Physically and Chemically Stable Anion Exchange Membranes with Hydrogen-Bond Induced Ion Conducting Channels
Abstract
1. Introduction
2. Materials and Methods
2.1. Materials
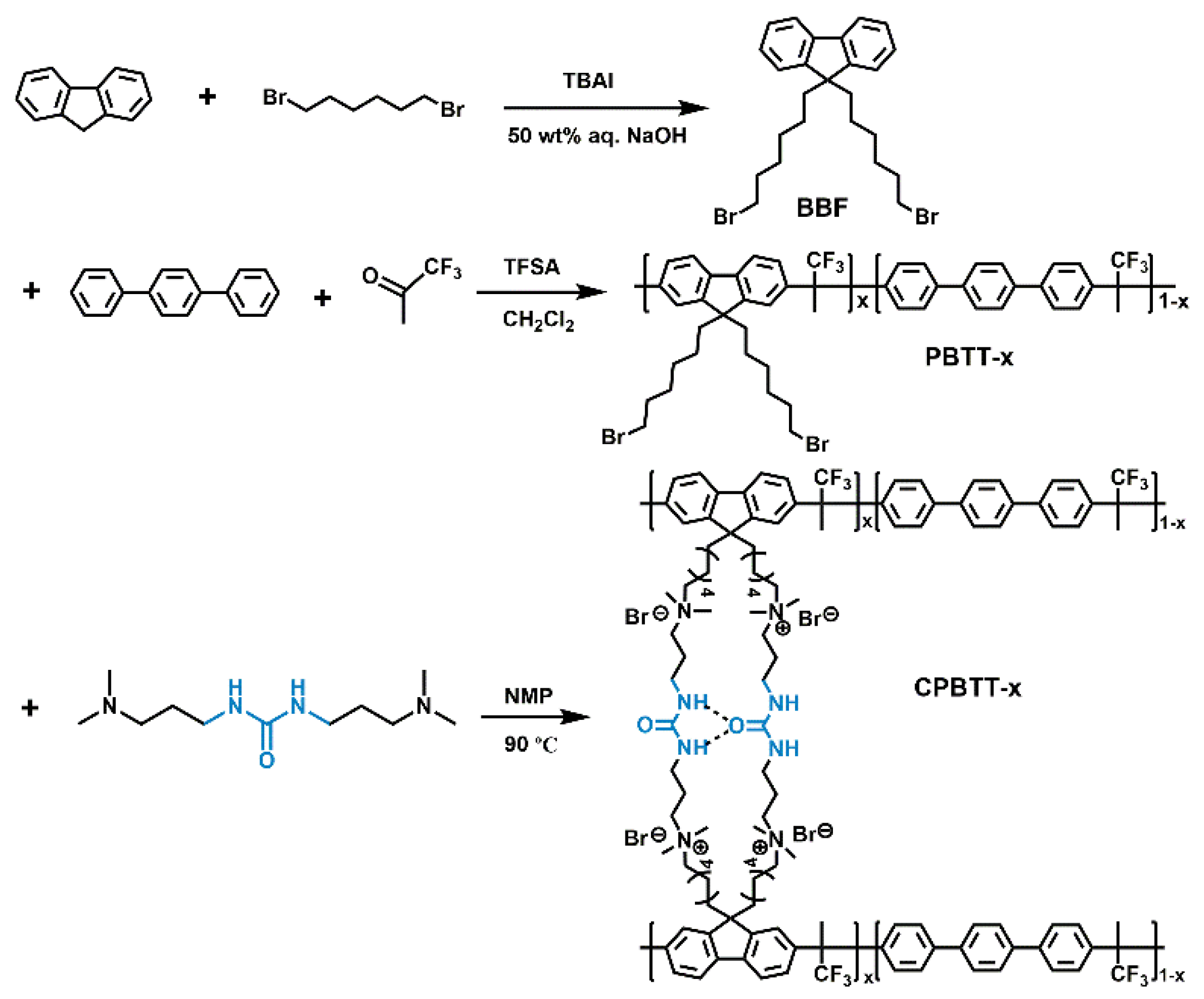
2.2. Synthesis of 9,9-Bis(6-Bromohexyl)Fluorene (BBF)
2.3. Synthesis of poly(9,9-Bis(6-Bromohexyl)Fluorene-co-p-Terphenyl 1,1,1-Trifluoroacetone) (PBTT-x) Copolymers
2.4. Preparation of the Quaternary Ammonium-Functionalized Crosslinked poly(1,6-Diphenylpyrene-co-p-Terphenyl 1,1,1-Trifluoroacetone-co-Piperidinium) (CPBTT-x) Membranes
2.5. Characterizations
3. Results and Discussion
3.1. Polymer Synthesis, Characterization and AEMs Preparation
3.2. Morphology Analysis
3.3. Physical Properties
3.4. Ion Conductivity, Alkaline Stability and AEMFCs Performance
4. Conclusions
Supplementary Materials
Author Contributions
Funding
Conflicts of Interest
References
- Wang, J.; Zhao, Y.; Setzler, B.P.; Rojas-Carbonell, S.; Ben Yehuda, C.; Amel, A.; Page, M.; Wang, L.; Hu, K.; Shi, L.; et al. Poly(aryl piperidinium) membranes and ionomers for hydroxide exchange membrane fuel cells. Nat. Energy 2019, 4, 392–398. [Google Scholar] [CrossRef]
- Gottesfeld, S.; Dekel, D.R.; Page, M.; Bae, C.; Yan, Y.; Zelenay, P.; Kim, Y.S. Anion exchange membrane fuel cells: Current status and remaining challenges. J. Power Source 2018, 375, 170–184. [Google Scholar] [CrossRef]
- Arunachalam, M.; Sinopoli, A.; Aidoudi, F.; Creager, S.E.; Smith, R.; Merzougui, B.; Aïssa, B. High Performance of Anion Exchange Blend Membranes Based on Novel Phosphonium Cation Polymers for All-Vanadium Redox Flow Battery Applications. ACS Appl. Mater. Interfaces 2021, 13, 45935–45943. [Google Scholar] [CrossRef] [PubMed]
- Chen, N.; Paek, S.Y.; Lee, J.Y.; Park, J.H.; Lee, S.Y.; Lee, Y.M. High-performance anion exchange membrane water electrolyzers with a current density of 7.68 A cm−2 and a durability of 1000 hours. Energy Environ. Sci. 2021, 14, 6338–6348. [Google Scholar] [CrossRef]
- Arunachalam, M.; Sinopoli, A.; Aidoudi, F.; Creager, S.E.; Smith, R.; Merzougui, B.; Aïssa, B. Investigating the suitability of poly tetraarylphosphonium based anion exchange membranes for electrochemical applications. Sci. Rep. 2021, 11, 13841. [Google Scholar] [CrossRef]
- You, W.; Noonan, K.J.T.; Coates, G.W. Alkaline-stable anion exchange membranes: A review of synthetic approaches. Prog. Polym. Sci. 2020, 100, 101177. [Google Scholar] [CrossRef]
- Chen, N.; Lee, Y.M. Anion exchange polyelectrolytes for membranes and ionomers. Prog. Polym. Sci. 2021, 113, 101345. [Google Scholar] [CrossRef]
- Chen, N.; Lee, Y.M. Anion-conducting polyelectrolytes for energy devices. Trends Chem. 2022, 4, 236–249. [Google Scholar] [CrossRef]
- Deavin, O.I.; Murphy, S.; Ong, A.L.; Poynton, S.D.; Zeng, R.; Herman, H.; Varcoe, J.R. Anion-exchange membranes for alkaline polymer electrolyte fuel cells: Comparison of pendent benzyltrimethylammonium-and benzylmethylimidazolium-head-groups. Energy Environ. Sci. 2012, 5, 8584–8597. [Google Scholar] [CrossRef]
- Huang, J.; Yu, Z.; Tang, J.; Wang, P.; Tan, Q.; Wang, J.; Lei, X. A review on anion exchange membranes for fuel cells: Anion-exchange polyelectrolytes and synthesis strategies. Int. J. Hydrogen Energy 2022, 47, 27800–27820. [Google Scholar] [CrossRef]
- Jeon, J.Y.; Park, S.; Han, J.; Maurya, S.; Mohanty, A.D.; Tian, D.; Saikia, N.; Hickner, M.A.; Ryu, C.Y.; Tuckerman, M.E.; et al. Synthesis of Aromatic Anion Exchange Membranes by Friedel–Crafts Bromoalkylation and Cross-Linking of Polystyrene Block Copolymers. Macromolecules 2019, 52, 2139–2147. [Google Scholar] [CrossRef]
- Hibbs, M.R.; Fujimoto, C.H.; Cornelius, C.J. Synthesis and Characterization of Poly(phenylene)-Based Anion Exchange Membranes for Alkaline Fuel Cells. Macromolecules 2009, 42, 8316–8321. [Google Scholar] [CrossRef]
- Chen, W.; Mandal, M.; Huang, G.; Wu, X.; He, G.; Kohl, P.A. Highly Conducting Anion-Exchange Membranes Based on Cross-Linked Poly(norbornene): Ring Opening Metathesis Polymerization. ACS Appl. Energy Mater. 2019, 2, 2458–2468. [Google Scholar] [CrossRef]
- Treichel, M.; Gaitor, J.C.; Birch, C.; Vinskus, J.L.; Noonan, K.J.T. Anion-exchange membranes derived from main group and metal-based cations. Polymer 2022, 249, 124811. [Google Scholar] [CrossRef]
- Couture, G.; Alaaeddine, A.; Boschet, F.; Ameduri, B. Polymeric materials as anion-exchange membranes for alkaline fuel cells. Prog. Polym. Sci. 2011, 36, 1521–1557. [Google Scholar] [CrossRef]
- Wang, L.; Peng, X.; Mustain, W.E.; Varcoe, J.R. Radiation-grafted anion-exchange membranes: The switch from low- to high-density polyethylene leads to remarkably enhanced fuel cell performance. Energy Environ. Sci. 2019, 12, 1575–1579. [Google Scholar] [CrossRef]
- Chen, N.; Hu, C.; Wang, H.H.; Kim, S.P.; Kim, H.M.; Lee, W.H.; Bae, J.Y.; Park, J.H.; Lee, Y.M. Poly(Alkyl-Terphenyl Piperidinium) Ionomers and Membranes with an Outstanding Alkaline-Membrane Fuel-Cell Performance of 2.58 W cm−2. Angew. Chem. Int. Ed. 2021, 60, 7710–7718. [Google Scholar] [CrossRef]
- Gu, S.; Cai, R.; Luo, T.; Chen, Z.; Sun, M.; Liu, Y.; He, G.; Yan, Y. A Soluble and Highly Conductive Ionomer for High-Performance Hydroxide Exchange Membrane Fuel Cells. Angew. Chem. Int. Ed. 2009, 48, 6499–6502. [Google Scholar] [CrossRef]
- Fujimoto, C.; Kim, D.-S.; Hibbs, M.; Wrobleski, D.; Kim, Y.S. Backbone stability of quaternized polyaromatics for alkaline membrane fuel cells. J. Membr. Sci. 2012, 423–424, 438–449. [Google Scholar] [CrossRef]
- Xu, F.; Qiu, K.; Lin, B.; Ren, Y.; Li, J.; Ding, J.; Hickner, M.A. Enhanced performance of poly(olefin)-based anion exchange membranes cross-linked by triallylmethyl ammonium iodine and divinylbenzene. J. Membr. Sci. 2021, 637, 119629. [Google Scholar] [CrossRef]
- Yuan, W.; Zeng, L.; Jiang, S.; Yuan, C.; He, Q.; Wang, J.; Liao, Q.; Wei, Z. High performance poly(carbazolyl aryl piperidinium) anion exchange membranes for alkaline fuel cells. J. Membr. Sci. 2022, 657, 120676. [Google Scholar] [CrossRef]
- Lee, W.-H.; Kim, Y.S.; Bae, C. Robust Hydroxide Ion Conducting Poly(biphenyl alkylene)s for Alkaline Fuel Cell Membranes. ACS Macro Lett. 2015, 4, 814–881. [Google Scholar] [CrossRef] [PubMed]
- Cha, M.S.; Park, J.E.; Kim, S.; Han, S.-H.; Shin, S.-H.; Yang, S.H.; Kim, T.-H.; Yu, D.M.; So, S.; Hong, Y.T.; et al. Poly(carbazole)-based anion-conducting materials with high performance and durability for energy conversion devices. Energy Environ. Sci. 2020, 13, 3633–3645. [Google Scholar] [CrossRef]
- Li, D.; Park, E.J.; Zhu, W.; Shi, Q.; Zhou, Y.; Tian, H.; Lin, Y.; Serov, A.; Zulevi, B.; Baca, E.D.; et al. Highly quaternized polystyrene ionomers for high performance anion exchange membrane water electrolysers. Nat. Energy 2020, 5, 378–385. [Google Scholar] [CrossRef]
- Tomoi, M.; Yamaguchi, K.; Ando, R.; Kantake, Y.; Aosaki, Y.; Kubota, H. Synthesis and thermal stability of novel anion exchange resins with spacer chains. J. Appl. Polym. Sci. 1997, 64, 1161–1167. [Google Scholar] [CrossRef]
- Hibbs, M.R. Alkaline stability of poly(phenylene)-based anion exchange membranes with various cations. J. Polym. Sci. B Polym. Phys. 2013, 51, 1736–1742. [Google Scholar] [CrossRef]
- Ertem, S.P.; Coughlin, E.B. Alkaline Stability Evaluation of Polymerizable Hexyl-Tethered Ammonium Cations. Macromol. Rapid Commun. 2022, 43, 2100610. [Google Scholar] [CrossRef]
- Pan, J.; Chen, C.; Li, Y.; Wang, L.; Tan, L.; Li, G.; Tang, X.; Xiao, L.; Lu, J.; Zhuang, L. Constructing ionic highway in alkaline polymer electrolytes. Energy Environ. Sci. 2014, 7, 354–360. [Google Scholar] [CrossRef]
- Lee, K.-S.; Jeong, M.-H.; Lee, J.-S.; Pivovar, B.S.; Kim, Y.S. Optimizing end-group cross-linkable polymer electrolytes for fuel cell applications. J. Membr. Sci. 2010, 352, 180–188. [Google Scholar] [CrossRef]
- Zhang, P.; Shen, B.; Pu, H. Robust, dimensional stable, and self-healable anion exchange membranes via quadruple hydrogen bonds. Polymer 2022, 245, 124698. [Google Scholar] [CrossRef]
- Zhang, Y.; Chen, W.; Li, T.; Yan, X.; Zhang, F.; Wang, X.; Wu, X.; Pang, B.; He, G. A rod-coil grafts strategy for N-spirocyclic functionalized anion exchange membranes with high fuel cell power density. J. Power Source 2021, 490, 229544. [Google Scholar] [CrossRef]
- Liu, L.; Chu, X.; Liao, J.; Huang, Y.; Li, Y.; Ge, Z.; Hickner, M.A.; Li, N. Tuning the properties of poly(2,6-dimethyl-1,4-phenylene oxide) anion exchange membranes and their performance in H2/O2 fuel cells. Energy Environ. Sci. 2018, 11, 435–446. [Google Scholar] [CrossRef]
- Wang, J.; Wei, H.; Yang, S.; Fang, H.; Xu, P.; Ding, Y. Constructing pendent imidazolium-based poly(phenylene oxide)s for anion exchange membranes using a click reaction. RSC Adv. 2015, 5, 93415–93422. [Google Scholar] [CrossRef]
- Pan, Y.; Jiang, K.; Sun, X.; Ma, S.; So, Y.-M.; Ma, H.; Yan, X.; Zhang, N.; He, G. Facilitating ionic conduction for anion exchange membrane via employing star-shaped block copolymer. J. Membr. Sci. 2021, 630, 119290. [Google Scholar] [CrossRef]
- Liu, L.; Huang, G.; Kohl, P.A. Anion conducting multiblock copolymers with multiple head-groups. J. Mater. Chem. A 2018, 6, 9000–9008. [Google Scholar] [CrossRef]
- Schill, J.; Rosier, B.J.H.M.; Audenis, B.G.; Estirado, E.N.; de Greef, T.F.A.; Brunsveld, L. Assembly of Dynamic Supramolecular Polymers on a DNA Origami Platform. Angew. Chem. Int. Ed. 2021, 60, 7612–7616. [Google Scholar] [CrossRef]
- Barboiu, M. Artificial Water Channels. Angew. Chem. Int. Ed. 2012, 51, 11674–11676. [Google Scholar] [CrossRef] [PubMed]
- Yang, Y.; Fu, N.; Dong, Q.; Li, M.; Li, J.; Li, C.; Wei, Z. Self-Aggregation to Construct Hydroxide Highways in Anion Exchange Membranes. Adv. Mater. Interfaces 2020, 7, 1902143. [Google Scholar] [CrossRef]
- Zhang, J.; Zhang, K.; Liang, X.; Yu, W.; Ge, X.; Shehzad, M.A.; Ge, Z.; Yang, Z.; Wu, L.; Xu, T. Self-aggregating cationic-chains enable alkaline stable ion-conducting channels for anion-exchange membrane fuel cells. J. Mater. Chem. A 2021, 9, 327–337. [Google Scholar] [CrossRef]
- Wei, C.; Yu, W.; Liang, X.; Zhang, Y.; Zhang, F.; Song, W.; Ge, X.; Wu, L.; Xu, T. Host-guest interaction induced ion channels for accelerated OH− transport in anion exchange membranes. J. Membr. Sci. 2022, 655, 120580. [Google Scholar] [CrossRef]
- Huo, Y.; He, Z.; Wang, C.; Zhang, L.; Xuan, Q.; Wei, S.; Wang, Y.; Pan, D.; Dong, B.; Wei, R.; et al. The recent progress of synergistic supramolecular polymers: Preparation, properties and applications. Chem. Commun. 2021, 57, 1413–1429. [Google Scholar] [CrossRef] [PubMed]
- Xie, Z.; Hu, B.-L.; Li, R.-W.; Zhang, Q. Hydrogen Bonding in Self-Healing Elastomers. ACS Omega 2021, 6, 9319–9333. [Google Scholar] [CrossRef] [PubMed]
- Li, X.; Yang, K.; Li, Z.; Guo, J.; Zheng, J.; Li, S.; Zhang, S.; Sherazi, T.A. The effect of side chain length on the morphology and transport properties of fluorene-based anion exchange membranes. Int. J. Hydrogen Energy 2022, 47, 15044–15055. [Google Scholar] [CrossRef]
- Diaz, A.M.; Zolotukhin, M.G.; Fomine, S.; Salcedo, R.; Manero, O.; Cedillo, G.; Velasco, V.M.; Guzman, M.T.; Fritsch, D.; Khalizov, A.F. A Novel, One-Pot Synthesis of Novel 3F, 5F, and 8F Aromatic Polymers. Macromol. Rapid Commun. 2007, 28, 183–187. [Google Scholar] [CrossRef]
- Li, Z.; Li, C.; Long, C.; Sang, J.; Tian, L.; Wang, F.; Wang, Z.; Zhu, H. Elastic and durable multi-cation-crosslinked anion exchange membrane based on poly(styrene-b-(ethylene-co-butylene)-b-styrene). J. Polym. Sci. 2020, 58, 2181–2219. [Google Scholar] [CrossRef]
- Li, H.; Dong, J.; Cao, X.; Ren, X.; Hao, Z.; Yang, J. Diamine crossklinked anion exchange membranes based on poly(vinyl benzyl methylpyrrolidinium). Polymer 2021, 212, 123156. [Google Scholar] [CrossRef]
- Jo, Y.H.; Li, S.; Zuo, C.; Zhang, Y.; Gan, H.; Li, S.; Yu, L.; He, D.; Xie, X.; Xue, Z. Self-Healing Solid Polymer Electrolyte Facilitated by a Dynamic Cross-Linked Polymer Matrix for Lithium-Ion Batteries. Macromolecules 2020, 53, 1024–1032. [Google Scholar] [CrossRef]
- Chen, N.; Lu, C.; Li, Y.; Long, C.; Li, Z.; Zhu, H. Tunable multi-cations-crosslinked poly(arylene piperidinium)-based alkaline membranes with high ion conductivity and durability. J. Membr. Sci. 2019, 588, 117120. [Google Scholar] [CrossRef]
- Cui, X.; Song, Y.; Wang, J.-P.; Wang, J.-K.; Zhou, Q.; Qi, T.; Li, G.L. Self-healing polymers with tunable mechanical strengths via combined hydrogen bonding and zinc-imidazole interactions. Polymer 2019, 174, 143–149. [Google Scholar] [CrossRef]
- Song, W.; He, Y.; Shehzad, M.A.; Ge, X.; Ge, L.; Liang, X.; Wei, C.; Ge, Z.; Zhang, K.; Li, G.; et al. Exploring H-bonding interaction to enhance proton permeability of an acid-selective membrane. J. Membr. Sci. 2021, 637, 119650. [Google Scholar] [CrossRef]
- Song, Y.; Liu, Y.; Qi, T.; Li, G.L. Towards Dynamic but Supertough Healable Polymers through Biomimetic Hierarchical Hydrogen-Bonding Interactions. Angew. Chem. Int. Ed. 2018, 57, 13838–13842. [Google Scholar] [CrossRef] [PubMed]
- Wu, H.Y.; Yang, Q.; Gao, X.L.; Zhu, Z.Y.; Sun, Q.H.; Zhang, Q.G.; Zhu, A.M.; Liu, Q.L. Novel crosslinked aliphatic anion exchange membranes with pendant pentafluorophenyl groups. Electrochim. Acta 2019, 321, 134634. [Google Scholar] [CrossRef]
- Yu, N.; Dong, J.; Wang, T.; Jin, Y.; Tang, W.; Yang, J. Two new anion exchange membranes based on poly(bis-arylimidazolium) ionenes blend polybenzimidazole. Polymer 2022, 240, 124491. [Google Scholar] [CrossRef]
- Rezus, Y.L.A.; Bakker, H.J. Effect of urea on the structural dynamics of water. Proc. Natl. Acad. Sci. USA 2006, 103, 18417–18420. [Google Scholar] [CrossRef]
- Sherazi, T.A.; Sohn, J.Y.; Lee, Y.M.; Guiver, M.D. Polyethylene-based radiation grafted anion-exchange membranes for alkaline fuel cells. J. Membr. Sci. 2013, 441, 148–157. [Google Scholar] [CrossRef]
- Zhang, J.; Yu, W.; Liang, X.; Zhang, K.; Wang, H.; Ge, X.; Wei, C.; Song, W.; Ge, Z.; Wu, L.; et al. Flexible Bis-piperidinium Side Chains Construct Highly Conductive and Robust Anion-Exchange Membranes. ACS Appl. Energy Mater. 2021, 4, 9701–9711. [Google Scholar] [CrossRef]
- Wang, X.; Qiao, X.; Liu, S.; Liu, L.; Li, N. Poly(terphenyl piperidinium) containing hydrophilic crown ether units in main chains as anion exchange membranes for alkaline fuel cells and water electrolysers. J. Membr. Sci. 2022, 653, 120558. [Google Scholar] [CrossRef]
- Chu, X.; Miao, S.; Zhou, A.; Liu, S.; Liu, L.; Li, N. A strategy to design quaternized poly(2,6-dimethyl-1,4-phenylene oxide) anion exchange membranes by atom transfer radical coupling. J. Membr. Sci. 2022, 649, 120397. [Google Scholar] [CrossRef]
- Mustain, W.E.; Chatenet, M.; Page, M.; Kim, Y.S. Durability challenges of anion exchange membrane fuel cells. Energy Environ. Sci. 2020, 13, 2805–2838. [Google Scholar] [CrossRef]
- Liang, X.; Shehzad, M.A.; Zhu, Y.; Wang, L.; Ge, X.; Zhang, J.; Yang, Z.; Wu, L.; Varcoe, J.R.; Xu, T. Ionomer Cross-Linking Immobilization of Catalyst Nanoparticles for High Performance Alkaline Membrane Fuel Cells. Chem. Mater. 2019, 31, 7812–7820. [Google Scholar] [CrossRef]
- Chen, N.; Wang, H.H.; Kim, S.P.; Kim, H.M.; Lee, W.H.; Hu, C.; Bae, J.Y.; Sim, E.S.; Chung, Y.-C.; Jang, J.-H.; et al. Poly(fluorenyl aryl piperidinium) membranes and ionomers for anion exchange membrane fuel cells. Nat. Commun. 2021, 12, 2367. [Google Scholar] [CrossRef] [PubMed]
- Liu, J.; Gao, L.; Di, M.; Hu, L.; Sun, X.; Wu, X.; Jiang, X.; Dai, Y.; Yan, X.; He, G. Low boiling point solvent-soluble, highly conductive and stable poly (ether phenylene piperidinium) anion exchange membrane. J. Membr. Sci. 2022, 644, 120185. [Google Scholar] [CrossRef]
- Hu, C.; Park, J.H.; Kim, H.M.; Wang, H.H.; Bae, J.Y.; Liu, M.-L.; Kang, N.Y.; Yoon, K.-s.; Park, C.-d.; Chen, N.; et al. Robust and durable poly(aryl-co-aryl piperidinium) reinforced membranes for alkaline membrane fuel cells. J. Mater. Chem. A 2022, 10, 6587–6595. [Google Scholar] [CrossRef]
- Liu, M.; Hu, X.; Hu, B.; Liu, L.; Li, N. Soluble poly(aryl piperidinium) with extended aromatic segments as anion exchange membranes for alkaline fuel cells and water electrolysis. J. Membr. Sci. 2022, 642, 119966. [Google Scholar] [CrossRef]
- Chen, N.; Hu, C.; Wang, H.H.; Park, J.H.; Kim, H.M.; Lee, Y.M. Chemically & physically stable crosslinked poly(aryl-co-aryl piperidinium)s for anion exchange membrane fuel cells. J. Membr. Sci. 2021, 638, 119685. [Google Scholar]
- Chen, N.; Park, J.H.; Hu, C.; Wang, H.H.; Kim, H.M.; Kang, N.Y.; Lee, Y.M. Di-piperidinium-crosslinked poly(fluorenyl-co-terphenyl piperidinium)s for high-performance alkaline exchange membrane fuel cells. J. Mater. Chem. A 2022, 10, 3678–3687. [Google Scholar] [CrossRef]





Publisher’s Note: MDPI stays neutral with regard to jurisdictional claims in published maps and institutional affiliations. |
© 2022 by the authors. Licensee MDPI, Basel, Switzerland. This article is an open access article distributed under the terms and conditions of the Creative Commons Attribution (CC BY) license (https://creativecommons.org/licenses/by/4.0/).
Share and Cite
Wei, C.; Yu, W.; Wu, L.; Ge, X.; Xu, T. Physically and Chemically Stable Anion Exchange Membranes with Hydrogen-Bond Induced Ion Conducting Channels. Polymers 2022, 14, 4920. https://doi.org/10.3390/polym14224920
Wei C, Yu W, Wu L, Ge X, Xu T. Physically and Chemically Stable Anion Exchange Membranes with Hydrogen-Bond Induced Ion Conducting Channels. Polymers. 2022; 14(22):4920. https://doi.org/10.3390/polym14224920
Chicago/Turabian StyleWei, Chengpeng, Weisheng Yu, Liang Wu, Xiaolin Ge, and Tongwen Xu. 2022. "Physically and Chemically Stable Anion Exchange Membranes with Hydrogen-Bond Induced Ion Conducting Channels" Polymers 14, no. 22: 4920. https://doi.org/10.3390/polym14224920
APA StyleWei, C., Yu, W., Wu, L., Ge, X., & Xu, T. (2022). Physically and Chemically Stable Anion Exchange Membranes with Hydrogen-Bond Induced Ion Conducting Channels. Polymers, 14(22), 4920. https://doi.org/10.3390/polym14224920
