Novel Thymoquinone Nanoparticles Using Poly(ester amide) Based on L-Arginine-Targeting Pulmonary Drug Delivery
Abstract
1. Introduction
2. Materials and Methods
2.1. Materials
2.2. Monomer, Polymer, and Formula Synthesis
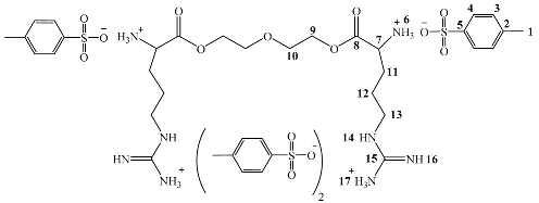
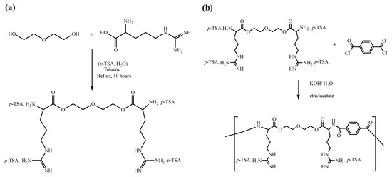
2.2.1. Synthesis of di-p-Toluenesulfonic Acid Salt of O,O’-bis-(L-Arginine)-di-Ethylene Glycol Monomer
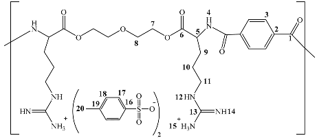
2.2.2. Synthesis of Poly(ester amide) Based on L-Arginine
2.2.3. Synthesis of Thymoquinone Poly(ester amide) Nanoparticles
2.3. Molecular Profiling and Characterization
2.3.1. Determination of Solution Viscosity and Molecular Weight
2.3.2. Fourier Transform Infrared (FTIR) Spectroscopy Analysis
2.3.3. Nuclear Magnetic Resonance (NMR) Spectroscopy
2.3.4. Differential Scanning Calorimetry (DSC) Analysis
2.3.5. Particle Size, Polydispersity Index (PDI), and Zeta Potential Analysis
2.3.6. High-Performance Liquid Chromatography (HPLC) Assay Method for TQ
2.3.7. Drug Loading Capacity
2.3.8. Transmission Electron Microscopy (TEM)
2.3.9. X-ray Diffraction (XRD) Analysis
2.3.10. Elemental Analysis
2.4. Pulmonary Application of the Polymer–Thymoquinone-Loaded Nanoparticles
Aerodynamic Particle Size Analysis Using a Next-Generation Impactor (NGI)
2.5. Release Study and Release Kinetic Modelling
2.6. Statistical Analysis
3. Results and Discussion
3.1. Synthesis of O,O’-bis-(L-Arginine)-Diethylene Glycol
3.2. Synthesis of Poly(ester amide)
3.3. Synthesis of Poly(ester amide) Thymoquinone Formula
3.4. Molecular Profiling and Characterization
3.4.1. FTIR Spectra Analysis
3.4.2. NMR Spectra Analysis
3.4.3. DSC Analysis
3.4.4. PSA, Zeta Potential, and TEM Analysis
3.4.5. X-ray Diffraction Analysis
3.4.6. HPLC Method for Quantification of Thymoquinone
3.4.7. Pulmonary Application of Nanoparticles
3.4.8. In Vitro Assessment of Aerodynamic Performance
3.4.9. Release Study and Release Kinetics
4. Conclusions
Supplementary Materials
Author Contributions
Funding
Institutional Review Board Statement
Informed Consent Statement
Data Availability Statement
Acknowledgments
Conflicts of Interest
References
- Naser, A.Y.; Dahmash, E.Z.; Al-Rousan, R.; Alwafi, H.; Alrawashdeh, H.M.; Ghoul, I.; Abidine, A.; Bokhary, M.A.; AL-Hadithi, H.T.; Ali, D.; et al. Mental Health Status of the General Population, Healthcare Professionals, and University Students during 2019 Coronavirus Disease Outbreak in Jordan: A Cross-Sectional Study. Brain Behav. 2020, 10, e01730. [Google Scholar] [CrossRef] [PubMed]
- Alyami, H.S.; Naser, A.Y.; Dahmash, E.Z.; Alyami, M.H.; Alyami, M.S. Depression and Anxiety during the COVID-19 Pandemic in Saudi Arabia: A Cross-Sectional Study. Int. J. Clin. Pract. 2021, 75, e14244. [Google Scholar] [CrossRef] [PubMed]
- Badary, O.A.; Hamza, M.S.; Tikamdas, R. Thymoquinone: A Promising Natural Compound with Potential Benefits for COVID-19 Prevention and Cure. Drug Des. Devel. Ther. 2021, 15, 1819–1833. [Google Scholar] [CrossRef] [PubMed]
- Ahmad, A.; Raish, M.; Alkharfy, K.M. The Potential Role of Thymoquinone in Preventing the Cardiovascular Complications of COVID-19. Vascul. Pharmacol. 2021, 141, 106899. [Google Scholar] [CrossRef]
- Younus, M.A.K.; Younus, H. Potential Implications of Black Seed and Its Principal Constituent Thymoquinone in the Treatment of COVID-19 Patients. Curr. Pharm. Biotechnol. 2021, 22, 1315–1324. [Google Scholar]
- Ahmad, A.; Rehman, M.U.; Ahmad, P.; Alkharfy, K.M. COVID-19 and Thymoquinone: Connecting the Dots. Phytother. Res. 2020, 34, 2786–2789. [Google Scholar] [CrossRef]
- Ahmad, A.; Alkharfy, K.M.; Jan, B.L.; Ahad, A.; Ansari, M.A.; Al-Jenoobi, F.I.; Raish, M. Thymoquinone Treatment Modulates the Nrf2/HO-1 Signaling Pathway and Abrogates the Inflammatory Response in an Animal Model of Lung Fibrosis. Exp. Lung Res. 2020, 46, 53–63. [Google Scholar] [CrossRef]
- Alkharfy, K.M.; Ahmad, A.; Raish, M.; Vanhoutte, P.M. Thymoquinone Modulates Nitric Oxide Production and Improves Organ Dysfunction of Sepsis. Life Sci. 2015, 143, 131–138. [Google Scholar] [CrossRef]
- Al-Ghamdi, M.S. The Anti-Inflammatory, Analgesic and Antipyretic Activity of Nigella Sativa. J. Ethnopharmacol. 2001, 76, 45–48. [Google Scholar] [CrossRef]
- Negi, P.; Sharma, I.; Hemrajani, C.; Rathore, C.; Bisht, A.; Raza, K.; Katare, O.P. Thymoquinone-Loaded Lipid Vesicles: A Promising Nanomedicine for Psoriasis. BMC Complement. Altern. Med. 2019, 19, 334. [Google Scholar] [CrossRef]
- Mansour, M.A.; Nagi, M.N.; El-Khatib, A.S.; Al-Bekairi, A.M. Effects of Thymoquinone on Antioxidant Enzyme Activities, Lipid Peroxidation and DT-diaphorase in Different Tissues of Mice: A Possible Mechanism of Action. Cell Biochem. Funct. 2002, 20, 143–151. [Google Scholar] [CrossRef] [PubMed]
- Al-Majed, A.A.; Al-Omar, F.A.; Nagi, M.N. Neuroprotective Effects of Thymoquinone against Transient Forebrain Ischemia in the Rat Hippocampus. Eur. J. Pharmacol. 2006, 543, 40–47. [Google Scholar] [CrossRef] [PubMed]
- Khazdair, M.R.; Ghafari, S.; Sadeghi, M. Possible Therapeutic Effects of Nigella Sativa and Its Thymoquinone on COVID-19. Pharm. Biol. 2021, 59, 696–703. [Google Scholar] [CrossRef] [PubMed]
- Bouchentouf, S.; Missoum, N. Identification of Compounds from Nigella Sativa as New Potential Inhibitors of 2019 Novel Coronasvirus (COVID-19): Molecular Docking Study. Preprint.Org. 2020, 1–12. [Google Scholar] [CrossRef][Green Version]
- Omar, S.; Bouziane, I.; Bouslama, Z.; Djemel, A. In-Silico Identification of Potent Inhibitors of COVID-19 Main Protease (Mpro) and Angiotensin Converting Enzyme 2 (ACE2) from Natural Products: Quercetin, Hispidulin, and Cirsimaritin Exhibited Better Potential Inhibition than Hydroxy-Chloroquine Against. Preprint 2020. [Google Scholar] [CrossRef]
- National Library of Medicine (U.S.). Honey & Nigella Sativa Trial Against COVID-19 (HNS-COVID-PK). 2020, Patent Identifier NCT04347382. Available online: https://clinicaltrials.gov/ct2/show/NCT04347382 (accessed on 2 January 2022).
- Chaieb, K.; Kouidhi, B.; Jrah, H.; Mahdouani, K.; Bakhrouf, A. Antibacterial Activity of Thymoquinone, an Active Principle of Nigella Sativa and Its Potency to Prevent Bacterial Biofilm Formation. BMC Complement. Altern. Med. 2011, 11, 29. [Google Scholar] [CrossRef]
- Ali, A.; Ali, S.; Aqil, M.; Imam, S.S.; Ahad, A.; Qadir, A. Thymoquinone Loaded Dermal Lipid Nano Particles: Box Behnken Design Optimization to Preclinical Psoriasis Assessment. J. Drug Deliv. Sci. Technol. 2019, 52, 713–721. [Google Scholar] [CrossRef]
- Abdelaziz, H.M.; Gaber, M.; Abd-Elwakil, M.M.; Mabrouk, M.T.; Elgohary, M.M.; Kamel, N.M.; Kabary, D.M.; Freag, M.S.; Samaha, M.W.; Mortada, S.M.; et al. Inhalable Particulate Drug Delivery Systems for Lung Cancer Therapy: Nanoparticles, Microparticles, Nanocomposites and Nanoaggregates. J. Control. Release 2018, 269, 374–392. [Google Scholar] [CrossRef]
- Lavorini, F.; Pistolesi, M.; Usmani, O.S. Recent Advances in Capsule-Based Dry Powder Inhaler Technology. Multidiscip. Respir. Med. 2017, 12, 11. [Google Scholar] [CrossRef]
- De Boer, A.H.; Hagedoorn, P.; Hoppentocht, M.; Buttini, F.; Grasmeijer, F.; Frijlink, H.W. Dry Powder Inhalation: Past, Present and Future. Expert Opin. Drug Deliv. 2017, 14, 499–512. [Google Scholar] [CrossRef]
- Liang, Z.; Ni, R.; Zhou, J.; Mao, S. Recent Advances in Controlled Pulmonary Drug Delivery. Drug Discov. Today 2015, 20, 380–389. [Google Scholar] [CrossRef] [PubMed]
- Singh, N.; Joshi, A.; Toor, A.P.; Verma, G. Drug Delivery: Advancements and Challenges; Elsevier Inc.: Amsterdam, The Netherlands, 2017. [Google Scholar] [CrossRef]
- Hussein-Al-Ali, S.H.; Kura, A.; Hussein, M.Z.; Fakurazi, S. Preparation of Chitosan Nanoparticles as a Drug Delivery System for Perindopril Erbumine. Polym. Compos. 2018, 39, 544–552. [Google Scholar] [CrossRef]
- Javadzadeh, Y.; Yaqoubi, S. Therapeutic nanostructures for pulmonary drug delivery. In Nanostructures for Drug Delivery; Elsevier: Amsterdam, The Netherlands, 2017; pp. 619–638. [Google Scholar]
- Shi, L.; Plumley, C.J.; Berkland, C. Biodegradable Nanoparticle Flocculates for Dry Powder Aerosol Formulation. Langmuir 2007, 23, 10897–10901. [Google Scholar] [CrossRef] [PubMed]
- Rytting, E.; Nguyen, J.; Wang, X.; Kissel, T. Biodegradable Polymeric Nanocarriers for Pulmonary Drug Delivery. Expert Opin. Drug Deliv. 2008, 5, 629–639. [Google Scholar] [CrossRef]
- Miyamoto, M.; Natsume, H.; Iwata, S.; Ohtake, K.; Yamaguchi, M.; Kobayashi, D.; Sugibayashi, K.; Yamashina, M.; Morimoto, Y. Improved Nasal Absorption of Drugs Using Poly-l-Arginine: Effects of Concentration and Molecular Weight of Poly-l-Arginine on the Nasal Absorption of Fluorescein Isothiocyanate–Dextran in Rats. Eur. J. Pharm. Biopharm. 2001, 52, 21–30. [Google Scholar] [CrossRef]
- Eldin, M.S.M.; Kamoun, E.A.; Sofan, M.A.; Elbayomi, S.M. L-Arginine Grafted Alginate Hydrogel Beads: A Novel PH-Sensitive System for Specific Protein Delivery. Arab. J. Chem. 2015, 8, 355–365. [Google Scholar] [CrossRef]
- Pang, X.; Wu, J.; Reinhart-King, C.; Chu, C. Synthesis and Characterization of Functionalized Water Soluble Cationic Poly(ester amide) S. J. Polym. Sci. Part A Polym. Chem. 2010, 48, 3758–3766. [Google Scholar] [CrossRef]
- Rawat, A.; Yang, T.; Hussain, A.; Ahsan, F. Complexation of a Poly-L-Arginine with Low Molecular Weight Heparin Enhances Pulmonary Absorption of the Drug. Pharm. Res. 2008, 25, 936–948. [Google Scholar] [CrossRef]
- Zhou, Y.; Gu, Z.; Liu, J.; Huang, K.; Liu, G.; Wu, J. Arginine Based Poly(ester amide)/Hyaluronic Acid Hybrid Hydrogels for Bone Tissue Engineering. Carbohydr. Polym. 2020, 230, 115640. [Google Scholar] [CrossRef]
- Wu, J.; Yamanouchi, D.; Liu, B.; Chu, C.C. Biodegradable Arginine-Based Poly(ether ester amide)s as a Non-Viral DNA Delivery Vector and Their Structure-Function Study. J. Mater. Chem. 2012, 22, 18983–18991. [Google Scholar] [CrossRef]
- You, X.; Gu, Z.; Huang, J.; Kang, Y.; Chu, C.-C.; Wu, J. Arginine-Based Poly(ester amide) Nanoparticle Platform: From Structure–Property Relationship to Nucleic Acid Delivery. Acta Biomater. 2018, 74, 180–191. [Google Scholar] [CrossRef] [PubMed]
- Zhang, S.; Xin, P.; Ou, Q.; Hollett, G.; Gu, Z.; Wu, J. Poly(ester amide)-Based Hybrid Hydrogels for Efficient Transdermal Insulin Delivery. J. Mater. Chem. B 2018, 6, 6723–6730. [Google Scholar] [CrossRef] [PubMed]
- Lodge, T.; Hiemenz, P.C. Polymer Chemistry. [Electronic Resource], 3rd ed.; CRC Press: Boca Raton, FL, USA, 2020. [Google Scholar]
- Alfei, S.; Spallarossa, A.; Lusardi, M.; Zuccari, G. Successful Dendrimer and Liposome-Based Strategies to Solubilize an Antiproliferative Pyrazole Otherwise Not Clinically Applicable. Nanomaterials 2022, 12, 233. [Google Scholar] [CrossRef] [PubMed]
- Alfei, S.; Brullo, C.; Caviglia, D.; Zuccari, G. Preparation and Physicochemical Characterization of Water-Soluble Pyrazole-Based Nanoparticles by Dendrimer Encapsulation of an Insoluble Bioactive Pyrazole Derivative. Nanomaterials 2021, 11, 2662. [Google Scholar] [CrossRef] [PubMed]
- ICH. Validation of Analytical Procedures: Text and Methodology Q2(R1). Int. Conf. Harmon. Tech. Requir. Regist. Pharm. Hum. Use 2005, 4, 5. [Google Scholar]
- USP-31. 601 Aerosols, Nasal Sprays, Metered-Dose Inhalers, and Dry Powder Inhalers; US Pharmacopeial Convention: Rockville, MD, USA, 2009. [Google Scholar]
- Dash, S.; Murthy, P.N.; Nath, L.; Chowdhury, P. Kinetic Modeling on Drug Release from Controlled Drug Delivery Systems. Acta Pol. Pharm. 2010, 67, 217–223. [Google Scholar]
- Narashimhan, B.; Mallapragada, S.K.; Peppas, N.A. Release kinetics, data interpretation. In Encyclopedia of Controlled Drug Delivery; Mathiowitz, E., Ed.; Wiley-Interscience: New York, NY, USA, 1999. [Google Scholar]
- Chakraborty, S.; Pandit, J.K.; Srinatha, A. Development of Extended Release Divalproex Sodium Tablets Containing Hypdrophobic and Hydrophilic Matrix. Curr. Drug Deliv. 2009, 6, 291–296. [Google Scholar] [CrossRef]
- Miranda, T.M.R.; Gonçalves, A.R.; Amorim, M.T.P. Ultraviolet-induced Crosslinking of Poly(vinyl alcohol) Evaluated by Principal Component Analysis of FTIR Spectra. Polym. Int. 2001, 50, 1068–1072. [Google Scholar] [CrossRef]
- Lewis, P.D.; Lewis, K.E.; Ghosal, R.; Bayliss, S.; Lloyd, A.J.; Wills, J.; Godfrey, R.; Kloer, P.; Mur, L.A.J. Evaluation of FTIR Spectroscopy as a Diagnostic Tool for Lung Cancer Using Sputum. BMC Cancer 2010, 10, 640. [Google Scholar] [CrossRef]
- Wu, J.; Mutschler, M.A.; Chu, C.C. Synthesis and Characterization of Ionic Charged Water Soluble Arginine-Based Poly(ester amide). J. Mater. Sci. Mater. Med. 2011, 22, 469–479. [Google Scholar] [CrossRef]
- Andac, M.; Plieva, F.M.; Denizli, A.; Galaev, I.Y.; Mattiasson, B. Poly(hydroxyethyl methacrylate)-Based Macroporous Hydrogels with Bisulfide Cross-Linker. Macromol. Chem. Phys. 2008, 209, 577–584. [Google Scholar] [CrossRef]
- Surekha, R.; Sumathi, T. An Efficient Encapsulation of Thymoquinone Using Solid Lipid Nanoparticle for Brain Targeted Drug Delivery: Physicochemical Characterization, Pharmacokinetics and Bio-Distribution Studies. Int. J. Pharm. Clin. Res. 2016, 8, 1616–1624. [Google Scholar]
- Alam, S.; Khan, Z.I.; Mustafa, G.; Kumar, M.; Islam, F.; Bhatnagar, A.; Ahmad, F.J. Development and Evaluation of Thymoquinone-Encapsulated Chitosan Nanoparticles for Nose-to-Brain Targeting: A Pharmacoscintigraphic Study. Int. J. Nanomed. 2012, 7, 5705–5718. [Google Scholar] [CrossRef] [PubMed]
- El-Gendy, N.; Pornputtapitak, W.; Berkland, C. Nanoparticle Agglomerates of Fluticasone Propionate in Combination with Albuterol Sulfate as Dry Powder Aerosols. Eur. J. Pharm. Sci. 2011, 44, 522–533. [Google Scholar] [CrossRef]
- Ion, S. Polyester-Amides with Liquid-Crystalline Properties. Rev. Roum. Chim. 2009, 54, 381–387. [Google Scholar]
- Cellet, T.S.P.; Pereira, G.M.; Muniz, E.C.; Silva, R.; Rubira, A.F. Hydroxyapatite Nanowhiskers Embedded in Chondroitin Sulfate Microspheres as Colon Targeted Drug Delivery Systems. J. Mater. Chem. B 2015, 3, 6837–6846. [Google Scholar] [CrossRef]












| CH (cm−1) Aromatic | CH (cm−1) Aliphatic | NH (cm−1) Stretch | NH (cm−1) Bend | -COOR (cm−1) | -CON (cm−1) | |
|---|---|---|---|---|---|---|
| Monomer | 3014 | 2912 | 3359 | 1620 | 1699 | - |
| Polymer | 2995 | 2912 | 3296 | 1632 | 1791 | 1725 |
| TQ–polymer | 2946 | 2913 | 3279 | 1631 | 1791 | 1726 |
![]() | ||||||||||||||||||||
| Chemical shift (ppm) | ||||||||||||||||||||
| 1 | 2 | 3 | 4 | 5 | 6 | 7 | 8 | 9 | 10 | 11 | 12 | 13 | 14 | 15 | 16 | 17 | ||||
| 1H | 2.25 | - | 7.10 | 7.45 | - | 7.59 | 2.46 | - | 3.04 | 3.30 | 1.35 | 1.58 | 1.61 | 7.72 | - | 8.71 | 7.59 | |||
| 13C | 21.2 | 138.7 | 128.7 | 125.7 | 145.2 | - | 53.9 | 172.8 | 60.7 | 72.7 | 28.5 | 31.6 | 40.7 | - | 157.7 | - | - | |||
![]() | ||||||||||||||||||||
| Chemical shift (ppm) | ||||||||||||||||||||
| 1 | 2 | 3 | 4 | 5 | 6 | 7 | 8 | 9 | 10 | 11 | 12 | 13 | 14 | 15 | 16 | 17 | 18 | 19 | 20 | |
| 1H | - | - | 7.96 | 8.23 | 4.69 | - | 3.08 | 3.46 | 0.79 | 1.93 | 2.24 | 8.18 | - | 8.75 | 8.07 | - | 7.45 | 7.07 | - | 2.23 |
| 13C | 166.1 | 136.7 135.6 | 129.7 | - | 53.3 | 167.7 | 47.3 | 70.2 | 28.4 | 25.9 | 40.8 | - | 157.5 | - | - | 145.5 | 125.9 | 128.6 | 138.5 | 21.2 |
| Material | Thymoquinone | Polymer | Polymer TQ-Loaded NP | |
|---|---|---|---|---|
| Parameter | ||||
| Particle size (nm) | 390.1 ± 20.43 | 123.3 ± 11.65 | 187.41 ± 18.32 | |
| Polydispersity index (Pdi) | 0.751 ± 0.12 | 0.451 ± 0.121 | 0.382 ± 0.180 | |
| Zeta potential (mV) | −42.54 ± 4.65 | -29.59 ± 5.12 | −19.25 ± 4.58 | |
| Thymoquinone Concentration (µg/mL) | 62.5 | 31.75 | 15.625 | 7.8125 | 3.90625 |
|---|---|---|---|---|---|
| Intraday % Recovery (mean ± SD) (n = 3) | 98.04 ± 1.64 | 99.49 ± 1.09 | 102.28 ± 2.01 | 99.03 ± 1.68 | 102.75 ± 0.98 |
| Interday % Recovery (mean ± SD) (n = 9) | 96.45 ± 1.98 | 100.07 ± 1.87 | 101.56 ± 2.04 | 100.76 ± 1.88 | 101.98 ±1.23 |
| Formula | F1 | F2 | F3 | |
|---|---|---|---|---|
| Parameter | ||||
| Monomer (mg) | 2000 | 1000 | 1000 | |
| Thymoquinone (mg) | 50 | 250 | 500 | |
| EE (%) | 89.82 | 92.13 | 99.77 | |
| DL (%) | 7.45 | 22.80 | 35.56 | |
| Formula | F2 | F3 | |
|---|---|---|---|
| Parameter | |||
| MMAD (µm) | 1.679 ± 0.087 | 1.911 ± 0.065 | |
| GSD | 0.086 | 0.091 | |
| Mathematical Model | R2 | Constant | n |
|---|---|---|---|
| Zero-order | 0.823 | 3.71 | - |
| First-order | 0.982 | 7.03 | - |
| Higuchi model | 0.966 | 13.94 | - |
| Hixon Crowell model | 0.889 | 0.104 | - |
| Korsmeyer–Peppas model | 0.985 | 8.39 | 2.35 |
Publisher’s Note: MDPI stays neutral with regard to jurisdictional claims in published maps and institutional affiliations. |
© 2022 by the authors. Licensee MDPI, Basel, Switzerland. This article is an open access article distributed under the terms and conditions of the Creative Commons Attribution (CC BY) license (https://creativecommons.org/licenses/by/4.0/).
Share and Cite
Dahmash, E.Z.; Ali, D.K.; Alyami, H.S.; AbdulKarim, H.; Alyami, M.H.; Aodah, A.H. Novel Thymoquinone Nanoparticles Using Poly(ester amide) Based on L-Arginine-Targeting Pulmonary Drug Delivery. Polymers 2022, 14, 1082. https://doi.org/10.3390/polym14061082
Dahmash EZ, Ali DK, Alyami HS, AbdulKarim H, Alyami MH, Aodah AH. Novel Thymoquinone Nanoparticles Using Poly(ester amide) Based on L-Arginine-Targeting Pulmonary Drug Delivery. Polymers. 2022; 14(6):1082. https://doi.org/10.3390/polym14061082
Chicago/Turabian StyleDahmash, Eman Zmaily, Dalia Khalil Ali, Hamad S. Alyami, Hussien AbdulKarim, Mohammad H. Alyami, and Alhassan H. Aodah. 2022. "Novel Thymoquinone Nanoparticles Using Poly(ester amide) Based on L-Arginine-Targeting Pulmonary Drug Delivery" Polymers 14, no. 6: 1082. https://doi.org/10.3390/polym14061082
APA StyleDahmash, E. Z., Ali, D. K., Alyami, H. S., AbdulKarim, H., Alyami, M. H., & Aodah, A. H. (2022). Novel Thymoquinone Nanoparticles Using Poly(ester amide) Based on L-Arginine-Targeting Pulmonary Drug Delivery. Polymers, 14(6), 1082. https://doi.org/10.3390/polym14061082



