Recent Progress of Low Dielectric and High-Performance Polybenzoxazine-Based Composites
Abstract
:1. Introduction
2. Low Dielectric Fluorinated Polybenzoxazines
3. Bio-Based Low Dielectric Polybenzoxazine
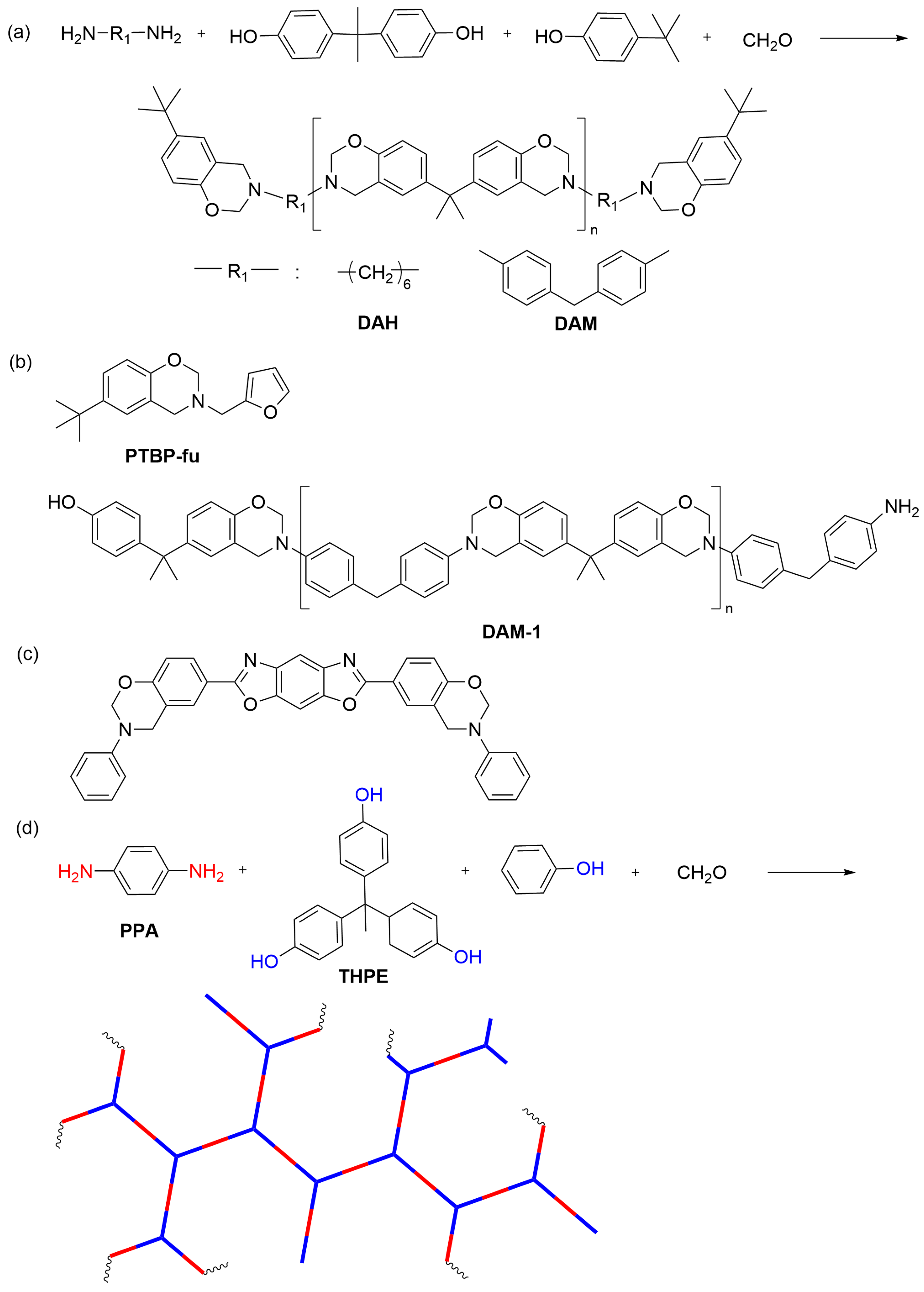
4. Other Low Dielectric Benzoxazines
5. Design of Low Dielectric Benzoxazine-Based Copolymers
6. Low Dielectric Benzoxazine-Based Nanocomposites
7. Summary and Outlook
Author Contributions
Funding
Institutional Review Board Statement
Data Availability Statement
Acknowledgments
Conflicts of Interest
References
- Shi, H.; Liu, X.; Lou, Y. Materials and Micro Drilling of High Frequency and High Speed Printed Circuit Board: A Review. Int. J. Adv. Manuf. Technol. 2019, 100, 827–841. [Google Scholar] [CrossRef]
- Hou, J.; Fang, L.; Huang, G.; Dai, M.; Liu, F.; Wang, C.; Li, M.; Zhang, H.; Sun, J.; Fang, Q. Low-Dielectric Polymers Derived from Biomass. ACS Appl. Polym. Mater. 2021, 3, 2835–2848. [Google Scholar] [CrossRef]
- Andrews, J.G.; Buzzi, S.; Choi, W.; Hanly, S.V.; Lozano, A.; Soong, A.C.K.; Zhang, J.C. What Will 5G Be? IEEE J. Select. Areas Commun. 2014, 32, 1065–1082. [Google Scholar] [CrossRef]
- Zhao, X.-Y.; Liu, H.-J. Review of Polymer Materials with Low Dielectric Constant. Polym. Int. 2010, 59, 597–606. [Google Scholar] [CrossRef]
- Puts, G.J.; Crouse, P.; Ameduri, B.M. Polytetrafluoroethylene: Synthesis and Characterization of the Original Extreme Polymer. Chem. Rev. 2019, 119, 1763–1805. [Google Scholar] [CrossRef]
- Raveendran, R.; Nagaraj, M.; Namboothiry, M.A.G. High-Performance, Transparent Solution-Processed Organic Field-Effect Transistor with Low-k Elastomeric Gate Dielectric and Liquid Crystalline Semiconductor: Promises and Challenges. ACS Appl. Electron. Mater. 2020, 2, 3336–3345. [Google Scholar] [CrossRef]
- Liu, Y.; Zhang, Y.; Lan, Q.; Liu, S.; Qin, Z.; Chen, L.; Zhao, C.; Chi, Z.; Xu, J.; Economy, J. High-Performance Functional Polyimides Containing Rigid Nonplanar Conjugated Triphenylethylene Moieties. Chem. Mater. 2012, 24, 1212–1222. [Google Scholar] [CrossRef]
- Liu, Y.; Qian, C.; Qu, L.; Wu, Y.; Zhang, Y.; Wu, X.; Zou, B.; Chen, W.; Chen, Z.; Chi, Z.; et al. A Bulk Dielectric Polymer Film with Intrinsic Ultralow Dielectric Constant and Outstanding Comprehensive Properties. Chem. Mater. 2015, 27, 6543–6549. [Google Scholar] [CrossRef]
- Hu, Z.; Liu, X.; Ren, T.; Saeed, H.A.M.; Wang, Q.; Cui, X.; Huai, K.; Huang, S.; Xia, Y.; Fu, K.; et al. Research Progress of Low Dielectric Constant Polymer Materials. J. Polym. Eng. 2022, 42, 677–687. [Google Scholar] [CrossRef]
- Qiang, Q.; Qin, J.; Ma, Y.; Wang, Z.; Zhao, C. Robust Conductive Micropatterns on PTFE Achieved via Selective UV-Induced Graft Copolymerization for Flexible Electronic Applications. ACS Appl. Mater. Interfaces 2019, 11, 5517–5525. [Google Scholar] [CrossRef]
- Miyane, S.; Chen, C.-K.; Lin, Y.-C.; Ueda, M.; Chen, W.-C. Thermally Stable Colorless Copolyimides with a Low Dielectric Constant and Dissipation Factor and Their Organic Field-Effect Transistor Applications. ACS Appl. Polym. Mater. 2021, 3, 3153–3163. [Google Scholar] [CrossRef]
- Hallani, R.K.; Moser, M.; Bristow, H.; Jenart, M.V.C.; Faber, H.; Neophytou, M.; Yarali, E.; Paterson, A.F.; Anthopoulos, T.D.; McCulloch, I. Low-Temperature Cross-Linking Benzocyclobutene Based Polymer Dielectric for Organic Thin Film Transistors on Plastic Substrates. J. Org. Chem. 2020, 85, 277–283. [Google Scholar] [CrossRef] [PubMed]
- Ishida, H.; Allen, D.J. Physical and Mechanical Characterization of Near-zero Shrinkage Polybenzoxazines. J. Polym. Sci. Part B Polym. Phys. 1996, 34, 1019–1030. [Google Scholar] [CrossRef]
- Hao, B.; Han, L.; Liu, Y.; Zhang, K. An Apigenin-Based Bio-Benzoxazine with Three Polymerizable Functionalities: Sustainable Synthesis, Thermal Latent Polymerization, and Excellent Thermal Properties of Its Thermosets. Polym. Chem. 2020, 11, 5800–5809. [Google Scholar] [CrossRef]
- Higginson, C.J.; Malollari, K.G.; Xu, Y.; Kelleghan, A.V.; Ricapito, N.G.; Messersmith, P.B. Bioinspired Design Provides High-Strength Benzoxazine Structural Adhesives. Angew. Chem. Int. Ed. 2019, 58, 12271–12279. [Google Scholar] [CrossRef]
- Kim, H.J.; Brunovska, Z.; Ishida, H. Synthesis and Thermal Characterization of Polybenzoxazines Based on Acetylene-Functional Monomers. Polymer 1999, 40, 6565–6573. [Google Scholar] [CrossRef]
- Liu, Y.; Yuan, L.; Liang, G.; Gu, A. Developing Thermally Resistant and Strong Biobased Resin from Benzoxazine Synthesized Using Green Solvents. Eur. Polym. J. 2022, 173, 111320. [Google Scholar] [CrossRef]
- Lee, H.-W.; Liu, Y.-L. Thermally Stable, Flame Retardant, Low-Dielectric Constants, and Flexible Thermosetting Resins Based on a Tetra-Functional Benzoxazine Compound Possessing a Cyclic Siloxane Core. J. Appl. Polym. Sci. 2022, 139, e52605. [Google Scholar] [CrossRef]
- Lu, Y.; Zhang, Y.; Zhang, K. Renewable Biomass Resources to Access Halogen- and Phosphorus-Free Flame Retardant Thermosets with Ultra-Low Heat Release Capacity. Chem. Eng. J. 2022, 448, 137670. [Google Scholar] [CrossRef]
- Machado, I.; Shaer, C.; Hurdle, K.; Calado, V.; Ishida, H. Towards the Development of Green Flame Retardancy by Polybenzoxazines. Prog. Polym. Sci. 2021, 121, 101435. [Google Scholar] [CrossRef]
- Zhang, L.; Mao, J.; Wang, S.; Zheng, Y.; Liu, X.; Cheng, Y. Benzoxazine Based High Performance Materials with Low Dielectric Constant: A Review. COC 2019, 23, 809–822. [Google Scholar] [CrossRef]
- Xu, M.; Jia, K.; Liu, X. Polybenzoxazines Derived from Nitrile- and Phthalonitrile-Functional Benzoxazines and Copolymers from Benzoxazine/Phthalonitrile Resin Mixtures. In Advanced and Emerging Polybenzoxazine Science and Technology; Elsevier: Amsterdam, The Netherlands, 2017; pp. 343–356. ISBN 978-0-12-804170-3. [Google Scholar]
- Sawaryn, C.; Landfester, K.; Taden, A. Advanced Chemically Induced Phase Separation in Thermosets: Polybenzoxazines Toughened with Multifunctional Thermoplastic Main-Chain Benzoxazine Prepolymers. Polymer 2011, 52, 3277–3287. [Google Scholar] [CrossRef]
- Tüzün, A.; Lligadas, G.; Ronda, J.C.; Galià, M.; Cádiz, V. Integrating Plant Oils into Thermally Curable Main-Chain Benzoxazine Polymers via ADMET Polymerization. Eur. Polym. J. 2015, 67, 503–512. [Google Scholar] [CrossRef]
- Baqar, M.; Agag, T.; Huang, R.; Maia, J.; Qutubuddin, S.; Ishida, H. Mechanistic Pathways for the Polymerization of Methylol-Functional Benzoxazine Monomers. Macromolecules 2012, 45, 8119–8125. [Google Scholar] [CrossRef]
- Agag, T.; Arza, C.R.; Maurer, F.H.J.; Ishida, H. Primary Amine-Functional Benzoxazine Monomers and Their Use for Amide-Containing Monomeric Benzoxazines. Macromolecules 2010, 43, 2748–2758. [Google Scholar] [CrossRef]
- Maex, K.; Baklanov, M.R.; Shamiryan, D.; Lacopi, F.; Brongersma, S.H.; Yanovitskaya, Z.S. Low Dielectric Constant Materials for Microelectronics. J. Appl. Phys. 2003, 93, 8793–8841. [Google Scholar] [CrossRef]
- Yin, X.; Feng, Y.; Zhao, Q.; Li, Y.; Li, S.; Dong, H.; Hu, W.; Feng, W. Highly Transparent, Strong, and Flexible Fluorographene/Fluorinated Polyimide Nanocomposite Films with Low Dielectric Constant. J. Mater. Chem. C 2018, 6, 6378–6384. [Google Scholar] [CrossRef]
- Dhara, M.G.; Banerjee, S. Fluorinated High-Performance Polymers: Poly(Arylene Ether)s and Aromatic Polyimides Containing Trifluoromethyl Groups. Prog. Polym. Sci. 2010, 35, 1022–1077. [Google Scholar] [CrossRef]
- Cai, W.; Wang, Z.; Shu, Z.; Liu, W.; Wang, J.; Qiu, J. Development of a Fully Bio-Based Hyperbranched Benzoxazine. Polym. Chem. 2021, 12, 6894–6902. [Google Scholar] [CrossRef]
- Su, Y.-C.; Chen, W.-C.; Ou, K.; Chang, F.-C. Study of the Morphologies and Dielectric Constants of Nanoporous Materials Derived from Benzoxazine-Terminated Poly(ε-Caprolactone)/Polybenzoxazine Co-Polymers. Polymer 2005, 46, 3758–3766. [Google Scholar] [CrossRef]
- Zhao, B.; Zhao, C.; Wang, C.; Park, C.B. Poly(Vinylidene Fluoride) Foams: A Promising Low-k Dielectric and Heat-Insulating Material. J. Mater. Chem. C 2018, 6, 3065–3073. [Google Scholar] [CrossRef]
- Sethuraman, K.; Vengatesan, M.R.; Lakshmikandhan, T.; Alagar, M. Thermal and Dielectric Properties of “Thiol–Ene” Photocured Hybrid Composite Materials from Allyl-Terminated Benzoxazine and SH-POSS. High Perform. Polym. 2016, 28, 340–351. [Google Scholar] [CrossRef]
- Qi, H.; Wang, X.; Zhu, T.; Li, J.; Xiong, L.; Liu, F. Low Dielectric Poly(Imide Siloxane) Films Enabled by a Well-Defined Disiloxane-Linked Alkyl Diamine. ACS Omega 2019, 4, 22143–22151. [Google Scholar] [CrossRef] [PubMed]
- Sha, X.-L.; Wang, C.; Tan, L.; Zhou, J.; Liu, Z.; Fei, Z.; Miao, J.-T. Synthesis and Preparation of Biobased Benzoxazine/Bismaleimide Copolymers: Thermal, Mechanical and Dielectric Properties. Eur. Polym. J. 2022, 179, 111524. [Google Scholar] [CrossRef]
- Jiang, W.; Zhang, X.; Chen, D.; Ma, Y.; Yang, W. High Performance Low-k and Wave-Transparent Cyanate Ester Resins Modified with a Novel Bismaleimide Hollow Polymer Microsphere. Compos. Part B Eng. 2021, 222, 109041. [Google Scholar] [CrossRef]
- Lee, P.; Jung, H.; Yoo, C.-S.; Lee, H.H. Low Dielectric Constant Characteristics of Styrene and Maleimide Anhydride Copolymer with Modification for High Frequency Application of Printed Circuit Board. Polymers 2023, 15, 2078. [Google Scholar] [CrossRef]
- Selvi, M.; Vengatesan, M.R.; Devaraju, S.; Kumar, M.; Alagar, M. In Situ Sol–Gel Synthesis of Silica Reinforced Polybenzoxazine Hybrid Materials with Low Surface Free Energy. RSC Adv. 2014, 4, 8446. [Google Scholar] [CrossRef]
- Chakrabarty, S.; Zhang, X.; Bharti, P.; Chujo, Y.; Miyake, J.; Wynne, K.J.; Yadavalli, V.K. Processing Dependence of Surface Morphology in Condensation Cured PDMS Nanocomposites. Polymer 2010, 51, 5756–5763. [Google Scholar] [CrossRef]
- Su, Y.-C.; Chang, F.-C. Synthesis and Characterization of Fluorinated Polybenzoxazine Material with Low Dielectric Constant. Polymer 2003, 44, 7989–7996. [Google Scholar] [CrossRef]
- Pattharasiriwong, P.; Jubsilp, C.; Mora, P.; Rimdusit, S. Dielectric and Thermal Behaviors of Fluorine-Containing Dianhydride-Modified Polybenzoxazine: A Molecular Design Flexibility. J. Appl. Polym. Sci. 2017, 134, 45204. [Google Scholar] [CrossRef]
- Kobzar, Y.L.; Tkachenko, I.M.; Bliznyuk, V.N.; Shevchenko, V.V. Fluorinated Polybenzoxazines as Advanced Phenolic Resins for Leading-Edge Applications. React. Funct. Polym. 2018, 133, 71–92. [Google Scholar] [CrossRef]
- Lin, C.H.; Chang, S.L.; Lee, H.H.; Chang, H.C.; Hwang, K.Y.; Tu, A.P.; Su, W.C. Fluorinated Benzoxazines and the Structure-property Relationship of Resulting Polybenzoxazines. J. Polym. Sci. A Polym. Chem. 2008, 46, 4970–4983. [Google Scholar] [CrossRef]
- Kobzar, Y.L.; Tkachenko, I.M.; Lobko, E.V.; Shekera, O.V.; Syrovets, A.P.; Shevchenko, V.V. Low Dielectric Material from Novel Core-Fluorinated Polybenzoxazine. Mendeleev Commun. 2017, 27, 41–43. [Google Scholar] [CrossRef]
- Kobzar, Y.L.; Tkachenko, I.M.; Bliznyuk, V.N.; Lobko, E.V.; Shekera, O.V.; Shevchenko, V.V. Synthesis and Characterization of Fluorinated Isomeric Polybenzoxazines from Core-Fluorinated Diamine-Based Benzoxazines. Polymer 2018, 145, 62–69. [Google Scholar] [CrossRef]
- Wu, J.; Xi, Y.; McCandless, G.T.; Xie, Y.; Menon, R.; Patel, Y.; Yang, D.J.; Iacono, S.T.; Novak, B.M. Synthesis and Characterization of Partially Fluorinated Polybenzoxazine Resins Utilizing Octafluorocyclopentene as a Versatile Building Block. Macromolecules 2015, 48, 6087–6095. [Google Scholar] [CrossRef]
- Feng, Z.; Zeng, M.; Meng, D.; Chen, J.; Zhu, W.; Xu, Q.; Wang, J. A Novel Bio-Based Benzoxazine Resin with Outstanding Thermal and Superhigh-Frequency Dielectric Properties. J. Mater. Sci. Mater. Electron. 2020, 31, 4364–4376. [Google Scholar] [CrossRef]
- Liu, X.; Zhang, R.; Li, T.; Zhu, P.; Zhuang, Q. Novel Fully Biobased Benzoxazines from Rosin: Synthesis and Properties. ACS Sustain. Chem. Eng. 2017, 5, 10682–10692. [Google Scholar] [CrossRef]
- Periyasamy, T.; Asrafali, S.P.; Muthusamy, S. New Benzoxazines Containing Polyhedral Oligomeric Silsesquioxane from Eugenol, Guaiacol and Vanillin. New J. Chem. 2015, 39, 1691–1702. [Google Scholar] [CrossRef]
- Chen, J.; Zeng, M.; Feng, Z.; Pang, T.; Huang, Y.; Xu, Q. Design and Preparation of Benzoxazine Resin with High-Frequency Low Dielectric Constants and Ultralow Dielectric Losses. ACS Appl. Polym. Mater. 2019, 1, 625–630. [Google Scholar] [CrossRef]
- Zeng, M.; Tan, D.; Feng, Z.; Chen, J.; Lu, X.; Huang, Y.; Xu, Q. Multistructural Network Design Enables Polybenzoxazine to Achieve Low-Loss-Grade Super-High-Frequency Dielectric Properties and High Glass Transition Temperatures. Ind. Eng. Chem. Res. 2022, 61, 115–129. [Google Scholar] [CrossRef]
- Zhang, K.; Zhuang, Q.; Zhou, Y.; Liu, X.; Yang, G.; Han, Z. Preparation and Properties of Novel Low Dielectric Constant Benzoxazole-Based Polybenzoxazine. J. Polym. Sci. A Polym. Chem. 2012, 50, 5115–5123. [Google Scholar] [CrossRef]
- Cai, W.; Wen, H.; Wang, Z.; Lu, H.; Liu, H.; Wang, Y.; Liu, W.; Wang, J.; Qiu, J. Design, Synthesis, Flame Retardancy and Dielectric Properties of Novel Aromatic Hyperbranched Benzoxazine. React. Funct. Polym. 2022, 170, 105098. [Google Scholar] [CrossRef]
- Ye, J.; Fan, Z.; Zhang, S.; Liu, X. Optimizing the Dielectric and Mechanical Properties of Melamine Based-benzoxazine Resin by Copolymerizing with Epoxy Resin. J. Appl. Polym. Sci. 2023, 140, e53956. [Google Scholar] [CrossRef]
- Krishnadevi, K.; Selvaraj, V. Development of Halogen-Free Flame Retardant Phosphazene and Rice Husk Ash Incorporated Benzoxazine Blended Epoxy Composites for Microelectronic Applications. New J. Chem. 2015, 39, 6555–6567. [Google Scholar] [CrossRef]
- Zhang, K.; Yu, X.; Kuo, S.-W. Outstanding Dielectric and Thermal Properties of Main Chain-Type Poly(Benzoxazine-Co-Imide-Co-Siloxane)-Based Cross-Linked Networks. Polym. Chem. 2019, 10, 2387–2396. [Google Scholar] [CrossRef]
- Yang, R.; Hao, B.; Sun, L.; Zhang, K. Cross-linked Poly(Benzoxazole-Co-siloxane) Networks with High Thermal Stability and Low Dielectric Constant Based on a Newortho-amide Functional Benzoxazine. J. Appl. Polym. Sci. 2021, 138, 49792. [Google Scholar] [CrossRef]
- Zhang, K.; Hao, B.; Ishida, H. Synthesis of a Smart Bisbenzoxazine with Combined Advantages of Bismaleimide and Benzoxazine Resins and Its Unexpected Formation of Very High Performance Cross-Linked Polybenzoxazole. Polymer 2021, 223, 123703. [Google Scholar] [CrossRef]
- Lin, C.H.; Huang, S.J.; Wang, P.J.; Lin, H.T.; Dai, S.A. Miscibility, Microstructure, and Thermal and Dielectric Properties of Reactive Blends of Dicyanate Ester and Diamine-Based Benzoxazine. Macromolecules 2012, 45, 7461–7466. [Google Scholar] [CrossRef]
- Mohamed, M.G.; Kuo, S.-W. Polybenzoxazine/Polyhedral Oligomeric Silsesquioxane (POSS). Nanocomposites 2016, 8, 225. [Google Scholar]
- Li, X.; Feng, J.; Zhang, S.; Tang, Y.; Hu, X.; Liu, X.; Liu, X. Epoxy/Benzoxazinyl POSS Nanocomposite Resin with Low Dielectric Constant and Excellent Thermal Stability. J. Appl. Polym. Sci. 2021, 138, 49887. [Google Scholar] [CrossRef]
- Zhang, K.; Zhuang, Q.; Liu, X.; Yang, G.; Cai, R.; Han, Z. A New Benzoxazine Containing Benzoxazole-Functionalized Polyhedral Oligomeric Silsesquioxane and the Corresponding Polybenzoxazine Nanocomposites. Macromolecules 2013, 46, 2696–2704. [Google Scholar] [CrossRef]
- Li, X.; Liu, X.; Feng, J.; He, R.; Liu, H.; Hu, X.; Liu, X. A Research on Benzoxazine/Cyanate Ester/Epoxy POSS Nanocomposite with Low Dielectric Constant and Improved Toughness. Polym. Bull. 2023. [Google Scholar] [CrossRef]
- Sun, X.; Wang, J.; Fu, Q.; Zhang, Q.; Xu, R. Synthesis of a Novel Bifunctional Epoxy Double-Decker Silsesquioxane: Improvement of the Thermal Stability and Dielectric Properties of Polybenzoxazine. Polymers 2022, 14, 5154. [Google Scholar] [CrossRef] [PubMed]
- Hariharan, A.; Prabunathan, P.; Subramanian, S.S.; Kumaravel, M.; Alagar, M. Blends of Chalcone Benzoxazine and Bio-Benzoxazines Coated Cotton Fabrics for Oil–Water Separation and Bio-Silica Reinforced Nanocomposites for Low-k Applications. J. Polym. Environ. 2020, 28, 598–613. [Google Scholar] [CrossRef]
- Latha, G.; Hariharan, A.; Prabunathan, P.; Alagar, M. Cardanol-Imidazole Based Benzoxazine Blends and Bio-Silica Reinforced Composites with Enhanced Surface, Thermal and Dielectric Properties. J. Polym. Environ. 2020, 28, 918–933. [Google Scholar] [CrossRef]
- Arumugam, H.; Krishnan, S.; Chavali, M.; Muthukaruppan, A. Cardanol Based Benzoxazine Blends and Bio-Silica Reinforced Composites: Thermal and Dielectric Properties. New J. Chem. 2018, 42, 4067–4080. [Google Scholar] [CrossRef]
- Ariraman, M.; Sasi Kumar, R.; Alagar, M. Studies on FMCM-41 Reinforced Cyanate Ester Nanocomposites for Low k Applications. RSC Adv. 2014, 4, 57759–57767. [Google Scholar] [CrossRef]
- Mark, J.E. Some Novel Polymeric Nanocomposites. Acc. Chem. Res. 2006, 39, 881–888. [Google Scholar] [CrossRef]
- Sasi Kumar, R.; Ariraman, M.; Alagar, M. Studies on MCM-41/PDMS Based Hybrid Polybenzoxazine Nanocomposites for Interlayer Low k Dielectrics. RSC Adv. 2015, 5, 40798–40806. [Google Scholar] [CrossRef]
- Kurinchyselvan, S.; Chandramohan, A.; Hariharan, A.; Gomathipriya, P.; Alagar, M. Mesoporous Silica MCM-41-Reinforced Cardanol-Based Benzoxazine Nanocomposites for Low-k Applications. Polym. Bull. 2021, 78, 2043–2065. [Google Scholar] [CrossRef]
- Selvaraj, V.; Jayanthi, K.P.; Lakshmikandhan, T.; Alagar, M. Development of a Polybenzoxazine/TSBA-15 Composite from the Renewable Resource Cardanol for Low-k Applications. RSC Adv. 2015, 5, 48898–48907. [Google Scholar] [CrossRef]
- Asrafali, S.P.; Periyasamy, T.; Haldhar, R.; Madhappan, S.; Kim, S.-C. Fabrication of SiO2-Reinforced Polybenzoxazine Composites and Their Thermal and Dielectric Properties. J. Polym. Res. 2022, 29, 176. [Google Scholar] [CrossRef]
- Stankovich, S.; Dikin, D.A.; Dommett, G.H.B.; Kohlhaas, K.M.; Zimney, E.J.; Stach, E.A.; Piner, R.D.; Nguyen, S.T.; Ruoff, R.S. Graphene-Based Composite Materials. Nature 2006, 442, 282–286. [Google Scholar] [CrossRef] [PubMed]
- Ramanathan, T.; Abdala, A.A.; Stankovich, S.; Dikin, D.A.; Herrera-Alonso, M.; Piner, R.D.; Adamson, D.H.; Schniepp, H.C.; Chen, X.; Ruoff, R.S.; et al. Functionalized Graphene Sheets for Polymer Nanocomposites. Nat. Nanotechnol. 2008, 3, 327–331. [Google Scholar] [CrossRef] [PubMed]
- Kurinchyselvan, S.; Chandramohan, A.; Hariharan, A.; Gomathipriya, P.; Alagar, M. Cardanol-Based Benzoxazine-Terminated Graphene Oxide-Reinforced Fluorinated Benzoxazine Hybrid Composites for Low K Applications. Compos. Interfaces 2020, 27, 737–751. [Google Scholar] [CrossRef]











Disclaimer/Publisher’s Note: The statements, opinions and data contained in all publications are solely those of the individual author(s) and contributor(s) and not of MDPI and/or the editor(s). MDPI and/or the editor(s) disclaim responsibility for any injury to people or property resulting from any ideas, methods, instructions or products referred to in the content. |
© 2023 by the authors. Licensee MDPI, Basel, Switzerland. This article is an open access article distributed under the terms and conditions of the Creative Commons Attribution (CC BY) license (https://creativecommons.org/licenses/by/4.0/).
Share and Cite
Fan, Z.; Li, B.; Ren, D.; Xu, M. Recent Progress of Low Dielectric and High-Performance Polybenzoxazine-Based Composites. Polymers 2023, 15, 3933. https://doi.org/10.3390/polym15193933
Fan Z, Li B, Ren D, Xu M. Recent Progress of Low Dielectric and High-Performance Polybenzoxazine-Based Composites. Polymers. 2023; 15(19):3933. https://doi.org/10.3390/polym15193933
Chicago/Turabian StyleFan, Zexu, Bo Li, Dengxun Ren, and Mingzhen Xu. 2023. "Recent Progress of Low Dielectric and High-Performance Polybenzoxazine-Based Composites" Polymers 15, no. 19: 3933. https://doi.org/10.3390/polym15193933
APA StyleFan, Z., Li, B., Ren, D., & Xu, M. (2023). Recent Progress of Low Dielectric and High-Performance Polybenzoxazine-Based Composites. Polymers, 15(19), 3933. https://doi.org/10.3390/polym15193933

