Advances in Rubber Compounds Using ZnO and MgO as Co-Cure Activators
Abstract
1. Introduction
2. Materials and Methods
2.1. Materials
2.2. Rubber Compounding
2.3. Measurements of Cure Characteristics
2.4. Measurement of Cross-link Density of Rubber Vulcanizates
2.5. Mechanical Properties of Rubber Vulcanizates
2.6. Scanning Electron Microscopic Analysis and Elemental Mapping
2.7. Thermo Gravimetric Analysis
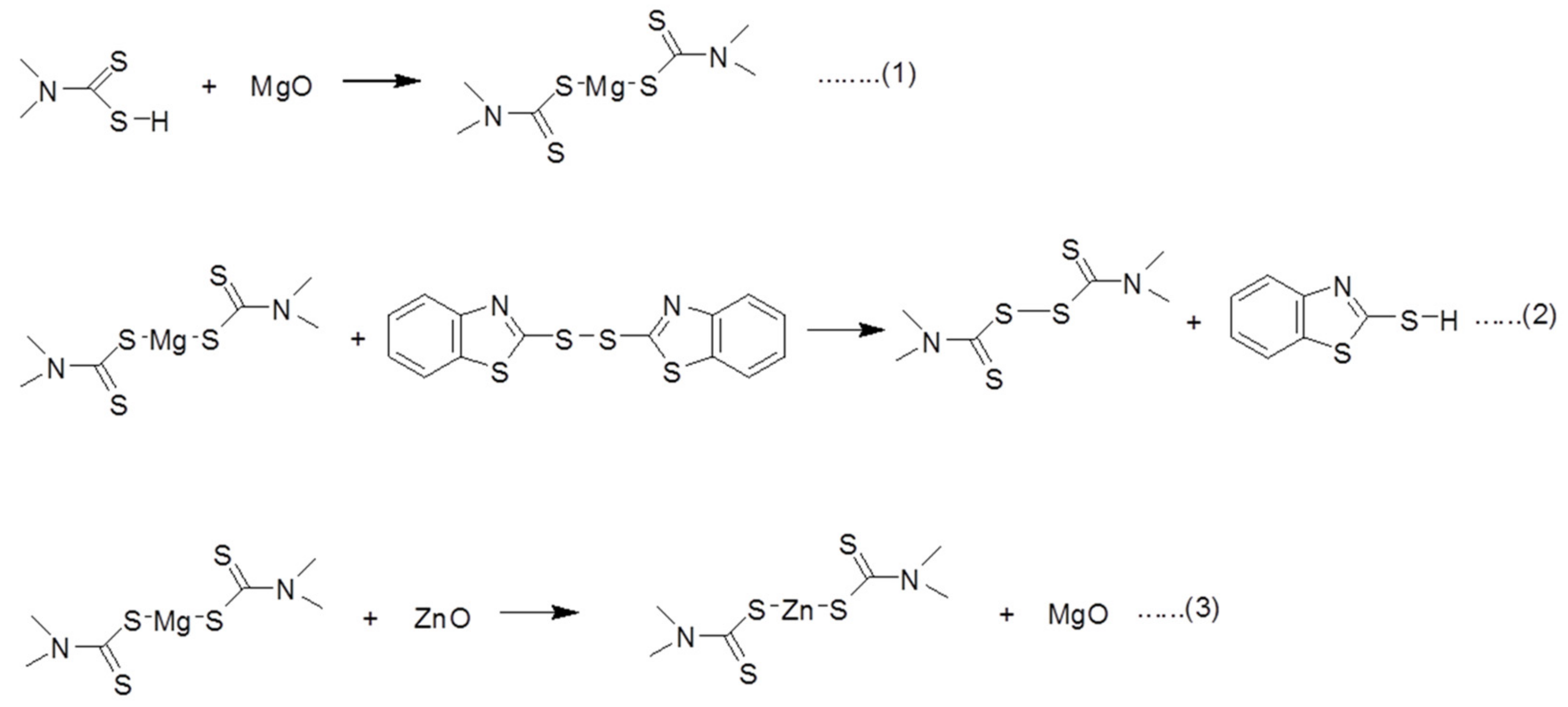
3. Results and Discussion
3.1. Curing Characteristics
3.2. Tensile Mechanical Properties
3.3. SEM and EDS-Mapping
3.4. Thermo Gravimetric Properties of Rubber Vulcanizates
4. Conclusions
Author Contributions
Funding
Institutional Review Board Statement
Informed Consent Statement
Data Availability Statement
Conflicts of Interest
References
- Chapman, A.V. Safe rubber chemicals: Reduction of zinc levels in rubber compounds. In Proceedings of the International Rubber Conference, Tun Abdul Razak Research Centre (TARRC)/Malaysian Rubber Producers’ Research Association (MRPRA), Kuala Lumpur, Malaysia, 6–9 October 1997. [Google Scholar]
- Duchacek, V. Effect of zinc oxide concentration on the course of thiuram-accelerated sulfur vulcanization. J. Appl. Polym. Sci. 1976, 20, 71–78. [Google Scholar] [CrossRef]
- Heideman, G.; Datta, R.N.; Noordermeer, J.W.M.; van Baarle, B. Influence of zinc oxide during different stages of sulfur vulcanization. Elucidated by model compound studies. J. Appl. Polym. Sci. 2005, 95, 1388–1404. [Google Scholar] [CrossRef]
- Paulthangam, K.M.; Som, A.; Ahuja, T.; Srikrishnarka, P.; Nair, A.S.; Pradeep, T. Role of Zinc Oxide in the Compounding Formulation on the Growth of Nonstoichiometric Copper Sulfide Nanostructures at the Brass–Rubber Interface. ACS Omega 2022, 7, 9573–9581. [Google Scholar] [CrossRef]
- Das, A.; Wang, D.Y.; Leuteritz, A.; Subramaniam, K.; Greenwell, H.C.; Wagenknecht, U.; Heinrich, G. Preparation of zinc oxide free, transparent rubber nanocomposites using a layered double hydroxide filler. J. Mater. Chem. 2011, 21, 7194–7200. [Google Scholar] [CrossRef]
- Fosmire, G.J. Zinc toxicity. Am. J. Clin. Nutr. 1990, 51, 225–227. [Google Scholar] [CrossRef] [PubMed]
- Poynton, H.C.; Lazorchak, J.M.; Impellitteri, C.A.; Smith, M.E.; Rogers, K.; Patra, M.; Hammer, K.A.; Allen, H.J.; Vulpe, C.D. Differential gene expression in Daphnia magna suggests distinct modes of action and bioavailability for ZnO nanoparticles and Zn ions. Environ. Sci. Technol. 2011, 45, 762–768. [Google Scholar] [CrossRef] [PubMed]
- Reed, R.B.; Ladner, D.A.; Higgins, C.P.; Westerhoff, P.; Ranville, J.F. Solubility of nano-zinc oxide in environmentally and biologically important matrices. Environ. Toxicol. Chem. 2012, 31, 93–99. [Google Scholar] [CrossRef] [PubMed]
- Gottschalk, F.; Sonderer, T.; Scholz, R.W.; Nowack, B. Modeled environmental concentrations of engineered nanomaterials (TiO2, ZnO, Ag, CNT, Fullerenes) for different regions. Environ. Sci. Technol. 2009, 43, 9216–9222. [Google Scholar] [CrossRef]
- Kole, P.J.; Löhr, A.J.; Van Belleghem, F.G.; Ragas, A.M. Wear and tear of tyres: A stealthy source of microplastics in the environment. Int. J. Environ. Res. Public Health 2017, 14, 1265. [Google Scholar] [CrossRef]
- Heideman, G.; Datta, R.N.; Noordermeer, J.W.M.; van Baarle, B. Effect of zinc complexes as activator for sulfur vulcanization in various rubbers. Rubber Chem. Technol. 2005, 78, 245–257. [Google Scholar] [CrossRef]
- Heideman, G.; Datta, R.N.; Noordermeer, J.W.M.; van Baarle, B. Zinc loaded clay as activator in sulfur vulcanization: A new route for zinc oxide reduction in rubber compounds. Rubber Chem. Technol. 2004, 77, 336–355. [Google Scholar] [CrossRef]
- Heideman, G.; Datta, R.N.; Noordermeer, J.W.M.; van Baarle, B. Multifunctional additives as zinc-free curatives for sulfur vulcanization. Rubber Chem. Technol. 2006, 79, 561–588. [Google Scholar] [CrossRef]
- Mostoni, S.; Milana, P.; Di Credico, B.; D’Arienzo, M.; Scotti, R. Zinc-based curing activators: New trends for reducing zinc content in rubber vulcanization process. Catalysts 2019, 9, 664. [Google Scholar] [CrossRef]
- Qin, X.; Xu, H.; Zhang, G.; Wang, J.; Wang, Z.; Zhao, Y.; Wang, Z.; Tan, T.; Bockstaller, M.R.; Zhang, L.; et al. Enhancing the performance of rubber with nano ZnO as activators. ACS Appl. Mater. Interfaces 2020, 12, 48007–48015. [Google Scholar] [CrossRef]
- Utrera-Barrios, S.; Verdugo Manzanares, R.; Araujo-Morera, J.; González, S.; Verdejo, R.; López-Manchado, M.Á.; Hernández Santana, M. Understanding the molecular dynamics of dual crosslinked networks by dielectric spectroscopy. Polymers 2021, 13, 3234. [Google Scholar] [CrossRef]
- Basu, D.; Das, A.; Stöckelhuber, K.W.; Wagenknecht, U.; Heinrich, G. Advances in layered double hydroxide (LDH)-based elastomer composites. Prog. Polym. Sci. 2014, 39, 594–626. [Google Scholar] [CrossRef]
- Pysklo, L.; Pawlowski, P.; Parasiewicz, W.; Slusarski, L. Study on reduction of zinc oxide level in rubber compounds. Part I influence of zinc oxide specific surface area and the interphase transfer catalyst 18-crown-6. Kautsch. Gummi Kunstst. 2007, 60, 548–553. [Google Scholar]
- Pysklo, L.; Pawlowski, P.; Nicinski, K.; Slusarski, L.; Wlodarska, M.; Bak, G. Study on reduction of zinc oxide level in rubber compounds: Part II mechanism of activation of sulphur vulcanisation by means of the interphase transfer catalyst 18-crown-6-ether. Kautsch. Gummi Kunstst. 2008, 61, 442–446. [Google Scholar]
- Henning, S.K. Reduced Zinc Loading: Using Zinc Monomethacrylate to Activate Accelerated Sulfur Vulcanization. In Proceedings of the 172nd Technical Meeting of the Rubber Division, American Chemical Society and International Rubber Conference 2007, Cleveland, OH, USA, 16–18 October 2007. [Google Scholar]
- Przybyszewska, M.; Zaborski, M.; Jakubowski, B.; Zawadiak, J. Zinc chelates as new activators for sulphur vulcanization of acrylonitrile-butadiene elastomer. Express Polym. Lett. 2009, 3, 256–266. [Google Scholar] [CrossRef]
- Przybyszewska, M.; Zaborski, M. The effect of zinc oxide nanoparticle morphology on activity in crosslinking of carboxylated nitrile elastomer. Express Polym. Lett. 2009, 3, 542–552. [Google Scholar] [CrossRef]
- Sahoo, S.; Bhowmick, A.K. Influence of ZnO nanoparticles on the cure characteristics and mechanical properties of carboxylated nitrile rubber. J. Appl. Polym. Sci. 2007, 106, 3077–3083. [Google Scholar] [CrossRef]
- Xiong, M.; Gu, G.; You, B.; Wu, L. Preparation and characterization of poly(styrene butylacrylate) latex/nano-ZnO nanocomposites. J. Appl. Polym. Sci. 2003, 90, 1923–1931. [Google Scholar] [CrossRef]
- Sahoo, S.; Maiti, M.; Ganguly, A.; George, J.J.; Bhowmick, A.K. Effect of zinc oxide nanoparticles as cure activator on the properties of natural rubber and nitrile rubber. J. Appl. Polym. Sci. 2007, 105, 2407–2415. [Google Scholar] [CrossRef]
- Jincheng, W.; Yuehui, C. Application of nano-zinc oxide master batch in polybutadiene styrene rubber system. J. Appl. Polym. Sci. 2006, 101, 922–930. [Google Scholar] [CrossRef]
- Wang, Z.; Lu, Y.; Liu, J.; Dang, Z.; Zhang, L.; Wang, W. Preparation of nano-zinc oxide/EPDM composites with both good thermal conductivity and mechanical properties. J. Appl. Polym. Sci. 2011, 119, 1144–1155. [Google Scholar] [CrossRef]
- Roy, K.; Alam, M.N.; Mandal, S.K.; Debnath, S.C. Sol–gel derived nano zinc oxide for the reduction of zinc oxide level in natural rubber compounds. J. Sol-Gel Sci. Technol. 2014, 70, 378–384. [Google Scholar] [CrossRef]
- Alam, M.N.; Potiyaraj, P. Synthesis of nano zinc hydroxide via sol-gel method on silica surface and its potential application in the reduction of cure activator level in the vulcanization of natural rubber. J. Sol-Gel Sci. Technol. 2017, 81, 903–911. [Google Scholar] [CrossRef]
- Alam, M.N.; Potiyaraj, P. Precipitated nano zinc hydroxide on the silica surface as an alternative cure activator in the vulcanization of natural rubber. Rubber Chem. Technol. 2017, 90, 714–727. [Google Scholar] [CrossRef]
- Wu, S.; Xiao, C.; Kong, S.; Li, B.; Yang, Z.; Tang, Z.; Liu, F.; Guo, B. Carbon nanodots as an eco-friendly activator of sulphur vulcanization in diene-rubber composites. Compos. Commun. 2021, 25, 100755. [Google Scholar] [CrossRef]
- da Silva, A.A.; da Rocha, E.B.; Linhares, F.N.; de Sousa, A.M.F.; Carvalho, N.M.; Furtado, C.R. Replacement of ZnO by ecofriendly synthesized MgO in the NBR vulcanization. Polym. Bull. 2022, 79, 8535–8549. [Google Scholar] [CrossRef]
- Guzmán, M.; Reyes, G.; Agulló, N.; Borrós, S. Synthesis of Zn/Mg oxide nanoparticles and its influence on sulfur vulcanization. J. Appl. Polym. Sci. 2011, 119, 2048–2057. [Google Scholar] [CrossRef]
- Guzmán, M.; Vega, B.; Agulló, N.; Giese, U.; Borrós, S. Zinc oxide versus magnesium oxide revisited. Part 1. Rubber Chem. Technol. 2012, 85, 38–55. [Google Scholar] [CrossRef]
- Guzmán, M.; Vega, B.; Agulló, N.; Borrós, S. Zinc oxide versus magnesium oxide revisited. Part 2. Rubber Chem. Technol. 2012, 85, 56–67. [Google Scholar] [CrossRef]
- Kar, S.; Bhowmick, A.K. Nanostructured magnesium oxide as cure activator for polychloroprene rubber. J. Nanosci. Nanotechnol. 2009, 9, 3144–3153. [Google Scholar] [CrossRef] [PubMed]
- Siti, N.Q.M.; Kawahara, S. Evaluating performance of magnesium oxide at different sizes as activator for natural rubber vulcanization. Int. J. Adv. Chem. Eng. Biol. Sci. 2016, 3, 97–101. [Google Scholar]
- Roy, K.; Alam, M.N.; Mandal, S.K.; Debnath, S.C. Preparation of zinc-oxide-free natural rubber nanocomposites using nanostructured magnesium oxide as cure activator. J. Appl. Polym. Sci. 2015, 132, 42705. [Google Scholar] [CrossRef]
- Roy, K.; Alam, M.N.; Mandal, S.K.; Debnath, S.C. Development of a suitable nanostructured cure activator system for polychloroprene rubber nanocomposites with enhanced curing, mechanical and thermal properties. Polym. Bull. 2016, 73, 191–207. [Google Scholar] [CrossRef]
- Zhang, L.; Jiang, Y.; Ding, Y.; Povey, M.; David, Y. Investigation into the antibacterial behaviour of suspensions of ZnO nanoparticles (ZnO nanofluids). J. Nanopart. Res. 2007, 9, 479–489. [Google Scholar] [CrossRef]
- Kuschner, W.G.; Wong, H.; D’Alessandro, A.; Quinlan, P.; Blanc, P.D. Human pulmonary responses to experimental inhalation of high concentration fine and ultrafine magnesium oxide particles. Environ. Health Perspect. 1997, 105, 1234–1237. [Google Scholar] [CrossRef] [PubMed]
- Alam, M.N.; Kumar, V.; Potiyaraj, P.; Lee, D.-J.; Choi, J. Synergistic activities of binary accelerators in presence of magnesium oxide as a cure activator in the vulcanization of natural rubber. J. Elastomers Plast. 2022, 54, 123–144. [Google Scholar] [CrossRef]
- Alam, M.N.; Mandal, S.K.; Debnath, S.C. Bis (N-benzyl piperazino) thiuram disulfide and dibenzothiazyl disulfide as synergistic safe accelerators in the vulcanization of natural rubber. J. Appl. Polym. Sci. 2012, 126, 1830–1836. [Google Scholar] [CrossRef]
- Alam, M.N.; Mandal, S.K.; Debnath, S.C. Effect of zinc dithiocarbamates and thiazole-based accelerators on the vulcanization of natural rubber. Rubber Chem. Technol. 2012, 85, 120–131. [Google Scholar] [CrossRef]
- Alam, M.N.; Mandal, S.K.; Roy, K.; Debnath, S.C. Synergism of novel thiuram disulfide and dibenzothiazyl disulfide in the vulcanization of natural rubber: Curing, mechanical and aging resistance properties. Int. J. Ind. Chem. 2014, 5, 8. [Google Scholar] [CrossRef]
- Craig, D.; Davidson, W.L.; Juve, A.E. Tetramethylthiuram disulfide vulcanization of extracted rubber, V: Low molecular products and the mechanism of zinc oxide activation. J. Polym. Sci. 1951, 6, 177–187. [Google Scholar] [CrossRef]
- Scheele, W. Kinetic studies of the vulcanization of natural and synthetic rubbers. Rubber Chem. Technol. 1961, 34, 1306–1401. [Google Scholar] [CrossRef]
- Flory, P.J.; John, R., Jr. Statistical mechanics of cross-linked polymer networks II. Swelling. J. Chem. Phys. 1943, 11, 521–526. [Google Scholar] [CrossRef]
- Akiba, M.; Hashim, A.S. Vulcanization and crosslinking in elastomers. Prog. Polym. Sci. 1997, 22, 475–521. [Google Scholar] [CrossRef]
- Kruger, F.W.H.; McGill, J. A DSC study of curative interactions. I. The interaction of ZnO, sulfur, and stearic acid. J. Appl. Polym. Sci. 1991, 42, 2643–2649. [Google Scholar] [CrossRef]
- Sahoo, N.G.; Das, C.K.; Panda, A.B.; Pramanik, P. Nanofiller as vulcanizing aid for styrene-butadiene elastomer. Macromol. Res. 2002, 10, 369–372. [Google Scholar] [CrossRef]
- Wang, Z.; Xiang, C.; Yao, X.; Le Floch, P.; Mendez, J.; Suo, Z. Stretchable materials of high toughness and low hysteresis. Proc. Natl. Acad. Sci. USA 2019, 116, 5967–5972. [Google Scholar] [CrossRef]
- Ghosh, G.; Meeseepong, M.; Bag, A.; Hanif, A.; Chinnamani, M.V.; Beigtan, M.; Kim, Y.; Lee, N.-E. Tough, transparent, biocompatible and stretchable thermoplastic copolymer with high stability and processability for soft electronics. Mater. Today 2022, 57, 43–56. [Google Scholar] [CrossRef]
- Boonkerd, K.; Deeprasertkul, C.; Boonsomwong, K. Effect of sulfur to accelerator ratio on crosslink structure, reversion, and strength in natural rubber. Rubber Chem. Technol. 2016, 89, 450–464. [Google Scholar] [CrossRef]
- Brandrup, J.; Immergut, E.H.; Mc Dowell, W. Polymer Handbook, 2nd ed.; Wiley: New York, NY, USA, 1975. [Google Scholar]
- De, D.; De, D.; Singharoy, G.M. Reclaiming of ground rubber tire by a novel reclaiming agent. I. virgin natural rubber/reclaimed GRT vulcanizates. Polym. Eng. Sci. 2007, 7, 1091–1100. [Google Scholar] [CrossRef]
- Gilman, J.W.; Jackson, C.L.; Morgan, A.B.; Harris, R.; Manias, E.; Giannelis, E.P.; Wuthenow, M.; Hilton, D.; Phillips, S.H. Flammability properties of polymer− layered-silicate nanocomposites. Polypropylene and polystyrene nanocomposites. Chem. Mater. 2000, 12, 1866–1873. [Google Scholar] [CrossRef]









| Formulation | Mixing Composition | ||||
|---|---|---|---|---|---|
| NR/5-MgO | NR/4-MgO/1-ZnO | NR/3-MgO/2-ZnO | NR/2-ZnO | NR/5-ZnO | |
| NR | 100 | 100 | 100 | 100 | 100 |
| MgO | 5 | 4 | 3 | 0 | 0 |
| ZnO | 1 | 2 | 2 | 5 | |
| Stearic Acid | 2 | 2 | 2 | 2 | 2 |
| TMTD | 0.72 | 0.72 | 0.72 | 0.72 | 0.72 |
| MBTS | 2 | 2 | 2 | 2 | 2 |
| Sulfur | 0.5 | 0.5 | 0.5 | 0.5 | 0.5 |
Publisher’s Note: MDPI stays neutral with regard to jurisdictional claims in published maps and institutional affiliations. |
© 2022 by the authors. Licensee MDPI, Basel, Switzerland. This article is an open access article distributed under the terms and conditions of the Creative Commons Attribution (CC BY) license (https://creativecommons.org/licenses/by/4.0/).
Share and Cite
Alam, M.N.; Kumar, V.; Park, S.-S. Advances in Rubber Compounds Using ZnO and MgO as Co-Cure Activators. Polymers 2022, 14, 5289. https://doi.org/10.3390/polym14235289
Alam MN, Kumar V, Park S-S. Advances in Rubber Compounds Using ZnO and MgO as Co-Cure Activators. Polymers. 2022; 14(23):5289. https://doi.org/10.3390/polym14235289
Chicago/Turabian StyleAlam, Md Najib, Vineet Kumar, and Sang-Shin Park. 2022. "Advances in Rubber Compounds Using ZnO and MgO as Co-Cure Activators" Polymers 14, no. 23: 5289. https://doi.org/10.3390/polym14235289
APA StyleAlam, M. N., Kumar, V., & Park, S.-S. (2022). Advances in Rubber Compounds Using ZnO and MgO as Co-Cure Activators. Polymers, 14(23), 5289. https://doi.org/10.3390/polym14235289

