Recent Reports on Polysaccharide-Based Materials for Drug Delivery
Abstract
1. Introduction
2. Alginate
Alginate-Based Delivery Systems
3. Chitosan
Chitosan-Based Delivery Systems
4. Other Polysaccharides
4.1. Hyaluronic Acid
4.2. Pectin
4.3. Dextran
4.4. Starch
5. Complexed Delivery Systems
6. Conclusions
Funding
Institutional Review Board Statement
Data Availability Statement
Conflicts of Interest
References
- Seyfoddin, A.; Masoomi Dezfooli, S.; Greene, C.A. (Eds.) Engineering Drug Delivery Systems; Woodhead Publishing series in biomaterials; Elsevier: Amsterdam, The Netherlands; Woodhead Publishing: Duxford, UK, 2020; ISBN 978-0-08-102548-2. [Google Scholar]
- Wang, B.; Hu, L.; Siahaan, T. (Eds.) Drug Delivery: Principles and Applications, 2nd ed.; John Wiley & Sons Inc.: Hoboken, NJ, USA, 2016; ISBN 978-1-118-83336-0. [Google Scholar]
- Hillery, A.M.; Park, K. (Eds.) Drug Delivery: Fundamentals & Applications; CRC Press: Boca Raton, FL, USA, 2017; ISBN 978-1-4822-1771-1. [Google Scholar]
- Jain, A.K.; Thareja, S. In Vitro and in Vivo Characterization of Pharmaceutical Nanocarriers Used for Drug Delivery. Artif. Cells Nanomed. Biotechnol. 2019, 47, 524–539. [Google Scholar] [CrossRef] [PubMed]
- Prasher, P.; Sharma, M.; Mehta, M.; Satija, S.; Aljabali, A.A.; Tambuwala, M.M.; Anand, K.; Sharma, N.; Dureja, H.; Jha, N.K.; et al. Current-Status and Applications of Polysaccharides in Drug Delivery Systems. Colloid Interface Sci. Commun. 2021, 42, 100418. [Google Scholar] [CrossRef]
- Vieira, W.T.; Nicollini, M.V.S.; da Silva, M.G.C.; de Oliveira Nascimento, L.; Vieira, M.G.A. Natural Polysaccharides and Proteins Applied to the Development of Gastroresistant Multiparticulate Systems for Anti-Inflammatory Drug Delivery—A Systematic Review. Eur. Polym. J. 2022, 172, 111205. [Google Scholar] [CrossRef]
- Song, E.-H.; Shang, J.; Ratner, D.M. Polysaccharides. In Polymer Science: A Comprehensive Reference; Matyjaszewski, K., Moller, M., Eds.; Elsevier: Oxford, UK, 2012; pp. 137–155. ISBN 978-0-08-087862-1. [Google Scholar]
- BeMiller, J.N. (Ed.) Polysaccharides: Occurrence, Structures, and Chemistry. In Carbohydrate Chemistry for Food Scientists, 3rd ed.; AACC International Press: Duxford, UK, 2019; pp. 75–101. ISBN 978-0-12-812069-9. [Google Scholar]
- Shahbaz, A.; Hussain, N.; Basra, M.A.R.; Bilal, M. Polysaccharides-Based Nano-Hybrid Biomaterial Platforms for Tissue Engineering, Drug Delivery, and Food Packaging Applications. Starch 2022, 74, 2200023. [Google Scholar] [CrossRef]
- Sun, Y.; Jing, X.; Ma, X.; Feng, Y.; Hu, H. Versatile Types of Polysaccharide-Based Drug Delivery Systems: From Strategic Design to Cancer Therapy. Int. J. Mol. Sci. 2020, 21, 9159. [Google Scholar] [CrossRef]
- Zamboulis, A.; Michailidou, G.; Koumentakou, I.; Bikiaris, D.N. Polysaccharide 3D Printing for Drug Delivery Applications. Pharmaceutics 2022, 14, 145. [Google Scholar] [CrossRef]
- Abka-Khajouei, R.; Tounsi, L.; Shahabi, N.; Patel, A.K.; Abdelkafi, S.; Michaud, P. Structures, Properties and Applications of Alginates. Marine Drugs 2022, 20, 364. [Google Scholar] [CrossRef]
- Shaikh, M.A.J.; Alharbi, K.S.; Almalki, W.H.; Imam, S.S.; Albratty, M.; Meraya, A.M.; Alzarea, S.I.; Kazmi, I.; Al-Abbasi, F.A.; Afzal, O.; et al. Sodium Alginate Based Drug Delivery in Management of Breast Cancer. Carbohydr. Polym. 2022, 292, 119689. [Google Scholar] [CrossRef] [PubMed]
- Priya, S.; Batra, U.; Samshritha, R.N.; Sharma, S.; Chaurasiya, A.; Singhvi, G. Polysaccharide-Based Nanofibers for Pharmaceutical and Biomedical Applications: A Review. Int. J. Biol. Macromol. 2022, 218, 209–224. [Google Scholar] [CrossRef]
- Yang, Y.; Xu, L.; Wang, J.; Meng, Q.; Zhong, S.; Gao, Y.; Cui, X. Recent Advances in Polysaccharide-Based Self-Healing Hydrogels for Biomedical Applications. Carbohydr. Polym. 2022, 283, 119161. [Google Scholar] [CrossRef]
- Fragal, E.H.; Fragal, V.H.; Silva, E.P.; Paulino, A.T.; da Silva Filho, E.C.; Mauricio, M.R.; Silva, R.; Rubira, A.F.; Muniz, E.C. Magnetic-Responsive Polysaccharide Hydrogels as Smart Biomaterials: Synthesis, Properties, and Biomedical Applications. Carbohydr. Polym. 2022, 292, 119665. [Google Scholar] [CrossRef] [PubMed]
- Zhang, Y.; Dong, L.; Liu, L.; Wu, Z.; Pan, D.; Liu, L. Recent Advances of Stimuli-Responsive Polysaccharide Hydrogels in Delivery Systems: A Review. J. Agric. Food Chem. 2022, 70, 6300–6316. [Google Scholar] [CrossRef] [PubMed]
- Xiao, T.; Zhu, J.; Jia, L.; Che, H.; Liu, J.; Deckers, J.; van Hest, J.C.M.; Shi, X. Injectable Alginate Hydrogels for Synergistic Tumor Combination Therapy through Repolarization of Tumor-Associated Macrophages. J. Control. Release 2022, 348, 239–249. [Google Scholar] [CrossRef] [PubMed]
- Maxwell, C.J.; Soltisz, A.M.; Rich, W.W.; Choi, A.; Reilly, M.A.; Swindle-Reilly, K.E. Tunable Alginate Hydrogels as Injectable Drug Delivery Vehicles for Optic Neuropathy. J. Biomed. Mater. Res. 2022, 110, 1621–1635. [Google Scholar] [CrossRef] [PubMed]
- Xie, C.; Zhang, Q.; Li, Z.; Ge, S.; Ma, B. Sustained and Microenvironment-Accelerated Release of Minocycline from Alginate Injectable Hydrogel for Bacteria-Infected Wound Healing. Polymers 2022, 14, 1816. [Google Scholar] [CrossRef]
- Szekalska, M.; Sosnowska, K.; Tomczykowa, M.; Winnicka, K.; Kasacka, I.; Tomczyk, M. In Vivo Anti-Inflammatory and Anti-Allergic Activities of Cynaroside Evaluated by Using Hydrogel Formulations. Biomed. Pharmacother. 2020, 121, 109681. [Google Scholar] [CrossRef]
- Cibor, U.; Krok-Borkowicz, M.; Brzychczy-Włoch, M.; Rumian, Ł.; Pietryga, K.; Kulig, D.; Chrzanowski, W.; Pamuła, E. Gentamicin-Loaded Polysaccharide Membranes for Prevention and Treatment of Post-Operative Wound Infections in the Skeletal System. Pharm. Res. 2017, 34, 2075–2083. [Google Scholar] [CrossRef]
- Bogdanova, L.R.; Zelenikhin, P.V.; Makarova, A.O.; Zueva, O.S.; Salnikov, V.V.; Zuev, Y.F.; Ilinskaya, O.N. Alginate-Based Hydrogel as Delivery System for Therapeutic Bacterial RNase. Polymers 2022, 14, 2461. [Google Scholar] [CrossRef]
- Szekalska, M.; Wróblewska, M.; Trofimiuk, M.; Basa, A.; Winnicka, K. Alginate Oligosaccharides Affect Mechanical Properties and Antifungal Activity of Alginate Buccal Films with Posaconazole. Marine Drugs 2019, 17, 692. [Google Scholar] [CrossRef]
- Li, C.; Zhang, Y.; Han, Y.; Zhao, X.; Tian, F. Freeze–Thaw Enhanced Stability and Mechanical Strength of Polysaccharide-based Sodium Alginate/Hyaluronic Acid Films. J. Food Saf. 2022, 42, e12958. [Google Scholar] [CrossRef]
- Muangsri, R.; Chuysinuan, P.; Thanyacharoen, T.; Techasakul, S.; Sukhavattanakul, P.; Ummartyotin, S. Release Characteristic and Antioxidant Activity of 4-Hydroxybenzoic Acid (4HB) from Sodium Alginate and Polyvinyl Alcohol-based Hydrogel. ChemistrySelect 2022, 7, e202202329. [Google Scholar] [CrossRef]
- Lachowicz, D.; Karabasz, A.; Bzowska, M.; Szuwarzyński, M.; Karewicz, A.; Nowakowska, M. Blood-Compatible, Stable Micelles of Sodium Alginate—Curcumin Bioconjugate for Anti-Cancer Applications. Eur. Polym. J. 2019, 113, 208–219. [Google Scholar] [CrossRef]
- Karabasz, A.; Lachowicz, D.; Karewicz, A.; Mezyk-Kopec, R.; Stalińska, K.; Werner, E.; Cierniak, A.; Dyduch, G.; Bereta, J.; Bzowska, M. Analysis of Toxicity and Anticancer Activity of Micelles of Sodium Alginate-Curcumin. Int. J. Nanotechnol. Nanomed. 2019, 14, 7249–7262. [Google Scholar] [CrossRef] [PubMed]
- Martínez-Relimpio, A.M.; Benito, M.; Pérez-Izquierdo, E.; Teijón, C.; Olmo, R.M.; Blanco, M.D. Paclitaxel-Loaded Folate-Targeted Albumin-Alginate Nanoparticles Crosslinked with Ethylenediamine. Synthesis and In Vitro Characterization. Polymers 2021, 13, 2083. [Google Scholar] [CrossRef] [PubMed]
- Li, M.; Li, Y.; Wang, X.; Chang, Z.; Jiang, Y.-C.; Han, S.; Cui, Z.; Han, X.; Li, Q. Loading and Sustained Release of Sodium Alginate Membranes on Pyridirubicin Chloride. Mater. Res. Express 2021, 8, 065402. [Google Scholar] [CrossRef]
- Wezgowiec, J.; Tsirigotis-Maniecka, M.; Saczko, J.; Wieckiewicz, M.; Wilk, K.A. Microparticles vs. Macroparticles as Curcumin Delivery Vehicles: Structural Studies and Cytotoxic Effect in Human Adenocarcinoma Cell Line (LoVo). Molecules 2021, 26, 6056. [Google Scholar] [CrossRef]
- Szekalska, M.; Sosnowska, K.; Czajkowska-Kośnik, A.; Winnicka, K. Calcium Chloride Modified Alginate Microparticles Formulated by the Spray Drying Process: A Strategy to Prolong the Release of Freely Soluble Drugs. Materials 2018, 11, 1522. [Google Scholar] [CrossRef]
- Shahbazizadeh, S.; Naji-Tabasi, S.; Shahidi-Noghabi, M. Development of Soy Protein/Sodium Alginate Nanogel-Based Cress Seed Gum Hydrogel for Oral Delivery of Curcumin. Chem. Biol. Technol. Agric. 2022, 9, 41. [Google Scholar] [CrossRef]
- Chen, Y.-B.; Zhang, Y.-B.; Wang, Y.-L.; Kaur, P.; Yang, B.-G.; Zhu, Y.; Ye, L.; Cui, Y.-L. A Novel Inhalable Quercetin-Alginate Nanogel as a Promising Therapy for Acute Lung Injury. J. Nanobiotechnol. 2022, 20, 272. [Google Scholar] [CrossRef]
- Valentino, C.; Vigani, B.; Fedeli, I.; Miele, D.; Marrubini, G.; Malavasi, L.; Ferrari, F.; Sandri, G.; Rossi, S. Development of Alginate-Spermidine Micro/Nanogels as Potential Antioxidant and Anti-Inflammatory Tool in Peripheral Nerve Injuries. Formulation Studies and Physico-Chemical Characterization. Int. J. Pharm. 2022, 626, 122168. [Google Scholar] [CrossRef]
- He, S.; Meng, Q.; Zhong, S.; Gao, Y.; Cui, X. Sonochemical Fabrication of Reduction-Responsive Alginate-Based Nanocapsules with Folate Targeting for Drug Delivery. Colloids Surf. A 2022, 639, 128349. [Google Scholar] [CrossRef]
- Fernando, I.P.S.; Kirindage, K.G.I.S.; Jayasinghe, A.M.K.; Han, E.J.; Lee, C.-M.; Heo, S.-J.; Ahn, G. Alginate Nanocapsules by Water-in-Oil Emulsification and External Gelation for Drug Delivery to Fine Dust Stimulated Keratinocytes. Int. J. Biol. Macromol. 2022, 218, 102–114. [Google Scholar] [CrossRef] [PubMed]
- Jaromin, A.; Zarnowski, R.; Piętka-Ottlik, M.; Andes, D.R.; Gubernator, J. Topical Delivery of Ebselen Encapsulated in Biopolymeric Nanocapsules: Drug Repurposing Enhanced Antifungal Activity. Nanomedicine 2018, 13, 1139–1155. [Google Scholar] [CrossRef] [PubMed]
- Muraoka, D.; Harada, N.; Shiku, H.; Akiyoshi, K. Self-Assembled Polysaccharide Nanogel Delivery System for Overcoming Tumor Immune Resistance. J. Control. Release 2022, 347, 175–182. [Google Scholar] [CrossRef]
- Podgórna, K.; Szczepanowicz, K.; Piotrowski, M.; Gajdošová, M.; Štěpánek, F.; Warszyński, P. Gadolinium Alginate Nanogels for Theranostic Applications. Colloids Surf. B 2017, 153, 183–189. [Google Scholar] [CrossRef] [PubMed]
- Pathania, R.; Najda, A.; Chawla, P.; Kaushik, R.; Khan, M.A. Low-Energy Assisted Sodium Alginate Stabilized Phyllanthus Niruri Extract Nanoemulsion: Characterization, in Vitro Antioxidant and Antimicrobial Application. Biotechnol. Rep. 2022, 33, e00711. [Google Scholar] [CrossRef]
- Liu, C.; Jiang, F.; Xing, Z.; Fan, L.; Li, Y.; Wang, S.; Ling, J.; Ouyang, X.-K. Efficient Delivery of Curcumin by Alginate Oligosaccharide Coated Aminated Mesoporous Silica Nanoparticles and In Vitro Anticancer Activity against Colon Cancer Cells. Pharmaceutics 2022, 14, 1166. [Google Scholar] [CrossRef]
- Wang, X.; Hou, X.; Zou, P.; Zhang, M.; Ma, L. Facile Construction of Cationic Lignin Modified Bentonite – Alginate Nanocomposite Gel for Sustained Release of Alachlor. J. Appl. Polym. Sci. 2022, 139, 52659. [Google Scholar] [CrossRef]
- Singh, S. Design and Development of Montmorillonite-Sodium Alginate Microbeads for Oral Sustained Delivery of Cefaclor. J. Med. Pharm. All. Sci. 2022, 11, 4986–4994. [Google Scholar] [CrossRef]
- Szurkowska, K.; Kazimierczak, P.; Kolmas, J. Mg,Si—Co-Substituted Hydroxyapatite/Alginate Composite Beads Loaded with Raloxifene for Potential Use in Bone Tissue Regeneration. Int. J. Mol. Sci. 2021, 22, 2933. [Google Scholar] [CrossRef]
- Li, J.; Xiang, H.; Zhang, Q.; Miao, X. Polysaccharide-Based Transdermal Drug Delivery. Pharmaceuticals 2022, 15, 602. [Google Scholar] [CrossRef]
- Kurczewska, J.; Pecyna, P.; Ratajczak, M.; Gajęcka, M.; Schroeder, G. Halloysite Nanotubes as Carriers of Vancomycin in Alginate-Based Wound Dressing. Saudi Pharm. J. 2017, 25, 911–920. [Google Scholar] [CrossRef] [PubMed]
- Kurczewska, J.; Ratajczak, M.; Gajecka, M. Alginate and Pectin Films Covering Halloysite with Encapsulated Salicylic Acid as Food Packaging Components. Appl. Clay Sci. 2021, 214, 106270. [Google Scholar] [CrossRef]
- Cavallaro, G.; Lisuzzo, L.; Lazzara, G.; Milioto, S. Printable Hydrogels Based on Alginate and Halloysite Nanotubes. Int. J. Mol. Sci. 2022, 23, 3294. [Google Scholar] [CrossRef] [PubMed]
- Kurczewska, J.; Cegłowski, M.; Pecyna, P.; Ratajczak, M.; Gajęcka, M.; Schroeder, G. Molecularly Imprinted Polymer as Drug Delivery Carrier in Alginate Dressing. Mater. Lett. 2017, 201, 46–49. [Google Scholar] [CrossRef]
- Laskar, N.; Ghoshal, D.; Gupta, S. Chitosan-Based Magnetic Molecularly Imprinted Polymer: Synthesis and Application in Selective Recognition of Tricyclazole from Rice and Water Samples. Iran Polym. J. 2021, 30, 121–134. [Google Scholar] [CrossRef]
- Foroutan Koudehi, M.; Zibaseresht, R. Synthesis of Molecularly Imprinted Polymer Nanoparticles Containing Gentamicin Drug as Wound Dressing Based Polyvinyl Alcohol/Gelatin Nanofiber. Mater. Technol. 2020, 35, 21–30. [Google Scholar] [CrossRef]
- Gao, Y.; Wu, Y. Recent Advances of Chitosan-Based Nanoparticles for Biomedical and Biotechnological Applications. Int. J. Biol. Macromol. 2022, 203, 379–388. [Google Scholar] [CrossRef]
- Li, X.; Wang, Y.; Feng, C.; Chen, H.; Gao, Y. Chemical Modification of Chitosan for Developing Cancer Nanotheranostics. Biomacromolecules 2022, 23, 2197–2218. [Google Scholar] [CrossRef]
- Kou, S.G.; Peters, L.; Mucalo, M. Chitosan: A Review of Molecular Structure, Bioactivities and Interactions with the Human Body and Micro-Organisms. Carbohydr. Polym. 2022, 282, 119132. [Google Scholar] [CrossRef]
- Nowak, K.M.; Bodek, K.H.; Szterk, A.; Rudnicka, K.; Szymborski, T.; Kosieradzki, M.; Fiedor, P. Preclinical Assessment of the Potential of a 3D Chitosan Drug Delivery System with Sodium Meloxicam for Treating Complications Following Tooth Extraction. Int. J. Biol. Macromol. 2019, 133, 1019–1028. [Google Scholar] [CrossRef] [PubMed]
- Jóźwiak, T.; Filipkowska, U.; Szymczyk, P.; Rodziewicz, J.; Mielcarek, A. Effect of Ionic and Covalent Crosslinking Agents on Properties of Chitosan Beads and Sorption Effectiveness of Reactive Black 5 Dye. React. Funct. Polym. 2017, 114, 58–74. [Google Scholar] [CrossRef]
- Grimling, B.; Karolewicz, B.; Nawrot, U.; Włodarczyk, K.; Górniak, A. Physicochemical and Antifungal Properties of Clotrimazole in Combination with High-Molecular Weight Chitosan as a Multifunctional Excipient. Marine Drugs 2020, 18, 591. [Google Scholar] [CrossRef]
- Humelnicu, A.-C.; Samoilă, P.; Cojocaru, C.; Dumitriu, R.; Bostănaru, A.-C.; Mareș, M.; Harabagiu, V.; Simionescu, B.C. Chitosan-Based Therapeutic Systems for Superficial Candidiasis Treatment. Synergetic Activity of Nystatin and Propolis. Polymers 2022, 14, 689. [Google Scholar] [CrossRef]
- Pérez-González, N.; Bozal-de Febrer, N.; Calpena-Campmany, A.C.; Nardi-Ricart, A.; Rodríguez-Lagunas, M.J.; Morales-Molina, J.A.; Soriano-Ruiz, J.L.; Fernández-Campos, F.; Clares-Naveros, B. New Formulations Loading Caspofungin for Topical Therapy of Vulvovaginal Candidiasis. Gels 2021, 7, 259. [Google Scholar] [CrossRef] [PubMed]
- Facchinatto, W.M.; Galante, J.; Mesquita, L.; Silva, D.S.; Martins dos Santos, D.; Moraes, T.B.; Campana-Filho, S.P.; Colnago, L.A.; Sarmento, B.; das Neves, J. Clotrimazole-Loaded N-(2-Hydroxy)-Propyl-3-Trimethylammonium, O-Palmitoyl Chitosan Nanoparticles for Topical Treatment of Vulvovaginal Candidiasis. Acta Biomater. 2021, 125, 312–321. [Google Scholar] [CrossRef] [PubMed]
- Deshkar, S.; Sikchi, S.; Thakre, A.; Kale, R. Poloxamer Modified Chitosan Nanoparticles for Vaginal Delivery of Acyclovir. Pharm. Nanotech. 2021, 9, 141–156. [Google Scholar] [CrossRef]
- Istúriz-Zapata, M.A.; Correa-Pacheco, Z.N.; Bautista-Baños, S.; Acosta-Rodríguez, J.L.; Hernández-López, M.; Barrera-Necha, L.L. Efficacy of Extracts of Mango Residues Loaded in Chitosan Nanoparticles and Their Nanocoatings on in Vitro and in Vivo Postharvest Fungal. J. Phytopathol. 2022, 170, 661–674. [Google Scholar] [CrossRef]
- Singh, B.K.; Chaudhari, A.K.; Das, S.; Tiwari, S.; Dubey, N.K. Preparation and Characterization of a Novel Nanoemulsion Consisting of Chitosan and Cinnamomum Tamala Essential Oil and Its Effect on Shelf-Life Lengthening of Stored Millets. Pestic. Biochem. Phys. 2022, 187, 105214. [Google Scholar] [CrossRef]
- Paczkowska, M.; Chanaj-Kaczmarek, J.; Romaniuk-Drapała, A.; Rubiś, B.; Szymanowska, D.; Kobus-Cisowska, J.; Szymańska, E.; Winnicka, K.; Cielecka-Piontek, J. Mucoadhesive Chitosan Delivery System with Chelidonii Herba Lyophilized Extract as a Promising Strategy for Vaginitis Treatment. J. Clin. Med. 2020, 9, 1208. [Google Scholar] [CrossRef] [PubMed]
- Campos, L.M.; de Oliveira Lemos, A.S.; da Cruz, L.F.; de Freitas Araújo, M.G.; de Mello Botti, G.C.R.; Júnior, J.L.R.; Rocha, V.N.; Denadai, Â.M.L.; da Silva, T.P.; Tavares, G.D.; et al. Development and in Vivo Evaluation of Chitosan-Gel Containing Mitracarpus Frigidus Methanolic Extract for Vulvovaginal Candidiasis Treatment. Biomed. Pharmacother. 2020, 130, 110609. [Google Scholar] [CrossRef]
- Khan, M.M.; Madni, A.; Torchilin, V.; Filipczak, N.; Pan, J.; Tahir, N.; Shah, H. Lipid-Chitosan Hybrid Nanoparticles for Controlled Delivery of Cisplatin. Drug Deliv. 2019, 26, 765–772. [Google Scholar] [CrossRef] [PubMed]
- Sultan, M.H.; Moni, S.S.; Madkhali, O.A.; Bakkari, M.A.; Alshahrani, S.; Alqahtani, S.S.; Alhakamy, N.A.; Mohan, S.; Ghazwani, M.; Bukhary, H.A.; et al. Characterization of Cisplatin-Loaded Chitosan Nanoparticles and Rituximab-Linked Surfaces as Target-Specific Injectable Nano-Formulations for Combating Cancer. Sci. Rep. 2022, 12, 468. [Google Scholar] [CrossRef] [PubMed]
- Zhao, Z.; Han, J.; Xu, S.; Jin, Z.; Yin, T.H.; Zhao, K. Amoxicillin Encapsulated in the N-2-Hydroxypropyl Trimethyl Ammonium Chloride Chitosan and N,O-Carboxymethyl Chitosan Nanoparticles: Preparation, Characterization, and Antibacterial Activity. Int. J. Biol. Macromol. 2022, 221, 613–622. [Google Scholar] [CrossRef] [PubMed]
- Priya Dharshini, K.; Fang, H.; Ramya Devi, D.; Yang, J.-X.; Luo, R.-H.; Zheng, Y.-T.; Brzeziński, M.; Vedha Hari, B.N. PH-Sensitive Chitosan Nanoparticles Loaded with Dolutegravir as Milk and Food Admixture for Paediatric Anti-HIV Therapy. Carbohydr. Polym. 2021, 256, 117440. [Google Scholar] [CrossRef]
- Di Filippo, L.D.; Duarte, J.L.; Roque-Borda, C.A.; Pavan, F.R.; Meneguin, A.B.; Chorilli, M.; Melero, A.; Guillot, A.J.; Spagnol, C.M.; Correa, M.A. In Vitro Skin Co-Delivery and Antibacterial Properties of Chitosan-Based Microparticles Containing Ascorbic Acid and Nicotinamide. Life 2022, 12, 1049. [Google Scholar] [CrossRef]
- Dragostin, I.; Dragostin, O.-M.; Iacob, A.T.; Dragan, M.; Chitescu, C.L.; Confederat, L.; Zamfir, A.-S.; Tatia, R.; Stan, C.D.; Zamfir, C.L. Chitosan Microparticles Loaded with New Non-Cytotoxic Isoniazid Derivatives for the Treatment of Tuberculosis: In Vitro and In Vivo Studies. Polymers 2022, 14, 2310. [Google Scholar] [CrossRef]
- Zhang, W.; Wang, Y.; Guo, J.; Huang, C.; Hu, Y. Polysaccharide Supramolecular Hydrogel Microparticles Based on Carboxymethyl β-Cyclodextrin/Chitosan Complex and EDTA-Chitosan for Controlled Release of Protein Drugs. Polym. Bull. 2022, 79, 6087–6097. [Google Scholar] [CrossRef]
- Szymańska, E.; Krzyżowska, M.; Cal, K.; Mikolaszek, B.; Tomaszewski, J.; Wołczyński, S.; Winnicka, K. Potential of Mucoadhesive Chitosan Glutamate Microparticles as Microbicide Carriers—Antiherpes Activity and Penetration Behavior across the Human Vaginal Epithelium. Drug Deliv. 2021, 28, 2278–2288. [Google Scholar] [CrossRef] [PubMed]
- Bartkowiak, A.; Rojewska, M.; Hyla, K.; Zembrzuska, J.; Prochaska, K. Surface and Swelling Properties of Mucoadhesive Blends and Their Ability to Release Fluconazole in a Mucin Environment. Colloids Surf. B 2018, 172, 586–593. [Google Scholar] [CrossRef]
- Szymańska, E.; Czajkowska-Kośnik, A.; Winnicka, K. Comparison of Rheological, Drug Release, and Mucoadhesive Characteristics upon Storage between Hydrogels with Unmodified or Beta-Glycerophosphate-Crosslinked Chitosan. Int. J. Polym. Sci. 2018, 2018, 3592843. [Google Scholar] [CrossRef]
- Chanaj-Kaczmarek, J.; Paczkowska, M.; Osmałek, T.; Kaproń, B.; Plech, T.; Szymanowska, D.; Karaźniewicz-Łada, M.; Kobus-Cisowska, J.; Cielecka-Piontek, J. Hydrogel Delivery System Containing Calendulae Flos Lyophilized Extract with Chitosan as a Supporting Strategy for Wound Healing Applications. Pharmaceutics 2020, 12, 634. [Google Scholar] [CrossRef]
- Piegat, A.; Niemczyk, A.; Boccaccini, A.R.; El Fray, M.; Liverani, L. Hierarchical Multi-Layered Scaffolds Based on Electrofluidodynamic Processes for Tissue Engineering. Biomed. Mater. 2021, 16, 041001. [Google Scholar] [CrossRef]
- Janus, Ł.; Piątkowski, M.; Radwan-Pragłowska, J.; Bogdał, D.; Matysek, D. Chitosan-Based Carbon Quantum Dots for Biomedical Applications: Synthesis and Characterization. Nanomaterials 2019, 9, 274. [Google Scholar] [CrossRef] [PubMed]
- Kumara, B.N.; Shambhu, R.; Prabhu, A.; Prasad, K.S. Novel Chitosan - Graphene Quantum Dots Composite for Therapeutic Delivery and Tracking through Enzymatic Stimuli Response. Carbohydr. Polym. 2022, 289, 119426. [Google Scholar] [CrossRef]
- Hassani, S.; Gharehaghaji, N.; Divband, B. Chitosan-Coated Iron Oxide/Graphene Quantum Dots as a Potential Multifunctional Nanohybrid for Bimodal Magnetic Resonance/Fluorescence Imaging and 5-Fluorouracil Delivery. Mater. Today Commun. 2022, 31, 103589. [Google Scholar] [CrossRef]
- Esmaeili, Y.; Seyedhosseini Ghaheh, H.; Ghasemi, F.; Shariati, L.; Rafienia, M.; Bidram, E.; Zarrabi, A. Graphene Oxide Quantum Dot-Chitosan Nanotheranostic Platform as a PH-Responsive Carrier for Improving Curcumin Uptake Internalization: In Vitro & in Silico Study. Biomater. Adv. 2022, 139, 213017. [Google Scholar] [CrossRef]
- Bazylińska, U.; Wawrzyńczyk, D.; Kulbacka, J.; Picci, G.; Manni, L.S.; Handschin, S.; Fornasier, M.; Caltagirone, C.; Mezzenga, R.; Murgia, S. Hybrid Theranostic Cubosomes for Efficient NIR-Induced Photodynamic Therapy. ACS Nano 2022, 16, 5427–5438. [Google Scholar] [CrossRef]
- Wang, L.; Lv, H.; Liu, L.; Zhang, Q.; Nakielski, P.; Si, Y.; Cao, J.; Li, X.; Pierini, F.; Yu, J.; et al. Electrospun Nanofiber-Reinforced Three-Dimensional Chitosan Matrices: Architectural, Mechanical and Biological Properties. J. Colloid Interface Sci. 2020, 565, 416–425. [Google Scholar] [CrossRef] [PubMed]
- Mudo, L.M.D.; Queiroz, A.F.S.; de Melo, N.F.; Barbosa, M.A.G.; de Andrade, E.C.; de Britto, D. Stability Evaluation of DsRNA and DNA Encapsulated in Chitosan Nanoparticles. Bio. Nano. Sci. 2022, 12, 774–784. [Google Scholar] [CrossRef]
- Li, Q.; Lv, X.; Tang, C.; Yin, C. Co-Delivery of Doxorubicin and CRISPR/Cas9 or RNAi-Expressing Plasmid by Chitosan-Based Nanoparticle for Cancer Therapy. Carbohydr. Polym. 2022, 287, 119315. [Google Scholar] [CrossRef] [PubMed]
- Ahghari, M.A.; Ahghari, M.R.; Kamalzare, M.; Maleki, A. Design, Synthesis, and Characterization of Novel Eco-Friendly Chitosan-AgIO3 Bionanocomposite and Study Its Antibacterial Activity. Sci. Rep. 2022, 12, 10491. [Google Scholar] [CrossRef] [PubMed]
- Samanta, S.; Banerjee, J.; Das, B.; Mandal, J.; Chatterjee, S.; Ali, K.M.; Sinha, S.; Giri, B.; Ghosh, T.; Dash, S.K. Antibacterial Potency of Cytocompatible Chitosan-Decorated Biogenic Silver Nanoparticles and Molecular Insights towards Cell-Particle Interaction. Int. J. Biol. Macromol. 2022, 219, 919–939. [Google Scholar] [CrossRef]
- Chen, J.; Luo, L.; Cen, C.; Liu, Y.; Li, H.; Wang, Y. The Nano Antibacterial Composite Film Carboxymethyl Chitosan/Gelatin/Nano ZnO Improves the Mechanical Strength of Food Packaging. Int. J. Biol. Macromol. 2022, 220, 462–471. [Google Scholar] [CrossRef] [PubMed]
- Lemraski, E.G.; Alibeigi, S.; Abbasi, Z. Ibuprofen@silver Loaded on Poly(Vinyl Alcohol)/Chitosan Co-Polymer Scaffold as a Novel Drug Delivery System. Mater. Today Commun. 2022, 33, 104311. [Google Scholar] [CrossRef]
- Ways, T.M.M.; Filippov, S.K.; Maji, S.; Glassner, M.; Cegłowski, M.; Hoogenboom, R.; King, S.; Lau, W.M.; Khutoryanskiy, V.V. Mucus-Penetrating Nanoparticles Based on Chitosan Grafted with Various Non-Ionic Polymers: Synthesis, Structural Characterisation and Diffusion Studies. J. Colloid Interface Sci. 2022, 626, 251–264. [Google Scholar] [CrossRef] [PubMed]
- Liu, Y.; Mao, J.; Guo, Z.; Hu, Y.; Wang, S. Polyvinyl Alcohol/Carboxymethyl Chitosan Hydrogel Loaded with Silver Nanoparticles Exhibited Antibacterial and Self-Healing Properties. Int. J. Biol. Macromol. 2022, 220, 211–222. [Google Scholar] [CrossRef]
- Pakornpadungsit, P.; Prasopdee, T.; Swainson, N.M.; Chworos, A.; Smitthipong, W. DNA:Chitosan Complex, Known as a Drug Delivery System, Can Create a Porous Scaffold. Polym. Test. 2020, 83, 106333. [Google Scholar] [CrossRef]
- Hussein, M.A.M.; Grinholc, M.; Dena, A.S.A.; El-Sherbiny, I.M.; Megahed, M. Boosting the Antibacterial Activity of Chitosan–Gold Nanoparticles against Antibiotic–Resistant Bacteria by Punicagranatum L. Extract. Carbohydr. Polym. 2021, 256, 117498. [Google Scholar] [CrossRef] [PubMed]
- Mohamady Hussein, M.A.; Ulag, S.; Abo Dena, A.S.; Sahin, A.; Grinholc, M.; Gunduz, O.; El-Sherbiny, I.; Megahed, M. Chitosan/Gold Hybrid Nanoparticles Enriched Electrospun PVA Nanofibrous Mats for the Topical Delivery of Punica Granatum L. Extract: Synthesis, Characterization, Biocompatibility and Antibacterial Properties. Int. J. Nanomed. 2021, 16, 5133–5151. [Google Scholar] [CrossRef] [PubMed]
- Radwan-Pragłowska, J.; Janus, Ł.; Piątkowski, M.; Sierakowska, A.; Szajna, E.; Matýsek, D.; Bogdał, D. Development of Stimuli-Responsive Chitosan/ZnO NPs Transdermal Systems for Controlled Cannabidiol Delivery. Polymers 2021, 13, 211. [Google Scholar] [CrossRef] [PubMed]
- Radwan-Pragłowska, J.; Janus, Ł.; Piątkowski, M.; Sierakowska, A.; Matysek, D. ZnO Nanorods Functionalized with Chitosan Hydrogels Crosslinked with Azelaic Acid for Transdermal Drug Delivery. Colloids Surf. B 2020, 194, 111170. [Google Scholar] [CrossRef] [PubMed]
- Skalickova, S.; Loffelmann, M.; Gargulak, M.; Kepinska, M.; Docekalova, M.; Uhlirova, D.; Stankova, M.; Fernandez, C.; Milnerowicz, H.; Ruttkay-Nedecky, B.; et al. Zinc-Modified Nanotransporter of Doxorubicin for Targeted Prostate Cancer Delivery. Nanomaterials 2017, 7, 435. [Google Scholar] [CrossRef] [PubMed]
- Milosavljevic, V.; Jamroz, E.; Gagic, M.; Haddad, Y.; Michalkova, H.; Balkova, R.; Tesarova, B.; Moulick, A.; Heger, Z.; Richtera, L.; et al. Encapsulation of Doxorubicin in Furcellaran/Chitosan Nanocapsules by Layer-by-Layer Technique for Selectively Controlled Drug Delivery. Biomacromolecules 2020, 21, 418–434. [Google Scholar] [CrossRef]
- Bil, M.; Mrówka, P.; Kołbuk, D.; Święszkowski, W. Multifunctional Composite Combining Chitosan Microspheres for Drug Delivery Embedded in Shape Memory Polyester-Urethane Matrix. Compos. Sci. Technol. 2021, 201, 108481. [Google Scholar] [CrossRef]
- Chopra, L.; Chohan, J.S.; Sharma, S.; Pelc, M.; Kawala-Sterniuk, A. Multifunctional Modified Chitosan Biopolymers for Dual Applications in Biomedical and Industrial Field: Synthesis and Evaluation of Thermal, Chemical, Morphological, Structural, In Vitro Drug-Release Rate, Swelling and Metal Uptake Studies. Sensors 2022, 22, 3454. [Google Scholar] [CrossRef]
- Souto, E.B.; da Ana, R.; Souto, S.B.; Zielińska, A.; Marques, C.; Andrade, L.N.; Horbańczuk, O.K.; Atanasov, A.G.; Lucarini, M.; Durazzo, A.; et al. In Vitro Characterization, Modelling, and Antioxidant Properties of Polyphenon-60 from Green Tea in Eudragit S100-2 Chitosan Microspheres. Nutrients 2020, 12, 967. [Google Scholar] [CrossRef]
- Ji, M.; Li, J.; Wang, Y.; Li, F.; Man, J.; Li, J.; Zhang, C.; Peng, S.; Wang, S. Advances in Chitosan-Based Wound Dressings: Modifications, Fabrications, Applications and Prospects. Carbohydr. Polym. 2022, 297, 120058. [Google Scholar] [CrossRef]
- Lu, B.; Han, X.; Zou, D.; Luo, X.; Liu, L.; Wang, J.; Maitz, M.F.; Yang, P.; Huang, N.; Zhao, A. Catechol-Chitosan/Polyacrylamide Hydrogel Wound Dressing for Regulating Local Inflammation. Mater. Today Bio 2022, 16, 100392. [Google Scholar] [CrossRef]
- Jafari, H.; Alimoradi, H.; Delporte, C.; Bernaerts, K.V.; Heidari, R.; Podstawczyk, D.; Niknezhad, S.V.; Shavandi, A. An Injectable, Self-Healing, 3D Printable, Double Network Co-Enzymatically Crosslinked Hydrogel Using Marine Poly- and Oligo-Saccharides for Wound Healing Application. Appl. Mater. Today 2022, 29, 101581. [Google Scholar] [CrossRef]
- Yang, W.; Fortunati, E.; Bertoglio, F.; Owczarek, J.S.; Bruni, G.; Kozanecki, M.; Kenny, J.M.; Torre, L.; Visai, L.; Puglia, D. Polyvinyl Alcohol/Chitosan Hydrogels with Enhanced Antioxidant and Antibacterial Properties Induced by Lignin Nanoparticles. Carbohydr. Polym. 2018, 181, 275–284. [Google Scholar] [CrossRef] [PubMed]
- Zagórska-Dziok, M.; Kleczkowska, P.; Olędzka, E.; Figat, R.; Sobczak, M. Poly(Chitosan-Ester-Ether-Urethane) Hydrogels as Highly Controlled Genistein Release Systems. Int. J. Mol. Sci. 2021, 22, 3339. [Google Scholar] [CrossRef] [PubMed]
- Urbanek, O.; Wysocka, A.; Nakielski, P.; Pierini, F.; Jagielska, E.; Sabała, I. Staphylococcus Aureus Specific Electrospun Wound Dressings: Influence of Immobilization Technique on Antibacterial Efficiency of Novel Enzybiotic. Pharmaceutics 2021, 13, 711. [Google Scholar] [CrossRef] [PubMed]
- Dodero, A.; Scarfi, S.; Mirata, S.; Sionkowska, A.; Vicini, S.; Alloisio, M.; Castellano, M. Effect of Crosslinking Type on the Physical-Chemical Properties and Biocompatibility of Chitosan-Based Electrospun Membranes. Polymers 2021, 13, 831. [Google Scholar] [CrossRef]
- De Barros, C.; Aranha, N.; Severino, P.; Souto, E.B.; Zielińska, A.; Lopes, A.; Rios, A.; Batain, F.; Crescencio, K.; Chaud, M.; et al. Quality by Design Approach for the Development of Liposome Carrying Ghrelin for Intranasal Administration. Pharmaceutics 2021, 13, 686. [Google Scholar] [CrossRef]
- Ahmad, A.; Gulraiz, Y.; Ilyas, S.; Bashir, S. Polysaccharide Based Nano Materials: Health Implications. Food Hydrocoll. Health 2022, 2, 100075. [Google Scholar] [CrossRef]
- Wróblewska, K.B.; Milanowski, B.; Kucińska, M.; Plewa, S.; Długaszewska, J.; Muszalska-Kolos, I. Novel Formulation of Eye Drops Containing Choline Salicylate and Hyaluronic Acid: Stability, Permeability, and Cytotoxicity Studies Using Alternative Ex Vivo and In Vitro Models. Pharmaceuticals 2021, 14, 849. [Google Scholar] [CrossRef]
- Szumała, P.; Jungnickel, C.; Kozłowska-Tylingo, K.; Jacyna, B.; Cal, K. Transdermal Transport of Collagen and Hyaluronic Acid Using Water in Oil Microemulsion. Int. J. Pharm. 2019, 572, 118738. [Google Scholar] [CrossRef]
- Kupper, S.; Kłosowska-Chomiczewska, I.; Szumała, P. Collagen and Hyaluronic Acid Hydrogel in Water-in-Oil Microemulsion Delivery Systems. Carbohydr. Polym. 2017, 175, 347–354. [Google Scholar] [CrossRef]
- Koroniak-Szejn, K.; Tomaszewska, J.; Grajewski, J.; Koroniak, H. Long Chain Alkyl and Fluoroalkyl Glucose and Glucosamine Derivatives as Hyaluronic Acid Subunits—Scaffolds for Drug Delivery. J. Fluor. Chem. 2019, 219, 98–105. [Google Scholar] [CrossRef]
- Achour, A.; Arman, A.; Islam, M.; Zavarian, A.A.; Basim Al-Zubaidi, A.; Szade, J. Synthesis and Characterization of Porous CaCO3 Micro/Nano-Particles. Eur. Phys. J. Plus 2017, 132, 267. [Google Scholar] [CrossRef]
- Essa, M.L.; Elashkar, A.A.; Hanafy, N.A.N.; Saied, E.M.; El-Kemary, M. Dual Targeting Nanoparticles Based on Hyaluronic and Folic Acids as a Promising Delivery System of the Encapsulated 4-Methylumbelliferone (4-MU) against Invasiveness of Lung Cancer in Vivo and in Vitro. Int. J. Biol. Macromol. 2022, 206, 467–480. [Google Scholar] [CrossRef]
- del Castillo-Santaella, T.; Aguilera-Garrido, A.; Galisteo-González, F.; Gálvez-Ruiz, M.J.; Molina-Bolívar, J.A.; Maldonado-Valderrama, J. Hyaluronic Acid and Human/Bovine Serum Albumin Shelled Nanocapsules: Interaction with Mucins and in Vitro Digestibility of Interfacial Films. Food Chem. 2022, 383, 132330. [Google Scholar] [CrossRef] [PubMed]
- Czyzynska-Cichon, I.; Janik-Hazuka, M.; Szafraniec-Szczęsny, J.; Jasinski, K.; Węglarz, W.P.; Zapotoczny, S.; Chlopicki, S. Low Dose Curcumin Administered in Hyaluronic Acid-Based Nanocapsules Induces Hypotensive Effect in Hypertensive Rats. Int. J. Nanomed. 2021, 16, 1377–1390. [Google Scholar] [CrossRef]
- Szafraniec, J.; Błażejczyk, A.; Kus, E.; Janik, M.; Zając, G.; Wietrzyk, J.; Chlopicki, S.; Zapotoczny, S. Robust Oil-Core Nanocapsules with Hyaluronate-Based Shells as Promising Nanovehicles for Lipophilic Compounds. Nanoscale 2017, 9, 18867–18880. [Google Scholar] [CrossRef] [PubMed]
- Janik-Hazuka, M.; Szafraniec-Szczęsny, J.; Kamiński, K.; Odrobińska, J.; Zapotoczny, S. Uptake and in Vitro Anticancer Activity of Oleic Acid Delivered in Nanocapsules Stabilized by Amphiphilic Derivatives of Hyaluronic Acid and Chitosan. Int. J. Biol. Macromol. 2020, 164, 2000–2009. [Google Scholar] [CrossRef] [PubMed]
- Janik-Hazuka, M.; Kamiński, K.; Kaczor-Kamińska, M.; Szafraniec-Szczęsny, J.; Kmak, A.; Kassassir, H.; Watała, C.; Wróbel, M.; Zapotoczny, S. Hyaluronic Acid-Based Nanocapsules as Efficient Delivery Systems of Garlic Oil Active Components with Anticancer Activity. Nanomaterials 2021, 11, 1354. [Google Scholar] [CrossRef] [PubMed]
- Ivashchenko, O.; Przysiecka, Ł.; Peplińska, B.; Jarek, M.; Coy, E.; Jurga, S. Gel with Silver and Ultrasmall Iron Oxide Nanoparticles Produced with Amanita Muscaria Extract: Physicochemical Characterization, Microstructure Analysis and Anticancer Properties. Sci. Rep. 2018, 8, 13260. [Google Scholar] [CrossRef]
- Reczyńska, K.; Major, R.; Kopernik, M.; Pamuła, E.; Imbir, G.; Plutecka, H.; Bruckert, F.; Surmiak, M. Surface Modification of Polyurethane with Eptifibatide-Loaded Degradable Nanoparticles Reducing Risk of Blood Coagulation. Colloids Surf. B 2021, 201, 111624. [Google Scholar] [CrossRef]
- Bostancı, N.S.; Büyüksungur, S.; Hasirci, N.; Tezcaner, A. Potential of Pectin for Biomedical Applications: A Comprehensive Review. J. Biomater. Sci. Polym. Ed. 2022, 1866–1900. [Google Scholar] [CrossRef] [PubMed]
- Siddiqua, A.; Ranjha, N.M.; Rehman, S.; Shoukat, H.; Ramzan, N.; Sultana, H. Preparation and Characterization of Methylene Bisacrylamide Crosslinked Pectin/Acrylamide Hydrogels. Polym. Bull. 2022, 79, 7655–7677. [Google Scholar] [CrossRef]
- Wójcik-Pastuszka, D.; Mazurek, K.L.; Szumny, A.J.; Alagöz, F.; Musiał, W.S. Properties of Pectin Based Polymeric Matrices for Targeted Drug Delivery. Acta Pol. Pharm. 2017, 74, 1875–1885. [Google Scholar]
- Wójcik-Pastuszka, D.; Potempa, A.; Musiał, W. Bipolymeric Pectin Millibeads Doped with Functional Polymers as Matrices for the Controlled and Targeted Release of Mesalazine. Molecules 2020, 25, 5711. [Google Scholar] [CrossRef] [PubMed]
- Wójcik-Pastuszka, D.; Barczyszyn, K.; Musiał, W. The Influence of the Hydrophobic Polymeric Coating on 5-ASA Release from the Bipolymeric Milibeads with Amidated Pectin. Materials 2021, 14, 3924. [Google Scholar] [CrossRef]
- Douglas, T.E.L.; Dziadek, M.; Schietse, J.; Boone, M.; Declercq, H.A.; Coenye, T.; Vanhoorne, V.; Vervaet, C.; Balcaen, L.; Buchweitz, M.; et al. Pectin-Bioactive Glass Self-Gelling, Injectable Composites with High Antibacterial Activity. Carbohydr. Polym. 2019, 205, 427–436. [Google Scholar] [CrossRef]
- Prasher, P.; Sharma, M.; Singh, S.K.; Haghi, M.; MacLoughlin, R.; Chellappan, D.K.; Gupta, G.; Paudel, K.R.; Hansbro, P.M.; George Oliver, B.G.; et al. Advances and Applications of Dextran-Based Nanomaterials Targeting Inflammatory Respiratory Diseases. J. Drug Deliv. Sci. Technol. 2022, 74, 103598. [Google Scholar] [CrossRef]
- Zeng, N.; He, L.; Jiang, L.; Shan, S.; Su, H. Synthesis of Magnetic/PH Dual Responsive Dextran Hydrogels as Stimuli-Sensitive Drug Carriers. Carbohydr. Res. 2022, 520, 108632. [Google Scholar] [CrossRef]
- Zhu, S.; Yu, C.; Liu, N.; Zhao, M.; Chen, Z.; Liu, J.; Li, G.; Huang, H.; Guo, H.; Sun, T.; et al. Injectable Conductive Gelatin Methacrylate/Oxidized Dextran Hydrogel Encapsulating Umbilical Cord Mesenchymal Stem Cells for Myocardial Infarction Treatment. Bioact. Mater. 2022, 13, 119–134. [Google Scholar] [CrossRef]
- Zhang, B.; Gao, Y.; Zhang, X.; Jiang, J.; Ren, J.; Wang, S.; Hu, H.; Zhao, Y.; Chen, L.; Zhao, K.; et al. Ultra-Stable Dextran Conjugated Prodrug Micelles for Oxidative Stress and Glycometabolic Abnormality Combination Treatment of Alzheimer’s Disease. Int. J. Biol. Macromol. 2022, 203, 430–444. [Google Scholar] [CrossRef]
- Sanati, S.; Taghavi, S.; Abnous, K.; Taghdisi, S.M.; Babaei, M.; Ramezani, M.; Alibolandi, M. Fabrication of Anionic Dextran-Coated Micelles for Aptamer Targeted Delivery of Camptothecin and Survivin-ShRNA to Colon Adenocarcinoma. Gene Ther. 2022, 29, 55–68. [Google Scholar] [CrossRef]
- Liu, P.; Huang, P.; Kang, E.-T. PH-Sensitive Dextran-Based Micelles from Copper-Free Click Reaction for Antitumor Drug Delivery. Langmuir 2021, 37, 12990–12999. [Google Scholar] [CrossRef]
- Wasiak, I.; Kulikowska, A.; Janczewska, M.; Michalak, M.; Cymerman, I.A.; Nagalski, A.; Kallinger, P.; Szymanski, W.W.; Ciach, T. Dextran Nanoparticle Synthesis and Properties. PLoS ONE 2016, 11, e0146237. [Google Scholar] [CrossRef] [PubMed]
- Chernykh, M.; Zavalny, D.; Sokolova, V.; Ponomarenko, S.; Prylutska, S.; Kuziv, Y.; Chumachenko, V.; Marynin, A.; Kutsevol, N.; Epple, M.; et al. A New Water-Soluble Thermosensitive Star-Like Copolymer as a Promising Carrier of the Chemotherapeutic Drug Doxorubicin. Materials 2021, 14, 3517. [Google Scholar] [CrossRef] [PubMed]
- Gopinath, V.; Kamath, S.M.; Priyadarshini, S.; Chik, Z.; Alarfaj, A.A.; Hirad, A.H. Multifunctional Applications of Natural Polysaccharide Starch and Cellulose: An Update on Recent Advances. Biomed. Pharmacother. 2022, 146, 112492. [Google Scholar] [CrossRef] [PubMed]
- Wawro, D.; Bodek, A.; Bodek, K.H. Starch Film as a Carrier of a Model Drug Substance from the Group of Non-Steroidal Anti-Inflammatory Drugs. Fibres Text. East. Eur. 2018, 26, 102–113. [Google Scholar] [CrossRef]
- Salah, N.; Dubuquoy, L.; Carpentier, R.; Betbeder, D. Starch Nanoparticles Improve Curcumin-Induced Production of Anti-Inflammatory Cytokines in Intestinal Epithelial Cells. Int. J. Pharm. X 2022, 4, 100114. [Google Scholar] [CrossRef] [PubMed]
- Yun, L.; Li, K.; Liu, C.; Deng, L.; Li, J. Dual-Modified Starch Micelles as a Promising Nanocarrier for Doxorubicin. Int. J. Biol. Macromol. 2022, 219, 685–693. [Google Scholar] [CrossRef] [PubMed]
- Szczygieł, A.; Anger-Góra, N.; Węgierek-Ciura, K.; Mierzejewska, J.; Rossowska, J.; Goszczyński, T.; Świtalska, M.; Pajtasz-Piasecka, E. Immunomodulatory Potential of Anticancer Therapy Composed of Methotrexate Nanoconjugate and Dendritic Cell-based Vaccines in Murine Colon Carcinoma. Oncol. Rep. 2021, 45, 945–962. [Google Scholar] [CrossRef] [PubMed]
- Labus, K.; Trusek-Holownia, A.; Semba, D.; Ostrowska, J.; Tynski, P.; Bogusz, J. Biodegradable Polylactide and Thermoplastic Starch Blends as Drug Release Device—Mass Transfer Study. Polish J. Chem. Technol. 2018, 20, 75–80. [Google Scholar] [CrossRef]
- Jamróz, E.; Juszczak, L.; Kucharek, M. Investigation of the Physical Properties, Antioxidant and Antimicrobial Activity of Ternary Potato Starch-Furcellaran-Gelatin Films Incorporated with Lavender Essential Oil. Int. J. Biol. Macromol. 2018, 114, 1094–1101. [Google Scholar] [CrossRef] [PubMed]
- Marangoni Júnior, L.; Vieira, R.P.; Jamróz, E.; Anjos, C.A.R. Furcellaran: An Innovative Biopolymer in the Production of Films and Coatings. Carbohydr. Polym. 2021, 252, 117221. [Google Scholar] [CrossRef] [PubMed]
- Radfar, R.; Hosseini, H.; Farhoodi, M.; Ghasemi, I.; Średnicka-Tober, D.; Shamloo, E.; Mousavi Khaneghah, A. Optimization of Antibacterial and Mechanical Properties of an Active LDPE/Starch/Nanoclay Nanocomposite Film Incorporated with Date Palm Seed Extract Using D-Optimal Mixture Design Approach. Int. J. Biol. Macromol. 2020, 158, 790–799. [Google Scholar] [CrossRef] [PubMed]
- Kurek, M.A.; Moczkowska, M.; Pieczykolan, E.; Sobieralska, M. Barley Β-d-glucan—Modified Starch Complex as Potential Encapsulation Agent for Fish Oil. Int. J. Biol. Macromol. 2018, 120, 596–602. [Google Scholar] [CrossRef] [PubMed]
- Piosik, E.; Zaryczniak, A.; Mylkie, K.; Ziegler-Borowska, M. Probing of Interactions of Magnetite Nanoparticles Coated with Native and Aminated Starch with a DPPC Model Membrane. Int. J. Mol. Sci. 2021, 22, 5939. [Google Scholar] [CrossRef] [PubMed]
- Tsirigotis-Maniecka, M.; Gancarz, R.; Wilk, K.A. Polysaccharide Hydrogel Particles for Enhanced Delivery of Hesperidin: Fabrication, Characterization and in Vitro Evaluation. Colloids Surf. A 2017, 532, 48–56. [Google Scholar] [CrossRef]
- Rojewska, A.; Karewicz, A.; Baster, M.; Zając, M.; Wolski, K.; Kępczyński, M.; Zapotoczny, S.; Szczubiałka, K.; Nowakowska, M. Dexamethasone-Containing Bioactive Dressing for Possible Application in Post-Operative Keloid Therapy. Cellulose 2019, 26, 1895–1908. [Google Scholar] [CrossRef]
- Rojewska, A.; Karewicz, A.; Karnas, K.; Wolski, K.; Zając, M.; Kamiński, K.; Szczubiałka, K.; Zapotoczny, S.; Nowakowska, M. Pioglitazone-Loaded Nanostructured Hybrid Material for Skin Ulcer Treatment. Materials 2020, 13, 2050. [Google Scholar] [CrossRef]
- Rojewska, A.; Karewicz, A.; Boczkaja, K.; Wolski, K.; Kępczyński, M.; Zapotoczny, S.; Nowakowska, M. Modified Bionanocellulose for Bioactive Wound-Healing Dressing. Eur. Polym. J. 2017, 96, 200–209. [Google Scholar] [CrossRef]
- Nizioł, M.; Paleczny, J.; Junka, A.; Shavandi, A.; Dawiec-Liśniewska, A.; Podstawczyk, D. 3D Printing of Thermoresponsive Hydrogel Laden with an Antimicrobial Agent towards Wound Healing Applications. Bioengineering 2021, 8, 79. [Google Scholar] [CrossRef]
- Morozkina, S.; Strekalovskaya, U.; Vanina, A.; Snetkov, P.; Krasichkov, A.; Polyakova, V.; Uspenskaya, M. The Fabrication of Alginate–Carboxymethyl Cellulose-Based Composites and Drug Release Profiles. Polymers 2022, 14, 3604. [Google Scholar] [CrossRef]
- Goh, K.Y.; Ching, Y.C.; Ng, M.H.; Chuah, C.H.; Julaihi, S.B.J. Microfibrillated Cellulose-Reinforced Alginate Microbeads for Delivery of Palm-Based Vitamin E: Characterizations and in Vitro Evaluation. J. Drug Deliv. Sci. Technol. 2022, 71, 103324. [Google Scholar] [CrossRef]
- Li, Y.; Wang, C.; Luan, Y.; Liu, W.; Chen, T.; Liu, P.; Liu, Z. Preparation of pH-responsive Cellulose Nanofibril/Sodium Alginate Based Hydrogels for Drug Release. J. Appl. Polym. Sci. 2022, 139, 51647. [Google Scholar] [CrossRef]
- Pamlényi, K.; Regdon, G.; Nemes, D.; Fenyvesi, F.; Bácskay, I.; Kristó, K. Stability, Permeability and Cytotoxicity of Buccal Films in Allergy Treatment. Pharmaceutics 2022, 14, 1633. [Google Scholar] [CrossRef] [PubMed]
- Norcino, L.B.; Mendes, J.F.; de Figueiredo, J.A.; Oliveira, N.L.; Botrel, D.A.; Mattoso, L.H.C. Development of Alginate/Pectin Microcapsules by a Dual Process Combining Emulsification and Ultrasonic Gelation for Encapsulation and Controlled Release of Anthocyanins from Grapes (Vitis Labrusca L.). Food Chem. 2022, 391, 133256. [Google Scholar] [CrossRef] [PubMed]
- Rezvanian, M.; Ng, S.-F.; Alavi, T.; Ahmad, W. In-Vivo Evaluation of Alginate-Pectin Hydrogel Film Loaded with Simvastatin for Diabetic Wound Healing in Streptozotocin-Induced Diabetic Rats. Int. J. Biol. Macromol. 2021, 171, 308–319. [Google Scholar] [CrossRef] [PubMed]
- Jurišić Dukovski, B.; Mrak, L.; Winnicka, K.; Szekalska, M.; Juretić, M.; Filipović-Grčić, J.; Pepić, I.; Lovrić, J.; Hafner, A. Spray-Dried Nanoparticle-Loaded Pectin Microspheres for Dexamethasone Nasal Delivery. Dry. Technol. 2019, 37, 1915–1925. [Google Scholar] [CrossRef]
- Potaś, J.; Szymańska, E.; Wróblewska, M.; Kurowska, I.; Maciejczyk, M.; Basa, A.; Wolska, E.; Wilczewska, A.Z.; Winnicka, K. Multilayer Films Based on Chitosan/Pectin Polyelectrolyte Complexes as Novel Platforms for Buccal Administration of Clotrimazole. Pharmaceutics 2021, 13, 1588. [Google Scholar] [CrossRef]
- Nalini, T.; Basha, S.K.; Sadiq, A.M.; Kumari, V.S. Pectin/Chitosan Nanoparticle Beads as Potential Carriers for Quercetin Release. Mater. Today Commun. 2022, 33, 104172. [Google Scholar] [CrossRef]
- Puluhulawa, L.E.; Joni, I.M.; Elamin, K.M.; Mohammed, A.F.A.; Muchtaridi, M.; Wathoni, N. Chitosan–Hyaluronic Acid Nanoparticles for Active Targeting in Cancer Therapy. Polymers 2022, 14, 3410. [Google Scholar] [CrossRef]
- Maiz-Fernández, S.; Pérez-Álvarez, L.; Silván, U.; Vilas-Vilela, J.L.; Lanceros-Mendez, S. Photocrosslinkable and Self-Healable Hydrogels of Chitosan and Hyaluronic Acid. Int. J. Biol. Macromol. 2022, 216, 291–302. [Google Scholar] [CrossRef] [PubMed]
- Zhao, Y.; Liu, X.; Peng, X.; Zheng, Y.; Cheng, Z.; Sun, S.; Ding, Q.; Liu, W.; Ding, C. A Poloxamer/Hyaluronic Acid/Chitosan-Based Thermosensitive Hydrogel That Releases Dihydromyricetin to Promote Wound Healing. Int. J. Biol. Macromol. 2022, 216, 475–486. [Google Scholar] [CrossRef]
- Gilarska, A.; Lewandowska-Łańcucka, J.; Horak, W.; Nowakowska, M. Collagen/Chitosan/Hyaluronic Acid—Based Injectable Hydrogels for Tissue Engineering Applications—Design, Physicochemical and Biological Characterization. Colloids Surf. B 2018, 170, 152–162. [Google Scholar] [CrossRef] [PubMed]
- Michalska-Sionkowska, M.; Kaczmarek, B.; Walczak, M.; Sionkowska, A. Antimicrobial Activity of New Materials Based on the Blends of Collagen/Chitosan/Hyaluronic Acid with Gentamicin Sulfate Addition. Mater. Sci. Eng. C 2018, 86, 103–108. [Google Scholar] [CrossRef] [PubMed]
- Sionkowska, A.; Michalska-Sionkowska, M.; Walczak, M. Preparation and Characterization of Collagen/Hyaluronic Acid/Chitosan Film Crosslinked with Dialdehyde Starch. Int. J. Biol. Macromol. 2020, 149, 290–295. [Google Scholar] [CrossRef]
- Kaczmarek, B.; Sionkowska, A.; Osyczka, A.M. The Application of Chitosan/Collagen/Hyaluronic Acid Sponge Cross-Linked by Dialdehyde Starch Addition as a Matrix for Calcium Phosphate in Situ Precipitation. Int. J. Biol. Macromol. 2018, 107, 470–477. [Google Scholar] [CrossRef] [PubMed]
- Kaczmarek, B.; Sionkowska, A.; Kozlowska, J.; Osyczka, A.M. New Composite Materials Prepared by Calcium Phosphate Precipitation in Chitosan/Collagen/Hyaluronic Acid Sponge Cross-Linked by EDC/NHS. Int. J. Biol. Macromol. 2018, 107, 247–253. [Google Scholar] [CrossRef]
- Sun, L.; Nie, X.; Lu, W.; Zhang, Q.; Fang, W.; Gao, S.; Chen, S.; Hu, R. Mucus-Penetrating Alginate-Chitosan Nanoparticles Loaded with Berberine Hydrochloride for Oral Delivery to the Inflammation Site of Ulcerative Colitis. AAPS Pharm. Sci. Tech. 2022, 23, 179. [Google Scholar] [CrossRef] [PubMed]
- Tran, P.; Park, J.-S. Alginate-Coated Chitosan Nanoparticles Protect Protein Drugs from Acid Degradation in Gastric Media. J. Pharm. Investig. 2022, 52, 465–476. [Google Scholar] [CrossRef]
- Waqas, M.K.; Safdar, S.; Buabeid, M.; Ashames, A.; Akhtar, M.; Murtaza, G. Alginate-Coated Chitosan Nanoparticles for PH-Dependent Release of Tamoxifen Citrate. J. Exp. Nanosci. 2022, 17, 522–534. [Google Scholar] [CrossRef]
- Son Phan, K.; Thu Huong Le, T.; Minh Nguyen, T.; Thu Trang Mai, T.; Ha Hoang, P.; Thang To, X.; Trung Nguyen, T.; Dang Pham, K.; Thu Ha, P. Co-delivery of Doxycycline, Florfenicol and Silver Nanoparticles Using Alginate/Chitosan Nanocarriers. ChemistrySelect 2022, 7, e202201954. [Google Scholar] [CrossRef]
- Zhang, C.; Wang, X.; Xiao, M.; Ma, J.; Qu, Y.; Zou, L.; Zhang, J. Nano-in-Micro Alginate/Chitosan Hydrogel via Electrospray Technology for Orally Curcumin Delivery to Effectively Alleviate Ulcerative Colitis. Mater. Design 2022, 221, 110894. [Google Scholar] [CrossRef]
- Hoang, H.T.; Vu, T.T.; Karthika, V.; Jo, S.-H.; Jo, Y.-J.; Seo, J.-W.; Oh, C.-W.; Park, S.-H.; Lim, K.T. Dual Cross-Linked Chitosan/Alginate Hydrogels Prepared by Nb-Tz ‘Click’ Reaction for PH Responsive Drug Delivery. Carbohydr. Polym. 2022, 288, 119389. [Google Scholar] [CrossRef] [PubMed]
- Frenț, O.D.; Duteanu, N.; Teusdea, A.C.; Ciocan, S.; Vicaș, L.; Jurca, T.; Muresan, M.; Pallag, A.; Ianasi, P.; Marian, E. Preparation and Characterization of Chitosan-Alginate Microspheres Loaded with Quercetin. Polymers 2022, 14, 490. [Google Scholar] [CrossRef] [PubMed]
- Gierszewska, M.; Ostrowska-Czubenko, J.; Chrzanowska, E. PH-Responsive Chitosan/Alginate Polyelectrolyte Complex Membranes Reinforced by Tripolyphosphate. Eur. Polym. J. 2018, 101, 282–290. [Google Scholar] [CrossRef]
- Hamed, S.F.; Hashim, A.F.; Abdel Hamid, H.A.; Abd-Elsalam, K.A.; Golonka, I.; Musiał, W.; El-Sherbiny, I.M. Edible Alginate/Chitosan-Based Nanocomposite Microspheres as Delivery Vehicles of Omega-3 Rich Oils. Carbohydr. Polym. 2020, 239, 116201. [Google Scholar] [CrossRef]
- Tsirigotis-Maniecka, M.; Szyk-Warszyńska, L.; Michna, A.; Warszyński, P.; Wilk, K.A. Colloidal Characteristics and Functionality of Rationally Designed Esculin-Loaded Hydrogel Microcapsules. J. Colloid Interface Sci. 2018, 530, 444–458. [Google Scholar] [CrossRef]
- Tsirigotis-Maniecka, M.; Szyk-Warszyńska, L.; Maniecki, Ł.; Szczęsna, W.; Warszyński, P.; Wilk, K.A. Tailoring the Composition of Hydrogel Particles for the Controlled Delivery of Phytopharmaceuticals. Eur. Polym. J. 2021, 151, 110429. [Google Scholar] [CrossRef]
- Kramek-Romanowska, K.; Odziomek, M.; Sosnowski, T.R. Dynamic Tensiometry Studies on Interactions of Novel Therapeutic Inhalable Powders with Model Pulmonary Surfactant at the Air–Water Interface. Colloids Surf. A 2015, 480, 149–158. [Google Scholar] [CrossRef]










| Name | Structure | Charge | Origin |
|---|---|---|---|
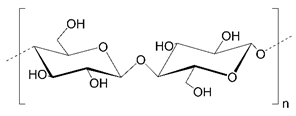
| Alginate (ALG) | ![]() | negative | algae |
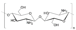
| Chitosan (CS) | ![]() | positive | animals |
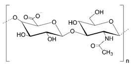
| Hyaluronic acid (HA) | ![]() | negative | animals |
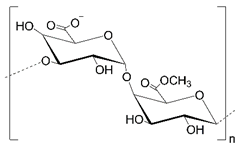
| Pectin (PC) | ![]() | negative | plants |
| Dextran (DX) | ![]() | neutral | microorganisms |
| Starch (ST) | ![]() | neutral | plants |
| Cellulose (CL) | ![]() | neutral * | plants |
| Delivery Route | Polysaccharide | Formulation | Active Agent | Reference |
|---|---|---|---|---|
| oral | ALG | films | posaconazole | [24] |
| ALG | micelles | murcumin | [27] | |
| ALG | nanogels | gadolinium | [40] | |
| CS | nanoparticles | cisplatin | [67] | |
| CS | nanoparticles | doxorubicin | [98] | |
| CS | microspheres | polyphenon-60 | [102] | |
| HA | nanocapsules | garlic oil | [122] | |
| PC | milibeads | mesalazine | [128] | |
| ST | films | doxorubicin | [144] | |
| CL, ALG | hydrogel | hesperidin | [150] | |
| CS, PC | films | clotrimazole | [162] | |
| CS, HA | nanocapsules | oleic acid | [121] | |
| CS, ALG | microspheres | omega-3 oil | [180] | |
| ocular | HA | drops | choline salicylate | [112] |
| nasal | ALG, PC | powder | dexamethasone | [161] |
| vaginal/anal | CS | powder | Chelidonii H. | [65] |
| CS | microparticles | Zidovudine | [74] | |
| CS | tablets | fluconazole | [75] | |
| transdermal | ALG | hydrogel | cymaroside | [21] |
| ALG | membrane | gentamicin | [22] | |
| ALG | nanocapsules | ebselen | [38] | |
| CS | powder | clotrimazole | [58] | |
| CS | hydrogel | Calendulae flos | [77] | |
| CS | nanoparticles | cannabidiol | [96] | |
| CS | nanorods | azelaic acid | [97] | |
| CS | hydrogel | genistein | [107] | |
| CL, ALG, CS | microparticles | dexamethasone | [151] | |
| CL, ALG | hydrogel | 2-phenoxyethanol | [154] | |
| CS, HA | films | gentamicin | [168] | |
| pulmonary | DX | powder | cromoglycate | [183] |
| parenteral | PC | hydrogel | bioactive glass | [130] |
| CS, HA | hydrogel | genipin | [167] |
Publisher’s Note: MDPI stays neutral with regard to jurisdictional claims in published maps and institutional affiliations. |
© 2022 by the author. Licensee MDPI, Basel, Switzerland. This article is an open access article distributed under the terms and conditions of the Creative Commons Attribution (CC BY) license (https://creativecommons.org/licenses/by/4.0/).
Share and Cite
Kurczewska, J. Recent Reports on Polysaccharide-Based Materials for Drug Delivery. Polymers 2022, 14, 4189. https://doi.org/10.3390/polym14194189
Kurczewska J. Recent Reports on Polysaccharide-Based Materials for Drug Delivery. Polymers. 2022; 14(19):4189. https://doi.org/10.3390/polym14194189
Chicago/Turabian StyleKurczewska, Joanna. 2022. "Recent Reports on Polysaccharide-Based Materials for Drug Delivery" Polymers 14, no. 19: 4189. https://doi.org/10.3390/polym14194189
APA StyleKurczewska, J. (2022). Recent Reports on Polysaccharide-Based Materials for Drug Delivery. Polymers, 14(19), 4189. https://doi.org/10.3390/polym14194189








