A Study on the Thermal Degradation of an Acrylamide and 2-Acrylamido-2-Methylpropanesulfonic Acid Copolymer at High Temperatures
Abstract
1. Introduction
2. Materials and Methods
2.1. Materials
2.2. Methods
2.2.1. Preparation of Copolymer Solution
2.2.2. Determination of Copolymer Solution Viscosity
2.2.3. Determination of the Degree of Hydrolysis of the Copolymer Solution
2.2.4. Determination of Weight-Average Molecular Weight of Copolymers
2.2.5. Determination of the Relative Content of Carboxylic Acid, AM, and AMPS Groups
3. Results and Discussion
3.1. Effect of Heat Treatment on the Rheological Properties of the AM-AMPS Copolymer Solution
- (1)
- Under high temperature heat treatment, the flow behavior index n in the rheological equation of the copolymer is less than 1, which indicates that the AM-AMPS copolymer saline solution is a typical pseudoplastic fluid;
- (2)
- As the aging time lengthens, the consistency coefficient K declines, and the flow behavior index n progressively rises and approaches 1, so the AM-AMPS copolymer solution trends to a Newton fluid. These changes suggest that the thermal degradation of the AM-AMPS copolymer may take place at 116 °C.
3.2. Effect of Aging Time on the Viscosity of the AM-AMPS Copolymer Solution
3.3. Relationship between Viscosity and Temperature of the AM-AMPS Copolymer Solution
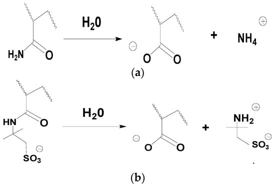
3.4. Hydrolysis Reaction of the AM-AMPS Copolymer Solution
3.4.1. Hydrolysis Reaction Rate of AM and AMPS Groups
3.4.2. Effect of Temperature on the Degree of Hydrolysis
3.4.3. Relationship between the Degree of Hydrolysis and Measured Viscosity
3.4.4. The Mechanism of Viscosity Variation with Hydrolysis Reaction
3.5. The Oxidative Thermal Degradation of the AM-AMPS Copolymer Solution
4. Conclusions
- (1)
- The relationship between the measured viscosities of the AM/AMPS copolymer solution and shear rates conforms to a power law equation. As the high-temperature aging time increases, the consistency coefficient of the copolymer solution decreases and the flow behavior index increases, indicating that high temperature may cause the degradation of the AM-AMPS copolymer solution.
- (2)
- With the increase of aging time, the viscosity of the AM-AMPS copolymer solution increases to a peak value before decreasing. The viscosity change of the AM-AMPS copolymer solution is the result of the joint action of the copolymer hydrolysis reaction and the oxidative thermal degradation. The hydrolysis reaction mainly affects the structural viscosity through intramolecular and intermolecular electrostatic interactions, while the oxidative thermal degradation mainly reduces its weight-average molecular weight by breaking the main chain of the copolymer molecules, thus reducing the viscosity of the AM-AMPS copolymer solution.
- (3)
- As the high-temperature aging time increases, the degree of hydrolysis gradually approaches a limit value, and the higher the temperature, the greater the degree of the hydrolysis limit value. The content of AM and AMPS groups in AM-AMPS copolymer solution at different heat treatment temperatures and aging time has been analyzed using liquid nuclear magnetic resonance carbon spectroscopy. It was proves that the hydrolysis reaction of AM and AMPS groups conforms to the first-order reaction rate equation, and the hydrolysis rate constant of AM groups is significantly higher than that of AMPS groups.
- (4)
- The contribution values of hydrolysis reaction and oxidative thermal degradation of the AM-AMPS copolymer at different aging time to viscosity were quantitatively calculated at temperatures ranging from 104.5 °C to 140 °C. It was determined that the higher the temperature, the smaller the contribution of the hydrolysis reaction to viscosity, while the bigger the contribution of the oxidative thermal degradation to the viscosity of the AM-AMPS copolymer solution.
Author Contributions
Funding
Institutional Review Board Statement
Informed Consent Statement
Data Availability Statement
Conflicts of Interest
References
- Huo, J.; Peng, Z.; Ye, Z.; Feng, Q.; Zheng, Y.; Zhang, J.; Liu, X. Investigation of synthesized polymer on the rheological and filtration performance of water-based drilling fluid system. J. Pet. Sci. Eng. 2018, 165, 655–663. [Google Scholar] [CrossRef]
- Gautam, S.; Guria, C. Optimal synthesis, characterization, and performance evaluation of high-pressure high-temperature polymer-based drilling fluid: The effect of viscoelasticity on cutting transport, filtration loss, and lubricity. SPE J. 2020, 25, 1333–1350. [Google Scholar] [CrossRef]
- Funkhouser, G.P.; Norman, L.R. Synthetic Polymer Fracturing Fluid for High-Temperature Applications. In Proceedings of the International Symposium on Oilfield Chemistry, Houston, TX, USA, 5–7 February 2003. [Google Scholar]
- Norman, L.R.; Conway, M.W.; Wilson, J.M. Temperature-stable acid-gelling polymers: Laboratory evaluation and field results. J. Pet. Technol. 1984, 36, 2011–2018. [Google Scholar] [CrossRef]
- Nasr-El-Din, H.; Al-Mutairi, S.; Al-Jari, M.; Metcalf, A.; Walters, W. Stimulation of a deep sour gas reservoir using gelled acid. In Proceedings of the SPE Gas Technology Symposium, Calgary, AB, Canada, 30 April–2 May 2002. [Google Scholar]
- Jouenne, S. Polymer flooding in high temperature, high salinity conditions: Selection of polymer type and polymer chemistry, thermal stability. J. Pet. Sci. Eng. 2020, 195, 107545. [Google Scholar] [CrossRef]
- Singh, R.; Mahto, V. Synthesis, characterization and evaluation of polyacrylamide graft starch/clay nanocomposite hydrogel system for enhanced oil recovery. Pet. Sci. 2017, 14, 765–779. [Google Scholar] [CrossRef]
- Steiger, R.P. Fundamentals and use of potassium/polymer drilling fluids to minimize drilling and completion problems associated with hydratable clays. J. Pet. Technol. 1982, 34, 1661–1670. [Google Scholar] [CrossRef]
- Park, E.-S.; Kang, B.-S.; Kim, J.-S. Recovery of oils with high caloric value and low contaminant content by pyrolysis of digested and dried sewage sludge containing polymer flocculants. Energy Fuels 2008, 22, 1335–1340. [Google Scholar] [CrossRef]
- Oliveira, P.F.; Costa, J.A.; Oliveira, L.F.S.; Mota, L.S.; Oliveira, L.A.; Mansur, C.R. Hydrolysis and thermal stability of partially hydrolyzed polyacrylamide in high-salinity environments. J. Appl. Polym. Sci. 2019, 136, 47793. [Google Scholar] [CrossRef]
- Moradi-Araghi, A.; Cleveland, D.H.; Westerman, I. Development and evaluation of EOR polymers suitable for hostile environments: II-Copolymers of acrylamide and sodium AMPS. In Proceedings of the SPE International Symposium on Oilfield Chemistry, San Antonio, TX, USA, 4–6 February 1987. [Google Scholar]
- Du, Y.; Zhu, Y.; Ji, Y.; Xu, H.; Zhang, H.; Yuan, S. Effect of salt-resistant monomers on viscosity of modified polymers based on the hydrolyzed polyacrylamide (HPAM): A molecular dynamics study. J. Mol. Liq. 2021, 325, 115161. [Google Scholar] [CrossRef]
- Audibert, A.; Argillier, J. Thermal stability of sulfonated polymers. In Proceedings of the SPE International Symposium on Oilfield Chemistry, San Antonio, TX, USA, 14–17 February 1995. [Google Scholar]
- Muller, G. Thermal stability of polyacrylamide solutions: Effect of residual impurities in the molecular-weight-degradation process upon heating. Polym. Bull. 1981, 5, 39–45. [Google Scholar] [CrossRef]
- Muller, G. Thermal stability of high-molecular-weight polyacrylamide aqueous solutions. Polym. Bull. 1981, 5, 31–37. [Google Scholar] [CrossRef]
- Nurmi, L.; Sandengen, K.; Hanski, S.; Molesworth, P. Sulfonated polyacrylamides-evaluation of long term stability by accelerated aging at elevated temperature. In Proceedings of the SPE Improved Oil Recovery Conference, Tulsa, OK, USA, 14–18 April 2018. [Google Scholar]
- Shin, S.; Cho, Y.I. The effect of thermal degradation on the non-newtonian viscosity of an aqueous polyacrylamide solution. KSME Int. J. 1998, 12, 267–273. [Google Scholar] [CrossRef]
- Ma, Q.; Shuler, P.J.; Aften, C.W.; Tang, Y. Theoretical studies of hydrolysis and stability of polyacrylamide polymers. Polym. Degrad. Stab. 2015, 121, 69–77. [Google Scholar] [CrossRef]
- Fu, X.; Yang, Q.; Zhang, Y. Thermal decomposition behavior and mechanism study of cationic polyacrylamide. J. Therm. Anal. Calorim. 2020, 146, 1371–1381. [Google Scholar] [CrossRef]
- Zhang, L.; Lv, X.; Zhu, Y.; Zhang, J.; Zhao, J.; Tan, Y. The Rheological ProPerties and structure characterization of hydrolyzed Polyacrylamide under different degradaiton conditions. In Proceedings of the Advances in Rheology—The 11th National Rheology Academic Conference, Langfang, China, 20 September 2012. [Google Scholar]
- Silva, M.E.S.; Dutra, E.R.; Mano, V.; Machado, J.C. Preparation and thermal study of polymers derived from acrylamide. Polym. Degrad. Stab. 2000, 67, 491–495. [Google Scholar] [CrossRef]
- Zhu, L.; Ma, C.; Li, M.; Wang, E. Oxidative degradation of partially hydrolyzed polyacrylamide in aqueous solution III. stability at high temperature. Polym. Mater. Sci. Eng. 2002, 18, 93–96. [Google Scholar] [CrossRef]
- Sandengen, K.; Widerøe, H.; Nurmi, L.; Hanski, S. Hydrolysis kinetics of ATBS polymers at elevated temperature, via 13C NMR spectroscopy, as basis for accelerated aging tests. J. Pet. Sci. Eng. 2017, 158, 680–692. [Google Scholar] [CrossRef]
- Sandengen, K.; Meldahl, M.; Gjersvold, B.; Molesworth, P.; Gaillard, N.; Braun, O.; Antignard, S. Long term stability of ATBS type polymers for enhanced oil recovery. J. Pet. Sci. Eng. 2018, 169, 532–545. [Google Scholar] [CrossRef]
- Luo, Y.; Lin, L.; Yu, W.; Li, X.; Gu, H.; Liu, H. Study on the high temperature degradation mechanism of P(AA/AMPS) and P(AM/AA/AMPS) aqueous solutions. Oilfield Chem. 2022, 39, 202–208. [Google Scholar] [CrossRef]
- Pang, X. Improvement of measuring method on hydrolysis degree of acrylic amide polymers in oil displacement. Pet. Geol. Recovery Effic. 2010, 17, 71–73+115–116. [Google Scholar] [CrossRef]
- GB/T 12005.6-1989; Determination for Hydrolysis Degree of Partly Hydrolysis Polyacrylamide. National Standard of the People’s Republic of China: Beijing, China, 1989; Volume 8.
- Ryles, R.G. Chemical Stability Limits of Water-Soluble Polymers Used in Oil Recovery Processes. SPE Reserv. Eng. 1988, 3, 23–34. [Google Scholar] [CrossRef]
- Xu, Y. Rheology of Polymer Structure, 1st ed.; Sichuan Education Press: Chengdu, China, 1988. [Google Scholar]














| Temperature/°C | Aging Time/d | Content of AM/% | Content of AMPS/% | Degree of Hydrolysis/% |
|---|---|---|---|---|
| 80 | 0 | 73.1 | 23.6 | 3.3 |
| 1 | 70.3 | 23.6 | 6.1 | |
| 5 | 64.7 | 23.5 | 11.8 | |
| 10 | 56.6 | 23.5 | 19.9 | |
| 15 | 51.8 | 23.5 | 24.7 | |
| 20 | 49.4 | 23.4 | 27.2 | |
| 104.5 | 0 | 73.1 | 23.6 | 3.3 |
| 0.70 | 62.0 | 23.4 | 14.6 | |
| 2.50 | 48.2 | 23.1 | 28.7 | |
| 4.35 | 41.4 | 22.2 | 36.4 | |
| 7.60 | 36.2 | 22.0 | 41.8 | |
| 11.31 | 34.9 | 21.4 | 43.7 | |
| 18.10 | 34.8 | 20.1 | 45.1 | |
| 116 | 0 | 73.1 | 23.6 | 3.3 |
| 1 | 54.5 | 23.1 | 22.4 | |
| 2.50 | 38.4 | 22.4 | 39.2 | |
| 4.01 | 34.5 | 21.6 | 43.9 | |
| 10.24 | 29.8 | 20.1 | 50.1 | |
| 16.35 | 28.8 | 18.4 | 52.8 | |
| 130 | 0 | 73.1 | 23.6 | 3.3 |
| 0.50 | 44.4 | 23.1 | 32.5 | |
| 1.13 | 39.6 | 22.5 | 37.9 | |
| 3.41 | 32.6 | 20.7 | 46.7 | |
| 6.74 | 30.0 | 18.4 | 51.6 | |
| 13.61 | 28.8 | 16.2 | 55.0 | |
| 140 | 0 | 73.1 | 23.6 | 3.3 |
| 0.17 | 45.1 | 22.4 | 32.5 | |
| 0.33 | 42.7 | 21.1 | 36.2 | |
| 0.75 | 38.8 | 20.0 | 41.2 | |
| 2.01 | 34.3 | 18.4 | 47.3 | |
| 5.21 | 30.9 | 15.3 | 53.8 | |
| 15.25 | 29.2 | 11.4 | 59.4 |
| Temperature/°C | kAM | kAMPS |
|---|---|---|
| 80 | 2.20 × 10−2 | 4.0 × 10−4 |
| 104.5 | 1.08 × 10−1 | 9.0 × 10−3 |
| 116 | 2.11 × 10−1 | 1.6 × 10−2 |
| 130 | 2.81 × 10−1 | 3.0 × 10−2 |
| 140 | 4.76 × 10−1 | 5.3 × 10−2 |
| T, °C | μmax, mPa·s | αmax, % | tmax, d |
|---|---|---|---|
| 80 | 134.5 | 37.6 | 75.00 |
| 104.5 | 112.0 | 36.4 | 4.35 |
| 116 | 79.2 | 33.7 | 1.75 |
| 130 | 79.4 | 31.8 | 0.45 |
| 140 | 65.3 | 29.3 | 0.12 |
| Aging Time t, d | Degree of Hydrolysis α, % | μt (10 s−1), mPa·s | μs, mPa·s | μr, mPa·s | b, % | ln(b) |
|---|---|---|---|---|---|---|
| 0.00 | 3.30 | 61.76 | 61.76 | 0.00 | 100.00 | 4.61 |
| 0.20 | 7.30 | 65.23 | 66.99 | 1.76 | 97.37 | 4.58 |
| 0.70 | 14.60 | 75.83 | 79.59 | 3.76 | 95.28 | 4.56 |
| 2.50 | 28.70 | 98.24 | 111.00 | 12.76 | 88.50 | 4.48 |
| 3.56 | 32.40 | 103.37 | 121.13 | 17.76 | 85.34 | 4.45 |
| 4.35 | 36.40 | 111.96 | 133.12 | 21.16 | 84.10 | 4.43 |
| Temperature, °C | |
|---|---|
| 104.5 | 0.039 |
| 116.0 | 0.259 |
| 130.0 | 0.914 |
| 140.0 | 4.379 |
Disclaimer/Publisher’s Note: The statements, opinions and data contained in all publications are solely those of the individual author(s) and contributor(s) and not of MDPI and/or the editor(s). MDPI and/or the editor(s) disclaim responsibility for any injury to people or property resulting from any ideas, methods, instructions or products referred to in the content. |
© 2023 by the authors. Licensee MDPI, Basel, Switzerland. This article is an open access article distributed under the terms and conditions of the Creative Commons Attribution (CC BY) license (https://creativecommons.org/licenses/by/4.0/).
Share and Cite
Zhang, G.; Ran, Y.; Jiang, P.; Pei, H. A Study on the Thermal Degradation of an Acrylamide and 2-Acrylamido-2-Methylpropanesulfonic Acid Copolymer at High Temperatures. Polymers 2023, 15, 2665. https://doi.org/10.3390/polym15122665
Zhang G, Ran Y, Jiang P, Pei H. A Study on the Thermal Degradation of an Acrylamide and 2-Acrylamido-2-Methylpropanesulfonic Acid Copolymer at High Temperatures. Polymers. 2023; 15(12):2665. https://doi.org/10.3390/polym15122665
Chicago/Turabian StyleZhang, Guicai, Yunling Ran, Ping Jiang, and Haihua Pei. 2023. "A Study on the Thermal Degradation of an Acrylamide and 2-Acrylamido-2-Methylpropanesulfonic Acid Copolymer at High Temperatures" Polymers 15, no. 12: 2665. https://doi.org/10.3390/polym15122665
APA StyleZhang, G., Ran, Y., Jiang, P., & Pei, H. (2023). A Study on the Thermal Degradation of an Acrylamide and 2-Acrylamido-2-Methylpropanesulfonic Acid Copolymer at High Temperatures. Polymers, 15(12), 2665. https://doi.org/10.3390/polym15122665
