Effect of Disparity in Self Dispersion Interactions on Phase Behaviors of Molten A-b-B Diblock Copolymers
Abstract
1. Introduction
2. Theory
2.1. Free Energy Density in the Bulk State
2.2. Series Expansion of Free Energy Functional
2.3. Formulation of Landau Free Energy
2.3.1. Method I: Direct Way
2.3.2. Method II: Transformation of Order Parameters
2.4. Spinodals and Effective Flory χ
3. Discussions
3.1. Symbolic Arguments on Critical Point
3.2. Temperature Dependence of Ordering Transitions
3.2.1. UODT System
3.2.2. LDOT System
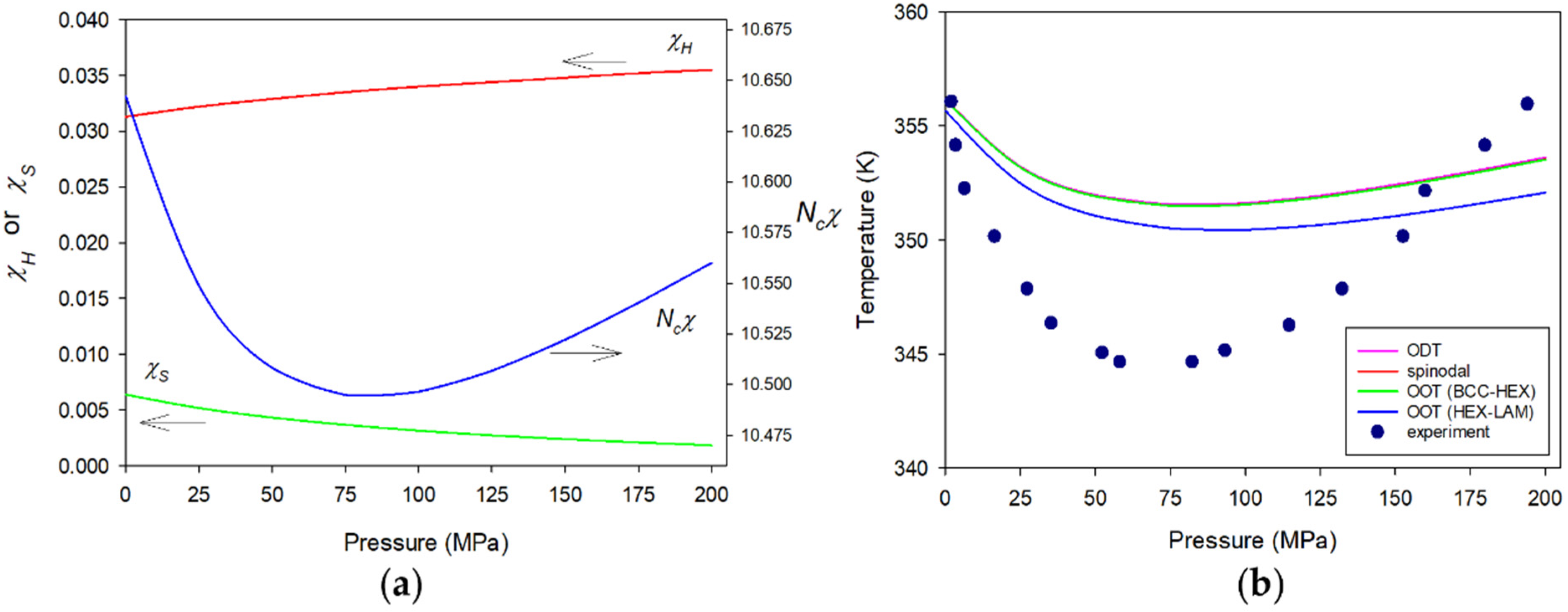
3.3. Pressure Dependence of Ordering Transitions
4. Conclusions
Supplementary Materials
Author Contributions
Funding
Institutional Review Board Statement
Informed Consent Statement
Data Availability Statement
Conflicts of Interest
Appendix A. Landau Free Energy in a Direct Way
Appendix B. Landau Free Energy through Transformation of Order Parameters
| Case | φ1(1) + φ2(1) − φ3(1) − φ4(1) a | φ1(1) − φ2(1) − φ5(1) − φ6(1) b |
|---|---|---|
Appendix C. Free Energy Expansion through Fluctuation Correction in One-Loop Order
References
- Hadjichristidis, N.; Pispas, S.; Floudas, G.A. Block Copolymers: Synthetic Strategies, Physical Properties, and Applications; John Wiley & Sons, Inc.: Hoboken, NJ, USA, 2003. [Google Scholar]
- Hamley, I.W. Developments in Block Copolymer Science and Technology; John Wiley & Sons Ltd.: Hoboken, NJ, USA, 2004. [Google Scholar]
- Bates, F.S.; Fredrickson, G.H. Block Copolymer Thermodynamics: Theory and Experiment. Annu. Rev. Phys. Chem. 1990, 41, 525–557. [Google Scholar] [CrossRef] [PubMed]
- Lodge, T.P. Block Copolymers: Long-Term Growth with Added Value. Macromolecules 2020, 53, 2–4. [Google Scholar] [CrossRef]
- Lodge, T.P. Block Copolymers: Past Successes and Future Challenges. Macromol. Chem. Phys. 2003, 204, 265–273. [Google Scholar] [CrossRef]
- Kipp, D.; Ganesan, V. Influence of Block Copolymer Compatibilizers on the Morphologies of Semiflexible Polymer/Solvent Blends. J. Phys. Chem. B 2014, 118, 4425–4441. [Google Scholar] [CrossRef]
- Jin, C.; Olsen, B.C.; Wu, N.L.Y.; Buriak, J.M. Sequential Nanopatterned Block Copolymer Self-assembly on Surfaces. Langmuir 2016, 32, 5890–5898. [Google Scholar] [CrossRef]
- Kim, B.H.; Kim, J.Y.; Jeong, S.J.; Hwang, J.O.; Lee, D.H.; Shin, D.O.; Choi, S.-Y.; Kim, S.O. Surface Energy Modification by Spin-cast, Large-area Graphene Film for Block Copolymer Lithography. ACS Nano 2010, 4, 5464–5470. [Google Scholar] [CrossRef]
- Wi, D.; Kim, J.; Lee, H.; Kang, N.-G.; Lee, J.; Kim, M.-J.; Lee, J.-S.; Ree, M. Finely Tuned Digital Memory Modes and Performances in Diblock Copolymer Devices by Well-defined Lamellar Structure Formation and Orientation Control. J. Mater. Chem. C 2016, 4, 2017–2027. [Google Scholar] [CrossRef]
- Schacher, F.H.; Rupar, P.A.; Manners, I. Functional Block Copolymers: Nanostructured Materials with Emerging Applications. Angew. Chem. Int. Ed. 2012, 51, 2–25. [Google Scholar] [CrossRef]
- Yasen, W.; Dong, R.; Aini, A.; Zhu, X. Recent advances on supramolecular block copolymers for biomedical applications. J. Mater. Chem. B 2020, 8, 8219–8231. [Google Scholar] [CrossRef]
- Leibler, L. Theory of Microphase Separation in Block Copolymers. Macromolecules 1980, 13, 1602–1617. [Google Scholar] [CrossRef]
- Hashimoto, T. Thermoplastic Elastomers; Holden, G., Legge, N.R., Quirk, R.P., Schroeder, H.E., Eds.; Hanser: Cincinnati, OH, USA, 1996. [Google Scholar]
- Russell, T.P.; Karis, T.E.; Gallot, Y.; Mayes, A.M. A Lower Critical Ordering Transition in a Diblock Copolymer Melt. Nature 1994, 368, 729–732. [Google Scholar] [CrossRef]
- Ruzette, A.-V.G.; Banerjee, P.; Mayes, A.M.; Pollard, M.; Russell, T.P.; Jerome, R.; Slawecki, T.; Hjelm, R.; Thiyagarajan, P. Phase Behavior of Diblock Copolymers between Styrene and n-Alkyl Methacrylates. Macromolecules 1998, 31, 8509–8516. [Google Scholar] [CrossRef]
- Mansky, P.; Tsui, O.K.C.; Russell, T.P.; Gallot, Y. Phase coherence and microphase separation transition in diblock. Macromolecules 1999, 32, 4832–4837. [Google Scholar] [CrossRef]
- Weidisch, R.; Stamm, M.; Schubert, D.W.; Arnold, M.; Budde, H.; Horing, S. Correlation between Phase Behavior and Tensile Properties of Diblock Copolymers. Macromolecules 1999, 32, 3405–3411. [Google Scholar] [CrossRef]
- Hasegawa, H.; Sakamoto, N.; Taneno, H.; Jinnai, H.; Hashimoto, T.; Schwahn, D.; Frielinghaus, H.; Janben, S.; Imai, M.; Mortensen, K. SANS Studies on Phase Behavior of Block Copolymers. J. Phys. Chem. Solids 1999, 60, 1307–1312. [Google Scholar] [CrossRef]
- Fischer, H.; Weidisch, R.; Stamm, M.; Budde, H.; Horing, S. The Phase Diagram of the System Poly(styrene-block-n-butyl methacrylate). Colloid Polym. Sci. 2000, 278, 1019–1031. [Google Scholar] [CrossRef]
- Ryu, D.Y.; Jeong, U.; Kim, J.K.; Russell, T.P. Closed-Loop Phase Behaviour in Block Copolymers. Nat. Mater. 2002, 1, 114–117. [Google Scholar]
- Ryu, D.Y.; Lee, D.H.; Kim, J.K.; Lavery, K.A.; Russell, T.P.; Han, Y.S.; Seong, B.S.; Lee, C.H.; Thiyagarajan, P. Effect of Hydrostatic Pressure on Closed-Loop Phase Behavior of Block Copolymers. Phys. Rev. Lett. 2003, 90, 235501. [Google Scholar] [CrossRef]
- Ryu, D.Y.; Lee, D.H.; Jang, J.; Kim, J.K.; Lavery, K.A.; Russell, T.P. Complex Phase Behavior of a Weakly Interacting Binary Polymer Blend. Macromolecules 2004, 37, 5851–5855. [Google Scholar] [CrossRef]
- Li, C.; Lee, D.H.; Kim, J.K.; Ryu, D.Y.; Russell, T.P. Closed-Loop Phase Behavior for Weakly Interacting Block Copolymers. Macromolecules 2006, 39, 5926–5930. [Google Scholar] [CrossRef]
- Sanchez, I.C.; Panayiotou, C.G. Equation of State Thermodynamics of Polymer Solutions. In Thermodynamic Modeling; Sandler, S., Ed.; Marcel Dekker: New City, NY, USA, 1992. [Google Scholar]
- ten Brinke, G.; Karasz, F.E. Lower Critical Solution Temperature Behavior in Polymer Blends: Compressibility and Directional-specific Interactions. Macromolecules 1984, 17, 815–820. [Google Scholar] [CrossRef][Green Version]
- Sanchez, I.C.; Balazs, A.C. Generalization of the Lattice-Fluid Model for Specific Interactions. Macromolecules 1989, 22, 2325–2331. [Google Scholar] [CrossRef]
- Cho, J.; Kwon, Y.K. Mean—Field and Fluctuation Correction Analyses for a Diblock Copolymer Melt Exhibiting an Immiscibility Loop. J. Polym. Sci. Part B Polym. Phys. 2003, 41, 1889–1896. [Google Scholar] [CrossRef]
- Krishnamoorti, R.; Graessley, W.W.; Fetters, L.J.; Garner, R.T.; Lohse, D.J. Anomalous Mixing Behavior of Polyisobutylene with Other Polyolefins. Macromolecules 1995, 28, 1252–1259. [Google Scholar] [CrossRef]
- Mulhearn, W.D.; Register, R.A. Lower Critical Ordering Transition of an All-Hydrocarbon Polynorbornene Diblock Copolymer. ACS Macro Lett. 2017, 6, 808–812. [Google Scholar] [CrossRef]
- Luettmer-Strathmann, J.; Lipson, J.E.G. Miscibility of Polyolefin Blends. Macromolecules 1999, 32, 1093–1102. [Google Scholar] [CrossRef]
- Dudowicz, J.; Freed, K.F.; Douglas, J.F. Beyond Flory-Huggins Theory: New Classes of Blend Miscibility Associated with Monomer Structural Asymmetry. Phys. Rev. Lett. 2002, 88, 095503. [Google Scholar] [CrossRef] [PubMed]
- Hajduk, D.A.; Urayama, P.; Gruner, S.M.; Erramilli, S.; Register, R.A.; Brister, K.; Fetters, L.J. High Pressure Effects on the Disordered Phase of Block Copolymer Melts. Macromolecules 1995, 28, 7148–7156. [Google Scholar] [CrossRef]
- Hajduk, D.A.; Gruner, S.M.; Erramilli, S.; Register, R.A.; Fetters, L.J. High-Pressure Effects on the Order-Disorder Transition in Block Copolymer Melts. Macromolecules 1996, 29, 1473–1481. [Google Scholar] [CrossRef]
- Ladynski, H.; Odorico, D.; Stamm, M. Effect of Pressure on the Microphase Separation of the Symmetric Diblock Copolymer Poly(styrene-b-butadiene). J. Non-Cryst. Sol. 1998, 235, 491–495. [Google Scholar] [CrossRef]
- Ruzette, A.-V.; Mayes, A.M.; Pollard, M.; Russell, T.P.; Hammouda, B. Pressure Effects on the Phase Behavior of Styrene/n-Alkyl Methacrylate Block Copolymers. Macromolecules 2003, 36, 3351–3356. [Google Scholar] [CrossRef]
- Ahn, H.; Ryu, D.Y.; Kim, Y.M.; Kwon, K.W.; Lee, J.M.; Cho, J. Phase Behavior of Polystyrene-b-poly(methyl methacrylate) Diblock Copolymer. Macromolecules 2009, 42, 7897–7902. [Google Scholar] [CrossRef]
- Hammouda, B.; Ho, D.; Kline, S. SANS from Poly(ethylene oxide)/Water Systems. Macromolecules 2002, 35, 8578–8585. [Google Scholar] [CrossRef]
- Gonzalez-Leon, J.A.; Acar, M.H.; Ryu, S.W.; Ruzette, A.-V.; Mayes, A.M. Low-Temperature Processing of Baroplastics by Pressure-Induced Flow. Nature 2003, 426, 424–428. [Google Scholar] [CrossRef]
- Pollard, M.; Russell, T.P.; Ruzette, A.-V.; Mayes, A.M.; Gallot, Y. The Effect of Hydrostatic Pressure on the Lower Critical Ordering Transition in Diblock Copolymers. Macromolecules 1998, 31, 6493–6498. [Google Scholar] [CrossRef]
- Lee, J.; Wang, T.; Shin, K.; Cho, J. High-pressure neutron scattering and random-phase approximation analysis of a molten Baroplastic diblock copolymer. Polymer 2019, 175, 265–271. [Google Scholar] [CrossRef]
- Cho, J. Analysis of Phase Separation in Compressible Polymer Blends and Block Copolymers. Macromolecules 2000, 33, 2228–2241. [Google Scholar] [CrossRef]
- Cho, J. Effective Flory Interaction Parameter and Disparity in Equation-of-State Properties for Block Copolymers. Polymer 2007, 48, 429–431. [Google Scholar] [CrossRef]
- Cho, J. Blends of Two Diblock Copolymers with Opposite Phase Behaviors. Macromol. Theory Simul. 2014, 23, 442–451. [Google Scholar] [CrossRef]
- Cho, J. Microphase Separation upon Heating in Diblock Copolymer Melts. Macromolecules 2001, 34, 1001–1012. [Google Scholar] [CrossRef]
- Cho, J. Analysis of Compressible Diblock Copolymer Melts That Microphase Separate upon Cooling. Macromolecules 2001, 34, 6097–6106. [Google Scholar] [CrossRef]
- Cho, J. A Landau Free Energy for Diblock Copolymers with Compressibility Difference between Blocks. J. Chem. Phys. 2003, 119, 5711–5721. [Google Scholar] [CrossRef]
- Cho, J. Superposition in Flory-Huggins χ and Interfacial Tension for Compressible Polymer Blends. ACS Macro Lett. 2013, 2, 544–549. [Google Scholar] [CrossRef]
- Cho, J. Pressure Effects on Nanostructure Development of ABC Copolymers. Polymer 2016, 97, 589–597. [Google Scholar] [CrossRef]
- Cho, J. Identification of Some New Triply Periodic Mesophases from Molten Block Copolymers. Polymers 2019, 11, 1081. [Google Scholar] [CrossRef]
- Chaikin, P.M.; Lubensky, T.C. Principles of Condensed Matter Physics; Cambridge University Press: Cambridge, UK, 1995. [Google Scholar]
- Baxter, R.J. Percus–Yevick Equation for Hard Spheres with Surface Adhesion. J. Chem. Phys. 1968, 49, 2770. [Google Scholar] [CrossRef]
- Barboy, B. Solution of the compressibility equation of the adhesive hard-sphere model for mixtures. Chem. Phys. 1975, 11, 357. [Google Scholar] [CrossRef]
- Chiew, Y.C. Percus-Yevick integral-equation theory for athermal hard-sphere chains. Molec. Phys. 1990, 70, 129–143. [Google Scholar] [CrossRef]
- Huang, K. Statistical Mechanics, 2nd ed.; John Wiley & Sons: Hoboken, NJ, USA, 1987. [Google Scholar]
- Brazovskii, S.A. Phase transition of an isotropic system to a nonuniform state. Sov. Phys.-JETP 1975, 41, 85. [Google Scholar]
- Fredrickson, G.H.; Helfand, E. Fluctuation effects in the theory of microphase separation in block copolymers. J. Chem. Phys. 1987, 87, 697–705. [Google Scholar] [CrossRef]
- Roe, R.J.; Zin, W.C. Determination of the Polymer-Polymer Interaction Parameter for the Polystyrene-Polybutadiene Pair. Macromolecules 1980, 13, 1221–1228. [Google Scholar] [CrossRef]
- Zin, W.C.; Roe, R.J. Phase equilibria and transition in mixtures of a homopolymer and a block copolymer. 1. Small-angle x-ray scattering study. Macromolecules 1984, 17, 183–188. [Google Scholar] [CrossRef]
- Roe, R.J.; Zin, W.C. Phase equilibria and transition in mixtures of a homopolymer and a block copolymer. 2. Phase diagram. Macromolecules 1984, 17, 189–194. [Google Scholar] [CrossRef]
- Han, C.C.; Bauer, B.J.; Clark, J.C.; Muroga, Y.; Matsushita, Y.; Okada, M.; Tran-cong, Q.; Chang, T.; Sanchez, I.C. Temperature, composition and molecularweight dependence of the binary interaction parameter of polystyrene/poly(vinyl methyl ether) blends. Polymer 1988, 29, 2002–2014. [Google Scholar] [CrossRef]
- Green, M.M.; White, J.L.; Mirau, P.; Scheinfeld, M.H. C-H to O Hydrogen Bonding: The Attractive Interaction in the Blend between Polystyrene and Poly(vinyl methyl ether). Macromolecules 2006, 39, 5971–5973. [Google Scholar] [CrossRef]
- Cho, J. Study on the χ Parameter for Compressible Diblock Copolymer Melts. Macromolecules 2002, 35, 5697–5706. [Google Scholar] [CrossRef]
- Rudolf, B.; Cantow, H.-J. Description of Phase Behavior of Polymer Blends by Different Equation-of-State Theories. 1. Phase Diagrams and Thermodynamic Reasons for Mixing and Demixing. Macromolecules 1995, 28, 6586–6594. [Google Scholar] [CrossRef]
- Schwahn, D.; Frielinghaus, H.; Mortensen, K.; Almdal, K. Abnormal Pressure Dependence of the Phase Boundaries in PEE-PDMS and PEP-PDMS Binary Homopolymer Blends and Diblock Copolymers. Macromolecules 2001, 34, 1694–1706. [Google Scholar] [CrossRef][Green Version]
- Cho, J. Concentration fluctuation effects on the phase behavior of compressible diblock copolymers. J. Chem. Phys. 2004, 120, 9831–9840. [Google Scholar] [CrossRef]





| Parameters | PS | PBD | PVME | PI | PEHA |
|---|---|---|---|---|---|
| (Å) | 4.039 | 4.039 | 3.900 a | 4.350 a | 3.840 a |
| (K) | 4107.0 | 4065.9 | 3644.8 | 4057.7 | 3755.7 |
(cm3/g) b | 0.41857 | 0.49395 | 0.42906 | 0.50209 | 0.48564 |
| - | 0.99565 | 1.00264 | 0.99680 | 0.99880 |
| T (K) | χH | χS | Ncχ |
|---|---|---|---|
| 350 | 0.04573 | 4.40866 × 10−5 | 18.31053 |
| 400 | 0.03905 | 4.57456 × 10−5 | 15.63757 |
| 450 | 0.03382 | 4.71030 × 10−5 | 13.54714 |
| 500 | 0.02962 | 4.82407 × 10−5 | 11.86625 |
| 550 | 0.02616 | 4.92196 × 10−5 | 10.48438 |
| 600 | 0.02327 | 5.00868 × 10−5 | 9.32755 |
| 650 | 0.02081 | 5.08801 × 10−5 | 8.34431 |
| T (K) | χH | χS | Ncχ |
|---|---|---|---|
| 425 | −0.00668 | 0.00656 | −2.46405 |
| 450 | −0.00622 | 0.00664 | 8.46668 |
| 475 | −0.00581 | 0.00672 | 18.30529 |
| 500 | −0.00544 | 0.00680 | 27.21505 |
| 525 | −0.00510 | 0.00687 | 35.32983 |
| 550 | −0.00479 | 0.00693 | 42.76065 |
| Parameters | PEE | PDMS |
|---|---|---|
| (Å) | 3.590 a | 3.952 a |
| (K) | 2819.60 | 2514.50 |
| (cm3/g) | 0.47823 | 0.41778 |
| 0.99654 | ||
Disclaimer/Publisher’s Note: The statements, opinions and data contained in all publications are solely those of the individual author(s) and contributor(s) and not of MDPI and/or the editor(s). MDPI and/or the editor(s) disclaim responsibility for any injury to people or property resulting from any ideas, methods, instructions or products referred to in the content. |
© 2022 by the authors. Licensee MDPI, Basel, Switzerland. This article is an open access article distributed under the terms and conditions of the Creative Commons Attribution (CC BY) license (https://creativecommons.org/licenses/by/4.0/).
Share and Cite
Zhang, X.; Zhao, M.; Cho, J. Effect of Disparity in Self Dispersion Interactions on Phase Behaviors of Molten A-b-B Diblock Copolymers. Polymers 2023, 15, 30. https://doi.org/10.3390/polym15010030
Zhang X, Zhao M, Cho J. Effect of Disparity in Self Dispersion Interactions on Phase Behaviors of Molten A-b-B Diblock Copolymers. Polymers. 2023; 15(1):30. https://doi.org/10.3390/polym15010030
Chicago/Turabian StyleZhang, Xinyue, Mingge Zhao, and Junhan Cho. 2023. "Effect of Disparity in Self Dispersion Interactions on Phase Behaviors of Molten A-b-B Diblock Copolymers" Polymers 15, no. 1: 30. https://doi.org/10.3390/polym15010030
APA StyleZhang, X., Zhao, M., & Cho, J. (2023). Effect of Disparity in Self Dispersion Interactions on Phase Behaviors of Molten A-b-B Diblock Copolymers. Polymers, 15(1), 30. https://doi.org/10.3390/polym15010030
