Interpretable Machine Learning Methods for Monitoring Polymer Degradation in Extrusion of Polylactic Acid
Abstract
:1. Introduction
2. Regression and Feature Selection Methods
2.1. Feature Selection Methods
2.2. Recursive Feature Elimination
2.3. Interval PLS (iPLS)
2.4. Regression Methods
2.5. Data Summarisation
3. Extrusion Trials and Data Preparation
3.1. Packaging-Grade PLA Data Set
Data Preparation for Packaging-Grade PLA to Predict Yield Stress and Molecular Weight
3.2. Medical-Grade PLA Extrusion Trials and Data Set
Data Preparation for Medical-Grade PLA to Predict Molecular Weight
4. Results and Discussion
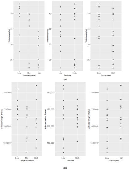
4.1. Effect of Processing Conditions and Need for In-Process Monitoring
4.2. Comparison of Data Summarisation and Machine Learning Methods to Predict Yield Stress
4.3. Interpretation of Selected Features
5. Comparison of Data Summarisation and Feature Selection Methods to Predict Molecular Weight
5.1. Molecular Weight Prediction for Packaging-Grade PLA
5.2. Molecular Weight Prediction for Medical-Grade PLA
5.3. Comparison of Molecular Weight Prediction for Medical-Grade and Packaging-Grade PLA
6. Conclusions
Author Contributions
Funding
Institutional Review Board Statement
Data Availability Statement
Conflicts of Interest
References
- Tumuluri, S.V.S. Off-line and On-line Measurements of Drug-loaded Hot-Melt Extruded Films Using Raman Spectroscopy. Int. J. Pharm. 2008, 23, 77–84. [Google Scholar] [CrossRef]
- Barnes, S.E.; Sibley, M.G.; Edwards, H.G.M.; Coates, P.D. Process monitoring of polymer melts using in-line spectroscopy. Trans. Inst. Meas. Control 2007, 29, 453–465. [Google Scholar] [CrossRef]
- Guo, X.; Lin, Z.; Wang, Y.; He, Z.; Wang, M.; Jin, G. In-line monitoring the degradation of polypropylene under multiple extrusions based on Raman spectroscopy. Polymers 2019, 11, 1698. [Google Scholar] [CrossRef] [PubMed]
- Montano-Herrera, L.; Pratt, S.; Arcos-Hernandez, M.V.; Halley, P.J.; Lant, P.A.; Werker, A.; Laycock, B. In-line monitoring of thermal degradation of PHA during melt-processing by Near-Infrared spectroscopy. New Biotechnol. 2013, 33, 357–363. [Google Scholar] [CrossRef] [PubMed]
- Whitaker, D.A.; Buchanan, F.; Billham, M.; McAfee, M. A UV-Vis spectroscopic method for monitoring of additive particle properties during polymer compounding. Polym. Test. 2018, 67, 392–398. [Google Scholar] [CrossRef]
- Munir, N.; Nugent, M.; Whitaker, D.; McAfee, M. Machine Learning for Process Monitoring and Control of Hot-Melt Extrusion: Current State of the Art and Future Directions. Pharmaceutics 2021, 13, 1432. [Google Scholar] [CrossRef]
- Abeykoon, C. Design and Applications of Soft Sensors in Polymer Processing: A Review. IEEE Sens. J. 2019, 19, 2801–2813. [Google Scholar] [CrossRef]
- Link, P.; Poursanidis, M.; Schmid, J.; Zache, R.; von Kurnatowski, M.; Teicher, U.; Ihlenfeldt, S. Capturing and incorporating expert knowledge into machine learning models for quality prediction in manufacturing. J. Intell. Manuf. 2022, 33, 2129–2142. [Google Scholar] [CrossRef]
- Weichert, D.; Link, P.; Stoll, A.; Rüping, S.; Ihlenfeldt, S.; Wrobel, S. A review of machine learning for the optimization of production processes. Int. J. Adv. Manuf. Technol. 2019, 104, 1889–1902. [Google Scholar] [CrossRef]
- Joseph, T.M.; Kallingal, A.; Suresh, A.M.; Mahapatra, D.K.; Hasanin, M.S.; Haponiuk, J.; Thomas, S. 3D printing of polylactic acid: Recent advances and opportunities. Int. J. Adv. Manuf. Technol. 2023, 125, 1015–1035. [Google Scholar] [CrossRef]
- DeStefano, V.; Khan, S.; Tabada, A. Application of PLA in modern medicine. Eng. Regen. 2020, 1, 76–87. [Google Scholar] [CrossRef]
- Fu, J.; Xu, L.; Wang, X.; Zhang, S.; Tao, X.; Zhao, X.; He, H.; Tang, X. Nimodipine (NM) tablets with high dissolution containing NM solid dispersions prepared by hot-melt extrusion. Drug Dev. Ind. Pharm. 2011, 37, 934–944. [Google Scholar] [CrossRef]
- Surasarang, S.H.; Keen, J.M.; Huang, S.; Zhang, F.; McGinity, J.W.; Williams, R.O. Hot melt extrusion versus spray drying: Hot melt extrusion degrades albendazole. Drug Dev. Ind. Pharm. 2017, 43, 797–811. [Google Scholar] [CrossRef]
- Casalini, T.; Rossi, F.; Castrovinci, A.; Perale, G. A Perspective on Polylactic Acid-Based Polymers Use for Nanoparticles Synthesis and Applications. Front. Bioeng. Biotechnol. 2019, 7, 259. [Google Scholar] [CrossRef] [PubMed]
- Mulrennan, K.; Munir, N.; Creedon, L.; Donovan, J.; Lyons, J.G.; McAfee, M. NIR-Based Intelligent Sensing of Product Yield Stress for High-Value Bioresorbable Polymer Processing. Sensors 2022, 22, 2835. [Google Scholar] [CrossRef]
- Wang, Y.; Steinhoff, B.; Brinkmann, C.; Alig, I. In-line monitoring of the thermal degradation of poly(l-lactic acid) during melt extrusion by UV-vis spectroscopy. Polymer 2008, 49, 1257–1265. [Google Scholar] [CrossRef]
- McCabe, G.P. Principal variables. Technometrics 1984, 26, 137–144. [Google Scholar] [CrossRef]
- Puggini, L.; McLoone, S. Forward Selection Component Analysis: Algorithms and Applications. IEEE Trans. Pattern Anal. Mach. Intell. 2017, 39, 2395–2408. [Google Scholar] [CrossRef]
- Chandrashekar, G.; Sahin, F. A survey on feature selection methods. Comput. Electr. Eng. 2014, 40, 16–28. [Google Scholar] [CrossRef]
- Saeys, Y.; Inza, I.; Larrañaga, P. A review of feature selection techniques in bioinformatics. Bioinformatics 2007, 23, 2507–2517. [Google Scholar] [CrossRef]
- Remeseiro, B.; Bolon-Canedo, V. A review of feature selection methods in medical applications. Comput. Biol. Med. 2019, 112, 103375. [Google Scholar] [CrossRef] [PubMed]
- Dorugade, A.V.; Kashid, D.N. Alternative method for choosing ridge parameter for regression. Appl. Math. Sci. 2010, 4, 447–456. [Google Scholar]
- Chowdhury, M.Z.I.; Turin, T.C. Variable selection strategies and its importance in clinical prediction modelling. Fam. Med. Community Health 2020, 8, e000262. [Google Scholar] [CrossRef] [PubMed]
- Dunkler, D.; Plischke, M.; Leffondre, K.; Heinze, G. Augmented Backward Elimination: A Pragmatic and Purposeful Way to Develop Statistical Models. PLoS ONE 2014, 9, e113677. [Google Scholar] [CrossRef]
- Norgaard, L.; Saudland, A.; Wagner, J.; Nielsen, J.P.; Munck, L.; Engelsen, S.B. Interval Partial Least-Squares Regression (iPLS): A Comparative Chemometric Study with an Example from Near-Infrared Spectroscopy. Appl. Spectrosc. 2000, 54, 413–419. [Google Scholar] [CrossRef]
- Marini, F.; Bucci, R.; Ginevro, I.; Magrì, A.L. Coupling of IR measurements and multivariate calibration techniques for the determination of enantiomeric excess in pharmaceutical preparations. Chemom. Intell. Lab. Syst. 2009, 97, 52–63. [Google Scholar] [CrossRef]
- Sharifi, A. Partial Least Squares-regression (PLS-regression) in Chemometrics. In Proceedings of the 1th National Conference on Achievement in Chemistry and Chemical Engineering, ACCE, Shiraz, Iran, 30 June 2016; p. 4. [Google Scholar]
- Abdi, H. Partial least squares regression and projection on latent structure regression (PLS Regression). Wiley Interdiscip. Rev. Comput. Stat. 2010, 2, 97–106. [Google Scholar] [CrossRef]
- Machova, K.; Puszta, M.; Barcak, F.; Bednar, P. A comparison of the bagging and the boosting methods using the decision trees classifiers. Comput. Sci. Inf. Syst. 2006, 3, 57–72. [Google Scholar] [CrossRef]
- Pavlov, Y.L. Random forests. In Text Mining with Machine Learning; CRC Press: Boca Raton, FL, USA, 2019; pp. 1–122. [Google Scholar] [CrossRef]
- Biau, G. Analysis of a random forests model. J. Mach. Learn. Res. 2012, 13, 1063–1095. [Google Scholar]
- González, S.; García, S.; Del Ser, J.; Rokach, L.; Herrera, F. A practical tutorial on bagging and boosting based ensembles for machine learning: Algorithms, software tools, performance study, practical perspectives and opportunities. Inf. Fusion 2020, 64, 205–237. [Google Scholar] [CrossRef]
- Shah, D.; Wang, J.; He, Q.P. A feature-based soft sensor for spectroscopic data analysis. J. Process Control 2019, 78, 98–107. [Google Scholar] [CrossRef]
- Bauer, L.; Rogina, A.; Ivanković, M.; Ivanković, H. Medical-Grade Poly(Lactic Acid)/Hydroxyapatite Composite Films: Thermal and In Vitro Degradation Properties. Polymers 2023, 15, 1512. [Google Scholar] [CrossRef] [PubMed]
- PMTC. A Guide to Data Analytics for Pharmaceutical Manufacturing. Data Analytics Good Practice Guide PMTC. 2020. Available online: https://pmtc.ie/resource-centre/publications/data-analytics-good-practice-guide (accessed on 7 May 2023).
- McAfee, M.; McNally, G. Real-time measurement of melt viscosity in single-screw extrusion. Trans. Inst. Meas. Control 2006, 28, 481–497. [Google Scholar] [CrossRef]
- Munir, N.; Mulrennan, K.; Mcafee, M. Comparison of data summarization and feature selection techniques for in-process spectral data. In Proceedings of the 2021 32nd Irish Signals and Systems Conference (ISSC), Athlone, Ireland, 10–11 June 2021; pp. 1–7. [Google Scholar] [CrossRef]
- Ellä, V.; Nikkola, L.; Kellomäki, M. Process-Induced Monomer on a Medical-Grade Polymer and Its Effect on Short-Term Hydrolytic Degradation. J. Appl. Polym. Sci. 2010, 116, 2658–2667. [Google Scholar] [CrossRef]
- McMorrow, R.; Munir, N.; Mulrennan, K.; Whitaker, D.; Kellomäki, M.; Talvitie, E.; Lyyra, I.; McAfee, M. Processing, Spectroscopic and Laboratory Testing Data from a Medical Grade Hot-Melt Extrusion Process (1.0) [Data Set]; Zenodo: Geneva, Switzerland, 2023. [Google Scholar] [CrossRef]
- Martin, C. Twin Screw Extrusion for Pharmaceutical Processes. In Melt Extrusion: Materials, Technology and Drug Product Design; Springer: New York, NY, USA, 2013. [Google Scholar] [CrossRef]
- Huang, S.; O’Donnell, K.P.; Keen, J.M.; Rickard, M.A.; McGinity, J.W.; Williams, R.O. A New Extrudable Form of Hypromellose: AFFINISOLTM HPMC HME. AAPS PharmSciTech 2016, 17, 106–119. [Google Scholar] [CrossRef]
- Balani, K.; Verma, V.; Agarwal, A.; Narayan, R. Physical, Thermal, and Mechanical Properties of Polymers. Biosurfaces 2015, 329–344. [Google Scholar] [CrossRef]
- Wiesner, K.; Fuchs, K.; Gigler, A.M.; Pastusiak, R. Trends in near infrared spectroscopy and multivariate data analysis from an industrial perspective. Procedia Eng. 2014, 87, 867–870. [Google Scholar] [CrossRef]
- McLauchlin, A.R.; Ghita, O.; Gahkani, A. Quantification of PLA contamination in PET during injection moulding by in-line NIR spectroscopy. Polym. Test. 2014, 38, 46–52. [Google Scholar] [CrossRef]
- Shinzawa, H.; Nishida, M.; Tsuge, A.; Ishikawa, D.; Ozaki, Y.; Morita, S.; Kanematsu, W. Thermal Behavior of Poly(lactic acid)-Nanocomposite Studied by Near-Infrared Imaging Based on Roundtrip Temperature Scan. Appl. Spectrosc. 2014, 68, 371–378. [Google Scholar] [CrossRef]
- Blanco, M.; Valdés, D. Influence of Temperature on the Predictive Ability of near Infrared Spectroscopy Models. J. Infrared Spectrosc. 2004, 12, 121–126. [Google Scholar] [CrossRef]
- Gupta, M.C.; Deshmukh, V.G. Thermal oxidative degradation of poly-lactic acid. Colloid Polym. Sci. 1982, 260, 514–517. [Google Scholar] [CrossRef]
- Signori, F.; Coltelli, M.B.; Bronco, S. Thermal degradation of poly(lactic acid) (PLA) and poly(butylene adipate-co-terephthalate) (PBAT) and their blends upon melt processing. Polym. Degrad. Stab. 2009, 94, 74–82. [Google Scholar] [CrossRef]
- Kopinke, F.D.; Remmler, M.; Mackenzie, K.; Möder, M.; Wachsen, O. Thermal decomposition of biodegradable polyesters—II. Poly(lactic acid). Polym. Degrad. Stab. 1996, 53, 329–342. [Google Scholar] [CrossRef]











| Summary Methods to Predict Yield Stress | ||
|---|---|---|
| Summary Methods | Summary Stats for Input Features | Size of the Data Set |
| Method 1 (six stats) | Mean, variance, kurtosis, skewness, max, and min value | n = 30, p = 3672 |
| Method 2 (mean and var) | Mean and variance | n = 30, p = 1224 |
| Summary Methods to Predict Molecular Weight | ||
| Method 3 (mean—packaging grade) | Mean | n = 30, p = 612 |
| Method 3 (mean—medical grade) | Mean | n = 62, p = 512 |
| Temperature Profile (°C) | Feed Rate | Nozzle Type | Point Sample Taken for Mw Analysis | ||||
|---|---|---|---|---|---|---|---|
| Extruder Barrel Zone | Adapter | Die | Nozzle | g/h | Extruder exit | Spool | |
| 212 | 222 | 244 | 264 | 270, 300 | A | yes | |
| 215 | 225 | 247 | 267 | 200, 220 | B | yes | |
| 217 | 227 | 254 | 276 | 100, 150, 200, 250, 300, 350 | C | yes | |
| 218 | 228 | 249 | 269 | 320 | C | yes | |
| 222 | 232 | 259 | 281 | 150, 200, 250, 300 | C | yes | |
| 223 | 233 | 254 | 276 | 100, 200, 300 | D | yes | |
| Summary Methods | Method 1 (Six Summary Stats) | Method 2 (Mean and Variance) | Method 3 (Mean Only) |
|---|---|---|---|
| Regression methods | |||
| Models | RMSE (MPa) | RMSE (MPa) | RMSE (MPa) |
| RF | 3.02 | 2.979 | 2.148 |
| PCR | 5.533 (N_c = 5) | 5.042(N_c = 2) | 2.799 (N_c = 2) |
| PLS | 6.532 (N_c = 4) | 6.172 (N_c = 2) | 2.683 (N_c = 2) |
| Ridge | 6.906 | 9.386 | 8.180 |
| Feature selection methods | |||
| RFE-RF | 1.07 (N_s = 10) | 1.918 (N_s = 20) | 1.773 (N_s = 11) |
| RFE-bagging | 1.289 (N_s = 30) | 1.73 (N_s = 29) | 1.725 (N_s = 29) |
| FFS | 1.407 (N_s = 14) | - | - |
| LASSO | 2.25 | 9.990 | 9.79 |
| iPLS Followed by RFE (Method 1 with Six Summary Stats) | ||
|---|---|---|
| Model | Features Selected | RMSE (MPa) |
| BiPLS-RFE-RF | 43 | 1.156 |
| BiPLS-RFE-bagging | 18 | 0.911 |
| FiPLS-RFE-RF | 10 | 1.19 |
| FiPLS-RFE-bagging | 24 | 1.095 |
| Mean of Input Features | ||||||||||
|---|---|---|---|---|---|---|---|---|---|---|
| Packaging-Grade PLA | Medical-Grade PLA | |||||||||
| Result for Independent Test Set | Result for 80:20 Train Test Split | MC-CV with 200 Resampling | ||||||||
| Method | Features Selected | NRMSE | R2 | Features Selected | NRMSE | R2 | Features Selected | Mean NRMSE | SD of NRMSE | Mean R2 |
| LASSO | N_s = 23 | 0.51 | 0.112 | N_s = 41 | 0.102 | 0.926 | ||||
| PCR | N_c = 3 | 0.428 | 0.021 | N_c = 6 | 0.11 | 0.936 | N_c = 3 | 0.193 | 0.120 | 0.433 |
| PLS | N_c = 3 | 0.427 | 0.018 | N_c = 6 | 0.114 | 0.93 | N_c = 3 | 0.131 | 0.137 | 0.741 |
| RFE-RF | N_s = 64 | 0.549 | 0.011 | N_s = 9 | 0.134 | 0.863 | N_s = 10 | 0.101 | 0.173 | 0.830 |
| RFE-bagging | N_s = 90 | 0.496 | 0.045 | N_s = 6 | 0.164 | 0.765 | ||||
Disclaimer/Publisher’s Note: The statements, opinions and data contained in all publications are solely those of the individual author(s) and contributor(s) and not of MDPI and/or the editor(s). MDPI and/or the editor(s) disclaim responsibility for any injury to people or property resulting from any ideas, methods, instructions or products referred to in the content. |
© 2023 by the authors. Licensee MDPI, Basel, Switzerland. This article is an open access article distributed under the terms and conditions of the Creative Commons Attribution (CC BY) license (https://creativecommons.org/licenses/by/4.0/).
Share and Cite
Munir, N.; McMorrow, R.; Mulrennan, K.; Whitaker, D.; McLoone, S.; Kellomäki, M.; Talvitie, E.; Lyyra, I.; McAfee, M. Interpretable Machine Learning Methods for Monitoring Polymer Degradation in Extrusion of Polylactic Acid. Polymers 2023, 15, 3566. https://doi.org/10.3390/polym15173566
Munir N, McMorrow R, Mulrennan K, Whitaker D, McLoone S, Kellomäki M, Talvitie E, Lyyra I, McAfee M. Interpretable Machine Learning Methods for Monitoring Polymer Degradation in Extrusion of Polylactic Acid. Polymers. 2023; 15(17):3566. https://doi.org/10.3390/polym15173566
Chicago/Turabian StyleMunir, Nimra, Ross McMorrow, Konrad Mulrennan, Darren Whitaker, Seán McLoone, Minna Kellomäki, Elina Talvitie, Inari Lyyra, and Marion McAfee. 2023. "Interpretable Machine Learning Methods for Monitoring Polymer Degradation in Extrusion of Polylactic Acid" Polymers 15, no. 17: 3566. https://doi.org/10.3390/polym15173566
APA StyleMunir, N., McMorrow, R., Mulrennan, K., Whitaker, D., McLoone, S., Kellomäki, M., Talvitie, E., Lyyra, I., & McAfee, M. (2023). Interpretable Machine Learning Methods for Monitoring Polymer Degradation in Extrusion of Polylactic Acid. Polymers, 15(17), 3566. https://doi.org/10.3390/polym15173566

