Comparative Study of Friction and Wear Performance of PEK, PEEK and PEKK Binders in Tribological Coatings
Abstract
1. Introduction
2. Materials and Methods
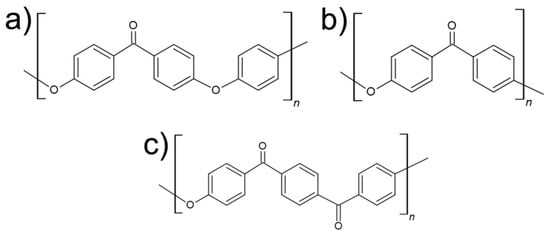
2.1. Materials
2.2. Coatings Preparation
2.3. Physico-Chemical Characterization
2.4. Tribological Testing and Coating Characterization
- Tribological short-term evaluation with successive load steps of 5 N, 10 N, 20 N, and 40 N. Motion type was continuous sliding at a constant speed of 0.1 m∙s−1. The track radius was 10 mm and kept constant for all the samples and a sliding distance of 150 m per step, corresponding to a total of 9500 cycles at the end of the trial.
- Tribological long-term behavior were assessed using a constant pv-combination (20 N and 0.1 m∙s−1) and a sliding distance of 4300 m. The track radius was kept constant at 10 mm as per the incremental testing.
3. Results and Discussion
3.1. Binders and Coatings Chemical, Physical and Mechanical Characterization
3.2. Assessment of the Tribological Behaviour
4. Conclusions
- PEK and PEEK show crystalline character after being subjected to the curing cycle. PEKK, on the other hand, shows some crystallinity as received from the supplier, but becomes amorphous after curing, probably due to its crystallization demanding much slower cooling conditions than the ones used in the process.
- All the binders show high thermal resistance (in both inert and oxidative environments), with the decomposition occurring above 550 °C.
- The absence of crystallinity noticed in PEKK does not impact the final coating hardness, in relation to the other binders. There are also no relevant differences in terms of substrate adhesion, with no flaking or delamination being observed in the tests.
- Distribution of PTFE particles is different throughout the different binder matrixes. There seems to be a more intense stratification effect for PEEK and PEKK, leading to higher PTFE concentration at the surface, while for PEK the particles are more uniformly distributed across the coating film depth.
- The tribological performance of the PEK-based coating evidences a persistent and stable low COF under high contact pressure, when compared with the well-known PEEK-based polymer. For PEEK and PEKK, COF increases steeply during the initial running-in phase and, in the case of PEEK, performance instability ensues, denoting coating breakthrough.
- In terms of wear, PEKK produced remarkable results, with very little wear under the test conditions when compared with PEEK-based coating produced.
Author Contributions
Funding
Institutional Review Board Statement
Data Availability Statement
Acknowledgments
Conflicts of Interest
References
- Parker, D.; Bussink, J.; van de Grampel, H.T.; Wheatley, G.W.; Dorf, E.-U.; Ostlinning, E.; Reinking, K.; Schubert, F.; Jünger, O. Polymers, High-Temperature. In Ullmann’s Encyclopedia of Industrial Chemistry; Wiley-VCH Verlag GmbH & Co. KGaA: Hoboken, NJ, USA, 2000. [Google Scholar]
- Rosato, D.V.; Rosato, D.V.; Rosato, M.V. 2—Plastic Property. In Plastic Product Material and Process Selection Handbook; Elsevier: Oxford, UK, 2004; pp. 40–129. [Google Scholar]
- Padhan, M.; Marathe, U.; Bijwe, J. Tribology of Poly(etherketone) composites based on nano-particles of solid lubricants. Compos. Part B Eng. 2020, 201, 108323. [Google Scholar] [CrossRef]
- Bijwe, J.; Sen, S.; Ghosh, A. Influence of PTFE content in PEEK–PTFE blends on mechanical properties and tribo-performance in various wear modes. Wear 2005, 258, 1536–1542. [Google Scholar] [CrossRef]
- Bae, S.-M.; Seo, K.-J.; Kim, D.-E. Effect of friction on the contact stress of a coated polymer gear. Friction 2020, 8, 1169–1177. [Google Scholar] [CrossRef]
- Wang, C.; Ma, J.; Cheng, W. Formation of polyetheretherketone polymer coating by electrophoretic deposition method. Surf. Coat. Technol. 2003, 173, 271–275. [Google Scholar] [CrossRef]
- Mertens, A.J.; Senthilvelan, S. Durability of polymer gear-paired with steel gear manufactured by wire cut electric discharge machining and hobbing. Int. J. Precis. Eng. Manuf. 2016, 17, 181–188. [Google Scholar] [CrossRef]
- Briscoe, B.J.; Sinha, S.K. Wear of polymers. J. Eng. Tribol. 2002, 216, 401–413. [Google Scholar] [CrossRef]
- Friedrich, K. Sliding wear performance of different polyimide formulations. Tribol. Int. 1989, 22, 25–31. [Google Scholar] [CrossRef]
- Briscoe, B.J.; Lin Heng, Y.; Stolarski, T.A. The friction and wear of poly(tetrafluoroethylene)-poly (etheretherketone) composites: An initial appraisal of the optimum composition. Wear 1986, 108, 357–374. [Google Scholar] [CrossRef]
- Hufenbach, W.; Kunze, K.; Bijwe, J. Sliding wear behaviour of PEEK-PTFE blends. J. Synth. Lubr. 2003, 20, 227–240. [Google Scholar] [CrossRef]
- Burris, D.L.; Sawyer, W.G. A low friction and ultra low wear rate PEEK/PTFE composite. Wear 2006, 261, 410–418. [Google Scholar] [CrossRef]
- Burris, D.L.; Sawyer, W.G. Tribological behavior of PEEK components with compositionally graded PEEK/PTFE surfaces. Wear 2007, 262, 220–224. [Google Scholar] [CrossRef]
- Bahadur, S.; Gong, D. The role of copper compounds as fillers in the transfer and wear behavior of polyetheretherketone. Wear 1992, 154, 151–165. [Google Scholar] [CrossRef]
- Wang, Q.; Xue, Q.; Shen, W.; Zhang, J. The friction and wear properties of nanometer ZrO2-filled polyetheretherketone. J. Appl. Polym. Sci. 1998, 69, 135–141. [Google Scholar] [CrossRef]
- Werner, P.; Altstadt, V.; Jaskulka, R.; Jacobs, O.; Sandler, J.K.W.; Shaffer, M.S.P.; Windle, A.H. Tribological behaviour of carbon-nanofibre-reinforced poly(ether ether ketone). Wear 2004, 257, 1006–1014. [Google Scholar] [CrossRef]
- Theiler, G.; Gradt, T. Friction and wear of PEEK composites in vacuum environment. Wear 2010, 269, 278–284. [Google Scholar] [CrossRef]
- Li, J.; Liao, H.; Coddet, C. Friction and wear behavior of flame-sprayed PEEK coatings. Wear 2002, 252, 824–831. [Google Scholar] [CrossRef]
- Normand, B.; Takenouti, H.; Keddam, M.; Liao, H.; Monteil, G.; Coddet, C. Electrochemical impedance spectroscopy and dielectric properties of polymer: Application to PEEK thermally sprayed coating. Electrochim. Acta 2004, 49, 2981–2986. [Google Scholar] [CrossRef]
- Zhang, G.; Liao, H.; Yu, H.; Ji, V.; Huang, W.; Mhaisalkar, S.G.; Coddet, C. Correlation of crystallization behavior and mechanical properties of thermal sprayed PEEK coating. Surf. Coat. Technol. 2006, 200, 6690–6695. [Google Scholar] [CrossRef]
- Corni, I.; Neumann, N.; Eifler, D.; Boccaccini, A.R. Polyetheretherketone (PEEK) Coatings on Stainless Steel by Electrophoretic Deposition. Adv. Eng. Mater. 2008, 10, 559–564. [Google Scholar] [CrossRef]
- Hedayati, M.; Salehi, M.; Bagheri, R.; Panjepour, M.; Naeimi, F. Tribological and mechanical properties of amorphous and semi-crystalline PEEK/SiO2 nanocomposite coatings deposited on the plain carbon steel by electrostatic powder spray technique. Prog. Org. Coat. 2012, 74, 50–58. [Google Scholar] [CrossRef]
- Zhu, S.; Zhang, Y.; Li, Q.; Wei, L.; Guan, S. Influence of polytetrafluoroethylene (PTFE) content on mechanical and tribological properties of poly (ether ether ketone)/PTFE coatings prepared by electrostatic powder spraying technique. High Perform. Polym. 2014, 27, 3–9. [Google Scholar] [CrossRef]
- Zhu, S.; Zhang, Y.; Li, Q.; Ji, F.; Guan, S. Mechanical and tribological properties of PEEK coatings with different melt indexes prepared by electrostatic powder spray technique. Gaodeng Xuexiao Huaxue Xuebao/Chem. J. Chin. Univ. 2014, 35, 1075–1079. [Google Scholar] [CrossRef]
- Tharajak, J.; Palathai, T.; Sombatsompop, N. Tribological properties of flame sprayed hexagonal boron nitride/polyetheretherketone coatings. In Proceedings of the 20th International Symposium on Processing and Fabrication of Advanced Materials, PFAM XX, Hong Kong, 15–18 December 2011; pp. 333–336. [Google Scholar]
- Liao, H. Application of PEEK Coating for Friction Reduction Purpose; Industrial Report of LERMPS; University of Technology of Belfort-Montbéliard: Belfort, France, 2001. [Google Scholar]
- Zhang, G.; Guessasma, S.; Liao, H.; Coddet, C.; Bordes, J.M. Investigation of friction and wear behaviour of SiC-filled PEEK coating using artificial neural network. Surf. Coat. Technol. 2006, 200, 2610–2617. [Google Scholar] [CrossRef]
- Zhang, G.; Liao, H.; Li, H.; Mateus, C.; Bordes, J.M.; Coddet, C. On dry sliding friction and wear behaviour of PEEK and PEEK/SiC-composite coatings. Wear 2006, 260, 594–600. [Google Scholar] [CrossRef]
- Demas, N.; Polycarpou, A. Tribological investigation of cast iron air-conditioning compressor surfaces in CO2 refrigerant. Tribol. Lett. 2006, 22, 271–278. [Google Scholar] [CrossRef]
- Solvay—AvaSpire PAEK. Available online: https://www.solvay.com/en/brands/avaspire-paek (accessed on 2 September 2018).
- Wypych, G. PEK Polyetherketone. In Handbook of Polymers, 2nd ed.; Wypych, G., Ed.; ChemTec Publishing: Toronto, ON, Canada, 2016; pp. 377–379. [Google Scholar]
- Gan, D.; Lu, S.; Song, C.; Wang, Z. Mechanical properties and frictional behavior of a mica-filled poly(aryl ether ketone) composite. Eur. Polym. J. 2001, 37, 1359–1365. [Google Scholar] [CrossRef]
- Bijwe, J.; Sharma, S.; Sharma, M.; Parida, T.; Trivedi, P. Exploration of potential of solid lubricants and short fibers in Polyetherketone (PEK) composites. Wear 2013, 301, 810–819. [Google Scholar] [CrossRef]
- Bijwe, J.; Kadiyala, A.K.; Kumar, K.; Puhan, D.; Parida, T.; Trivedi, P. Development of high performance poly (ether-ketone) composites based on novel processing technique. Mater. Des. 2015, 73, 50–59. [Google Scholar] [CrossRef]
- Alqurashi, H.; Khurshid, Z.; Syed, A.U.Y.; Rashid Habib, S.; Rokaya, D.; Zafar, M.S. Polyetherketoneketone (PEKK): An emerging biomaterial for oral implants and dental prostheses. J. Adv. Res. 2021, 28, 87–95. [Google Scholar] [CrossRef] [PubMed]
- Yahiaoui, M.; Chabert, F.; Paris, J.Y.; Nassiet, V.; Denape, J. Friction, acoustic emission, and wear mechanisms of a PEKK polymer. Tribol. Int. 2019, 132, 154–164. [Google Scholar] [CrossRef]
- Gan, D.; Lu, S.; Song, C.; Wang, Z. Physical properties of poly(ether ketone ketone)/mica composites: Effect of filler content. Mater. Lett. 2001, 48, 299–302. [Google Scholar] [CrossRef]
- Friedrich, K.; Lu, Z.; Hager, A.M. Recent advances in polymer composites’ tribology. Wear 1995, 190, 139–144. [Google Scholar] [CrossRef]
- Hou, X.; Shan, C.X.; Choy, K.-L. Microstructures and tribological properties of PEEK-based nanocomposite coatings incorporating inorganic fullerene-like nanoparticles. Surf. Coat. Technol. 2008, 202, 2287–2291. [Google Scholar] [CrossRef]
- Mazur, R.L.; Botelho, E.C. Avaliações Térmica e Reológica de Matriz Termoplásica PEKK Utilizada em Compósitos Aeronáuticos. Polim. Ciência Tecnol. 2008, 18, 237–243. [Google Scholar] [CrossRef]
- Vasconcelos, G.; Mazur, R.L.; Ribeiro, B.; Botelho, E.C.; Costa, M.L. Evaluation of decomposition kinetics of poly (ether-ether-ketone) by thermogravimetric analysis. Mater. Res. 2014, 17, 227–235. [Google Scholar] [CrossRef]
- Gardner, K.H.; Hsiao, B.S.; Matheson, R.R.; Wood, B.A. Structure, crystallization and morphology of poly (aryl ether ketone ketone). Polymer 1992, 33, 2483–2495. [Google Scholar] [CrossRef]
- Quiroga Cortés, L.; Caussé, N.; Dantras, E.; Lonjon, A.; Lacabanne, C. Morphology and dynamical mechanical properties of poly ether ketone ketone (PEKK) with meta phenyl links. J. Appl. Polym. Sci. 2016, 133, 43396. [Google Scholar] [CrossRef]
- Song, J.; Liao, Z.; Shi, H.; Xiang, D.; Liu, Y.; Liu, W.; Peng, Z. Fretting Wear Study of PEEK-Based Composites for Bio-implant Application. Tribol. Lett. 2017, 65, 150. [Google Scholar] [CrossRef]
- Brock, T.; Groteklaes, M.; Mischke, P. European Coatings Handbook; Vincentz Network GmbH & Co KG: Hannover, Germany, 2000. [Google Scholar]
- Wu, L.; Baghdachi, J. Functional Polymer Coatings: Principles, Methods and Applications, 2nd ed.; Wiley: Hoboken, NJ, USA, 2015; p. 369. [Google Scholar]
- Thomas, P. The use of fluoropolymers for non-stick cooking utensils. Surf. Coat. Int. 1998, 81, 604–609. [Google Scholar] [CrossRef]




















| ASTM Standard | PEK | PEEK | PEKK | |
|---|---|---|---|---|
| Tensile strength (MPa) | D638 | 90 | 110 | 110 |
| Tensile modulus (GPa) | D638 | 4.3 | 3.5 | 4.0 |
| Elongation at break (%) | D638 | 5 | 20 | 10–15 |
| Flexural strength (MPa) | D790 | 163 | 173 | 180 |
| Flexural modulus (GPa) | D790 | 4.3 | 4.2 | 4.3 |
| Compressive strength (MPa) | D695 | 130 | 138 | 132 |
| Izod impact strength (Notched) (J/m) | D256 | 35 | 53 | 50 |
| Temperature Plateau (°C) | Dwelling (Minutes) | |
|---|---|---|
| PEK | 400 | 30 |
| PEEK | 420 | 15 |
| PEKK | 400 | 15 |
| N2 | O2 | |
|---|---|---|
| PEKpowder | 535 °C | 560 °C 572 °C |
| PEEKpowder | 570 °C | 573 °C 586 °C |
| PEKKpowder | 558 °C | 543 °C 598 °C |
Publisher’s Note: MDPI stays neutral with regard to jurisdictional claims in published maps and institutional affiliations. |
© 2022 by the authors. Licensee MDPI, Basel, Switzerland. This article is an open access article distributed under the terms and conditions of the Creative Commons Attribution (CC BY) license (https://creativecommons.org/licenses/by/4.0/).
Share and Cite
Pedroso, J.M.; Enger, M.; Bandeira, P.; Magalhães, F.D. Comparative Study of Friction and Wear Performance of PEK, PEEK and PEKK Binders in Tribological Coatings. Polymers 2022, 14, 4008. https://doi.org/10.3390/polym14194008
Pedroso JM, Enger M, Bandeira P, Magalhães FD. Comparative Study of Friction and Wear Performance of PEK, PEEK and PEKK Binders in Tribological Coatings. Polymers. 2022; 14(19):4008. https://doi.org/10.3390/polym14194008
Chicago/Turabian StylePedroso, Judith M., Marco Enger, Pedro Bandeira, and Fernão D. Magalhães. 2022. "Comparative Study of Friction and Wear Performance of PEK, PEEK and PEKK Binders in Tribological Coatings" Polymers 14, no. 19: 4008. https://doi.org/10.3390/polym14194008
APA StylePedroso, J. M., Enger, M., Bandeira, P., & Magalhães, F. D. (2022). Comparative Study of Friction and Wear Performance of PEK, PEEK and PEKK Binders in Tribological Coatings. Polymers, 14(19), 4008. https://doi.org/10.3390/polym14194008

