylene-vinyl acetate on solid surface: A molecular dynamics study. J. Mol. Liq. 2021, 331, 115816. [Google Scholar] [CrossRef]










| Physicochemical Parameters | Values | Method |
|---|---|---|
| Density (g/cm3) | 0.8180 | ASTM D1298 |
| API Gravity | 41.38 | ASTM D1298 |
| Kinematic Viscosity (c. st.) | ASTM D445 | |
| 60 °C | 7.43 | |
| 100 °C | 3.67 | |
| Pour Point, PP (°C) | 24 | ASTM D97 |
| Wax Content (%) | 12.40 | UOP46 |
| Wax Appearance Temperature (WAT1) (°C) | 53.23 | |
| Asphaltene Content (%) | 1.32 | ASTM D6560 |
| Water Content (% vol.) | 0.10 | ASTMD-4006 |
| Sediment (% m/m) | 0.034 | ASTMD-473 |
| Water and Sediment (% vol) | 0.15 | ASTMD-4007 |
| Salt Content (PT B) | 85 | ASTMD-3230 |
| Ash Content (% wt) | 0.018 | ASTMD-482 |
| Additive | Pour Point (°C) of Crude Oil by Using Different Additive Concentrations (ppm) | Pour Point Depression (°C) | ||||
|---|---|---|---|---|---|---|
| Blank | 500 | 1000 | 2000 | 3000 | ||
| PBOCOSA | 24 | 21 | 12 | 6 | 6 | 18 |
| PBOCODSA | 24 | 15 | 9 | 3 | 0 | 24 |
| Flow Improvers | Temperature | Plastic Viscosity | Yield Value | |
|---|---|---|---|---|
| Blank | 30 | 6.64 | 0.17 | |
| 24 | 18.5 | 2.62 | ||
| 15 | 370 | 37.8 | ||
| PBOCODSA | 500 ppm | 30 | 4.9 | 0.8 |
| 24 | 6.71 | 0.39 | ||
| 15 | 80.6 | 20.7 | ||
| 1000 ppm | 30 | 4.73 | 0.07 | |
| 24 | 7.3 | 0.89 | ||
| 15 | 70.9 | 14.2 | ||
| 2000 ppm | 30 | 4.33 | 0.1 | |
| 24 | 5.91 | 0.35 | ||
| 15 | 31.1 | 1.98 | ||
| Copolymeric Additive | Wax Appearance Temperature (WAT1) (°C) | Solid–Solid Phase Transition Temperature (°C) | ∆Hcrystallization (J/g) | |
|---|---|---|---|---|
| 0 | 54.23 | 40.86 | 86.97 | |
| PBOCODSA | 500 ppm | 52.02 | 38.65 | 64.18 |
| 1000 ppm | 51.79 | 34.76 | 64.07 | |
| 2000 ppm | 50.23 | 27.19 | 37.35 |
Disclaimer/Publisher’s Note: The statements, opinions and data contained in all publications are solely those of the individual author(s) and contributor(s) and not of MDPI and/or the editor(s). MDPI and/or the editor(s) disclaim responsibility for any injury to people or property resulting from any ideas, methods, instructions or products referred to in the content. |
© 2023 by the authors. Licensee MDPI, Basel, Switzerland. This article is an open access article distributed under the terms and conditions of the Creative Commons Attribution (CC BY) license (https://creativecommons.org/licenses/by/4.0/).
Share and Cite
Elkatory, M.R.; Hassaan, M.A.; Soliman, E.A.; Niculescu, V.-C.; Raboaca, M.S.; El Nemr, A. Influence of Poly (benzyl oleate-co-maleic anhydride) Pour Point Depressant with Di-Stearyl Amine on Waxy Crude Oil. Polymers 2023, 15, 306. https://doi.org/10.3390/polym15020306
Elkatory MR, Hassaan MA, Soliman EA, Niculescu V-C, Raboaca MS, El Nemr A. Influence of Poly (benzyl oleate-co-maleic anhydride) Pour Point Depressant with Di-Stearyl Amine on Waxy Crude Oil. Polymers. 2023; 15(2):306. https://doi.org/10.3390/polym15020306
Chicago/Turabian StyleElkatory, Marwa R., Mohamed A. Hassaan, Emad A. Soliman, Violeta-Carolina Niculescu, Maria Simona Raboaca, and Ahmed El Nemr. 2023. "Influence of Poly (benzyl oleate-co-maleic anhydride) Pour Point Depressant with Di-Stearyl Amine on Waxy Crude Oil" Polymers 15, no. 2: 306. https://doi.org/10.3390/polym15020306
APA StyleElkatory, M. R., Hassaan, M. A., Soliman, E. A., Niculescu, V.-C., Raboaca, M. S., & El Nemr, A. (2023). Influence of Poly (benzyl oleate-co-maleic anhydride) Pour Point Depressant with Di-Stearyl Amine on Waxy Crude Oil. Polymers, 15(2), 306. https://doi.org/10.3390/polym15020306

