A Study of Free-Form Shape Rationalization Using Biomimicry as Inspiration
Abstract
1. Introduction
1.1. Early Motivation
1.2. Brief History of Shape Rationalization
1.3. Computational Design and Visual Programming
- Kangaroo Physics [23] to perform an initial analysis of the evolved forms. It is a Live Physics engine for interactive simulation, form-finding, optimization, and constraint-solving;
- GhPython [24] is a Python interpreter component for Grasshopper to execute custom Python scripts for optimization;
- Galapagos [25] is an evolutionary solver to perform as a validation tool for custom Python programming input;
- Karamba3D [26] is a parametric structural engineering tool for shell analysis;
- Silkworm [27] is a Grasshopper plug-in to translate geometries into customized G-codes.
1.4. Biomimicry as a Trade of Design in Architecture
- Organization level: This level of biomimicry is probably the most widely used process where designers mimic the whole or part of a biological form to their benefit;
- Behavior level: At this level, designers observe the behavior of certain biological organisms and try to artificially simulate the same;
- Ecosystem level: This level of mimicking focuses on the functionalities of biological forms and is considered to be the toughest form of mimicking. Adapting biological functionalities implies adapting biological principles and wisdom, which often perform much better than traditional technologies. The application of such wisdom in the form of algorithms has extended the scope of simulation and optimization in architectural models.
2. Materials and Methods
2.1. Design Principle
2.2. Case Study Preparation
- Random load at a specific point on the surfaces with all four edges being fixed;
- Random point load with extreme two edges of translation being fixed.
2.3. Prototyping
3. Results and Discussions
3.1. Test Setup
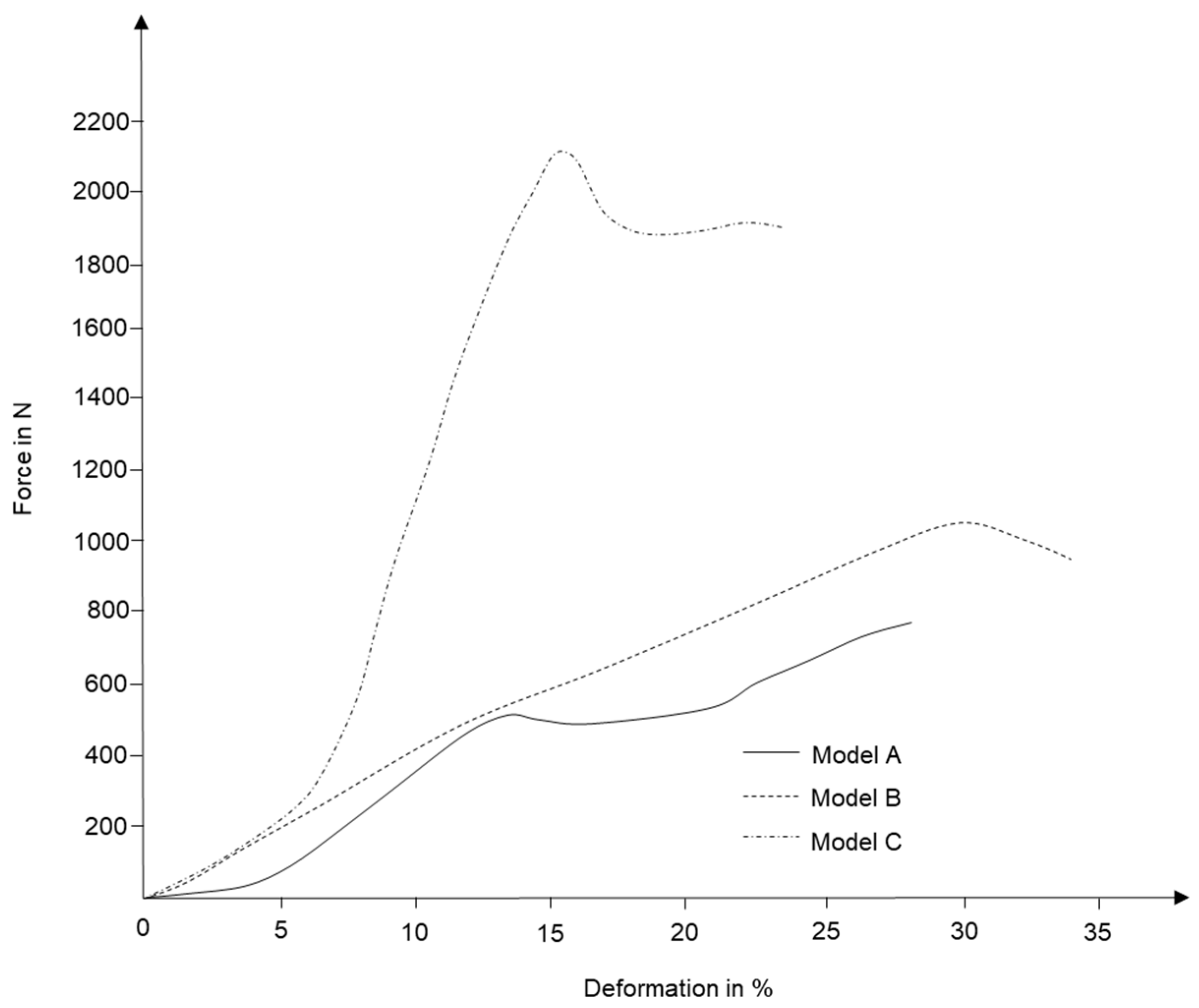
3.2. Results
3.3. Additional Results
- For closed boundary conditions, shapes generated based on 3D curvature curves perform better;
- In the case of free-edge deformation, loading conditions play a key role in deciding the hierarchy of the solutions. For disturbances near open edges, models generated based on 3D curvature curves are preferable solutions, while disturbances near the base would be better encountered by shapes generated from curves with 2D curvature;
- With parametric modeling, it is easy to generate and modify surfaces. However, with each modification, new boundary conditions are introduced in the system, which needs to be considered in the analysis section.
3.4. Preparation for Digital Fabrication
4. Conclusions
Author Contributions
Funding
Institutional Review Board Statement
Data Availability Statement
Acknowledgments
Conflicts of Interest
References
- Dutta, G.S.; Steuernagel, L.; Meiners, D. Generative Design Solutions for Free-Form Structures Based on Biomimicry. In Communications in Computer and Information Science; Springer: Cham, Switzerland, 2020; pp. 122–134. [Google Scholar] [CrossRef]
- Sanabria, S.L. From Gothic to Renaissance Stereotomy: The Design Methods of Philibert de l’Orme and Alonso de Vandelvira. Technol. Cult. 1989, 30, 266. [Google Scholar] [CrossRef]
- Agkathidis, A. Biomorphic Structures: Architecture Inspired by Nature; Laurence King Publishing: London, UK, 2017. [Google Scholar]
- Sakarovitch, J. Gaspard Monge founder of ‘constructive geometry’. In Proceedings of the Third International Congress on Construction History, Cottbus, Germany, 20–24 May 2009; pp. 1293–1299. [Google Scholar]
- Austern, G.; Capeluto, I.G.; Grobman, Y.J. Rationalization methods in computer aided fabrication: A critical review. Autom. Constr. 2018, 90, 281–293. [Google Scholar] [CrossRef]
- Fischer, T. Geometry Rationalization for Non-Standard Architecture. Archit. Sci. 2012, 5, 25–47. [Google Scholar]
- Pedreschi, R. Form, Force and Structure: A Brief History. Archit. Des. 2008, 78, 12–19. [Google Scholar] [CrossRef]
- Moskaleva, A.; Safonov, A.; Hernández-Montes, E. Fiber-Reinforced Polymers in Freeform Structures: A Review. Buildings 2021, 11, 481. [Google Scholar] [CrossRef]
- Moskaleva, A.; Gusev, S.V.; Konev, S.; Sergeichev, I.V.; Safonov, A.; Hernandez-Montes, E. Composite freeform shell structures: Design, construction and testing. Compos. Struct. 2022, 306, 116603. [Google Scholar] [CrossRef]
- Boller, G.; Schwartz, J. Modelling the form. Heinz Isler, Frei Otto and their approaches to form-finding. In Proceedings of the 7th Conference of the CHS 2020, Barcelona, Spain, 22 April 2020; pp. 565–576. [Google Scholar]
- Otto, F.; Songel, J.M. A Conversation with Frei Otto; Princeton Architectural Press, Cop.: New York, NY, USA, 2010. [Google Scholar]
- Lorenzi, M.G.; Francaviglia, M. Art & Mathematics n Antonio Gaudi’s Architecture: “La Sagrada Familia”. Aplimat J. Appl. Math. 2010, 3, 125–145. [Google Scholar]
- Echenagucia, T.M.; Pigram, D.; Liew, A.; Van Mele, T.; Block, P. A Cable-Net and Fabric Formwork System for the Construction of Concrete Shells: Design, Fabrication and Construction of a Full-Scale Prototype. Structures 2019, 18, 72–82. [Google Scholar] [CrossRef]
- Rocker, I.M. When code matters. Archit. Des. 2006, 76, 16–25. [Google Scholar] [CrossRef]
- Schwartzburg, Y.; Pauly, M. Fabrication-aware Design with Intersecting Planar Pieces. Comput. Graph. Forum 2013, 32, 317–326. [Google Scholar] [CrossRef]
- Fathi, A.; Saleh, A.; Hegazy, M. Computational Design as an Approach to Sustainable Regional Architecture in the Arab World. Procedia Soc. Behav. Sci. 2016, 225, 180–190. [Google Scholar] [CrossRef]
- Caetano, I.; Santos, L.; Leitão, A. Computational design in architecture: Defining parametric, generative, and algorithmic design. Front. Archit. Res. 2020, 9, 287–300. [Google Scholar] [CrossRef]
- Oxman, R. Thinking difference: Theories and models of parametric design thinking. Des. Stud. 2017, 52, 4–39. [Google Scholar] [CrossRef]
- Karle, D.; Kelly, B. Parametric Thinking. Available online: http://papers.cumincad.org/data/works/att/acadiaregional2011_012.content.pdf (accessed on 31 March 2023).
- Noone, M.; Mooney, A. Visual and textual programming languages: A systematic review of the literature. J. Comput. Educ. 2018, 5, 149–174. [Google Scholar] [CrossRef]
- Labib, R. Is Computer Programming Beneficial to Architects and Architecture Students for Complex Modeling and Informed Performative Design Decisions? Escholarship.org. 2017. Available online: https://escholarship.org/uc/item/0203m6dj (accessed on 31 March 2023).
- Grasshopper. Grasshopper3d.com. 2009. Available online: https://www.grasshopper3d.com/ (accessed on 31 March 2023).
- Kangaroo Physics. Food4Rhino. 2010. Available online: https://www.food4rhino.com/en/app/kangaroo-physics (accessed on 31 March 2023).
- GhPython. Food4Rhino. 2011. Available online: https://www.food4rhino.com/en/app/ghpython (accessed on 31 March 2023).
- Galapagos. Grasshopper3d.com. 2019. Available online: https://www.grasshopper3d.com/group/galapagos (accessed on 31 March 2023).
- Karamba3D—Parametric Engineering. Available online: https://www.karamba3d.com/ (accessed on 31 March 2023).
- Silkworm. Available online: https://www.grasshopper3d.com/group/silkworm (accessed on 31 March 2023).
- Aziz, M.S.; El Sherif, A.Y. Biomimicry as an approach for bio-inspired structure with the aid of computation. Alex. Eng. J. 2016, 55, 707–714. [Google Scholar] [CrossRef]
- Tan, R.; Liu, W.; Cao, G.; Shi, Y. Creative design inspired by biological knowledge: Technologies and methods. Front. Mech. Eng. 2018, 14, 1–14. [Google Scholar] [CrossRef]
- Benyus, J.M. Biomimicry: Innovation Inspired by Nature; Harper Perennial: New York, NY, USA, 2009. [Google Scholar]
- Cui, Z.; Cai, X. Artificial Plant Optimization Algorithm. Swarm Intelligence and Bio-Inspired Computation; Elsevier: Amsterdam, The Netherlands, 2013; pp. 351–365. [Google Scholar] [CrossRef]
- i3 Mega S. (n.d.). ANYCUBIC 3D Printing. Available online: https://www.anycubic.com/products/anycubic-i3-mega-s (accessed on 31 March 2023).
- Travieso-Rodriguez, J.A.; Jerez-Mesa, R.; Llumà, J.; Traver-Ramos, O.; Gomez-Gras, G.; Rovira, J.J.R. Mechanical Properties of 3D-Printing Polylactic Acid Parts subjected to Bending Stress and Fatigue Testing. Materials 2019, 12, 3859. [Google Scholar] [CrossRef] [PubMed]
- Jain, N.; Singh, V.K.; Chauhan, S. A review on mechanical and water absorption properties of polyvinyl alcohol based composites/films. J. Mech. Behav. Mater. 2017, 26, 213–222. [Google Scholar] [CrossRef]
- ABAQUS CAE, 3ds.com. 2020. Available online: https://www.3ds.com/products-services/simulia/products/abaqus/abaquscae/ (accessed on 31 March 2023).
- Dunn, N. Digital Fabrication in Architecture; Laurence King Publishing: London, UK, 2012. [Google Scholar]
- Evolution of Digital Fabrication in Architecture. RTF | Rethinking the Future. 2020. Available online: https://www.re-thinkingthefuture.com/technology-architecture/a2546-evolution-of-digital-fabrication-in-architecture/ (accessed on 31 March 2023).
- Ultimaker. Ultimaker Cura: Powerful, Easy-to-Use 3D Printing Software. Ultimaker.com. 2011. Available online: https://ultimaker.com/software/ultimaker-cura (accessed on 31 March 2023).
- Luciano, X. NC Viewer/GCode Viewer and Machine Simulator. Ncviewer.com. Available online: https://ncviewer.com/ (accessed on 31 March 2023).
- VAL 3 Language. Available online: https://www.staubli.com/us/en/robotics/products/robot-software/staeubli-robotics-controls/val-3-language.html (accessed on 31 March 2023).
- Stäubli Robotics Suite. Available online: https://www.staubli.com/cn/en/robotics/products/robot-software/staeubli-robotics-suite.html (accessed on 31 March 2023).


























Disclaimer/Publisher’s Note: The statements, opinions and data contained in all publications are solely those of the individual author(s) and contributor(s) and not of MDPI and/or the editor(s). MDPI and/or the editor(s) disclaim responsibility for any injury to people or property resulting from any ideas, methods, instructions or products referred to in the content. |
© 2023 by the authors. Licensee MDPI, Basel, Switzerland. This article is an open access article distributed under the terms and conditions of the Creative Commons Attribution (CC BY) license (https://creativecommons.org/licenses/by/4.0/).
Share and Cite
Dutta, G.S.; Meiners, D.; Merkert, N. A Study of Free-Form Shape Rationalization Using Biomimicry as Inspiration. Polymers 2023, 15, 2466. https://doi.org/10.3390/polym15112466
Dutta GS, Meiners D, Merkert N. A Study of Free-Form Shape Rationalization Using Biomimicry as Inspiration. Polymers. 2023; 15(11):2466. https://doi.org/10.3390/polym15112466
Chicago/Turabian StyleDutta, Gaurab Sundar, Dieter Meiners, and Nina Merkert. 2023. "A Study of Free-Form Shape Rationalization Using Biomimicry as Inspiration" Polymers 15, no. 11: 2466. https://doi.org/10.3390/polym15112466
APA StyleDutta, G. S., Meiners, D., & Merkert, N. (2023). A Study of Free-Form Shape Rationalization Using Biomimicry as Inspiration. Polymers, 15(11), 2466. https://doi.org/10.3390/polym15112466

