Adsorption of Mono- and Divalent Ions onto Dendritic Polyglycerol Sulfate (dPGS) as Studied Using Isothermal Titration Calorimetry
Abstract
1. Introduction
2. Materials and Methods
2.1. Materials
2.2. Isothermal Titration Calorimetry
2.3. Data Analysis
Single Set of Identical Binding Sites (SSIS) Model
3. Results and Discussion
3.1. Ion Specificity
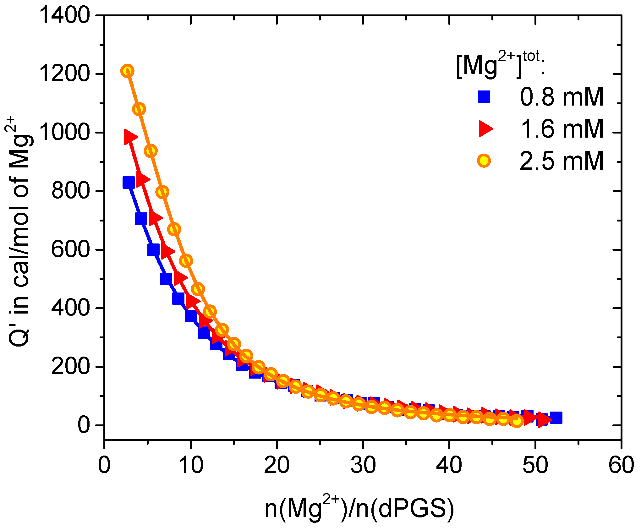
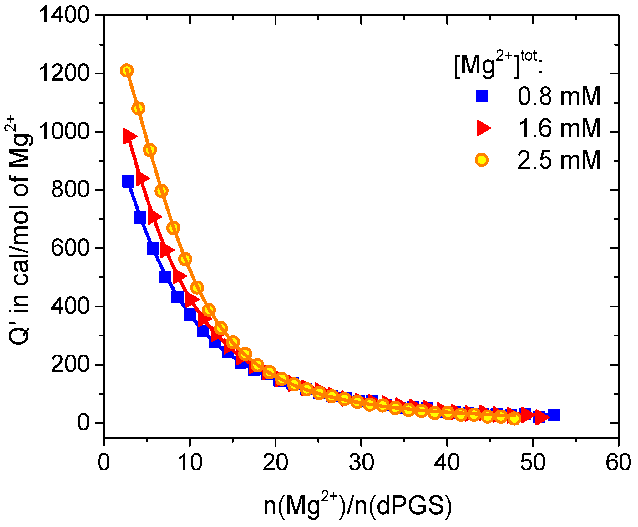
3.2. Constant Ionic Strength and Increasing Concentration of Mg2+
4. Conclusions
Supplementary Materials
Author Contributions
Funding
Institutional Review Board Statement
Data Availability Statement
Acknowledgments
Conflicts of Interest
References
- Alexander, S.; Chaikin, P.M.; Grant, P.; Morales, G.J.; Pincus, P.; Hone, D. Charge Renormalization, Osmotic Pressure, and Bulk Modulus of Colloidal Crystals: Theory. J. Chem. Phys. 1984, 80, 5776–5781. [Google Scholar] [CrossRef]
- Trizac, E.; Bocquet, L.; Aubouy, M.; von Grünberg, H.H. Alexander’s Prescription for Colloidal Charge Renormalization. Langmuir 2003, 19, 4027–4033. [Google Scholar] [CrossRef]
- Manning, G.S. Limiting Laws and Counterion Condensation in Polyelectrolyte Solutions I. Colligative Properties. J. Chem. Phys. 1969, 51, 924–933. [Google Scholar] [CrossRef]
- Zhulina, E.B.; Borisov, O.V. Polyelectrolytes Grafted to Curved Surfaces. Macromolecules 1996, 29, 2618–2626. [Google Scholar] [CrossRef]
- Rühe, J.; Ballauff, M.; Biesalski, M.; Dziezok, P.; Gröhn, F.; Johannsmann, D.; Houbenov, N.; Hugenberg, N.; Konradi, R.; Minko, S.; et al. Polyelectrolyte Brushes. In Polyelectrolytes with Defined Molecular Architecture I. Advances in Polymer Science; Springer: Berlin/Heidelberg, Germany, 2004; Volume 165. [Google Scholar]
- Ballauff, M.; Borisov, O. Polyelectrolyte Brushes. Curr. Opin. Colloid Interface Sci. 2006, 11, 316–323. [Google Scholar] [CrossRef]
- Yu, J.; Jackson, N.E.; Xu, X.; Brettmann, B.K.; Ruths, M.; De Pablo, J.J.; Tirrell, M. Multivalent Ions Induce Lateral Structural Inhomogeneities in Polyelectrolyte Brushes. Sci. Adv. 2017, 3, eaao1497. [Google Scholar] [CrossRef]
- Xu, X.; Ran, Q.; Haag, R.; Ballauff, M.; Dzubiella, J. Charged Dendrimers Revisited: Effective Charge and Surface Potential of Dendritic Polyglycerol Sulfate. Macromolecules 2017, 50, 4759–4769. [Google Scholar] [CrossRef]
- Rud, O.; Richter, T.; Borisov, O.; Holm, C.; Košovan, P. A Self-Consistent Mean-Field Model for Polyelectrolyte Gels. Soft Matter 2017, 13, 3264–3274. [Google Scholar] [CrossRef]
- Cruz, K.; Wang, Y.-H.; Oake, S.A.; Janmey, P.A. Polyelectrolyte Gels Formed by Filamentous Biopolymers: Dependence of Crosslinking Efficiency on the Chemical Softness of Divalent Cations. Gels 2021, 7, 41. [Google Scholar] [CrossRef]
- Staňo, R.; Nová, L.; Uhlík, F.; Košovan, P. Multivalent Counterions Accumulate in Star-like Polyelectrolytes and Collapse the Polymer in Spite of Increasing Its Ionization. Soft Matter 2020, 16, 1047–1055. [Google Scholar] [CrossRef]
- Karzbrun, E.; Tayar, A.M.; Noireaux, V.; Bar-Ziv, R.H. Programmable On-Chip DNA Compartments as Artificial Cells. Science 2014, 345, 829–832. [Google Scholar] [CrossRef]
- Raviv, U.; Giasson, S.; Kampf, N.; Gohy, J.F.; Jéröme, R.; Klein, J. Lubrication by Charged Polymers. Nature 2003, 425, 163–165. [Google Scholar] [CrossRef]
- Kobayashi, M.; Terayama, Y.; Yamaguchi, H.; Terada, M.; Murakami, D.; Ishihara, K.; Takahara, A. Wettability and Antifouling Behavior on the Surfaces of Superhydrophilic Polymer Brushes. Langmuir 2012, 28, 7212–7222. [Google Scholar] [CrossRef]
- Drummond, T.G.; Hill, M.G.; Barton, J.K. Electrochemical DNA Sensors. Nat. Biotechnol. 2003, 21, 1192–1199. [Google Scholar] [CrossRef]
- Plamper, F.A.; Walther, A.; Müller, A.H.E.; Ballauff, M. Nanoblossoms: Light-Induced Conformational Changes of Cationic Polyelectrolyte Stars in the Presence of Multivalent Counterions. Nano Lett. 2007, 7, 167–171. [Google Scholar] [CrossRef]
- Nap, R.J.; Park, S.H.; Szleifer, I. Competitive Calcium Ion Binding to End-Tethered Weak Polyelectrolytes. Soft Matter 2018, 14, 2365–2378. [Google Scholar] [CrossRef]
- Yu, J.; Mao, J.; Yuan, G.; Satija, S.; Chen, W.; Tirrell, M. The Effect of Multivalent Counterions to the Structure of Highly Dense Polystyrene Sulfonate Brushes. Polymer 2016, 98, 448–453. [Google Scholar] [CrossRef]
- Brettmann, B.; Pincus, P.; Tirrell, M. Lateral Structure Formation in Polyelectrolyte Brushes Induced by Multivalent Ions. Macromolecules 2017, 50, 1225–1235. [Google Scholar] [CrossRef]
- Jiang, T.; Wu, J. Self-Organization of Multivalent Counterions in Polyelectrolyte Brushes. J. Chem. Phys. 2008, 129, 084903. [Google Scholar] [CrossRef]
- Schneider, C.; Jusufi, A.; Farina, R.; Li, F.; Pincus, P.; Tirrell, M.; Ballauff, M. Microsurface Potential Measurements: Repulsive Forces between Polyelectrolyte Brushes in the Presence of Multivalent Counterions. Langmuir 2008, 24, 10612–10615. [Google Scholar] [CrossRef]
- Yu, J.; Mao, J.; Yuan, G.; Satija, S.; Jiang, Z.; Chen, W.; Tirrell, M. Structure of Polyelectrolyte Brushes in the Presence of Multivalent Counterions. Macromolecules 2016, 49, 5609–5617. [Google Scholar] [CrossRef]
- Yu, J.; Jackson, N.E.; Xu, X.; Morgenstern, Y.; Kaufman, Y.; Ruths, M.; de Pablo, J.J.; Tirrell, M. Multivalent Counterions Diminish the Lubricity of Polyelectrolyte Brushes. Science 2018, 360, 1434–1438. [Google Scholar] [CrossRef] [PubMed]
- Walkowiak, J.J.; Ballauff, M.; Zimmermann, R.; Freudenberg, U.; Werner, C. Thermodynamic Analysis of the Interaction of Heparin with Lysozyme. Biomacromolecules 2020, 21, 4615–4625. [Google Scholar] [CrossRef] [PubMed]
- Lunkad, R.; Barroso da Silva, F.L.; Košovan, P. Both Charge-Regulation and Charge-Patch Distribution Can Drive Adsorption on the Wrong Side of the Isoelectric Point. J. Am. Chem. Soc. 2022, 144, 1813–1825. [Google Scholar] [CrossRef]
- Rades, N.; Licha, K.; Haag, R. Dendritic Polyglycerol Sulfate for Therapy and Diagnostics. Polymers 2018, 10, 595. [Google Scholar] [CrossRef]
- Achazi, K.; Haag, R.; Ballauff, M.; Dernedde, J.; Kizhakkedathu, J.N.; Maysinger, D.; Multhaup, G. Understanding the Interaction of Polyelectrolyte Architectures with Proteins and Biosystems. Angew. Chemie Int. Ed. 2021, 60, 3882–3904. [Google Scholar] [CrossRef]
- Xu, X.; Ran, Q.; Dey, P.; Nikam, R.; Haag, R.; Ballauff, M.; Dzubiella, J. Counterion-Release Entropy Governs the Inhibition of Serum Proteins by Polyelectrolyte Drugs. Biomacromolecules 2018, 19, 409–416. [Google Scholar] [CrossRef]
- Ran, Q.; Xu, X.; Dey, P.; Yu, S.; Lu, Y.; Dzubiella, J.; Haag, R.; Ballauff, M. Interaction of Human Serum Albumin with Dendritic Polyglycerol Sulfate: Rationalizing the Thermodynamics of Binding. J. Chem. Phys. 2018, 149, 163324. [Google Scholar] [CrossRef]
- Xu, X.; Ballauff, M. Interaction of Lysozyme with a Dendritic Polyelectrolyte: Quantitative Analysis of the Free Energy of Binding and Comparison to Molecular Dynamics Simulations. J. Phys. Chem. B 2019, 123, 8222–8231. [Google Scholar] [CrossRef]
- Xu, X.; Angioletti-Uberti, S.; Lu, Y.; Dzubiella, J.; Ballauff, M. Interaction of Proteins with Polyelectrolytes: Comparison of Theory to Experiment. Langmuir 2019, 35, 5373–5391. [Google Scholar] [CrossRef]
- Nikam, R.; Xu, X.; Ballauff, M.; Kanduč, M.; Dzubiella, J. Charge and Hydration Structure of Dendritic Polyelectrolytes: Molecular Simulations of Polyglycerol Sulphate. Soft Matter 2018, 14, 4300–4310. [Google Scholar] [CrossRef]
- Nikam, R.; Xu, X.; Kanduč, M.; Dzubiella, J. Competitive Sorption of Monovalent and Divalent Ions by Highly Charged Globular Macromolecules. J. Chem. Phys. 2020, 153, 044904. [Google Scholar] [CrossRef]
- Xu, X.; Jia, X.; Zhang, Y. Dendritic Polyelectrolytes with Monovalent and Divalent Counterions: The Charge Regulation Effect and Counterion Release. Soft Matter 2021, 17, 10862–10872. [Google Scholar] [CrossRef]
- Haag, R.; Sunder, A.; Stumbé, J.-F. An Approach to Glycerol Dendrimers and Pseudo-Dendritic Polyglycerols. J. Am. Chem. Soc. 2000, 122, 2954–2955. [Google Scholar] [CrossRef]
- Türk, H.; Haag, R.; Alban, S. Dendritic Polyglycerol Sulfates as New Heparin Analogues and Potent Inhibitors of the Complement System. Bioconjug. Chem. 2004, 15, 162–167. [Google Scholar] [CrossRef]
- Indyk, L.; Fisher, H.F. [17] Theoretical Aspects of Isothermal Titration Calorimetry. In Methods in Enzymology; Academic Press: Cambridge, MA, USA, 1998; pp. 350–364. [Google Scholar]
- Lin, L.N.; Mason, A.B.; Woodworth, R.C.; Brandts, J.F. Calorimetric Studies of the Binding of Ferric Ions to Human Serum Transferrin. Biochemistry 1993, 32, 9398–9406. [Google Scholar] [CrossRef]
- Henzler, K.; Haupt, B.; Lauterbach, K.; Wittemann, A.; Borisov, O.; Ballauff, M. Adsorption of β-Lactoglobulin on Spherical Polyelectrolyte Brushes: Direct Proof of Counterion Release by Isothermal Titration Calorimetry. J. Am. Chem. Soc. 2010, 132, 3159–3163. [Google Scholar] [CrossRef]
- Xu, X.; Mastropietro, D.; Ruths, M.; Tirrell, M.; Yu, J. Ion-Specific Effects of Divalent Ions on the Structure of Polyelectrolyte Brushes. Langmuir 2019, 35, 15564–15572. [Google Scholar] [CrossRef]
- Damian, L. Isothermal Titration Calorimetry for Studying Protein–Ligand Interactions. In Methods in Molecular Biology; Humana Press: Totowa, NJ, USA, 2013; Volume 1008, pp. 103–118. ISBN 9781627033978. [Google Scholar]
- Wyrzykowski, D.; Pilarski, B.; Jacewicz, D.; Chmurzyński, L. Investigation of Metal-Buffer Interactions Using Isothermal Titration Calorimetry. J. Therm. Anal. Calorim. 2013, 111, 1829–1836. [Google Scholar] [CrossRef]
- Ferreira, C.M.H.; Pinto, I.S.S.; Soares, E.V.; Soares, H.M.V.M. (Un)Suitability of the Use of PH Buffers in Biological, Biochemical and Environmental Studies and Their Interaction with Metal Ions-a Review. RSC Adv. 2015, 5, 30989–31003. [Google Scholar] [CrossRef]
- Xiao, C.Q.; Huang, Q.; Zhang, Y.; Zhang, H.Q.; Lai, L. Binding Thermodynamics of Divalent Metal Ions to Several Biological Buffers. Thermochim. Acta 2020, 691, 178721. [Google Scholar] [CrossRef]
- Mazzini, V.; Craig, V.S.J. Volcano Plots Emerge from a Sea of Nonaqueous Solvents: The Law of Matching Water Affinities Extends to All Solvents. ACS Cent. Sci. 2018, 4, 1056–1064. [Google Scholar] [CrossRef] [PubMed]
- Okur, H.I.; Hladílková, J.; Rembert, K.B.; Cho, Y.; Heyda, J.; Dzubiella, J.; Cremer, P.S.; Jungwirth, P. Beyond the Hofmeister Series: Ion-Specific Effects on Proteins and Their Biological Functions. J. Phys. Chem. B 2017, 121, 1997–2014. [Google Scholar] [CrossRef] [PubMed]
- Luo, H.; Tang, Q.; Zhong, J.; Lei, Z.; Zhou, J.; Tong, Z. Interplay of Solvation and Size Effects Induced by the Counterions in Ionic Block Copolymers on the Basis of Hofmeister Series. Macromol. Chem. Phys. 2019, 220, 874–880. [Google Scholar] [CrossRef]






| dPGS | |
|---|---|
| Mn,dPG (kD) | 2.6 |
| DS (%) | 97 |
| Nter | 34 |
| Mn,dPGS (kD) | 6.5 |
| System | Buffer/Ionic Strength (mM) | [DI]tot (a) (mM) | [Na+]tot (mM) | T [K] | c (DI) (b) (mM) | c (dPGS) (mM) |
|---|---|---|---|---|---|---|
| Ca2+/dPGS | MOPS/16.5 | 0.8 | 4.1 | 303 | 5.1 | 0.032 |
| Mg2+/dPGS | MOPS/16.5 | 0.8 | 4.1 | 303 | 5.0 | 0.032 |
| MOPS/21.5 | 0.8 | 9.1 | 303 | 5.0 | 0.020 | |
| MOPS/21.5 | 1.7 | 6.4 | 303 | 10.0 | 0.039 | |
| MOPS/21.5 | 2.5 | 4.0 | 303 | 15.2 | 0.064 |
| Divalent ion (DI) | [DI]tot (mM) | [Na+]tot (mM) | [dPGS] (mM) | I (mM) | Nb | ∆HITC (kJ∙mol−1) | Kb × 10−3 (M−1) | ∆Gbexp (kJ∙mol−1) |
|---|---|---|---|---|---|---|---|---|
| Ca2+ | 0.8 | 4.1 | 0.032 | 16.5 | 7.9 ± 0.2 | 6.8 ± 0.2 | 6.3 ± 0.5 | −22.0 ± 0.2 |
| Mg2+ | 0.8 | 4.1 | 0.032 | 16.5 | 7.5 ± 0.2 | 8.1 ± 0.4 | 5.1 ± 0.4 | −21.5 ± 0.2 |
| 0.8 | 9.1 | 0.020 | 21.5 | 4.5 ± 0.3 | 10.1 ± 0.8 | 6.5 ± 0.6 | −22.1 ± 0.2 | |
| 1.6 | 6.4 | 0.039 | 21.5 | 4.9 ± 0.1 | 10.0 ± 0.3 | 4.1 ± 0.2 | −21.0 ± 0.1 | |
| 2.5 | 4.0 | 0.064 | 21.5 | 6.4 ± 0.1 | 8.5 ± 0.1 | 4.1 ± 0.2 | −21.0 ± 0.1 |
Disclaimer/Publisher’s Note: The statements, opinions and data contained in all publications are solely those of the individual author(s) and contributor(s) and not of MDPI and/or the editor(s). MDPI and/or the editor(s) disclaim responsibility for any injury to people or property resulting from any ideas, methods, instructions or products referred to in the content. |
© 2023 by the authors. Licensee MDPI, Basel, Switzerland. This article is an open access article distributed under the terms and conditions of the Creative Commons Attribution (CC BY) license (https://creativecommons.org/licenses/by/4.0/).
Share and Cite
Walkowiak, J.J.; Nikam, R.; Ballauff, M. Adsorption of Mono- and Divalent Ions onto Dendritic Polyglycerol Sulfate (dPGS) as Studied Using Isothermal Titration Calorimetry. Polymers 2023, 15, 2792. https://doi.org/10.3390/polym15132792
Walkowiak JJ, Nikam R, Ballauff M. Adsorption of Mono- and Divalent Ions onto Dendritic Polyglycerol Sulfate (dPGS) as Studied Using Isothermal Titration Calorimetry. Polymers. 2023; 15(13):2792. https://doi.org/10.3390/polym15132792
Chicago/Turabian StyleWalkowiak, Jacek J., Rohit Nikam, and Matthias Ballauff. 2023. "Adsorption of Mono- and Divalent Ions onto Dendritic Polyglycerol Sulfate (dPGS) as Studied Using Isothermal Titration Calorimetry" Polymers 15, no. 13: 2792. https://doi.org/10.3390/polym15132792
APA StyleWalkowiak, J. J., Nikam, R., & Ballauff, M. (2023). Adsorption of Mono- and Divalent Ions onto Dendritic Polyglycerol Sulfate (dPGS) as Studied Using Isothermal Titration Calorimetry. Polymers, 15(13), 2792. https://doi.org/10.3390/polym15132792

