Multifunctional Silica-Based Amphiphilic Block Copolymer Hybrid for Cu(II) and Sodium Oleate Adsorption in Beneficiation Wastewater
Abstract
1. Introduction
2. Materials and Methods
2.1. Materials
2.2. Preparation of Silica Initiator SiO2–Br
2.3. Preparation of SiO2–g–PBMA–b–PDMAEMA Hybrid by SI-ATRP
2.4. Characterization of Initiator and Hybrids
2.5. Adsorption Kinetics
2.6. Adsorption Isotherms
2.7. Recovery Experiments
2.8. Multicomponent Adsorption
3. Results and Discussion
3.1. Adsorbent Characterizations
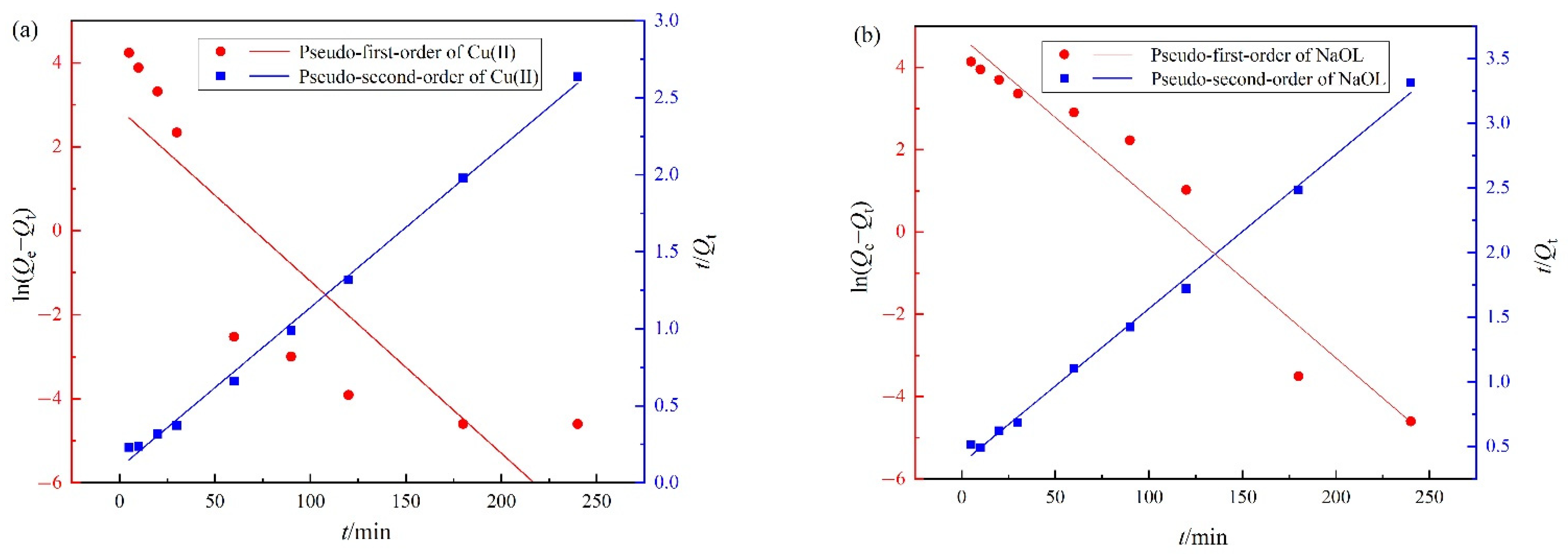
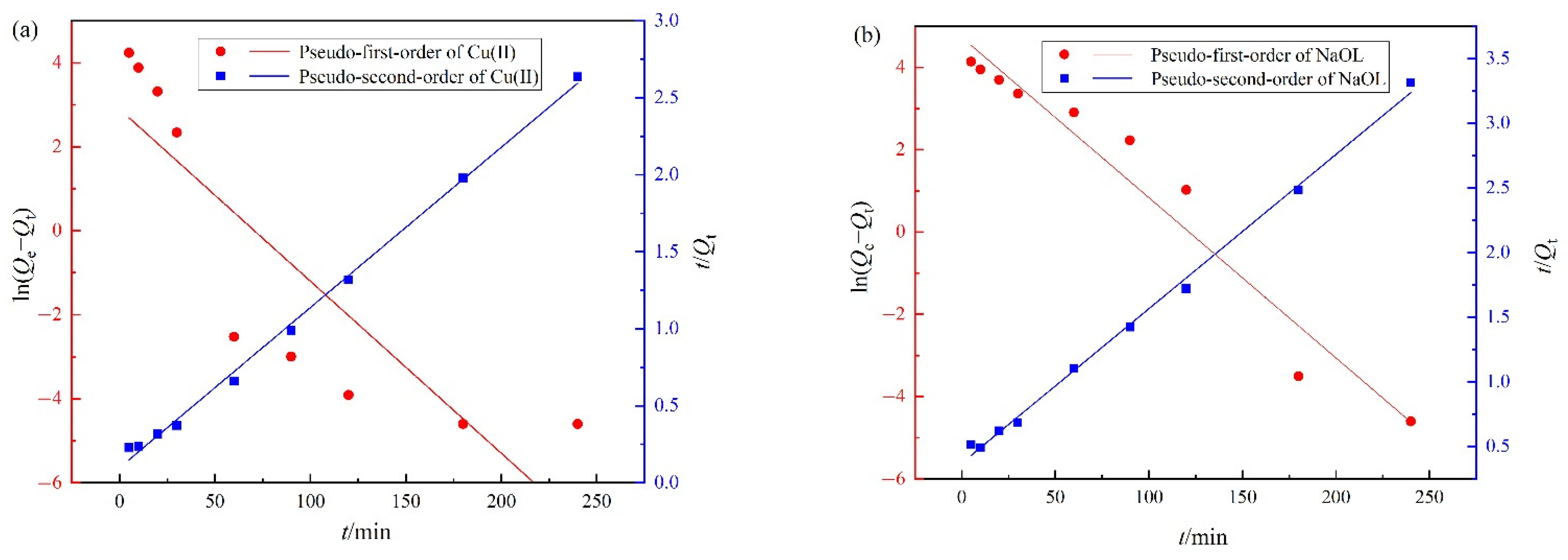
3.2. Adsorption Kinetics
3.3. Adsorption Isotherms
3.4. Adsorption Mechanism
3.5. Practicability Assessment
4. Conclusions
- (1)
- SiO2–g–PBMA–b–PDMAEMA was prepared as expected. FTIR and 1H NMR directly proved the chemical structure of SiO2–g–PBMA–b–PDMAEMA. TGA illustrated that the grafting percentage of PBMA–b–PDMAEMA was 83.55% and the content of SiO2 was 10.17%. GPC demonstrated a desired molecular weight of 18,541 g·mol−1. TEM also proved the grafting of PBMA–b–PDMAEMA chains. XRD was used to confirm an amorphous structure. Nitrogen adsorption–desorption isotherms exhibited a specific surface area of 79.89 m2·g−1, a pore volume of 0.26 cm3·g−1 and an average mesoporous diameter of 36.38 nm;
- (2)
- The effect of hydrophobic chains was investigated. Compared with SiO2–g–PDMAEMA, the introduction of a small amount of PBMA did not noticeably affect the adsorption of Cu(II) on SiO2–g–PBMA–b–PDMAEMA, but could greatly increase the adsorption of sodium oleate on SiO2–g–PBMA–b–PDMAEMA (72.47 mg·g−1 with a removal efficiency of 72.47%), which was 1.374 times that of sodium oleate on SiO2–g–PDMAEMA (52.74 mg·g−1);
- (3)
- Adsorption kinetics showed that the adsorption of Cu(II) and sodium oleate on SiO2–g–PBMA–b–PDMAEMA fitted the pseudo-second-order model well, indicating that the adsorption rates were controlled by the chemical process;
- (4)
- Adsorption isotherms of Cu(II) on SiO2–g–PBMA–b–PDMAEMA were better described by the Langmuir adsorption isotherm model, indicating that Cu(II) was mainly adsorbed by the monolayer. Adsorption isotherms of sodium oleate on SiO2–g–PBMA–b–PDMAEMA were better described by the Freundlich adsorption isotherm model, indicating the multilayered adsorption of sodium oleate on a heterogeneous surface. The maximum adsorption capacity of Cu(II) and sodium oleate calculated by the Langmuir adsorption isotherm equation reached 448.43 mg·g−1 and 129.03 mg·g−1, respectively;
- (5)
- The adsorption mechanism was investigated. Combining FTIR, adsorption kinetics and adsorption isotherm analysis, chelation and complexation were considered as the main driving forces of Cu(II) adsorption on SiO2–g–PBMA–b–PDMAEMA. The van der Waals force as well as weak hydrogen bonding were considered as the main driving forces of sodium oleate adsorption on SiO2–g–PBMA–b–PDMAEMA;
- (6)
- The practical value of the adsorbent was evaluated. SiO2–g–PBMA–b–PDMAEMA was recyclable with a 88.58% adsorption capacity for Cu(II) and a 94.67% adsorption capacity for sodium oleate after three cycles, and the adsorbent showed excellent multicomponent adsorption for Cu(II) and sodium oleate in the mixed solution.
Supplementary Materials
Author Contributions
Funding
Institutional Review Board Statement
Informed Consent Statement
Data Availability Statement
Conflicts of Interest
References
- Florea, R.M.; Stoica, A.I.; Baiulescu, G.E.; Capotă, P. Water pollution in gold mining industry: A case study in Roia Montan district, Romania. Environ. Geol. 2005, 48, 1132–1136. [Google Scholar] [CrossRef]
- Jabłońska-Czapla, M.; Nocoń, K.; Szopa, S.; Łyko, A. Impact of the Pb and Zn ore mining industry on the pollution of the Biała Przemsza River, Poland. Environ. Monit. Assess. 2016, 188, 262. [Google Scholar] [CrossRef] [PubMed]
- Ali, I.; Gupta, V.K. Advances in water treatment by adsorption technology. Nat. Protoc. 2006, 1, 2661–2667. [Google Scholar] [CrossRef]
- Demirbas, A. Heavy metal adsorption onto agro-based waste materials: A review. J. Hazard. Mater. 2008, 157, 220–229. [Google Scholar] [CrossRef] [PubMed]
- Benavente, M.; Moreno, L.; Martinez, J. Sorption of heavy metals from gold mining wastewater using chitosan. J. Taiwan. Inst. Chem. E 2011, 42, 976–988. [Google Scholar] [CrossRef]
- Nguyen, H.T.H.; Nguyen, B.; Duong, T.T.; Bui, A.T.K.; Nguyen, H.T.A.; Cao, T.H.; Mai, N.T.; Nguyen, K.M.; Pham, T.T.; Kim, K.-W. Pilot-scale removal of arsenic and heavy metals from mining wastewater using adsorption combined with constructed wetland. Minerals 2019, 9, 379. [Google Scholar] [CrossRef]
- Ören, A.H.; Kaya, A. Factors affecting adsorption characteristics of Zn2+ on two natural zeolites. J. Hazard. Mater. 2006, 131, 59–65. [Google Scholar] [CrossRef] [PubMed]
- Rolland, N.; Larocque, I. The efficiency of kerosene flotation for extraction of chironomid head capsules from lake sediments samples. J. Paleolimnol. 2007, 37, 565–572. [Google Scholar] [CrossRef]
- Tan, Y.; Chen, T.; Zheng, S.; Sun, Z.; Li, C. Adsorptive and photocatalytic behaviour of PANI/TiO2/metakaolin composites for the removal of xanthate from aqueous solution. Miner. Eng. 2021, 171, 107129. [Google Scholar] [CrossRef]
- Lin, W.; Tian, J.; Ren, J.; Xu, P.; Dai, Y.; Sun, S.; Wu, C. Oxidation of aniline aerofloat in flotation wastewater by sodium hypochlorite solution. Environ. Sci. Pollut. R. 2016, 23, 785–792. [Google Scholar] [CrossRef]
- Xue, J.; Zhong, H.; Wang, S. Removal of sodium oleate from synthetic manganese leaching solution by coagulation-dissolved air flotation. J. Environ. Manag. 2019, 247, 1–8. [Google Scholar] [CrossRef] [PubMed]
- Ashkenazi, D.; Taxel, I.; Tal, O. Archeometallurgical characterization of Late Roman- and Byzantine-period Samaritan magical objects and jewelry made of copper alloys. Mater. Charact. 2015, 102, 195–208. [Google Scholar] [CrossRef]
- Unger, N.; Gough, O. Life cycle considerations about optic fibre cable and copper cable systems: A case study. J. Clean. Prod. 2007, 16, 1517–1525. [Google Scholar] [CrossRef]
- Zhou, Y.Y.; Zhang, F.F.; Tang, L.; Zhang, J.C.; Zeng, G.M.; Luo, L.; Liu, Y.Y.; Wang, P.; Peng, B.; Liu, X.C. Simultaneous removal of atrazine and copper using polyacrylic acid-functionalized magnetic ordered mesoporous carbon from water: Adsorption mechanism. Sci. Rep. 2017, 7, 43831. [Google Scholar] [CrossRef] [PubMed]
- Li, Z.; Rao, F.; García, R.E.; Li, H.; Song, S. Partial replacement of sodium oleate using alcohols with different chain structures in malachite flotation. Miner. Eng. 2018, 127, 185–190. [Google Scholar] [CrossRef]
- Makuei, F.; Tadesse, B.; Albijanic, B.; Browner, R. Electroflotation of ultrafine chalcopyrite particles with sodium oleate collector. Miner. Eng. 2018, 120, 44–46. [Google Scholar] [CrossRef]
- Sindu, P.A.; Gautam, P. Studies on the biofilm produced by Pseudomonas aeruginosa grown in different metal fatty acid salt media and its application in biodegradation of fatty acids and bioremediation of heavy metal ions. Can. J. Microbiol. 2017, 63, 61–73. [Google Scholar] [CrossRef]
- Onundi, Y.B.; Mamun, A.A.; Khatib, M.F.A.; Ahmed, Y.M. Adsorption of copper, nickel and lead ions from synthetic semiconductor industrial wastewater by palm shell activated carbon. Int. J. Environ. Sci. Tech. 2010, 7, 751–758. [Google Scholar] [CrossRef]
- Dichiara, A.B.; Webber, M.R.; Gorman, W.R.; Rogers, R.E. Removal of Copper Ions from Aqueous Solutions via Adsorption on Carbon Nanocomposites. ACS Appl. Mater. Interfaces. 2015, 7, 15674–15680. [Google Scholar] [CrossRef]
- Zhang, Z.; Liu, H.; Wu, L.; Lan, H.; Qu, J. Preparation of amino-Fe(III) functionalized mesoporous silica for synergistic adsorption of tetracycline and copper. Chemosphere 2015, 138, 625–632. [Google Scholar] [CrossRef]
- Motsi, T.; Rowson, N.A.; Simmons, M.J.H. Adsorption of heavy metals from acid mine drainage by natural zeolite. Int. J. Miner. Process. 2009, 92, 42–48. [Google Scholar] [CrossRef]
- Qureshi, F.; Memon, S.Q.; Khuhawar, M.Y.; Jahangir, T.M. Removal of Co2+, Cu2+ and Au3+ ions from contaminated wastewater by using new fluorescent and antibacterial polymer as sorbent. Polym. Bull. 2021, 78, 1505–1533. [Google Scholar] [CrossRef]
- Wang, Y.; Zhang, X.; Wang, Q.; Zhang, B.; Liu, J. Continuous fixed bed adsorption of Cu(II) by halloysite nanotube-alginate hybrid beads: An experimental and modelling study. Water. Sci. Technol. 2014, 70, 192–199. [Google Scholar] [CrossRef]
- Ren, R.; Zhang, Q.; Shi, Q.; Li, C.; Wang, X.; Meng, Y. Sodium oleate adsorption by modified Ca-montmorillonite under acid condition. Chin. J. Environ. Eng. 2015, 9, 4273–4280. (In Chinese) [Google Scholar]
- Jia, Z.; Liu, Z.; Song, Y.; Fan, X. Adsorption of sodium oleate in mineral processing wastewater by zr modified phosphogypsum/fly ash composite. Mater. Rep. 2020, 34, 07015–07019. (In Chinese) [Google Scholar]
- Moon, J.K.; Kim, K.W.; Jung, C.H.; Shul, Y.G.; Lee, E.H. Preparation of Organic-Inorganic Composite Adsorbent Beads for Removal of Radionuclides and Heavy Metal Ions. J. Radioanal. Nucl. Ch. 2000, 246, 299–307. [Google Scholar] [CrossRef]
- Meyer, T.; Prause, S.; Spange, S.; Friedrich, M. Selective ion pair adsorption of cobalt and copper salts on cationically produced poly(1,3-divinylimidazolid-2-one)/silica hybrid particles. J. Colloid. Interface. Sci. 2001, 236, 335–342. [Google Scholar] [CrossRef]
- Samiey, B.; Cheng, C.H.; Wu, J. Organic-inorganic hybrid polymers as adsorbents for removal of heavy metal ions from solutions: A review. Materials 2014, 7, 673–726. [Google Scholar] [CrossRef]
- Gao, B.; Chen, Y.; Zhang, Z. Preparation of functional composite grafted particles PDMAEMA/SiO2 and preliminarily study on functionality. Appl. Surf. Sci. 2010, 257, 254–260. [Google Scholar] [CrossRef]
- Zhou, W.; Liu, H.; Ye, H.; Cui, H.; Wang, R.; Li, J.; Zhang, X. Synthesis and adsorption behaviors of poly(2-(dimethylamino)ethyl methacrylate) brushes on silica particles by surface-initiated atom transfer radical polymerization. Powder. Technol. 2013, 249, 1–6. [Google Scholar] [CrossRef]
- Wang, J.; Zheng, Y.; Kang, Y.; Wang, A. Investigation of oil sorption capability of PBMA/SiO2 coated kapok fiber. Chem. Eng. J. 2013, 223, 632–637. [Google Scholar] [CrossRef]
- Pan, A.Z.; He, L. Fabrication pentablock copolymer/silica hybrids as self-assembly coatings. J. Colloid Interface Sci. 2014, 414, 1–8. [Google Scholar] [CrossRef] [PubMed]
- Qu, J.; Yang, Q.; Gong, W.; Li, M.; Cao, B. Simultaneous removal of Cr(VI) and phenol from water using silica-di-block polymer hybrids: Adsorption kinetics and thermodynamics. Polymers 2022, 14, 2894. [Google Scholar] [CrossRef] [PubMed]
- Konggidinata, M.I.; Chao, B.; Lian, Q.; Subramaniam, R.; Zappi, M.; Gang, D.D. Equilibrium, kinetic and thermodynamic studies for adsorption of BTEX onto Ordered Mesoporous Carbon (OMC). J. Hazard. Mater. 2017, 336, 249–259. [Google Scholar] [CrossRef] [PubMed]
- Ezzeddine, Z.; Batonneau-Gener, I.; Pouilloux, Y.; Hamad, H.; Saad, Z. The applicability of as synthesized mesoporous carbon CMK-3 as a heavy metals adsorbent: Application to real water samples. Energ. Source. Part. A 2021, 43, 1675–1690. [Google Scholar] [CrossRef]
- Piroonpan, T.; Huajaikaew, E.; Katemake, P.; Pasanphan, W. Surface modification of SiO2 nanoparticles with PDMAEMA brushes and Ag nanoparticles as antifungal coatings using electron beam assisted synthesis. Mater. Chem. Phys. 2020, 253, 123438. [Google Scholar] [CrossRef]
- Arunkumar, R.; Babu, R.S.; Rani, M.U. Investigation on Al2O3 doped PVC–PBMA blend polymer electrolytes. J. Mater. Sci. Mater. Electron. 2017, 28, 3309–3316. [Google Scholar] [CrossRef]
- Suhailath, K.; Ramesan, M.T. Theoretical and experimental studies on DC conductivity and temperaturedependent AC conductivity of poly(butyl methacrylate)/Nd-TiO2 nanocomposites. J. Thermoplast. Compos. 2020, 33, 1061–1077. [Google Scholar] [CrossRef]
- Kumar, K.; Mogha, N.K.; Yadav, R.; Venkatesu, P. Insulin-induced conformational transition of fluorescent copolymer: A perspective of self-assembly between protein and micellar solution of smart copolymer. Phys. Chem. Chem. Phys. 2020, 22, 9573–9586. [Google Scholar] [CrossRef]
- Liu, Y.; Huo, R.; Qin, H.; Li, X.; Wei, D.; Zeng, T. Overcharge investigation of degradations and behaviors of large format lithium ion battery with Li(Ni0.6Co0.2Mn0.2)O2 cathode. J. Energy. Storage. 2020, 31, 101643. [Google Scholar] [CrossRef]
- Pavan, F.A.; Costa, T.M.H.; Benvenutti, E.V. Adsorption of CoCl2, ZnCl2 and CdCl2 on aniline/silica hybrid material obtained by sol–gel method. Colloids Surface A 2003, 226, 95–100. [Google Scholar] [CrossRef]
- Liang, X.; Xu, Y.; Sun, G.; Wang, L.; Sun, Y.; Qin, X. Preparation, characterization of thiol-functionalized silica and application for sorption of Pb2+ and Cd2+. Colloids Surface A 2009, 349, 61–68. [Google Scholar] [CrossRef]
- Zeng, G.M.; Liu, Y.Y.; Tang, L.; Yang, G.D.; Pang, Y.; Zhang, Y.; Zhou, Y.Y.; Li, Z.; Li, M.Y.; Lai, M.Y.; et al. Enhancement of Cd(II) adsorption by polyacrylic acid modified magnetic mesoporous carbon. Chem. Eng. J. 2015, 259, 153–160. [Google Scholar] [CrossRef]
- Yang, F.J.; Ma, C.H.; Yang, L.; Zhao, C.J.; Zhang, Y.; Zu, Y.G. Enrichment and purification of deoxyschizandrin and γ-schizandrin from the extract of schisandra chinensis fruit by macroporous resins. Molecules 2012, 17, 3510–3523. [Google Scholar] [CrossRef] [PubMed]
- Malakootian, M.; Mansoorian, H.J.; Yari, A.R. Removal of reactive dyes from aqueous solutions by a non-conventional and low cost agricultural waste: Adsorption on ash of Aloe Vera plant. Iran. J. Health Saf. Environ. 2014, 1, 117–125. [Google Scholar]
- O’Keeffe, M. Infrared optical properties of cuprous oxide. J. Chem. Phys. 1963, 39, 1789–1793. [Google Scholar] [CrossRef]
- Desiraju, G.R. C–H⋯O and other weak hydrogen bonds. From crystal engineering to virtual screening. Chem. Commun. 2005, 24, 2995–3001. [Google Scholar] [CrossRef]
- Takahashi, O.; Kohno, Y.; Nishio, M. Relevance of weak hydrogen bonds in the conformation of organic compounds and bioconjugates: Evidence from recent experimental data and high-level ab initio MO calculations. Chem. Rev. 2010, 110, 6049–6076. [Google Scholar] [CrossRef]
- Sun, Y.F.; Liu, Y.; Yang, Y.; Li, J.J. Enhancing adsorption of Pb (II) and Cu (II) ions onto chitosan using tri-sodium citrate and epichlorohydrin as cross-linkers. Desalin. Water. Treat. 2014, 52, 6430–6439. [Google Scholar] [CrossRef]
- Guivar, J.A.R.; Sadrollahi, E.; Menzel, D.; Fernandes, E.; López, E.O.; Torres, M.A.M.; Arsuaga, J.M.; Arencibia, A.; Litterst, F.J. Magnetic, structural and surface properties of functionalized maghemite nanoparticles for copper and lead adsorption. RSC Adv. 2017, 7, 28763–28779. [Google Scholar] [CrossRef]
- Gurgel, L.V.A.; Gil, L.F. Adsorption of Cu(II), Cd(II), and Pb(II) from aqueous single metal solutions by succinylated mercerized cellulose modified with triethylenetetramine. Carbohydr. Polym. 2009, 77, 142–149. [Google Scholar] [CrossRef]
- Shen, W.; Chen, S.; Shi, S.; Li, X.; Zhang, X.; Hu, W.; Wang, H. Adsorption of Cu(II) and Pb(II) onto diethylenetriamine-bacterial cellulose. Carbohydr. Polym. 2009, 75, 110–114. [Google Scholar] [CrossRef]
- Li, W.; Zhang, L.; Hu, D.; Yang, R.; Zhang, J.; Guan, Y.; Lv, F.; Gao, H. A mesoporous nanocellulose/sodium alginate/carboxymethyl-chitosan gel beads for efficient adsorption of Cu2+ and Pb2+. Int. J. Biol. Macromol. 2021, 187, 922–930. [Google Scholar] [CrossRef] [PubMed]
- He, J.; Li, Y.; Wang, C.; Zhang, K.; Lin, D.; Kong, L.; Liu, J. Rapid adsorption of Pb, Cu and Cd from aqueous solutions by beta-cyclodextrin polymers. Appl. Surf. Sci. 2017, 426, 29–39. [Google Scholar] [CrossRef]












| Materials | Abbreviations | Purity | Purification Methods | Suppliers |
|---|---|---|---|---|
| Nano-silica | SiO2 | >99%wt, a mean particle diameter of 20 nm and a specific surface area of 120 m2·g−1 | Hai Tai Nano (Nanjing, China) | |
| (3-Aminopropyl) triethoxysilane | APTES | 99% | Aladdin (Shanghai, China) | |
| 2-Bromoisobutyrylbromide | BiBB | 98% | Aladdin | |
| Sodium hydroxide | NaOH | 97% | Aladdin | |
| Calcium hydride | CaH2 | 95% | Aladdin | |
| Triethylamine | TEA | 99% | dried over CaH2 and distilled under reduced pressure | Aladdin |
| Butyl methacrylate | BMA | 99% | rinsed with 5 wt % NaOH and dried over CaH2 | Aladdin |
| 2-(Dimethylamino)ethylmethacrylate | DMAEMA | 99% | dried over CaH2 and distilled under reduced pressure | Aladdin |
| Tetrahydrofuran | THF | 99% | dried over CaH2 and distilled under reduced pressure | Aladdin |
| Cyclohexanone | CYC | 99.5% | dried over CaH2 and distilled under reduced pressure | Aladdin |
| Cuprous chloride | CuCl | 97% | [32] | Aladdin |
| Copper chloride | CuCl2 | 98% | Aladdin | |
| N,N,N′,N′,N″-Pentamethyldiethylenetriamine | PMDETA | 99% | Aladdin | |
| Ethyl α-bromoisobutyrate | EBiB | 98% | Aladdin | |
| Hydrofluoric acid | HF | 40% | Aladdin | |
| Ethanol | 99.5% | Aladdin | ||
| Sodium oleate | NaOL | 97% | Aladdin | |
| Copper(II) sulfate pentahydrate | CuSO4·5H2O, | 99% | Chengdu Kelong Chemical Co., Ltd. (Chengdu, China) | |
| Nitric acid | HNO3 | 68% | Foshan Huaxisheng Chemical Co., Ltd. (Foshan, China) |
| Sample | SiO2–Br /mmol | EBiB /mmol | BMA /mmol | DMAEMA /mmol | CuCl /mmol | CuCl2 /mmol | PMDETA /mmol | Cyclohexanone /g |
|---|---|---|---|---|---|---|---|---|
| SiO2–g–PBMA–b–PDMAEMA | 0.73 | 21.90 | 109.50 | 0.73 | 0.073 | 0.73 | 32.31 | |
| SiO2–g–PDMAEMA | 0.73 | 131.40 | 0.73 | 0.073 | 0.73 | 32.80 | ||
| EBiB–g–PBMA–b–PDMAEMA | 0.73 | 21.90 | 109.50 | 0.73 | 0.073 | 0.73 | 31.00 |
| Systems | Qe,exp /mg·g−1 | Pseudo-First-Order | Pseudo-Second-Order | ||||
|---|---|---|---|---|---|---|---|
| Qe,cal /mg·g−1 | k1 /min−1 | R2 | Qe,cal /mg·g−1 | k2 /g·mg−1·min−1 | R2 | ||
| Cu(II) | 91.02 | 18.10 | 0.0410 | 0.7236 | 96.06 | 0.0011 | 0.9966 |
| NaOL | 72.47 | 113.58 | 0.0390 | 0.9456 | 83.75 | 0.0004 | 0.9966 |
| Systems | Langmuir | Freundlich | ||||
|---|---|---|---|---|---|---|
| Qm /mg·g−1 | KL /L·mg−1 | R2 | n | Kf | R2 | |
| Cu(II) | 448.43 | 0.0509 | 0.9978 | 2.15 | 31.3643 | 0.9448 |
| NaOL | 129.03 | 0.0433 | 0.9631 | 1.48 | 7.8096 | 0.9994 |
| Adsorbent Material | Experimental Conditions | Cu(II)/ mg·g−1 | Sodium Oleate/ mg·g−1 | References |
|---|---|---|---|---|
| activated carbon | pH = 5, T = 27 °C, C0 = 2 mg L−1, Ca = 1 g·L−1 | 1.581 | [18] | |
| carbon nanocomposites | pH = 6.8, T = 20 °C | 256 * | [19] | |
| amino-Fe(III)-functionalized mesoporous silica | pH = 5.5, T = 25 °C, Ca = 1 g·L−1 | 475.1 * | [20] | |
| natural zeolite | pH = 4.5, T = 22 °C, C0 = 20 mg L−1, Ca = 37 g·L−1 | 3.37 | [21] | |
| halloysite nanotube–alginate hybrid beads | T = room temperature, C0 = 100 mg L−1 | 74.13 | [23] | |
| PDMAEMA/SiO2 | pH = 5.0, T = 30 °C, Ca = 4 g·L−1 | 20 | [29] | |
| chitosan using tri-sodium citrate and epichlorohydrin as cross-linkers | pH = 6.0, T = 25 °C, Ca = 2 g·L−1 | 151.52 * | [49] | |
| functionalized maghemite nanoparticles | pH = 5.5, T = 25 °C, C0 = 40 mg L−1, Ca = 0.56 g·L−1 | 88.2 | [50] | |
| succinylated mercerized cellulose modified with triethylenetetramine | pH = 5.5, Ca = 1 g·L−1 | 69.4 * | [51] | |
| diethylenetriamine-bacterial cellulose | pH = 4.5, T = 25 °C, Ca = 1 g·L−1 | 63.09 * | [52] | |
| mesoporous nanocellulose/sodium alginate/carboxymethyl–chitosan gel beads | pH = 5, T = 30 °C, Ca = 0.6 g·L−1 | 169.94 * | [53] | |
| beta-cyclodextrin polymers | pH = 5.0, T = 25 °C, C0 = 200 mg L−1, Ca = 0.5 g·L−1 | 164.43 | [54] | |
| modified Ca-montmorillonite | pH = 5, T = 25 °C, C0 = 100 mg L−1, Ca = 1.5 g·L−1 | 69.199 (22. 73 mmol/100 g) | [24] | |
| Zr-Modified Phosphogypsum/Fly Ash Composite | pH = 7.19, T = 25 °C, Ca = 5 g·L−1 | 14. 376 * | [25] | |
| SiO2–g–PBMA–b–PDMAEMA | pH = 5, T = 25 °C, Ca = 1 g·L−1 | 448.43 * | 129.03 * | This study |
Publisher’s Note: MDPI stays neutral with regard to jurisdictional claims in published maps and institutional affiliations. |
© 2022 by the authors. Licensee MDPI, Basel, Switzerland. This article is an open access article distributed under the terms and conditions of the Creative Commons Attribution (CC BY) license (https://creativecommons.org/licenses/by/4.0/).
Share and Cite
Qu, J.; Chang, L.; Liu, M.; Cao, B.; Li, M.; Yang, Q.; Gong, W. Multifunctional Silica-Based Amphiphilic Block Copolymer Hybrid for Cu(II) and Sodium Oleate Adsorption in Beneficiation Wastewater. Polymers 2022, 14, 4187. https://doi.org/10.3390/polym14194187
Qu J, Chang L, Liu M, Cao B, Li M, Yang Q, Gong W. Multifunctional Silica-Based Amphiphilic Block Copolymer Hybrid for Cu(II) and Sodium Oleate Adsorption in Beneficiation Wastewater. Polymers. 2022; 14(19):4187. https://doi.org/10.3390/polym14194187
Chicago/Turabian StyleQu, Jia, Liangliang Chang, Mingbao Liu, Baoyue Cao, Meilan Li, Qiang Yang, and Wei Gong. 2022. "Multifunctional Silica-Based Amphiphilic Block Copolymer Hybrid for Cu(II) and Sodium Oleate Adsorption in Beneficiation Wastewater" Polymers 14, no. 19: 4187. https://doi.org/10.3390/polym14194187
APA StyleQu, J., Chang, L., Liu, M., Cao, B., Li, M., Yang, Q., & Gong, W. (2022). Multifunctional Silica-Based Amphiphilic Block Copolymer Hybrid for Cu(II) and Sodium Oleate Adsorption in Beneficiation Wastewater. Polymers, 14(19), 4187. https://doi.org/10.3390/polym14194187
