Tensile Behavior of 3D Printed Polylactic Acid (PLA) Based Composites Reinforced with Natural Fiber
Abstract
:1. Introduction
2. Materials and Methods
2.1. Materials
2.1.1. Polylactic Acid (PLA)
2.1.2. Henequen Fibers
2.2. NFRC Filament Preparation
2.3. 3D Printing of NFRC Specimens
2.4. Scanning Electron Microscopy (SEM)
2.5. Density and Porosity
2.6. Differential Scanning Calorimetry (DSC) Analysis
2.7. Tensile Testing
2.8. Statistical Analysis
3. Results and Discussion
3.1. Particle Size Distribution
3.2. Density and Porosity
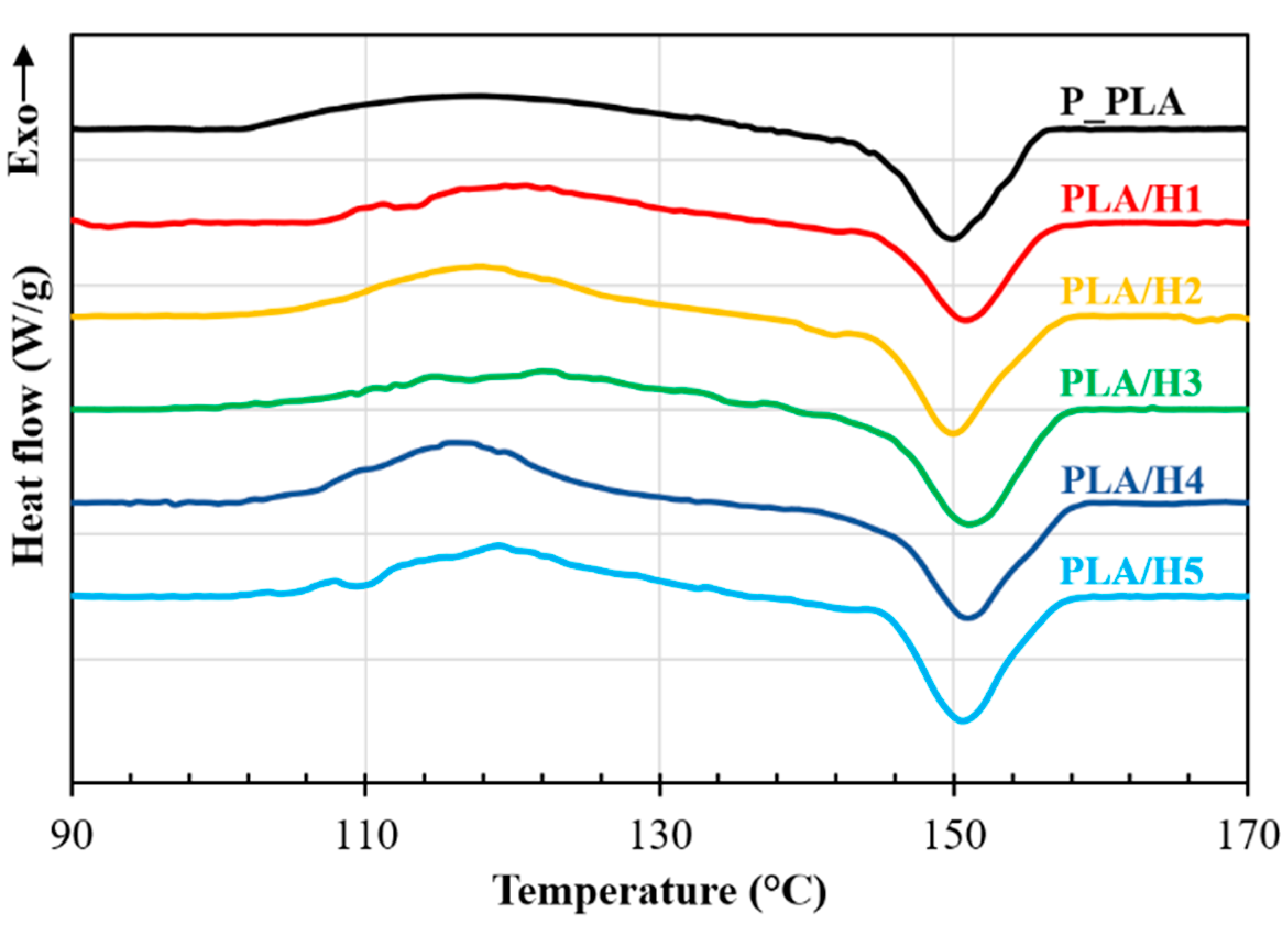
3.3. DSC Analysis
3.4. Tensile Tests
Effect of Printing Direction and Coupling Agent
3.5. Discussion
4. Conclusions
- The henequen fiber flour used to fabricate the NFRCs consisted of particles with sizes between 90–250 μm comprising a more significant percentage (67%) of small particles (90–150 μm).
- The measured density and porosity of the NFRCs increased with the increase in flour content.
- Thermal analysis by DSC showed that adding henequen flour to the PLA matrix increased the NFRCs’ degree of crystallinity.
- The Young’s modulus of the NFRCs was lower than that of the printed pristine PLA, which was attributed to particle agglomeration and voids.
- The maximum stress and strain to failure of the NFRC with 1% flour content were higher than those of the printed PLA, attributed to the henequen fibers acting as reinforcement and delaying crack growth.
- However, for 2% and higher flour contents, the NFRCs’ maximum stress was lower than those of the printed pristine PLA and PLA with 1% flour content.
- Microscopic characterization of NFRCs after tensile testing showed an increase in voids and defects with the increase in flour content, which was attributed to particle agglomeration in the material.
- For 1 wt% flour content, the highest tensile properties were obtained with a 0° raster angle.
- Adding 3 wt% content of maleic anhydride to the NFRC with 1 wt% flour content slightly increased the maximum stress.
- The mechanical results indicated that printed NFRCs made of PLA reinforced with henequen fiber have the potential to be used as sustainable materials with improved mechanical properties; however, further research is still required to understand the mechanical performance of these materials fully.
Author Contributions
Funding
Institutional Review Board Statement
Informed Consent Statement
Data Availability Statement
Acknowledgments
Conflicts of Interest
References
- Ngo, T.D.; Kashani, A.; Imbalzano, G.; Nguyen, K.T.Q.; Hui, D. Additive manufacturing (3D printing): A review of materials, methods, applications and challenges. Compos. Part B 2018, 143, 172–196. [Google Scholar] [CrossRef]
- Dizon, J.R.C.; Espera, A.H.; Chen, Q.; Advincula, R.C. Mechanical characterization of 3D-printed polymers. Addit. Manuf. 2018, 20, 44–67. [Google Scholar] [CrossRef]
- Mustapha, K.B.; Metwalli, K.M. A review of fused deposition modelling for 3D printing of smart polymeric materials and composites. Eur. Polym. J. 2021, 156, 110591. [Google Scholar] [CrossRef]
- Tan, L.J.; Zhu, W.; Zhou, K. Recent Progress on Polymer Materials for Additive Manufacturing. Adv. Funct. Mater. 2020, 30, 2003062. [Google Scholar] [CrossRef]
- Bhagia, S.; Bornani, K.; Agrawal, R.; Satlewal, A.; Ďurkovič, J.; Lagaňa, R.; Bhagia, M.; Yoo, C.G.; Zhao, X.; Kunc, V.; et al. Critical review of FDM 3D printing of PLA biocomposites filled with biomass resources, characterization, biodegradability, upcycling and opportunities for biorefineries. Appl. Mater. Today 2021, 24, 101078. [Google Scholar] [CrossRef]
- Shahrubudin, N.; Lee, T.C.; Ramlan, R. An Overview on 3D Printing Technology: Technological, Materials, and Applications. Procedia Manuf. 2019, 35, 1286–1296. [Google Scholar] [CrossRef]
- Arefin, A.M.E.; Khatri, N.R.; Kulkarni, N.; Egan, P.F. Polymer 3D Printing Review: Materials, Process, and Design Strategies for Medical Applications. Polymers 2021, 13, 1499. [Google Scholar] [CrossRef]
- Djukić-Vuković, A.; Mladenović, D.; Ivanović, J.; Pejin, J.; Mojović, L. Towards sustainability of lactic acid and poly-lactic acid polymers production. Renew. Sustain. Energy Rev. 2019, 108, 238–252. [Google Scholar] [CrossRef]
- Balla, E.; Daniilidis, V.; Karlioti, G.; Kalamas, T.; Stefanidou, M.; Bikiaris, N.D.; Vlachopoulos, A.; Koumentakou, I.; Bikiaris, D.N. Poly(lactic Acid): A Versatile Biobased Polymer for the Future with Multifunctional Properties—From Monomer Synthesis, Polymerization Techniques and Molecular Weight Increase to PLA Applications. Polymers 2021, 13, 1822. [Google Scholar] [CrossRef]
- Ruz-Cruz, M.A.; Herrera-Franco, P.J.; Flores-Johnson, E.A.; Moreno-Chulim, M.V.; Galera-Manzano, L.M.; Valadez-González, A. Thermal and mechanical properties of PLA-based multiscale cellulosic biocomposites. J. Mater. Res. Technol. 2022, 18, 485–495. [Google Scholar] [CrossRef]
- Ayrilmis, N. Effect of layer thickness on surface properties of 3D printed materials produced from wood flour/PLA filament. Polym. Test. 2018, 71, 163–166. [Google Scholar] [CrossRef]
- Girdis, J.; Gaudion, L.; Proust, G.; Löschke, S.; Dong, A. Rethinking Timber: Investigation into the Use of Waste Macadamia Nut Shells for Additive Manufacturing. JOM 2017, 69, 575–579. [Google Scholar] [CrossRef]
- Le Duigou, A.; Correa, D.; Ueda, M.; Matsuzaki, R.; Castro, M. A review of 3D and 4D printing of natural fibre biocomposites. Mater. Des. 2020, 194, 108911. [Google Scholar] [CrossRef]
- Rajendran Royan, N.R.; Leong, J.S.; Chan, W.N.; Tan, J.R.; Shamsuddin, Z.S. Current State and Challenges of Natural Fibre-Reinforced Polymer Composites as Feeder in FDM-Based 3D Printing. Polymers 2021, 13, 2289. [Google Scholar] [CrossRef]
- Deb, D.; Jafferson, J.M. Natural fibers reinforced FDM 3D printing filaments. Mater. Today. Proc. 2021, 46, 1308–1318. [Google Scholar] [CrossRef]
- Khalid, M.Y.; Al Rashid, A.; Arif, Z.U.; Ahmed, W.; Arshad, H.; Zaidi, A.A. Natural fiber reinforced composites: Sustainable materials for emerging applications. Results Eng. 2021, 11, 100263. [Google Scholar] [CrossRef]
- Nicolau, A.; Pop, M.A.; Coșereanu, C. 3D Printing Application in Wood Furniture Components Assembling. Materials 2022, 15, 2907. [Google Scholar] [CrossRef]
- Csizmadia, R.; Faludi, G.; Renner, K.; Móczó, J.; Pukánszky, B. PLA/wood biocomposites: Improving composite strength by chemical treatment of the fibers. Compos. Part A 2013, 53, 46–53. [Google Scholar] [CrossRef]
- Kazemi Najafi, S. Use of recycled plastics in wood plastic composites—A review. Waste Manag. 2013, 33, 1898–1905. [Google Scholar] [CrossRef]
- Balla, V.K.; Kate, K.H.; Satyavolu, J.; Singh, P.; Tadimeti, J.G.D. Additive manufacturing of natural fiber reinforced polymer composites: Processing and prospects. Compos. Part B 2019, 174, 106956. [Google Scholar] [CrossRef]
- Mazzanti, V.; Mollica, F. A Review of Wood Polymer Composites Rheology and Its Implications for Processing. Polymers 2020, 12, 2304. [Google Scholar] [CrossRef] [PubMed]
- Elsheikh, A.H.; Panchal, H.; Shanmugan, S.; Muthuramalingam, T.; El-Kassas, A.M.; Ramesh, B. Recent progresses in wood-plastic composites: Pre-processing treatments, manufacturing techniques, recyclability and eco-friendly assessment. Clean. Eng. Technol. 2022, 8, 100450. [Google Scholar] [CrossRef]
- Lee, C.H.; Padzil, F.N.B.M.; Lee, S.H.; Ainun, Z.M.A.; Abdullah, L.C. Potential for Natural Fiber Reinforcement in PLA Polymer Filaments for Fused Deposition Modeling (FDM) Additive Manufacturing: A Review. Polymers 2021, 13, 1407. [Google Scholar] [CrossRef] [PubMed]
- Figueroa-Velarde, V.; Diaz-Vidal, T.; Cisneros-López, E.O.; Robledo-Ortiz, J.R.; López-Naranjo, E.J.; Ortega-Gudiño, P.; Rosales-Rivera, L.C. Mechanical and Physicochemical Properties of 3D-Printed Agave Fibers/Poly(lactic) Acid Biocomposites. Materials 2021, 14, 3111. [Google Scholar] [CrossRef] [PubMed]
- Matsuzaki, R.; Ueda, M.; Namiki, M.; Jeong, T.-K.; Asahara, H.; Horiguchi, K.; Nakamura, T.; Todoroki, A.; Hirano, Y. Three-dimensional printing of continuous-fiber composites by in-nozzle impregnation. Sci. Rep. 2016, 6, 23058. [Google Scholar] [CrossRef]
- Hinchcliffe, S.A.; Hess, K.M.; Srubar, W.V. Experimental and theoretical investigation of prestressed natural fiber-reinforced polylactic acid (PLA) composite materials. Compos. Part B 2016, 95, 346–354. [Google Scholar] [CrossRef]
- Depuydt, D.; Balthazar, M.; Hendrickx, K.; Six, W.; Ferraris, E.; Desplentere, F.; Ivens, J.; Van Vuure, A.W. Production and characterization of bamboo and flax fiber reinforced polylactic acid filaments for fused deposition modeling (FDM). Polym. Compos. 2019, 40, 1951–1963. [Google Scholar] [CrossRef]
- Liu, L.; Lin, M.; Xu, Z.; Lin, M. Polylactic Acid-based Wood-plastic 3D Printing Composite and its Properties. Bioresources 2019, 14, 8484–8498. [Google Scholar] [CrossRef]
- Bhagia, S.; Lowden, R.R.; Erdman, D.; Rodriguez, M.; Haga, B.A.; Solano, I.R.M.; Gallego, N.C.; Pu, Y.; Muchero, W.; Kunc, V.; et al. Tensile properties of 3D-printed wood-filled PLA materials using poplar trees. Appl. Mater. Today 2020, 21, 100832. [Google Scholar] [CrossRef]
- Kariz, M.; Sernek, M.; Obućina, M.; Kuzman, M.K. Effect of wood content in FDM filament on properties of 3D printed parts. Mater. Today Commun. 2018, 14, 135–140. [Google Scholar] [CrossRef]
- Kariz, M.; Sernek, M.; Kuzman, M.K. Effect of humidity on 3D-printed specimens from wood-PLA filaments. Wood Res. 2018, 63, 917–922. Available online: http://www.woodresearch.sk/cms/effect-of-humidity-on-3d-printed-specimens-from-wood-pla-filaments/ (accessed on 6 June 2022).
- Tao, Y.; Wang, H.; Li, Z.; Li, P.; Shi, S.Q. Development and Application of Wood Flour-Filled Polylactic Acid Composite Filament for 3D Printing. Materials 2017, 10, 339. [Google Scholar] [CrossRef] [PubMed]
- Moscoso Sánchez, F.J.; Alvarado, A.; Martínez-Chávez, L.; Hernández-Montelongo, R.; Fernández Escamilla, V.V.; Canche Escamilla, G. The effects of henequen cellulose treated with polyethylene glycol on properties of polylactic acid composites. Bioresources 2019, 14, 2707–2726. Available online: https://bioresources.cnr.ncsu.edu/resources/the-effects-of-henequen-cellulose-treated-with-polyethylene-glycol-on-properties-of-polylactic-acid-composites/ (accessed on 6 June 2022).
- Tarrés, Q.; Vilaseca, F.; Herrera-Franco, P.J.; Espinach, F.X.; Delgado-Aguilar, M.; Mutjé, P. Interface and micromechanical characterization of tensile strength of bio-based composites from polypropylene and henequen strands. Ind. Crops Prod. 2019, 132, 319–326. [Google Scholar] [CrossRef]
- Kim, J.; Cho, D. Effects of Alkali-Treatment and Feeding Route of Henequen Fiber on the Heat Deflection Temperature, Mechanical, and Impact Properties of Novel Henequen Fiber/Polyamide 6 Composites. J. Compos. Sci 2022, 6, 89. [Google Scholar] [CrossRef]
- Castillo-Lara, J.F.; Flores-Johnson, E.A.; Valadez-Gonzalez, A.; Herrera-Franco, P.J.; Carrillo, J.G.; Gonzalez-Chi, P.I.; Agaliotis, E.; Li, Q.M. Mechanical behaviour of composite sandwich panels with foamed concrete core reinforced with natural fibre in four-point bending. Thin-Walled Struct. 2021, 169, 108457. [Google Scholar] [CrossRef]
- Castillo-Lara, J.F.; Flores-Johnson, E.A.; Valadez-Gonzalez, A.; Herrera-Franco, P.J.; Carrillo, J.G.; Gonzalez-Chi, P.I.; Li, Q.M. Mechanical Properties of Natural Fiber Reinforced Foamed Concrete. Materials 2020, 13, 3060. [Google Scholar] [CrossRef]
- Agaliotis, E.M.; Morales-Arias, J.P.; Bernal, C.R. Morphological, Mechanical and Thermal Characterization of Intralayer Hybrid Composites Based on Polylactic Acid (PLA) and Sisal Fiber. J. Nat. Fibers 2021, in press. [CrossRef]
- Mofokeng, J.P.; Luyt, A.S.; Tábi, T.; Kovács, J. Comparison of injection moulded, natural fibre-reinforced composites with PP and PLA as matrices. J. Thermoplast. Compos. Mater. 2011, 25, 927–948. [Google Scholar] [CrossRef]
- Valadez-Gonzalez, A.; Cervantes-Uc, J.M.; Olayo, R.; Herrera-Franco, P.J. Chemical modification of henequén fibers with an organosilane coupling agent. Compos. Part B 1999, 30, 321–331. [Google Scholar] [CrossRef]
- INGEO. Ingeo™ Biopolymer 2003D Technical Data Sheet; NatureWorks: Minnetonka, MN, USA, 2020; Available online: https://www.natureworksllc.com/~/media/Technical_Resources/Technical_Data_Sheets/TechnicalDataSheet_2003D_FFP-FSW_pdf.pdf (accessed on 6 June 2022).
- Valadez-Gonzalez, A.; Cervantes-Uc, J.M.; Olayo, R.; Herrera-Franco, P.J. Effect of fiber surface treatment on the fiber–matrix bond strength of natural fiber reinforced composites. Compos. Part B 1999, 30, 309–320. [Google Scholar] [CrossRef]
- Aguilar-Vega, M.; Cruz-Ramos, C.A. Properties of henequen cellulosic fibers. J. Appl. Polym. Sci. 1995, 56, 1245–1252. [Google Scholar] [CrossRef]
- Huang, Y.; Löschke, S.; Proust, G. In the mix: The effect of wood composition on the 3D printability and mechanical performance of wood-plastic composites. Compos. Part C 2021, 5, 100140. [Google Scholar] [CrossRef]
- González-Díaz, M.O.; Sulub-Sulub, R.; Herrera-Kao, W.; Vázquez-Torres, H.; Zolotukhin, M.G.; Aguilar-Vega, M. Enhanced Gas Transport Performance of Polyamide Membranes by Postpolymerization Modification. Ind. Eng. Chem. Res. 2018, 57, 8989–8996. [Google Scholar] [CrossRef]
- González-Díaz, M.O.; Pérez-Francisco, J.M.; Herrera-Kao, W.; González-Díaz, A.; Montes-Luna, A.; Aguilar-Vega, M. Novel copolyaramides with bulky flexible groups for pure and mixed-gas separation. Sep. Purif. Technol. 2017, 189, 366–374. [Google Scholar] [CrossRef]
- Cetina-Mancilla, E.; González-Díaz, M.O.; Sulub-Sulub, R.; Zolotukhin, M.G.; González-Díaz, A.; Herrera-Kao, W.; Ruiz-Treviño, F.A.; Aguilar-Vega, M. Aging resistant, fluorinated aromatic polymers with ladderized, rigid kink-structured backbones for gas separations. J. Membr. Sci. 2022, 659, 120764. [Google Scholar] [CrossRef]
- Coppola, B.; Cappetti, N.; Di Maio, L.; Scarfato, P.; Incarnato, L. 3D Printing of PLA/clay Nanocomposites: Influence of Printing Temperature on Printed Samples Properties. Materials 2018, 11, 1947. [Google Scholar] [CrossRef]
- Peng, X.; Zhang, M.; Guo, Z.; Sang, L.; Hou, W. Investigation of processing parameters on tensile performance for FDM-printed carbon fiber reinforced polyamide 6 composites. Compos. Commun. 2020, 22, 100478. [Google Scholar] [CrossRef]
- Baghaei, B.; Skrifvars, M.; Salehi, M.; Bashir, T.; Rissanen, M.; Nousiainen, P. Novel aligned hemp fibre reinforcement for structural biocomposites: Porosity, water absorption, mechanical performances and viscoelastic behaviour. Compos. Part A 2014, 61, 1–12. [Google Scholar] [CrossRef]
- Virtanen, P.; Gommers, R.; Oliphant, T.E.; Haberland, M.; Reddy, T.; Cournapeau, D.; Burovski, E.; Peterson, P.; Weckesser, W.; Bright, J.; et al. SciPy 1. 0: Fundamental algorithms for scientific computing in Python. Nat. Methods 2020, 17, 261–272. [Google Scholar] [CrossRef]
- Tronvoll, S.A.; Vedvik, N.P.; Elverum, C.W.; Welo, T. A new method for assessing anisotropy in fused deposition modeled parts using computed tomography data. Int. J. Adv. Manuf. Technol. 2019, 105, 47–65. [Google Scholar] [CrossRef]
- Tao, Y.; Kong, F.; Li, Z.; Zhang, J.; Zhao, X.; Yin, Q.; Xing, D.; Li, P. A review on voids of 3D printed parts by fused filament fabrication. J. Mater. Res. Technol. 2021, 15, 4860–4879. [Google Scholar] [CrossRef]
- Blok, L.G.; Longana, M.L.; Yu, H.; Woods, B.K.S. An investigation into 3D printing of fibre reinforced thermoplastic composites. Addit. Manuf. 2018, 22, 176–186. [Google Scholar] [CrossRef]
- Sepe, R.; Bollino, F.; Boccarusso, L.; Caputo, F. Influence of chemical treatments on mechanical properties of hemp fiber reinforced composites. Compos. Part B 2018, 133, 210–217. [Google Scholar] [CrossRef]
- Hao, M.; Wu, H.; Qiu, F.; Wang, X. Interface Bond Improvement of Sisal Fibre Reinforced Polylactide Composites with Added Epoxy Oligomer. Materials 2018, 11, 398. [Google Scholar] [CrossRef]
- Giani, N.; Mazzocchetti, L.; Benelli, T.; Picchioni, F.; Giorgini, L. Towards sustainability in 3D printing of thermoplastic composites: Evaluation of recycled carbon fibers as reinforcing agent for FDM filament production and 3D printing. Compos. Part A 2022, 159, 107002. [Google Scholar] [CrossRef]
- Backes, E.H.; Pires, L.d.N.; Costa, L.C.; Passador, F.R.; Pessan, L.A. Analysis of the Degradation During Melt Processing of PLA/Biosilicate® Composites. J. Compos. Sci. 2019, 3, 52. [Google Scholar] [CrossRef]
- Ye, C.; Ma, G.; Fu, W.; Wu, H. Effect of fiber treatment on thermal properties and crystallization of sisal fiber reinforced polylactide composites. J. Reinf. Plast. Compos. 2015, 34, 718–730. [Google Scholar] [CrossRef]
- Liao, Y.; Liu, C.; Coppola, B.; Barra, G.; Di Maio, L.; Incarnato, L.; Lafdi, K. Effect of Porosity and Crystallinity on 3D Printed PLA Properties. Polymers 2019, 11, 1487. [Google Scholar] [CrossRef]
- Carrasco, F.; Pagès, P.; Gámez-Pérez, J.; Santana, O.O.; Maspoch, M.L. Processing of poly(lactic acid): Characterization of chemical structure, thermal stability and mechanical properties. Polym. Degrad. Stab. 2010, 95, 116–125. [Google Scholar] [CrossRef]
- Zhao, P.; Rao, C.; Gu, F.; Sharmin, N.; Fu, J. Close-looped recycling of polylactic acid used in 3D printing: An experimental investigation and life cycle assessment. J. Clean. Prod. 2018, 197, 1046–1055. [Google Scholar] [CrossRef]
- Dawoud, M.; Taha, I.; Ebeid, S.J. Mechanical behaviour of ABS: An experimental study using FDM and injection moulding techniques. J. Manuf. Processes 2016, 21, 39–45. [Google Scholar] [CrossRef]
- Garzon-Hernandez, S.; Garcia-Gonzalez, D.; Jérusalem, A.; Arias, A. Design of FDM 3D printed polymers: An experimental-modelling methodology for the prediction of mechanical properties. Mater. Des. 2020, 188, 108414. [Google Scholar] [CrossRef]
- Liu, H.; He, H.; Peng, X.; Huang, B.; Li, J. Three-dimensional printing of poly(lactic acid) bio-based composites with sugarcane bagasse fiber: Effect of printing orientation on tensile performance. Polym. Adv. Technol. 2019, 30, 910–922. [Google Scholar] [CrossRef]
- Bochnia, J.; Blasiak, M.; Kozior, T. A Comparative Study of the Mechanical Properties of FDM 3D Prints Made of PLA and Carbon Fiber-Reinforced PLA for Thin-Walled Applications. Materials 2021, 14, 7062. [Google Scholar] [CrossRef]
- Gao, X.; Qi, S.; Kuang, X.; Su, Y.; Li, J.; Wang, D. Fused filament fabrication of polymer materials: A review of interlayer bond. Addit. Manuf. 2021, 37, 101658. [Google Scholar] [CrossRef]
- Zhang, X.; Chen, L.; Mulholland, T.; Osswald, T.A. Effects of raster angle on the mechanical properties of PLA and Al/PLA composite part produced by fused deposition modeling. Polym. Adv. Technol. 2019, 30, 2122–2135. [Google Scholar] [CrossRef]
- Khosravani, M.R.; Berto, F.; Ayatollahi, M.R.; Reinicke, T. Characterization of 3D-printed PLA parts with different raster orientations and printing speeds. Sci. Rep. 2022, 12, 1016. [Google Scholar] [CrossRef] [PubMed]
- Orue, A.; Jauregi, A.; Peña-Rodriguez, C.; Labidi, J.; Eceiza, A.; Arbelaiz, A. The effect of surface modifications on sisal fiber properties and sisal/poly (lactic acid) interface adhesion. Compos. Part B 2015, 73, 132–138. [Google Scholar] [CrossRef]
- Sun, Z. Progress in the research and applications of natural fiber-reinforced polymer matrix composites. Sci. Eng. Compos. Mater. 2018, 25, 835–846. [Google Scholar] [CrossRef]
- May-Pat, A.; Valadez-González, A.; Herrera-Franco, P.J. Effect of fiber surface treatments on the essential work of fracture of HDPE-continuous henequen fiber-reinforced composites. Polym. Test. 2013, 32, 1114–1122. [Google Scholar] [CrossRef]
- Huang, C.-J.; Li, X.-L.; Zhang, Y.-Q.; Feng, Y.-H.; Qu, J.-P.; He, H.-Z.; Shen, H.-Z. Properties of heat-treated sisal fiber/polylactide composites. J. Thermoplast. Compos. Mater. 2013, 28, 777–790. [Google Scholar] [CrossRef]
- Dzul-Cervantes, M.; Herrera-Franco, P.J.; Tábi, T.; Valadez-Gonzalez, A. Using Factorial Design Methodology to Assess PLA-g-Ma and Henequen Microfibrillated Cellulose Content on the Mechanical Properties of Poly(lactic acid) Composites. Int. J. Polym. Sci. 2017, 2017, 4046862. [Google Scholar] [CrossRef]
- Abbott, A.C.; Tandon, G.P.; Bradford, R.L.; Koerner, H.; Baur, J.W. Process-structure-property effects on ABS bond strength in fused filament fabrication. Addit. Manuf. 2018, 19, 29–38. [Google Scholar] [CrossRef]
- Radzuan, N.A.M.; Sulong, A.B.; Verma, A.; Muhamad, N. Layup sequence and interfacial bonding of additively manufactured polymeric composite: A brief review. Nanotechnol. Rev. 2021, 10, 1853–1872. [Google Scholar] [CrossRef]
- Sriya Ambati, S.; Ambatipudi, R. Effect of infill density and infill pattern on the mechanical properties of 3D printed PLA parts. Mater. Today. Proc. 2022, 64, 804–807. [Google Scholar] [CrossRef]
- Dave, H.K.; Patadiya, N.H.; Prajapati, A.R.; Rajpurohit, S.R. Effect of infill pattern and infill density at varying part orientation on tensile properties of fused deposition modeling-printed poly-lactic acid part. Proc. Inst. Mech. Eng. Part C J. Mech. Eng. Sci. 2019, 235, 1811–1827. [Google Scholar] [CrossRef]
- Rismalia, M.; Hidajat, S.C.; Permana, I.G.R.; Hadisujoto, B.; Muslimin, M.; Triawan, F. Infill pattern and density effects on the tensile properties of 3D printed PLA material. J. Phys. Conf. Ser. 2019, 1402, 044041. [Google Scholar] [CrossRef]
- Oviedo, A.M.; Puente, A.H.; Bernal, C.; Pérez, E. Mechanical evaluation of polymeric filaments and their corresponding 3D printed samples. Polym. Test. 2020, 88, 106561. [Google Scholar] [CrossRef]
- Huda, M.K.; Widiastuti, I. Natural Fiber Reinforced Polymer in Automotive Application: A Systematic Literature Review. J. Phys. Conf. Ser. 2021, 1808, 012015. [Google Scholar] [CrossRef]









| Material | Flour Content (wt%) | PLA Content (wt%) | Nomenclature |
|---|---|---|---|
| Pristine PLA | 0 | 100 | P_PLA |
| PLA/Henequen | 1 | 99 | PLA/H1 |
| 2 | 98 | PLA/H2 | |
| 3 | 97 | PLA/H3 | |
| 4 | 96 | PLA/H4 | |
| 5 | 95 | PLA/H5 | |
| PLA/Henequen/maleic anhydride 1 | 1 | 96 | PLA/H1_MA |
| Material | Theoretical Density (kg/m3) | Measured Density (kg/m3) | Porosity P (%) |
|---|---|---|---|
| P_PLA | 1240.0 | 1154.4 ± 0.5 d | 6.984 ± 0.047 c |
| PLA/H1 | 1242.6 | 1158.8 ± 0.3 c | 6.825 ± 0.028 d |
| PLA/H2 | 1245.2 | 1162.3 ± 0.5 b | 6.740 ± 0.046 d |
| PLA/H3 | 1247.9 | 1163.1 ± 0.4 b | 6.873 ± 0.036 c |
| PLA/H4 | 1250.5 | 1159.6 ± 0.4 c | 7.350 ± 0.037 a |
| PLA/H5 | 1253.2 | 1165.8 ± 0.5 a | 7.052 ± 0.046 b |
| Material | Cold Crystallization Temperature |
Cold Crystallization Enthalpy |
Melting Temperature |
Melting Enthalpy |
Degree of Crystallinity |
|---|---|---|---|---|---|
| P_PLA | 117.8 | 11.523 | 150.1 | 12.881 | 1.45 |
| PLA/H1 | 119.9 | 9.781 | 150.9 | 11.184 | 1.59 |
| PLA/H2 | 118.0 | 12.744 | 150.0 | 14.293 | 1.65 |
| PLA/H3 | 122.4 | 12.445 | 150.9 | 14.271 | 1.95 |
| PLA/H4 | 116.7 | 13.384 | 151.2 | 15.153 | 1.89 |
| PLA/H5 | 119.0 | 12.487 | 150.5 | 14.437 | 2.08 |
| Material | Young’s Modulus (GPa) | Maximum Stress (MPa) | Strain to Failure (mm/mm) |
|---|---|---|---|
| P_PLA | 1.93 ± 0.10 a | 56.7 ± 2.3 a | 0.051 ± 0.008 b |
| PLA/H1 | 1.48 ± 0.19 b | 60.1 ± 1.8 a | 0.078 ± 0.010 a |
| PLA/H2 | 1.62 ± 0.11 ab | 48.9 ± 0.9 b | 0.060 ± 0.018 ab |
| PLA/H3 | 1.43 ± 0.06 b | 41.4 ± 1.1 c | 0.052 ± 0.003 b |
| PLA/H4 | 1.58 ± 0.07 b | 40.4 ± 1.2 c | 0.043 ± 0.002 b |
| PLA/H5 | 1.49 ± 0.11 b | 35.5 ± 5.3 c | 0.045 ± 0.004 b |
| Material | Young’s Modulus (GPa) | Maximum Stress (MPa) | Strain to Failure (mm/mm) |
|---|---|---|---|
| P_PLA | 1.93 ± 0.10 a | 56.7 ± 2.3 ab | 0.051 ± 0.008 b |
| PLA/H1 (0°) | 1.48 ± 0.19 b | 60.1 ± 1.8 a | 0.078 ± 0.010 ab |
| PLA/H1 (±45°) | 1.37 ± 0.06 b | 51.2 ± 4.4 bc | 0.109 ± 0.019 a |
| PLA/H1 (90°) | 1.25 ± 0.11 b | 43.9 ± 2.4 c | 0.089 ± 0.021 a |
| PLA/H1_MA | 1.48 ± 0.07 b | 63.9 ± 3.7 a | 0.091 ± 0.006 a |
Publisher’s Note: MDPI stays neutral with regard to jurisdictional claims in published maps and institutional affiliations. |
© 2022 by the authors. Licensee MDPI, Basel, Switzerland. This article is an open access article distributed under the terms and conditions of the Creative Commons Attribution (CC BY) license (https://creativecommons.org/licenses/by/4.0/).
Share and Cite
Agaliotis, E.M.; Ake-Concha, B.D.; May-Pat, A.; Morales-Arias, J.P.; Bernal, C.; Valadez-Gonzalez, A.; Herrera-Franco, P.J.; Proust, G.; Koh-Dzul, J.F.; Carrillo, J.G.; et al. Tensile Behavior of 3D Printed Polylactic Acid (PLA) Based Composites Reinforced with Natural Fiber. Polymers 2022, 14, 3976. https://doi.org/10.3390/polym14193976
Agaliotis EM, Ake-Concha BD, May-Pat A, Morales-Arias JP, Bernal C, Valadez-Gonzalez A, Herrera-Franco PJ, Proust G, Koh-Dzul JF, Carrillo JG, et al. Tensile Behavior of 3D Printed Polylactic Acid (PLA) Based Composites Reinforced with Natural Fiber. Polymers. 2022; 14(19):3976. https://doi.org/10.3390/polym14193976
Chicago/Turabian StyleAgaliotis, Eliana M., Baltazar D. Ake-Concha, Alejandro May-Pat, Juan P. Morales-Arias, Celina Bernal, Alex Valadez-Gonzalez, Pedro J. Herrera-Franco, Gwénaëlle Proust, J. Francisco Koh-Dzul, Jose G. Carrillo, and et al. 2022. "Tensile Behavior of 3D Printed Polylactic Acid (PLA) Based Composites Reinforced with Natural Fiber" Polymers 14, no. 19: 3976. https://doi.org/10.3390/polym14193976
APA StyleAgaliotis, E. M., Ake-Concha, B. D., May-Pat, A., Morales-Arias, J. P., Bernal, C., Valadez-Gonzalez, A., Herrera-Franco, P. J., Proust, G., Koh-Dzul, J. F., Carrillo, J. G., & Flores-Johnson, E. A. (2022). Tensile Behavior of 3D Printed Polylactic Acid (PLA) Based Composites Reinforced with Natural Fiber. Polymers, 14(19), 3976. https://doi.org/10.3390/polym14193976

