Dynamic Response and Molecular Chain Modifications Associated with Degradation during Mixing of Silica-Reinforced Natural Rubber Compounds
Abstract
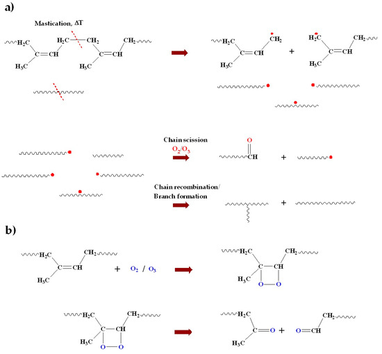
1. Introduction
2. Experimental
2.1. Materials
2.2. Preparation of Masticated Pure NR and Rubber Compounds
2.2.1. Masticated Pure NR
2.2.2. Gum Compounds
2.2.3. Silica-Filled NR Compounds
2.3. Testing of Unvulcanized Compounds
2.3.1. Mooney Viscosity and Mooney Stress Relaxation
- t = relaxation time (s);
- k = a constant equal to the torque in Mooney units 1 s after the disk is stopped;
- a = exponent that determines the rate of stress relaxation.
2.3.2. Dynamic Properties as Functions of Frequency to Characterize Long-Chain Branching
2.3.3. Cure Properties
2.4. Testing of Vulcanized Rubbers
3. Results and Discussion
3.1. Mooney Viscosity and Mooney Stress Relaxation
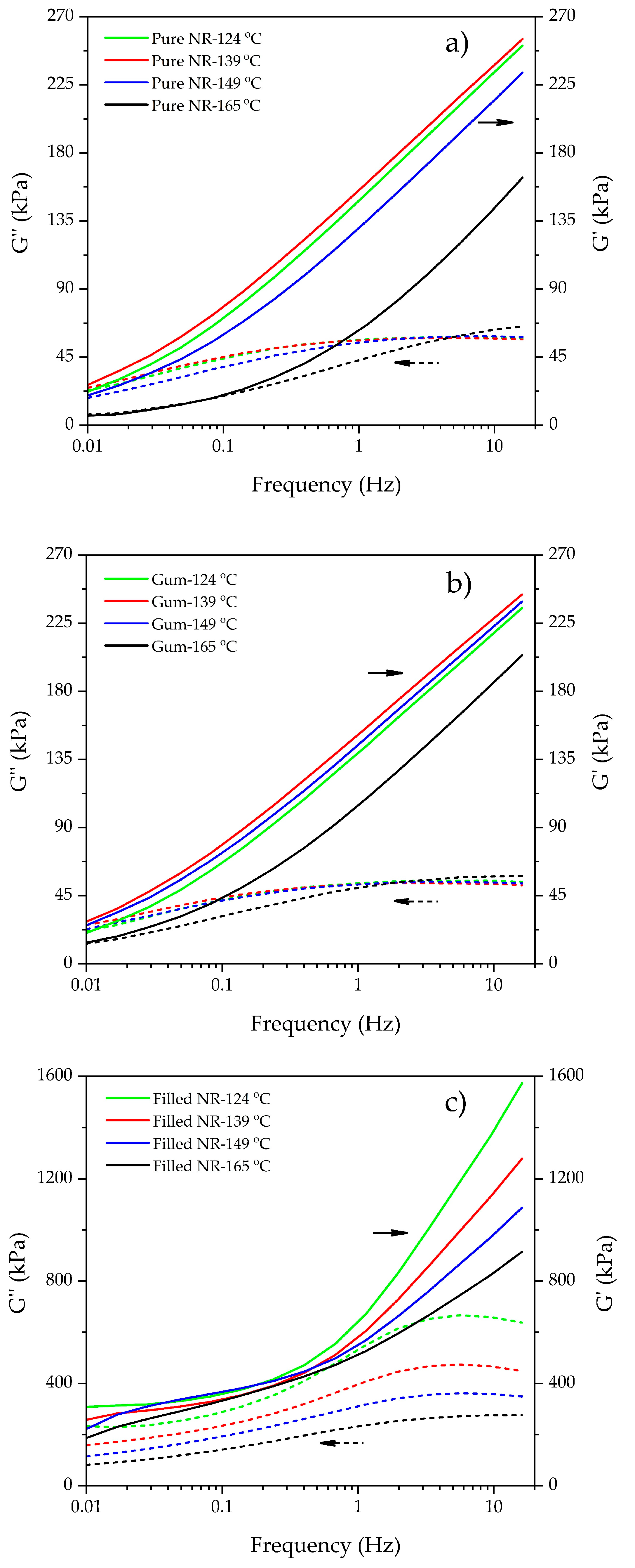
3.2. Dynamic Properties as a Function of Frequency
3.3. Cure characteristics
3.4. Tensile Properties
4. Conclusions
Author Contributions
Funding
Institutional Review Board Statement
Informed Consent Statement
Data Availability Statement
Conflicts of Interest
References
- Rauline, R. Rubber Compound and Tires Based on Such a Compound. European Patent No. EP0501227A1, 12 February 1992. [Google Scholar]
- Reuvekamp, L.A.E.M.; ten Brinke, J.W.; van Swaaij, P.J.; Noordermeer, J.W.M. Effects of mixing conditions-reaction of TESPT silane coupling agent during mixing with silica filler and tire rubber. Kautsch. Gummi Kunstst. 2002, 55, 41–47. [Google Scholar]
- Reuvekamp, L.A.E.M.; ten Brinke, J.W.; van Swaaij, P.J.; Noordermeer, J.W.M. Effects of time and temperature on the reaction of TESPT silane coupling agent during mixing with silica filler and tire rubber. Rubber Chem. Technol. 2002, 75, 187–198. [Google Scholar] [CrossRef]
- Dierkes, W.K.; Noordermeer, J.W.M.; Rinker, M.; Kelting, K.-U.; van de Pol, C. Increasing the silanisation efficiency of silica compounds: Upscaling. Kautsch. Gummi Kunstst. 2003, 56, 338–344. [Google Scholar]
- Ansarifar, A.; Shiah, S.F.; Bennett, M. Optimising the chemical bonding between silanised silica nanofiller and natural rubber and assessing its effects on the properties of the rubber. Int. J. Adhes. Adhes. 2006, 26, 454–463. [Google Scholar] [CrossRef]
- Kaewsakul, W.; Sahakaro, K.; Dierkes, W.K.; Noordermeer, J.W.M. Optimization of mixing conditions for silica-reinforced natural rubber tire tread compounds. Rubber Chem. Technol. 2012, 85, 277–294. [Google Scholar] [CrossRef]
- Blume, A.; Gatti, L.; Luginsland, H.-D.; Maschke, D.; Moser, R.; Nian, J.C.; Röben, C.; Wehmeier, A. Silica and silane. In Rubber Compounding: Chemistry and Applications, 2nd ed.; Rodgers, B., Ed.; CRC Press, Taylor and Francis Group: Boca Raton, FL, USA, 2015. [Google Scholar]
- Wolff, S. Optimization of silane-silica OTR compounds. Part 1: Variations of mixing temperature and time during the modification of silica with bis-(3-triethoxisilylpropyl)-tetrasulfide. Rubber Chem. Technol. 1982, 55, 967–989. [Google Scholar] [CrossRef]
- Kelen, T. Polymer Degradation; Van Nostrand Reinhold: New York, NY, USA, 1983. [Google Scholar]
- Ingmanson, J.H.; Kemp, A.R. Effect of temperature on the mechanism of oxidation of rubber. Ind. Eng. Chem. 1938, 30, 1168–1173. [Google Scholar] [CrossRef]
- van. Amerongen, G.J. Oxidative and nonoxidative thermal degradation of rubber. Rubber Chem. Technol. 1956, 29, 857–879. [Google Scholar] [CrossRef]
- Ibrahim, A.; Dahlan, M. Thermoplastic natural rubber blends. Prog. Polym. Sci. 1998, 23, 665–706. [Google Scholar] [CrossRef]
- Narathichat, M.; Sahakaro, K.; Nakason, C. Assessment degradation of natural rubber by moving die processability test and FTIR spectroscopy. J. Appl. Polym. Sci. 2010, 115, 1702–1709. [Google Scholar] [CrossRef]
- Ahad, N.A.; Ahmad, S.H.; Zain, N.M. Effect of mixing parameters on tensile strength of TPU/NR blends. Appl. Mech. Mater. 2013, 291–294, 2654–2656. [Google Scholar] [CrossRef]
- Yan, H.; Sun, K.; Zhang, Y.; Zhang, Y. Effects of mixing conditions on the reaction of 3-octanoylthio-1-propyltriethoxysilane during mixing with silica filler and natural rubber. J. Appl. Polym. Sci. 2004, 94, 2295–2301. [Google Scholar] [CrossRef]
- Sarkawi, S.S.; Dierkes, W.K.; Noordermeer, J.W.M. Reinforcement of natural rubber by precipitated silica: The influence of processing temperature. Rubber Chem. Technol. 2014, 87, 103–119. [Google Scholar] [CrossRef][Green Version]
- Sattayanurak, S.; Noordermeer, J.W.M.; Sahakaro, K.; Kaewsakul, W.; Dierkes, W.K.; Blume, A. Silica-reinforced natural rubber: Synergistic effects by addition of small amounts of secondary fillers to silica-reinforced natural rubber tire tread compounds. Adv. Mater. Sci. Eng. 2019, 2019, 5891051. [Google Scholar] [CrossRef]
- Katueangngan, K.; Tulyapitak, T.; Saetung, A.; Soontatanon, S.; Nithi-uthai, N. Renewable interfacial modifier for silica filled natural rubber compound. Procedia Chem. 2016, 19, 447–454. [Google Scholar] [CrossRef]
- Booij, H.C. Long-chain branching and viscoelasticity of ethylene-propyl-ene-diene elastomers. Kautsch. Gummi Kunstst. 1991, 44, 128–130. [Google Scholar]
- van Gurp, M.; Palmen, J. Time-temperature superposition for polymeric blends. Rheology Bulletin. 1998, 67, 5–8. [Google Scholar]
- Guy, L.; Daudey, S.; Cochet, P.; Bomal, Y. New insights in the dynamic properties of precipitated silica filled rubber using a new high surface silica. Kautsch. Gummi Kunstst. 2009, 62, 383–391. [Google Scholar]
- Malac, J. Viscosity, relaxation and stability of natural rubber. Open Macromol. J. 2009, 3, 41–44. [Google Scholar] [CrossRef]
- ASTM D1646. Standard Test Methods for Rubber-Viscosity. Stress Relaxation, and Pre-Vulcanization Characteristics (Mooney Viscometer). ASTM International: West Conshohocken, PA, USA, 2006. [Google Scholar]
- Sae-oui, P.; Suchiva, K.; Thepsuwan, U.; Intiya, W.; Yodjun, P.; Sirisinha, C. Effects of blend ratio and SBR type on properties of silica-filled SBR/NR tire tread compounds. Rubber Chem. Technol. 2016, 89, 240–250. [Google Scholar] [CrossRef]
- Bristow, G.M. Mastication of elastomers I. Natural rubber in nitrogen. Rubber Chem. Technol. 1962, 35, 896–905. [Google Scholar] [CrossRef]
- Fries, H.; Pandit, R.R. Mastication of rubber. Rubber Chem. Technol. 1982, 55, 309–327. [Google Scholar] [CrossRef]
- Dimier, F.; Vergnes, B.; Vincent, M. Relationships between mastication conditions and rheological behavior of a natural rubber. Rheol. Acta 2004, 43, 196–202. [Google Scholar] [CrossRef]
- Chaikumpollerta, O.; Sae-Hengb, K.; Wakisakac, O.; Masec, A.; Yamamoto, Y.; Kawahara, S. Low temperature degradation and characterization of natural rubber. Polym. Degrad. Stab. 2011, 96, 1989–1995. [Google Scholar] [CrossRef]
- Fried, J.R. Polymer Degradation and the Environment. In Polymer Science and Technology, Chapter 6; Prentice Hall: Boston, MA, USA, 2014. [Google Scholar]
- Kumar, A.; Commereuc, S.; Verney, V. Ageing of elastomers: A molecular approach based on rheological characterization. Polym. Degrad. Stab. 2004, 85, 751–757. [Google Scholar] [CrossRef]
- Hatzikiriakos, S.G. Long chain branching and polydispersity effects on the rheological properties of polyethylenes. Polym. Eng. Sci. 2000, 40, 2279–2287. [Google Scholar] [CrossRef]









| Ingredients | Amount (phr, Parts per 100 Rubber) | ||
|---|---|---|---|
| Masticated Pure NR | Gum NR | Filled NR | |
| Natural Rubber (SMR10) | 100.0 | 100.0 | 100.0 |
| Silica (ULTRASIL 7005) | - | - | 55.0 |
| Silane (TESPD) a | - | - | 5.0 |
| Process oil (TDAE) | - | - | 8.0 |
| Zinc oxide | - | 3.0 | 3.0 |
| Stearic acid | - | 1.0 | 1.0 |
| TMQ | - | 1.0 | 1.0 |
| 6PPD | - | 2.0 | 2.0 |
| DPG a | - | 1.1 | 1.1 |
| CBS | - | 1.5 | 1.5 |
| Sulfur | - | 1.5 | 1.5 |
| Step 1: Non-Productive Masterbatch | |
|---|---|
| Time (min:sec) | Action |
| 0:00 | open ram; add rubbers |
| 1:00 | open ram; add ½ silica, silane |
| 2:00 | close ram |
| 2:30 | open ram; add ½ silica, oil, stearic acid, TMQ, 6PPD |
| 3:30 | sweep |
| 4:30 | close ram |
| 6:45 | dump |
| Step 2: Productive compound | |
| Time (min:sec) | Action |
| 0:00 | open ram; add masterbatch |
| 1:00 | open ram; add ZnO, DPG, CBS, and sulfur |
| 2:00 | close ram |
| 5:00 | dump |
Disclaimer/Publisher’s Note: The statements, opinions and data contained in all publications are solely those of the individual author(s) and contributor(s) and not of MDPI and/or the editor(s). MDPI and/or the editor(s) disclaim responsibility for any injury to people or property resulting from any ideas, methods, instructions or products referred to in the content. |
© 2022 by the authors. Licensee MDPI, Basel, Switzerland. This article is an open access article distributed under the terms and conditions of the Creative Commons Attribution (CC BY) license (https://creativecommons.org/licenses/by/4.0/).
Share and Cite
Kraibut, A.; Saiwari, S.; Kaewsakul, W.; Noordermeer, J.W.M.; Sahakaro, K.; Dierkes, W.K. Dynamic Response and Molecular Chain Modifications Associated with Degradation during Mixing of Silica-Reinforced Natural Rubber Compounds. Polymers 2023, 15, 160. https://doi.org/10.3390/polym15010160
Kraibut A, Saiwari S, Kaewsakul W, Noordermeer JWM, Sahakaro K, Dierkes WK. Dynamic Response and Molecular Chain Modifications Associated with Degradation during Mixing of Silica-Reinforced Natural Rubber Compounds. Polymers. 2023; 15(1):160. https://doi.org/10.3390/polym15010160
Chicago/Turabian StyleKraibut, Ammarin, Sitisaiyidah Saiwari, Wisut Kaewsakul, Jacques W. M. Noordermeer, Kannika Sahakaro, and Wilma K. Dierkes. 2023. "Dynamic Response and Molecular Chain Modifications Associated with Degradation during Mixing of Silica-Reinforced Natural Rubber Compounds" Polymers 15, no. 1: 160. https://doi.org/10.3390/polym15010160
APA StyleKraibut, A., Saiwari, S., Kaewsakul, W., Noordermeer, J. W. M., Sahakaro, K., & Dierkes, W. K. (2023). Dynamic Response and Molecular Chain Modifications Associated with Degradation during Mixing of Silica-Reinforced Natural Rubber Compounds. Polymers, 15(1), 160. https://doi.org/10.3390/polym15010160

